Effect of Deep Placement Fertilization on the Distribution of Biomass, Nutrients, and Root System Development in Potato Plants
Abstract
1. Introduction
2. Results and Discussion
2.1. Distribution of Biomass to Above-Ground Parts, Roots, and Tubers
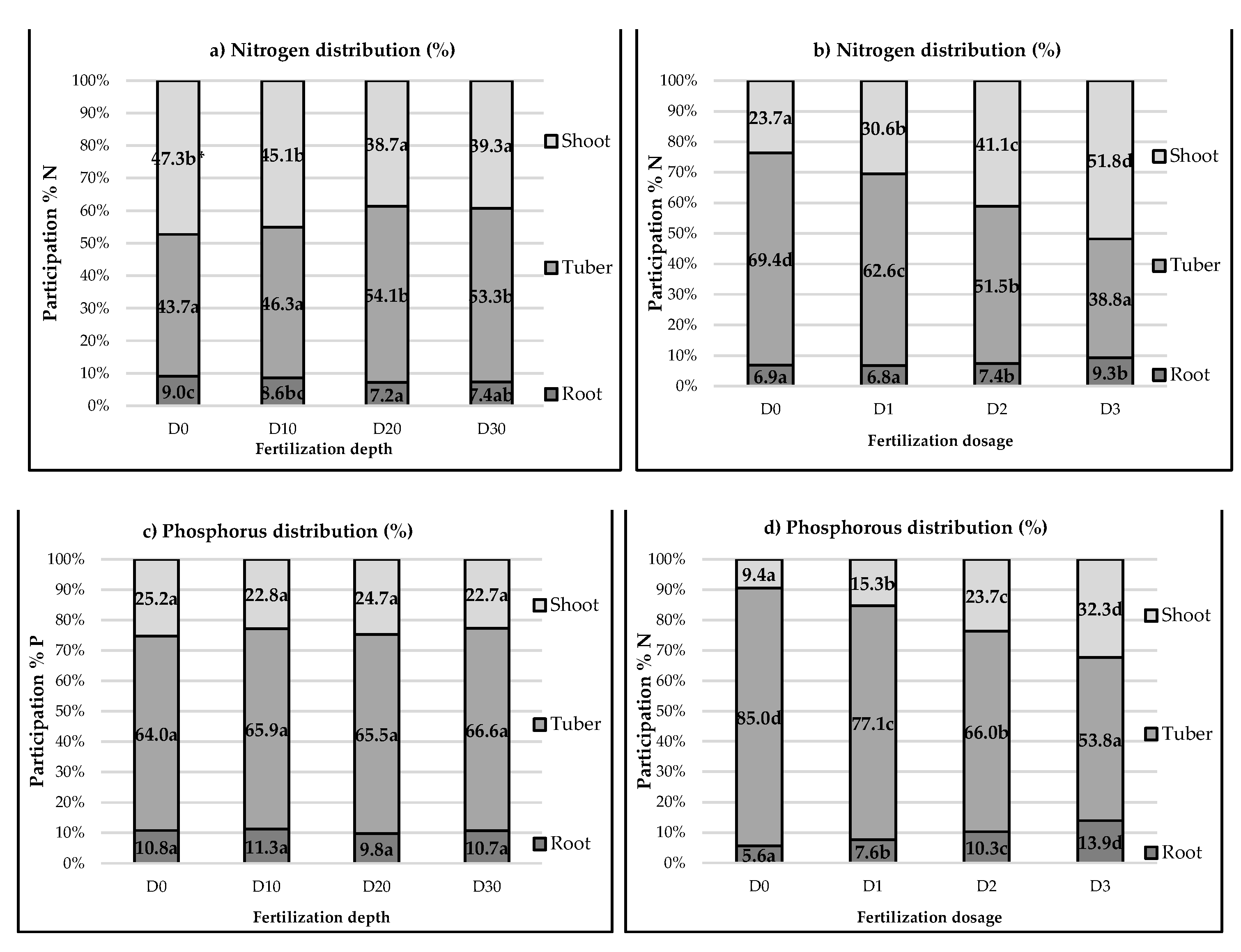
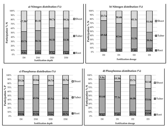
2.2. Uptake and Distribution of Nitrogen and Phosphorus
2.3. Root System Development
3. Materials and Methods
3.1. Experimental Design
3.2. Fertilizer Study
3.3. Statistical Analysis
4. Conclusions
Author Contributions
Funding
Institutional Review Board Statement
Data Availability Statement
Acknowledgments
Conflicts of Interest
References
- Drew, M.C. Comparison of the effects of a localised supply of phosphate, nitrate, ammonium and potassium on the growth of the seminal root system, and the shoot in barley. New Phytol. 1975, 75, 479–490. [Google Scholar] [CrossRef]
- Linkohr, