Discovering New QTNs and Candidate Genes Associated with Rice-Grain-Related Traits within a Collection of Northeast Core Set and Rice Landraces
Abstract
1. Introduction
2. Results
2.1. Trait Correlations and Variance
2.2. Genetic Structure and Linkage Disequilibrium Analysis
2.3. PCA, Kinship and Relatedness Study
2.4. GWAS and CGs Mining for Grain-Related Traits
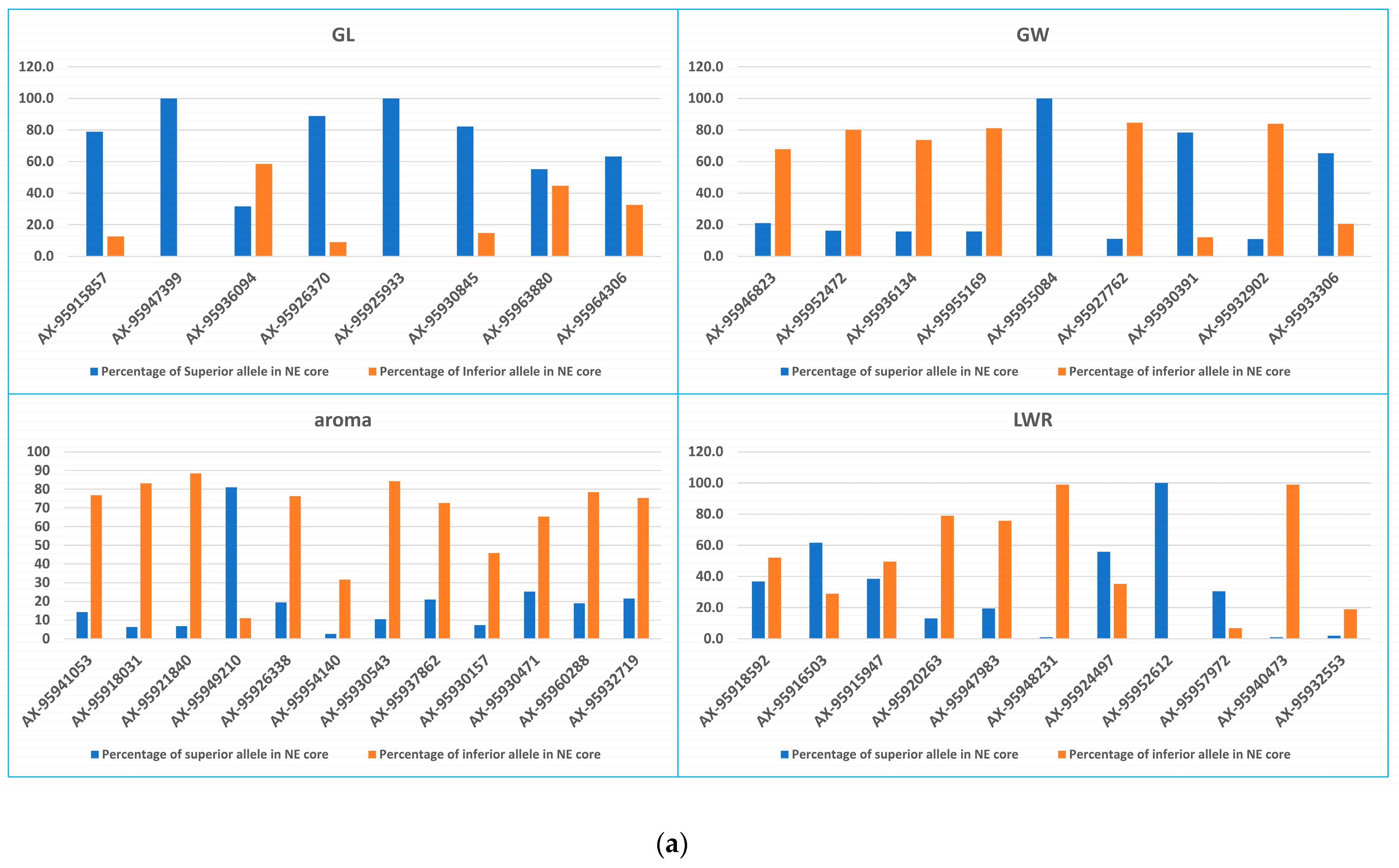
2.5. Superior Allele Distribution in Northeast Core and Rice Landraces
2.6. Gene Functional Enrichment Analysis
2.7. Expression Profile of CGs
2.8. Exploration of Four Potential QTNs Associated with Grain-Related Traits
3. Discussion
3.1. Phenotypic Variation and Trait Correlation
3.2. Population Structure, Genetic Relatedness and LD Decay Analysis
3.3. Dissecting Candidate Genes around the Stable QTNs Identified
3.4. Favorable/Superior Allele Analysis
3.5. Enrichment Analysis of Identified Candidate Genes
4. Materials and Methods
4.1. Association Mapping Panel
4.2. Phenotyping and Phenotypic Analysis
4.3. DNA Isolation and SNP Genotyping
4.4. Phylogenetic Study, Population Structure, Kinship, and Linkage Disequilibrium (LD) Analysis
4.5. Association Analysis and Identification of Potential Candidate Genes
4.6. Candidate Gene Analysis and Gene Functional Enrichment Analysis
4.7. In Silico Gene Expression Analysis of Candidate Genes
4.8. LD Block Analysis
5. Conclusions
Supplementary Materials
Author Contributions
Funding
Data Availability Statement
Acknowledgments
Conflicts of Interest
References
- Purugganan, M.D.; Fuller, D.Q. The nature of selection during plant domestication. Nature 2009, 457, 843–848. [Google Scholar] [CrossRef]
- Lu, L.; Shao, D.; Qiu, X.; Sun, L.; Yan, W.; Zhou, X.; Yang, L.; He, Y.; Yu, S.; Xing, Y. Natural variation and artificial selection in four genes determine grain shape in rice. New Phytol. 2013, 200, 1269–1280. [Google Scholar] [CrossRef]
- Fitzgerald, M.A.; McCouch, S.R.; Hall, R.D. Not just a grain of rice: The quest for quality. Trends Plant Sci. 2009, 14, 133–139. [Google Scholar] [CrossRef]
- Tan, Y.F.; Xing, Y.Z.; Li, J.X.; Yu, S.B.; Xu, C.G.; Zhang, Q.F. Genetic bases of appearance quality of rice grains in Shanyou 63, an elite rice hybrid. Theor. Appl. Genet. 2000, 101, 823–829. [Google Scholar] [CrossRef]
- Xing, Y.; Tan, Y.; Hua, J.; Sun, X.; Xu, C.; Zhang, Q. Characterization of the main effects, epistatic effects and their environmental interactions of QTLs on the genetic basis of yield traits in rice. Theor. Appl. Genet. 2002, 105, 248–257. [Google Scholar] [CrossRef]
- Nayak, A.K.; Anilkumar, C.; Behera, S.; Sah, R.P.; Lavanya, G.R.; Kumar, A.; Behera, L.; Azharudheen, M. Genetic Dissection of Grain Size Traits Through Genome-Wide Association Study Based on Genic Markers in Rice. Rice Sci. 2022, 29, 462–472. [Google Scholar] [CrossRef]
- Hu, X.X.; Wang, C.; Fu, Y.P.; Liu, Q.; Jiao, X.Z.; Wang, K.J. Expanding the range of CRISPR/Cas9 genome editing in rice. Mol. Plant 2016, 9, 943–945. [Google Scholar] [CrossRef]
- Hu, Z.J.; Lu, S.J.; Wang, M.J.; He, H.H.; Sun, L.; Wang, H.R.; Liu, X.H.; Jiang, L.; Sun, J.L.; Xin, X.; et al. A novel QTL qTGW3 encodes the GSK3/SHAGGY-like kinase OsGSK5/OsSK41 that interacts with OsARF4 to negatively regulate grain size and weight in rice. Mol. Plant 2018, 11, 736–749. [Google Scholar] [CrossRef]
- Ponce, K.; Zhang, Y.; Guo, L.; Leng, Y.; Ye, G. Genome-Wide Association Study of Grain Size Traits in Indica Rice Multiparent Advanced Generation Intercross (MAGIC) Population. Front. Plant Sci. 2020, 11, 395. [Google Scholar] [CrossRef]
- Huang, R.Y.; Jiang, L.R.; Zheng, J.S.; Wang, T.S.; Wang, H.C.; Huang, Y.M.; Hong, Z.L. Genetic bases of rice grain shape: So many genes, so little known. Trends Plant Sci. 2013, 18, 218–226. [Google Scholar] [CrossRef]
- Xie, X.; Song, M.-H.; Jin, F.; Ahn, S.-N.; Suh, J.-P.; Hwang, H.-G.; McCouch, S.R. Fine mapping of a grain weight quantitative trait locus on rice chromosome 8 using near-isogenic lines derived from a cross between Oryza sativa and Oryza rufipogon. Theor. Appl. Genet. 2006, 113, 885–894. [Google Scholar] [CrossRef]
- Li, J.; Thomsom, M.; McCouch, S.R. Fine mapping of a grain-weight quantitative trait locus in the pericentromeric region of rice chromosome 3. Genetics 2004, 168, 2187–2195. [Google Scholar] [CrossRef]
- Wan, X.Y.; Wan, J.M.; Jiang, L.; Zhai, H.Q.; Weng, J.F.; Wang, H.L.; Lei, C.L.; Wang, J.L.; Zhang, X.; Cheng, Z.J.; et al. QTL analysis for rice grain length and fine mapping of an identified QTL with stable and major effects. Theor. Appl. Genet. 2006, 112, 1258–1270. [Google Scholar] [CrossRef]
- Wan, X.; Weng, J.; Zhai, H.; Wang, J.; Lei, C.; Liu, X.; Guo, T.; Jiang, L.; Su, N.; Wan, J. Quantitative trait loci (QTL) analysis for rice grain width and fine mapping of an identified QTL allele gw-5 in a combination hotspot region on chromosome 5. Genetic 2008, 179, 2239–2252. [Google Scholar] [CrossRef]
- Xie, X.; Jin, F.; Song, M.-H.; Suh, J.-P.; Hwang, H.-G.; Kim, Y.-G.; McCouch, S.R.; Ahn, S.-N. Fine mapping of a yield-enhancing QTL cluster associated with transgressive variation in an Oryza sativa × O. rufipogon cross. Theor. Appl. Genet. 2008, 116, 613–622. [Google Scholar] [CrossRef]
- Yu, S.; Yang, C.; Fan, Y.; Zhuang, J.; Li, X. Genetic dissection of a thousand-grain weight quantitative trait locus on rice chromosome 1. Chin. Sci. Bull. 2008, 53, 2326–2332. [Google Scholar] [CrossRef]
- Guo, L.; Ma, H.; Jiang, H.; Zheng, D.; Hu, J.; Wu, L. Genetic analysis and fine mapping of two genes for grain shape and weight in rice. J. Integr. Plant Biol. 2009, 51, 45–51. [Google Scholar] [CrossRef]
- Qiu, X.; Rong, G.; Tan, Y.; Yu, S. Mapping and characterization of the major quantitative trait locus qSS7 associated with increased length and decreased width of rice seeds. Theor. Appl. Genet. 2012, 125, 1717–1726. [Google Scholar] [CrossRef]
- Shao, G.; Wei, X.; Chen, M.; Tang, S.; Luo, J.; Jiao, G. Allelic variation for a candidate gene for GS7, responsible for grain shape in rice. Theor. Appl. Genet. 2012, 125, 1303–1312. [Google Scholar] [CrossRef]
- Singh, R.; Singh, A.K.; Sharma, T.R.; Singh, A.; Singh, N.K. Fine mapping of grain length QTLs on chromosomes 1 and 7 in Basmati rice (Oryza sativa L.). J. Plant Biochem. Biotechnol. 2012, 21, 157–166. [Google Scholar] [CrossRef]
- Bai, X.; Luo, L.; Yan, W.; Kovi, M.R.; Zhan, W.; Xing, Y. Genetic dissection of rice grain shape using a recombinant inbred line population derived from two contrasting parents and fine mapping a pleiotropic quantitative trait locus qGL7. BMC Genet. 2010, 11, 16–23. [Google Scholar] [CrossRef]
- Kato, T.; Segami, S.; Toriyama, M.; Kono, I.; Ando, T.; Yano, M. Detection of QTLs for grain length from large grain rice (Oryza sativa L.). Breed. Sci. 2011, 61, 269–274. [Google Scholar] [CrossRef]
- Zhang, W.; Sun, P.; He, Q.; Shu, F.; Wang, J.; Deng, H. Fine mapping of GS2, a dominant gene for big grain rice. Crop. J. 2013, 1, 160–165. [Google Scholar] [CrossRef]
- Fan, C.; Xing, Y.; Mao, H.; Lu, T.; Han, B.; Xu, C. GS3, a major QTL for grain length and weight and minor QTL for grain width and thickness in rice, encodes a putative transmembrane protein. Theor. Appl. Genet. 2006, 112, 1164–1171. [Google Scholar] [CrossRef]
- Ishimaru, K.; Hirotsu, N.; Madoka, Y.; Murakami, N.; Hara, N.; Onodera, H.; Kashiwagi, T.; Ujiie, K.; Shimizu, B.-I.; Onishi, A.; et al. Loss of function of the IAA-glucose hydrolase gene TGW6 enhances rice grain weight and increases yield. Nat. Genet. 2013, 45, 707–711. [Google Scholar] [CrossRef]
- Song, X.J.; Huang, W.; Shi, M.; Zhu, M.Z.; Lin, H.X. A QTL for rice grain width and weight encodes a previously unknown RING-type E3 ubiquitin ligase. Nat. Genet. 2006, 39, 623–630. [Google Scholar] [CrossRef]
- Ying, J.-Z.; Ma, M.; Bai, C.; Huang, X.-H.; Liu, J.-L.; Fan, Y.-Y.; Song, X.-J. TGW3, a major QTL that negatively modulates grain length and weight in rice. Mol. Plant 2018, 11, 750–753. [Google Scholar] [CrossRef]
- Xu, R.; Yu, H.; Wang, J.; Duan, P.; Zhang, B.; Li, J.; Li, Y.; Xu, J.; Lyu, J.; Li, N.; et al. A mitogen activated protein kinase phosphatase influences grain size and weight in rice. Plant J. 2018, 95, 937–946. [Google Scholar] [CrossRef]
- Duan, P.; Ni, S.; Wang, J.; Zhang, B.; Xu, R.; Wang, Y.; Chen, H.; Zhu, X.; Li, Y. Regulation of OsGRF4 by OsmiR396 controls grain size and yield in rice. Nat. Plants 2015, 2, 15203–15214. [Google Scholar] [CrossRef]
- Hu, J.; Wang, Y.; Fang, Y.; Zeng, L.; Xu, J.; Yu, H.; Shi, Z.; Pan, J.; Zhang, D.; Kang, S.; et al. A rare allele of GS2 enhances grain size and grain yield in rice. Mol. Plant 2015, 8, 1455–1465. [Google Scholar] [CrossRef]
- Liu, L.; Tong, H.; Xiao, Y.; Che, R.; Xu, F.; Hu, B.; Liang, C.; Chu, J.; Li, J.; Chu, C. Activation of Big Grain1 significantly improves grain size by regulating auxin transport in rice. Proc. Natl. Acad. Sci. USA 2015, 112, 11102–11107. [Google Scholar] [CrossRef]
- Zhao, D.-S.; Li, Q.-F.; Zhang, C.-Q.; Zhang, C.; Yang, Q.-Q.; Pan, L.-X.; Ren, X.-Y.; Lu, J.; Gu, M.-H.; Liu, Q.-Q. GS9 acts as a transcriptional activator to regulate rice grain shape and appearance quality. Nat. Commun. 2018, 9, 1240. [Google Scholar] [CrossRef]
- YYu, J.; Miao, J.; Zhang, Z.; Xiong, H.; Zhu, X.; Sun, X.; Pan, Y.; Liang, Y.; Zhang, Q.; Rehman, R.M.A.; et al. Alternative splicing of OsLG3b controls grain length and yield in japonica rice. Plant Biotechnol. J. 2018, 16, 1667–1678. [Google Scholar] [CrossRef]
- Shomura, A.; Izawa, T.; Ebana, K.; Ebitani, T.; Kanegae, H.; Konishi, S.; Yano, M. Deletion in a gene associated with grain size increased yields during rice domestication. Nat. Genet. 2008, 40, 1023–1028. [Google Scholar] [CrossRef]
- Weng, J.; Gu, S.; Wan, X.; Gao, H.; Guo, T.; Su, N.; Lei, C.; Zhang, X.; Cheng, Z.; Guo, X.; et al. Isolation and initial characterization of GW5, a major QTL associated with rice grain width and weight. Cell Res. 2008, 18, 1199–1209. [Google Scholar] [CrossRef]
- Li, Y.; Fan, C.; Xing, Y.; Jiang, Y.; Luo, L.; Sun, L.; Shao, D.; Xu, C.; Li, X.; Xiao, J.; et al. Natural variation in GS5 plays an important role in regulating grain size and yield in rice. Nat. Genet. 2011, 43, 1266–1269. [Google Scholar] [CrossRef]
- Huang, K.; Wang, D.; Duan, P.; Zhang, B.; Xu, R.; Li, N.; Li, Y. WIDE AND THICK GRAIN 1, which encodes an otubain-like protease with deubiquitination activity, influences grain size in rice. Plant J. 2017, 91, 849–860. [Google Scholar] [CrossRef]
- Liu, Q.; Han, R.; Wu, K.; Zhang, J.; Ye, Y.; Wang, S.; Chen, J.; Pan, Y.; Li, Q.; Xu, X.; et al. G-protein bg subunits determine grain size through interaction with MADS-domain transcription factors in rice. Nat. Commun. 2018, 9, 852–862. [Google Scholar] [CrossRef]
- Verma, D.K.; Srivastav, P.P. Extraction, identification and quantification methods of rice aroma compounds with emphasis on 2-acetyl-1-pyrroline (2-AP) and its relationship with rice quality: A comprehensive review. Food Rev. Int. 2022, 38, 111–162. [Google Scholar] [CrossRef]
- Varatharajan, N.; Sekaran, D.C.; Murugan, K.; Chockalingam, V. Rice Aroma: Biochemical, Genetics and Molecular Aspects and Its Extraction and Quantification Methods. In Integrative Advances in Rice Research; Intech Open: London, UK, 2021. [Google Scholar]
- Kongchum, M.; Harrell, D.L.; Linscombe, S.D. Comparison of 2-Acetyl-1-Pyrroline (2AP) in Rice Leaf at Different Growth Stages Using Gas Chromatography. Agric. Sci. 2022, 13, 165–176. [Google Scholar] [CrossRef]
- Ramtekey, V.; Cherukuri, S.; Modha, K.G.; Kumar, A.; Kethineni, U.B.; Pal, G.; Singh, A.N.; Kumar, S. Extraction, characterization, quantification, and application of volatile aromatic compounds from Asian rice cultivars. Rev. Anal. Chem. 2021, 40, 272–292. [Google Scholar] [CrossRef]
- Hinge, V.R.; Patil, H.B.; Nadaf, A.B. Aroma volatile analyses and 2AP characterization at various developmental stages in Basmati and Non-Basmati scented rice (Oryza sativa L.) cultivars. Rice 2016, 9, 38–45. [Google Scholar] [CrossRef]
- Pachauri, V.; Singh, M.K.; Singh, A.K.; Singh, S.; Shakeel, N.A.; Singh, V.P.; Singh, N.K. Origin and genetic diversity of aromatic rice varieties, molecular breeding and chemical and genetic basis of rice aroma. J. Plant Biochem. Biotechnol. 2010, 19, 127–143. [Google Scholar]
- Li, C.; Yang, F.; Luo, L.; Luo, T.; Liu, N.; Yang, Q. Research advance of the aroma of rice and its use in hybrid rice breeding with aromatic and soft. Southwest China J. Agric. Sci. 2008, 21, 220–225. [Google Scholar]
- Singh, R.; Singh, A.K.; Sharma, T.R.; Singh, A.; Singh, N.K. Fine mapping of aroma QTLs in basmati rice (Oryza sativa L.) on chromosomes 3, 4 and 8. J. Plant Biochem. Biotechnol. 2007, 16, 75–82. [Google Scholar] [CrossRef]
- Cui, Y.; Zhang, F.; Zhou, Y. The application of multi-locus GWAS for the detection of salt-tolerance loci in rice. Front. Plant Sci. 2018, 9, 1464. [Google Scholar] [CrossRef]
- Zhang, Y.-W.; Tamba, C.L.; Wen, Y.-J.; Li, P.; Ren, W.-L.; Ni, Y.-L.; Gao, J.; Zhang, Y.-M. mrMLM v4.0.2: An r platform for multi-locus genome-wide association studies. Genom. Proteom. Bioinf. 2020, 18, 481–487. [Google Scholar] [CrossRef]
- Lin, Y.; Zhou, K.; Hu, H.; Jiang, X.; Yu, S.; Wang, Q.; Li, C.; Ma, J.; Chen, G.; Yang, Z.; et al. Multi-locus genome-wide association study of four yield-related traits in Chinese wheat landraces. Front. Plant Sci. 2021, 12, 665122. [Google Scholar] [CrossRef]
- Ma, L.; Liu, M.; Yan, Y.; Qing, C.; Zhang, X.; Zhang, Y.; Long, Y.; Wang, L.; Pan, L.; Zou, C.; et al. Genetic dissection of maize embryonic callus regenerative capacity using multi-locus genome-w de association studies. Front. Plant Sci. 2018, 9, 561. [Google Scholar] [CrossRef]
- Zhong, H.; Liu, S.; Sun, T.; Kong, W.; Deng, X.; Peng, Z.; Li, Y. Mulit-locus genome-wide association studies for five yield-related traits in rice. BMC Plant Biol. 2021, 21, 364–382. [Google Scholar] [CrossRef]
- Mather, D.; Hayes, P.; Chalmers, K.; Eglinton, J.; Matus, I.; Richardson, K.; Von Zitzewitz, J.; Marquez-Cedillo, L.; Hearnden, P.; Pal, N. Use of SSR marker data to study linkage disequilibrium and population structure. In Proceedings of the 9th International Barley Genetics Symposium, Brno, Czech Republic, 20–26 June 2004; pp. 302–307. [Google Scholar]
- Roy Choudhury, D.; Singh, N.; Singh, A.K.; Kumar, S.; Srinivasan, K.; Tyagi, R.K.; Ahmad, A.; Singh, N.K.; Singh, R. Analysis of genetic diversity and population structure of rice germplasm from north-eastern region of India and development of a core germplasm set. PLoS ONE 2014, 20, e113094. [Google Scholar] [CrossRef]
- Choudhury, D.R.; Kumar, R.; Maurya, A.; Semwal, D.P.; Rathi, R.S.; Gautam, R.K.; Trivedi, A.K.; Bishnoi, S.K.; Ahlawat, S.P.; Singh, K.; et al. SSR and SNP Marker-Based Investigation of Indian Rice Landraces in Relation to Their Genetic Diversity, Population Structure, and Geographical Isolation. Agriculture 2023, 13, 823–835. [Google Scholar] [CrossRef]
- Supek, F.; Bošnjak, M.; Škunca, N.; Šmuc, T. REVIGO Summarizes and Visualizes Long Lists of Gene Ontology Terms. PLoS ONE 2011, 6, e21800. [Google Scholar] [CrossRef]
- Bao, G.; Huang, S.; Ashraf, U.; Qiao, J.; Zheng, A.; Zhou, Q.; Li, L.; Wan, X. Insights of Improved Aroma under Additional Nitrogen Application at Booting Stage in Fragrant Rice. Genes 2022, 13, 2092. [Google Scholar] [CrossRef]
- Ferjani, A.; Segami, S.; Horiguchi, G.; Sakata, A.; Maeshima, M.; Tsukaya, H. Regulation of pyrophosphate levels by H+-PPase is central for proper resumption of early plant development. Plant Signal. Behav. 2012, 7, 38–42. [Google Scholar] [CrossRef]
- Ren, D.; Ding, C.; Qian, Q. Molecular bases of rice grain size and quality for optimized productivity. Sci. Bull. 2023, 68, 314–350. [Google Scholar] [CrossRef]
- Liu, Y.; Tian, T.; Zhang, K.; You, Q.; Yan, H.; Zhao, N.; Yi, X.; Xu, W.; Su, Z. PCSD: A plant chromatin state database. Nucleic Acids Res. 2018, 46, D1157–D1167. [Google Scholar] [CrossRef]
- Zhou, C.; Liu, X.; Li, X.; Zhou, H.; Wang, S.; Yuan, Z.; Zhang, Y.; Li, S.; You, A.; Zhou, L.; et al. A Genome Doubling Event Reshapes Rice Morphology and Products by Modulating Chromatin Signatures and Gene Expression Profiling. Rice 2021, 14, 72–91. [Google Scholar] [CrossRef]
- Tang, S.; Zhao, Z.; Liu, X.; Sui, Y.; Zhang, D.; Zhi, H.; Gao, Y.; Zhang, H.; Zhang, L.; Wang, Y.; et al. An E2-E3 pair contributes to seed size control in grain crops. Nat. Commun. 2023, 14, 3091–3100. [Google Scholar] [CrossRef]
- Jagodzik, P.; Tajdel-Zielinska, M.; Ciesla, A.; Marczak, M.; Ludwikow, A. Mitogen-activated protein kinase cascades in plant hormone signaling. Front. Plant Sci. 2018, 9, 1387–1395. [Google Scholar] [CrossRef]
- Duan, P.; Rao, Y.; Zeng, D.; Yang, Y.; Xu, R.; Zhang, B.; Dong, G.; Qian, Q.; Li, Y. SMALL GRAIN 1, which encodes a mitogen-activated protein kinase kinase 4, influences grain size in rice. Plant J. 2014, 77, 547–557. [Google Scholar] [CrossRef]
- Zhu, X.; Zhang, S.; Chen, Y.; Mou, C.; Huang, Y.; Liu, X.; Ji, J.; Yu, J.; Hao, Q.; Yang, C.; et al. Decreased grain size1, a C3HC4-type RING protein, influences grain size in rice (Oryza sativa L.). Plant Mol. Biol. 2020, 105, 405–417. [Google Scholar]
- Usman, B.; Nawaz, G.; Zhao, N.; Liu, Y.; Li, R. Generation of High Yielding and Fragrant Rice (Oryza sativa L.) Lines by CRISPR/Cas9 Targeted Mutagenesis of Three Homoeologs of Cytochrome P450 Gene Family and OsBADH2 and Transcriptome and Proteome Profiling of Revealed Changes Triggered by Mutations. Plants 2020, 9, 788. [Google Scholar] [CrossRef]
- Qi, L.; Li, X.; Zang, N.; Zhang, Z.; Yang, Y.; Du, Y.; Sun, J.; Mostafa, I.; Yin, Z.; Wang, A. Genome-wide identification of CXE and PuCXE15 functions in the catabolism of volatile ester in ‘Nanguo’ pear fruit. Plant Physiol. Biochem. 2023, 203, 107996. [Google Scholar] [CrossRef]
- Liu, Z.; Huang, Q.; Liu, X.; Li, P.; Naseer, M.R.; Che, Y.; Dai, Y.; Luo, X.; Liu, D.; Song, L.; et al. Magnesium Fertilization Affected Rice Yields in Magnesium Sufficient Soil in Heilongjiang Province, Northeast China. Front. Plant Sci. 2021, 11, 645806. [Google Scholar] [CrossRef]
- Ceylan, Y.; Kutman, U.B.; Mengutay, M.; Cakmak, I. Magnesium applications to growth medium and foliage affect the starch distribution, increase the grain size and improve the seed germination in wheat. Plant Soil 2016, 406, 145–156. [Google Scholar] [CrossRef]
- Li, Y.; Zheng, L.; Corke, F.; Smith, C.; Bevan, M.W. Control of final seed and organ size by the DA1 gene family in Arabidopsis thaliana. Genes Dev. 2008, 22, 1331–1336. [Google Scholar] [CrossRef]
- Disch, S.; Anastasiou, E.; Sharma, V.K.; Laux, T.; Fletcher, J.C.; Lenhard, M. The E3 ubiquitin ligase BIG BROTHER controls Arabidopsis organ size in a dosage-dependent manner. Curr. Biol. 2006, 16, 272–279. [Google Scholar] [CrossRef]
- Xia, T.; Li, N.; Dumenil, J.; Li, J.; Kamenski, A.; Bevan, M.W.; Gao, F.; Li, Y. The ubiquitin receptor DA1 interacts with the E3 ubiquitin ligase DA2 to regulate seed and organ size in Arabidopsis. Plant Cell 2013, 25, 3347–3359. [Google Scholar] [CrossRef]
- Xiao, Y.; Liu, D.; Zhang, G.; Gao, S.; Liu, L.; Xu, F.; Che, R.; Wang, Y.; Tong, H.; Chu, C. Big grain3, encoding a purine permease, regulates grain size via modulating cytokinin transport in rice. J. Integr. Plant Biol. 2019, 61, 581–597. [Google Scholar] [CrossRef]
- Lo, S.; Cheng, M.; Hsing, Y.C.; Chen, Y.; Lee, K.; Hong, Y.; Hsiao, Y.; Hsiao, A.; Chen, P.; Wong, L.; et al. Rice big grain 1 promotes cell division to enhance organ development, stress tolerance and grain yield. Plant Biotech. J. 2020, 18, 1969–1983. [Google Scholar] [CrossRef]
- Meng, L.; Zhao, X.; Ponce, K.; Ye, G.; Leung, H. QTL mapping for agronomic traits using multi-parent advanced generation inter-cross (MAGIC) populations derived from diverse elite indica rice lines. Field Crop. Res. 2016, 189, 19–42. [Google Scholar] [CrossRef]
- Molla, K.A.; Azharudheen, T.P.M.; Ray, S.; Sarkar, S.; Swain, A.; Chakraborti, M.; Vijayan, J.; Singh, O.N.; Baig, M.J.; Mukherjee, A.K. Novel biotic stress responsive candidate gene based SSR (cgSSR) markers from rice. Euphytica 2019, 215, 17. [Google Scholar] [CrossRef]
- Wu, J.; Feng, F.; Lian, X.; Teng, X.; Wei, H.; Yu, H.; Xie, W.; Yan, M.; Fan, P.; Li, Y.; et al. Genome-wide Association Study (GWAS) of mesocotyl elongation based on re-sequencing approach in rice. BMC Plant Biol. 2015, 15, 218. [Google Scholar] [CrossRef]
- Padmashree, R.; Barbadikar, K.M.; Honnappa; Magar, N.D.; Balakrishnan, D.; Lokesha, R.; Gireesh, C.; Siddaiah, A.M.; Madhav, M.S.; Ramesha, Y.M.; et al. Genome-wide association studies in rice germplasm reveal significant genomic regions for root and yield-related traits under aerobic and irrigated conditions. Front. Plant Sci. 2023, 14, 1143853. [Google Scholar] [CrossRef]
- Zhang, P.; Zhong, K.; Shahid, M.Q.; Tong, H. Association analysis in rice: From application to utilization. Front. Plant Sci. 2016, 7, 1202. [Google Scholar] [CrossRef]
- Wang, C.H.; Yang, Y.L.; Yuan, X.P.; Xu, Q.; Feng, Y.; Yu, H.Y.; Wang, Y.P.; Wei, X.H. Genome-wide association study of blast resistance in indica rice. BMC Plant Biol. 2014, 14, 311–320. [Google Scholar] [CrossRef]
- Agrama, H.A.; Eizenga, G.C.; Yan, W. Association mapping of yield and its components in rice cultivars. Mol. Breed. 2007, 19, 341–356. [Google Scholar] [CrossRef]
- Qiu, X.; Yang, J.; Zhang, F.; Niu, Y.; Zhao, X.; Shen, C.; Chen, K.; Teng, S.; Xu, J. Genetic dissection of rice appearance quality and cooked rice elongation by genome-wide association study. Crop. J. 2021, 9, 1470–1480. [Google Scholar] [CrossRef]
- Mather, K.A.; Caicedo, A.L.; Polato, N.R.; Olsen, K.M.; McCouch, S.; Purugganan, M.D. The extent of linkage disequilibrium in rice (Oryza sativa L.). Genetics 2007, 177, 2223–2232. [Google Scholar] [CrossRef]
- Tibbs Cortes, L.; Zhang, Z.; Yu, J. Status and prospects of genome-wide association studies in plants. Plant Genome 2021, 14, e20077. [Google Scholar] [CrossRef]
- Kaler, A.S.; Purcell, L.C. Estimation of a significance threshold for genome-wide association studies. BMC Genom. 2019, 20, 618–624. [Google Scholar] [CrossRef]
- Gowda, R.S.R.; Sharma, S.; Gill, R.S.; Mangat, G.S.; Bhatia, D. Genome wide association studies and candidate gene mining for understanding the genetic basis of straw silica content in a set of Oryza nivara (Sharma et Shastry) accessions. Front. Plant Sci. 2023, 14, 1174266. [Google Scholar] [CrossRef]
- Guo, H.; Cui, Y.; Huang, L.; Ge, L.; Xu, X.; Xue, D.; Tang, M.; Zheng, J.; Yi, Y.; Chen, L. The RNA binding protein OsLa influences grain and anther development in rice. Plant J. 2022, 110, 1397–1414. [Google Scholar] [CrossRef]
- Ju, C.; Ma, X.; Han, B.; Zhang, W.; Zhao, Z.; Geng, L.; Cui, D.; Han, L. Candidate gene discovery for salt tolerance in rice (Oryza sativa L.) at the germination stage based on genome-wide association study. Front. Plant Sci. 2022, 13, 1010654. [Google Scholar] [CrossRef]
- Yin, W.; Lu, T.; Chen, Z.; Lu, T.; Ye, H.; Mao, Y.; Luo, Y.; Lu, M.; Zhu, X.; Yuan, X.; et al. Quantitative trait locus mapping and candidate gene analysis for salt tolerance at bud stage in rice. Front. Plant Sci. 2023, 13, 1041081. [Google Scholar] [CrossRef]
- RRen, Z.; Bai, F.; Xu, J.; Wang, L.; Wang, X.; Zhang, Q.; Feng, C.; Niu, Q.; Zhang, L.; Song, J.; et al. A chloride efflux transporter, BIG RICE GRAIN 1, is involved in mediating grain size and salt tolerance in rice. J. Integr. Plant Biol. 2021, 63, 2150–2163. [Google Scholar] [CrossRef]
- Tamura, T.; Asakura, T.; Uemura, T.; Ueda, T.; Terauchi, K.; Misaka, T.; Abe, K. Signal peptide peptidase and its homologs in Arabidopsis thaliana—Plant tissue-specific expression and distinct subcellular localization. FEBS J. 2008, 275, 34–43. [Google Scholar] [CrossRef]
- Rafalski, J.A. Association genetics in crop improvement. Curr. Opin. Plant Biol. 2010, 13, 174–180. [Google Scholar] [CrossRef]
- Cai, D.; Xiao, Y.; Yang, W.; Ye, W.; Wang, B.; Younas, M.; Wu, J.; Liu, K. Association mapping of six yield-related traits in rapeseed (Brassica napus L.). Theor. Appl. Genet. 2014, 127, 85–96. [Google Scholar] [CrossRef]
- Zhang, X.; Sun, J.; Cao, X.; Song, X. Epigenetic mutation of RAV6 affects leaf angle and seed size in rice. Plant Physiol. 2015, 169, 2118–2128. [Google Scholar] [CrossRef]
- Sood, B.C.; Siddiq, E.A. A rapid technique for scent determination in rice [India]. Indian J. Genet. Plant Breed. 1978, 38, 268–271. [Google Scholar]
- Revelle, W. Psych: Procedures for Psychological, Psychometric, and Personality Research. Northwestern University, Evanston, Illinois. R Package Version 2.4.3. 2024. Available online: https://CRAN.R-project.org/package=psych (accessed on 15 February 2024).
- Murray, M.G.; Thompson, W.F. Rapid isolation of high molecular weight plant DNA. Nucleic Acids Res. 1980, 10, 4321–4325. [Google Scholar] [CrossRef]
- Singh, N.; Jayaswal, P.K.; Panda, K.; Mandal, P.; Kumar, V.; Singh, B.; Mishra, S.; Singh, Y.; Singh, R.; Rai, V.; et al. Single-copy gene based 50 K SNP chip for genetic studies and molecular breeding in rice. Sci. Rep. 2015, 5, 11600. [Google Scholar] [CrossRef]
- Browning, B.L.; Browning, S.R. Genotype Imputation with Millions of Reference Samples. Am. J. Hum. Genet. 2016, 98, 116–126. [Google Scholar] [CrossRef]
- Bradbury, P.J.; Zhang, Z.; Kroon, D.E.; Casstevens, T.M.; Ramdoss, Y.; Buckler, E.S. TASSEL: Software for association mapping of complex traits in diverse samples. Bioinformatics 2007, 23, 2633–2635. [Google Scholar] [CrossRef]
- Letunic, I.; Bork, B. Interactive Tree of Life (iTOL) v5: An online tool for phylogenetic tree display and annotation. Nucleic Acids Res. 2021, 38, 293–296. [Google Scholar] [CrossRef]
- Pritchard, J.K.; Stephens, M.; Donnelly, P. Inference of population structure using multilocus genotype data. Genetics 2000, 155, 945–959. [Google Scholar] [CrossRef]
- Evanno, G.; Regnaut, S.; Goudet, J. Detecting the number of clusters of individuals using the software STRUCTURE: A simulation study. Mol. Ecol. 2005, 14, 2611–2620. [Google Scholar] [CrossRef]
- Jombart, T. Adegenet: A R package for the multivariate analysis of genetic markers. Bioinformatics 2010, 24, 1403–1405. [Google Scholar] [CrossRef]
- Duan, P.; Xu, J.; Zeng, D.; Zhang, B.; Geng, M.; Zhang, G.; Huang, K.; Huang, L.; Xu, R.; Ge, S.; et al. Natural variation in the promoter of GSE5 contributes to grain size diversity in rice. Mol. Plant 2017, 10, 685–694. [Google Scholar] [CrossRef]
- Kawahara, Y.; de la Bastide, M.; Hamilton, J.P.; Kanamori, H.; McCombie, W.R.; Ouyang, S.; Schwartz, D.C.; Tanaka, T.; Wu, J.; Zhou, S.; et al. Improvement of the Oryza sativa Nipponbare reference genome using next generation sequence and optical map data. Rice 2013, 6, 4. [Google Scholar] [CrossRef]
- Ma, X.; Yan, H.; Yang, J.; Liu, Y.; Li, Z.; Sheng, M.; Cao, Y.; Yu, X.; Yi, X.; Xu, W.; et al. PlantGSAD: A comprehensive gene set annotation database for plant species. Nucleic Acids Res. 2022, 50, 1456–1467. [Google Scholar] [CrossRef]
- Gabriel, S.B.; Schaffner, S.F.; Nguyen, H.; Moore, J.M.; Roy, J.; Blumenstiel, B.; Higgins, J.; DeFelice, M.; Lochner, A.; Faggart, M.; et al. The structure of haplotype blocks in the human genome. Science 2002, 296, 2225–2229. [Google Scholar] [CrossRef]












| Mean | SD | Range | Skewness | Kurtosis | CV_Percentage | |
|---|---|---|---|---|---|---|
| GL | 5.658629 | 0.682624 | 4.38594 | −0.49934 | 1.305461 | 12.0634111 |
| GW | 2.428859 | 0.382422 | 1.8533 | −0.27133 | −0.55127 | 15.74491809 |
| LWR | 2.377681 | 0.427131 | 2.990061 | 1.053315 | 1.789657 | 17.96418124 |
| Aroma | 0.089027 | 0.338326 | 3 | 4.379833 | 22.1524 | 380.0265163 |
| Trait | Method | Marker name | Chromosome | Marker Position (bp) | QTNs | QTN Effect | LOD Score | r2 (%) | MAF | Genotype for Code 1 | Gene IDs | Annotation |
|---|---|---|---|---|---|---|---|---|---|---|---|---|
| Grain Length | mrMLM | AX-95915857 | 1 | 3679136 | qGL-1-1 | 0.1913 | 3.7641 | 5.6871 | 0.1975 | CC | LOC_Os01g07650 | expressed protein |
| ISIS EM-BLASSO | AX-95947399 | 2 | 3704491 | qGL-1-2 | 0.1371 | 3.0412 | 1.8314 | 0.1284 | CC | LOC_Os02g07200 | protein-O-fucosyltransferase 1, putative, expressed | |
| FASTmrMLM/FASTmrEMMA | AX-95936094 | 4 | 23306070 | qGL-4-1 | −0.000026~−0.27 | 4.5217~5.5504 | 0.000000145~3.7609 | 0.4327 | GG | LOC_Os04g39510 | expressed protein | |
| FASTmrEMMA/mrMLM | AX-95926370 | 5 | 3306008 | qGL-5-1 | 0.2846~2.994 | 3.4738~3.588 | 1.4796~1.567 | 0.1056 | AA | LOC_Os05g06470 | suppressor of Mek, putative, expressed | |
| pLARmEB | AX-95925933 | 5 | 14277675 | qGL-5-2 | −0.1238 | 3.6741 | 2.5645 | 0.1366 | CC | LOC_Os05g24760 | harpin-induced protein 1 domain containing protein, expressed | |
| mrMLM | AX-95930845 | 8 | 26316254 | qGL-8-1 | 0.1895 | 5.7229 | 6.0554 | 0.2422 | TT | LOC_Os08g41890 | microtubule associated protein, putative, expressed | |
| mrMLM/pLARmEB/FASTmrMLM/ISIS EM-BLASSO | AX-95963880 | 12 | 11729858 | qGL-12-1 | −0.0734~−0.1123 | 3.1694~3.2826 | 1.0612~2.4436 | 0.3929 ~0.3954 | CC | LOC_Os12g20150 | phosphoglucan, water dikinase, chloroplast precursor, putative, expressed | |
| FASTmrEMMA | AX-95964306 | 12 | 5033082 | qGL-12-2 | −0.2342 | 3.1072 | 1.4545 | 0.1946 | AA | LOC_Os12g09570 | GTP-binding protein, putative, expressed | |
| Grain Width | FASTmrMLM/FASTmrEMMA | AX-95946823 | 2 | 25626218 | qGW-2-1 | −0.0000137~−0.0009 | 3.355~4.1584 | 0.0000000636 ~0.0000993 | 0.1967~0.2536 | AA | LOC_Os02g42600 | double-stranded RNA-binding motif containing protein, expressed |
| FASTmrEMMA, mrMLM | AX-95952472 | 4 | 34497326 | qGW-4-1 | 0.1513~0.1655 | 4.338~4.563 | 1.5816~1.65 | 0.1304~0.1415 | AA | LOC_Os04g58320 | zinc finger, RING-type, putative, expressed | |
| pLARmEB | AX-95936134 | 4 | 34501576 | qGW-4-2 | 0.0664 | 3.141 | 1.2942 | 0.2412 | GG | LOC_Os04g58330 | expressed protein | |
| pLARmEB/ISIS EM-BLASSO | AX-95955169 | 6 | 2804963 | qGW-6-1 | 0.0000239~0.1504 | 3.8218~4.9504 | 0.00000014 ~5.3481 | 0.1511~0.1511 | AA | LOC_Os06g06080 | serine esterase family protein, putative, expressed | |
| pLARmEB | AX-95955084 | 6 | 8061158 | qGW-6-2 | 0.0011 | 5.0742 | 7.00 × 10−4 | 0.2733 | TT | LOC_Os06g14412 | - | |
| ISIS EM-BLASSO | AX-95927762 | 6 | 26193259 | qGW-6-3 | −0.123 | 4.4299 | 3.1062 | 0.1263 | GG | LOC_Os06g43560 | phox-domain-containing protein, putative | |
| ISIS EM-BLASSO | AX-95930391 | 8 | 25765812 | qGW-8-1 | −0.0681 | 5.299 | 2.4006 | 0.2019 | TT | LOC_Os08g40700 | retrotransposon protein, putative, unclassified, expressed | |
| FASTmrMLM | AX-95932902 | 11 | 4372488 | qGW-11-1 | 2.53 × 10−5 | 3.1536 | 1.18 × 10−7 | 0.0973 | GG | LOC_Os11g08300 | aldehyde dehydrogenase, putative, expressed | |
| mrMLM/FASTmrMLM | AX-95933306 | 12 | 14486551 | qGW-12-1 | 0.0874~0.0639 | 3.2978~3.9913 | 4.2112~2.2787 | 0.2297~0.2288 | CC | LOC_Os12g25200 | chloride transporter, chloride channel family, putative, expressed | |
| Aroma | FASTmrMLM/pLARmEB | AX-95941053 | 1 | 3733408 | qAro-1-2 | −0.0826~−0.0664 | 3.9647~4.3223 | 5.4883~2.3916 | 0.323~0.323 | GG | LOC_Os01g07780 | embryo-specific 3, putative, expressed |
| mrMLM | AX-95918031 | 1 | 32403084 | qAro-1-1 | −0.0743 | 4.695 | 4.2599 | 0.3368 | TT | LOC_Os01g55700 | NLI interacting factor-like phosphatase, putative, expressed | |
| mrMLM/pLARmEB | AX-95921840 | 3 | 1255081 | qAro-3-1 | 0.1321~0.0947 | 4.642~3.6354 | 1.6736~0.6132 | 0.1081~0.1118 | TT | LOC_Os03g03080 | expressed protein | |
| mrMLM/FASTmrMLM/pLARmEB | AX-95949210 | 3 | 3746297 | qAro-3-2 | 0.0706~0.082 | 3.6107~5.164 | 2.2391~ 4.2313 | 0.2027~0.2019 | GG | LOC_Os03g07420 | 3-dehydroquinate synthase, putative, expressed | |
| pLARmEB | AX-95926338 | 5 | 7909609 | qAro-5-1 | −0.001 | 4.0391 | 6.00 × 10−4 | 0.3489 | TT | LOC_Os05g14170 | expressed protein | |
| mrMLM/FASTmrMLM/pLARmEB/ISIS EM-BLASSO | AX-95954140 | 5 | 23838482 | qAro-5-2 | −0.1011~0.1351 | 4.2957~5.0865 | 2.9072~4.5818 | 0.0832~0.084 | TT | LOC_Os05g40790 | CCR4-NOT transcription factor, putative, expressed | |
| mrMLM, FASTmrMLM | AX-95930543 | 8 | 353775 | qAro-8-1 | −0.0362~−0.0883 | 3.2939~ 5.467 | 1.731~5.266 | 0.2443~0.2453 | GG | LOC_Os08g01600 | polygalacturonase, putative, expressed | |
| mrMLM/FASTmrMLM | AX-95937862 | 8 | 7680987 | qAro-8-2 | −0.0876~−0.0584 | 3.4328~ 3.9724 | 6.1051/2.8655 | 0.317/0.3178 | GG | LOC_Os08g12930 | hypothetical protein | |
| mrMLM | AX-95930157 | 8 | 19040720 | qAro-8-3 | 0.0676 | 3.7067 | 2.5924 | 0.29 | AA | LOC_Os08g31060 | phospholipase D alpha 1, putative, expressed | |
| pLARmEB, mrMLM | AX-95930471 | 8 | 27365210 | qAro-8-4 | 2.00 × 10−4~3.00 × 10−4 | 3.2194~3.311 | 1.77 × 10−5~1.88 × 10−5 | 0.2246~0.3355 | CC | LOC_Os08g43470 | ER lumen protein-retaining receptor, putative, expressed | |
| mrMLM/FASTmrMLM/FASTmrEMMA | AX-95960288 | 10 | 5865033 | qAro-10-1 | 0.1023~0.2771 | 3.0582~5.8835 | 2.3016~4.7461 | 0.0759~0.0797 | AA | LOC_Os10g11022 | expressed protein | |
| FASTmrEMMA | AX-95932719 | 11 | 20143226 | qAro-11-1 | 0.1237 | 4.9965 | 2.1561 | 0.2267 | AA | LOC_Os11g35210 | NB-ARC domain containing protein, expressed | |
| Length–Width Ratio | FASTmrMLM | AX-95918592 | 1 | 1413408 | qLWR-1-1 | 2.76 × 10−5 | 3.408 | 3.61 × 10−7 | 0.3727 | TT | LOC_Os01g03510 | WD domain, G-beta repeat domain containing protein, expressed |
| FASTmrEMMA | AX-95916503 | 1 | 1420092 | qLWR-1-3 | 0.0981 | 3.0561 | 1.0236 | 0.4451 | AA | LOC_Os01g03520 | ubiquitin conjugating enzyme protein, putative, expressed | |
| FASTmrMLM | AX-95915947 | 1 | 9269345 | qLWR-1-2 | −1.91 × 10−5 | 4.9725 | 1.84 × 10−7 | 0.4482 | GG | LOC_Os01g16350 | hydroxymethylglutaryl-CoA lyase, putative, expressed | |
| mrMLM | AX-95920263 | 2 | 5048675 | qLWR-2-1 | −0.122 | 4.5 | 6.3408 | 0.2173 | CC | LOC_Os02g09790 | disease resistance protein RPM1, putative, expressed | |
| FASTmrMLM | AX-95947983 | 3 | 10729510 | qLWR-3-1 | −3.00 × 10−4 | 3.0226 | 2.09 × 10−5 | 0.1232 | CC | LOC_Os03g19180 | GCRP8—Glycine and cysteine rich family protein precursor, putative, expressed | |
| FASTmrMLM/pLARmEB | AX-95948231 | 3 | 30407414 | qLWR-3-2 | −0.000032475~−0.0003 | 3.5182~5.3355 | 0.0000005739~0.000033246 | 0.4493~0.4499 | AA | LOC_Os03g53110 | CorA-like magnesium transporter protein, putative, expressed | |
| FASTmrEMMA | AX-95924497 | 4 | 23296090 | qLWR-4-1 | −0.2448 | 6.6925 | 7.0641 | 0.3882 | CC | LOC_Os04g39489 | amino acid transporter, putative, expressed | |
| pLARmEB | AX-95952612 | 5 | 28919036 | qLWR-5-1 | 4.47 × 10−5 | 3.1763 | 6.47 × 10−7 | 0.1656 | AA | LOC_Os05g50590 | expressed protein | |
| pLARmEB | AX-95957972 | 7 | 21390506 | qLWR-7-1 | −0.0012 | 4.5794 | 6.00 × 10−4 | 0.4472 | TT | LOC_Os07g35720 | expressed protein | |
| FASTmrEMMA | AX-95940473 | 8 | 17068152 | qLWR-8-1 | −0.1562 | 3.6527 | 2.7457 | 0.4431 | GG | LOC_Os08g28180 | PPR-repeat-domain-containing protein, putative, expressed | |
| FASTmrMLM | AX-95932553 | 11 | 15884775 | qLWR-11-1 | 0.004 | 3.5556 | 0.0058 | 0.4917 | GG | LOC_Os11g28470 | expressed protein |
| Trait | Gene | Chromosome | Position (bp) | Functional Annotation | Expressed in | Arabidopsis_Homolog |
|---|---|---|---|---|---|---|
| Grain Length | LOC_Os04g39440.1 | Chr4 | 23493028–23495366 | ras-related protein | Seed | AT4G17170 |
| LOC_Os04g39489.1 | Chr4 | 23523092–23514262 | amino acid transporter | Seed | AT5G23810 | |
| LOC_Os04g39560.1 | Chr4 | 23560637–23553703 | expressed protein | Seed | AT5G56240 | |
| LOC_Os05g06470.1 | Chr5 | 3323282–3334849 | suppressor of Mek | Seed | AT3G06670 | |
| LOC_Os05g06480.1 | Chr5 | 3339817–3335248 | inorganic H+ pyrophosphatase | Seed | AT1G15690 | |
| LOC_Os05g06460.1 | Chr5 | 3319717–3313391 | dihydrolipoyl dehydrogenase | Seed | AT3G16950 | |
| LOC_Os05g06450.1 | Chr5 | 3312616–3307928 | tubulin/FtsZ domain containing protein | Seed | AT3G61650 | |
| LOC_Os05g06440.1 | Chr5 | 3303197–3307713 | dnaJ homolog subfamily B member 11 precursor | Seed | AT3G62600 | |
| LOC_Os05g06430.1 | Chr5 | 3298055–3294696 | OsPDIL2-1 protein disulfide isomerase PDIL2-1 | Seed | AT2G47470 | |
| LOC_Os12g20150.1 | Chr12 | 11744531–11727395 | phosphoglucan, water dikinase, chloroplast precursor | Seed | AT5G26570 | |
| LOC_Os12g20144.1 | Chr12 | 11715886–11724620 | ** | ** | ** | |
| Grain Width | LOC_Os02g42700.1 | Chr2 | 25683601–25679712 | thioredoxin | Seed | AT4G03520 |
| LOC_Os02g42590.1 | Chr2 | 25619021–25624875 | WD-40 repeat family protein | Seed | AT3G15470 | |
| LOC_Os02g42600.1 | Chr2 | 25626748–25636072 | double-stranded RNA-binding motif containing protein | Seed | AT4G21670 | |
| LOC_Os02g42690.3 | Chr2 | 25675323–25671123 | zinc finger, C3HC4 type domain containing protein | Seed | AT4G03510 | |
| LOC_Os02g42650.1 | Chr2 | 25652321–25659494 | expansin precursor | Seed | AT4G28250 | |
| LOC_Os04g58250.1 | Chr4 | 34685203–34680601 | protein kinase | Seed | AT3G09010 | |
| LOC_Os04g58280.2 | Chr4 | 34697202–34694304 | stem-specific protein TSJT1 | Seed | AT4G27450 | |
| LOC_Os04g58320.2 | Chr4 | 34714719–34717281 | zinc finger, RING-type | Seed | AT5G01520 | |
| LOC_Os04g58390.1 | Chr4 | 34737984–34742719 | allantoinase | Seed | AT4G04955 | |
| LOC_Os04g58240.1 | Chr4 | 34677494–34681940 | expressed protein | Seed | AT2G20760 | |
| LOC_Os04g58330.1 | Chr4 | 34721250–34717761 | expressed protein | Seed | AT2G20740 | |
| LOC_Os04g58310.1 | Chr4 | 34707954–34706681 | CBS domain-containing protein | Seed | AT5G53750 | |
| LOC_Os06g06030.1 | Chr6 | 2774076–2771069 | peptidase, T1 family | Seed | AT1G13060 | |
| LOC_Os06g06050.1 | Chr6 | 2780715–2785271 | OsFBL27—F-box domain and LRR containing protein | Seed | AT2G42620 | |
| LOC_Os06g06090.1 | Chr6 | 2813004–2806543 | CGMC_MAPKCMGC_2_ERK.12—CGMC includes CDA, MAPK, GSK3, and CLKC kinases | Seed | AT2G43790 | |
| LOC_Os06g05990.1 | Chr6 | 2754799–2749783 | zinc finger family protein | Seed | AT3G54780 | |
| LOC_Os06g06150.1 | Chr6 | 2849506–2848747 | zinc finger, C3HC4 type domain containing protein | Seed | AT5G58580 | |
| LOC_OS06g06080.1 | Chr6 | 2803003–2806286 | serine esterase family protein | Seed | AT1G29120 | |
| LOC_Os06g06160.1 | Chr6 | 2855441–2859561 | IQ calmodulin-binding motif domain containing protein | Seed | AT2G33990 | |
| LOC_Os12g25200.1 | Chr12 | 14491027–14487396 | chloride transporter, chloride channel family | Seed | AT3G27170 | |
| LOC_Os12g25210.1 | Chr12 | 14503903–14503331 | signal peptidase complex subunit 1 | Seed | AT4G40042 | |
| Aroma | LOC_Os01g07740.1 | Chr1 | 3718637–3713687 | DEAD-box ATP-dependent RNA helicase 14, | ** | ** |
| LOC_Os01g07760.2 | Chr1 | 3728603–3724314 | phospholipase D | Seed, Inflorescence | AT3G15730 | |
| LOC_Os01g07780.1 | Chr1 | 3735829–3736828 | embryo-specific 3 | Seed, Inflorescence | AT2G41475 | |
| LOC_Os01g07720.4 | Chr1 | 3709016–3705420 | dolichyl-P-Man Man-PP-dolichyl mannosyltransferase | Seed, Inflorescence | AT2G47760 | |
| LOC_Os03g03080.1 | Chr3 | 1276308–1276989 | ** | ** | ** | |
| LOC_Os03g03020.1 | Chr3 | 1234476–1232214 | L11 domain containing ribosomal protein | Seed, Inflorescence | AT1G32990 | |
| LOC_Os03g03130.1 | Chr3 | 1318244–1321665 | ubiquitin-conjugating enzyme | Seed, Inflorescence | AT3G57870 | |
| LOC_Os03g07430.1 | Chr3 | 3771557–3767426 | protein kinase domain containing protein | Seed, Inflorescence | AT2G02800 | |
| LOC_Os03g07450.1 | Chr3 | 3786933–3784283 | homeobox associated leucine zipper | Seed, Inflorescence | AT1G69780 | |
| LOC_Os05g40820.2 | Chr5 | 23943173–23939897 | ribosomal protein L24 | Seed, Inflorescence | AT3G53020 | |
| LOC_Os05g40790.1 | Chr5 | 23916372–23923564 | CCR4-NOT transcription factor | Seed, Inflorescence | AT1G07705 | |
| LOC_Os08g43410.1 | Chr8 | 27459934–27458307 | LRP1 | Seed, Inflorescence | AT3G51060 | |
| LOC_Os08g43430.1 | Chr8 | 27475042–27473382 | CXE carboxylesterase | Seed, Inflorescence | AT2G45600 | |
| LOC_Os08g43440.1 | Chr8 | 27481168–27479061 | cytochrome P450 | Seed, Inflorescence | AT4G12320 | |
| LOC_Os08g43450.1 | Chr8 | 27488798–27486168 | MYB-like protein 1 | ** | ** | |
| LOC_Os08g43470.1 | Chr8 | 27497190–27501389 | ER lumen protein retaining receptor | Seed, Inflorescence | AT4G38790 | |
| LOC_Os08g43480.1 | Chr8 | 27502289–27504972 | zinc finger, C3HC4 type family protein | Seed, Inflorescence | AT3G19910 | |
| LOC_Os08g43540.1 | Chr8 | 27533250–27537106 | peptidase, T1 family | Seed, Inflorescence | AT5G66140 | |
| LOC_Os08g43510.1 | Chr8 | 27519462–27522329 | thaumatin | Seed, Inflorescence | AT4G38660 | |
| LOC_Os10g10990.1 | Chr10 | 6087844–6079970 | transcription initiation factor IIF, alpha subunit domain containing protein | Seed, Inflorescence | AT4G12610 | |
| LOC_Os10g11110.1 | Chr10 | 6144589–6150509 | ** | ** | AT3G28670 | |
| Length–Width ratio | LOC_Os03g53050.1 | Chr3 | 30422191–30425543 | WRKY121 | Seed | AT2G30590 |
| LOC_Os03g53070.1 | Chr3 | 30436527–30437857 | prenylated rab acceptor | Seed | AT1G08770 | |
| LOC_Os03g53080.1 | Chr3 | 30445269–30440115 | zinc finger, C3HC4 type domain containing protein | Seed | AT1G06770 | |
| LOC_Os03g53110.1 | Chr3 | 30459072–30453759 | CorA-like magnesium transporter protein | Seed | AT5G64560 | |
| LOC_Os03g53100.1 | Chr3 | 30451518–30452854 | response regulator receiver domain containing protein | Seed | AT3G04280 | |
| LOC_Os03g53150.1 | Chr3 | 30483289–30480662 | OsIAA13—Auxin-responsive Aux/IAA gene family member | Seed | AT3G04730 | |
| LOC_Os03g53090.1 | Chr3 | 30449074–30450181 | LRR-kinase protein | Seed | AT4G36180 |
Disclaimer/Publisher’s Note: The statements, opinions and data contained in all publications are solely those of the individual author(s) and contributor(s) and not of MDPI and/or the editor(s). MDPI and/or the editor(s) disclaim responsibility for any injury to people or property resulting from any ideas, methods, instructions or products referred to in the content. |
© 2024 by the authors. Licensee MDPI, Basel, Switzerland. This article is an open access article distributed under the terms and conditions of the Creative Commons Attribution (CC BY) license (https://creativecommons.org/licenses/by/4.0/).
Share and Cite
Roy Choudhury, D.; Maurya, A.; Singh, N.K.; Singh, G.P.; Singh, R. Discovering New QTNs and Candidate Genes Associated with Rice-Grain-Related Traits within a Collection of Northeast Core Set and Rice Landraces. Plants 2024, 13, 1707. https://doi.org/10.3390/plants13121707
Roy Choudhury D, Maurya A, Singh NK, Singh GP, Singh R. Discovering New QTNs and Candidate Genes Associated with Rice-Grain-Related Traits within a Collection of Northeast Core Set and Rice Landraces. Plants. 2024; 13(12):1707. https://doi.org/10.3390/plants13121707
Chicago/Turabian StyleRoy Choudhury, Debjani, Avantika Maurya, Nagendra Kumar Singh, Gyanendra Prata Singh, and Rakesh Singh. 2024. "Discovering New QTNs and Candidate Genes Associated with Rice-Grain-Related Traits within a Collection of Northeast Core Set and Rice Landraces" Plants 13, no. 12: 1707. https://doi.org/10.3390/plants13121707
APA StyleRoy Choudhury, D., Maurya, A., Singh, N. K., Singh, G. P., & Singh, R. (2024). Discovering New QTNs and Candidate Genes Associated with Rice-Grain-Related Traits within a Collection of Northeast Core Set and Rice Landraces. Plants, 13(12), 1707. https://doi.org/10.3390/plants13121707

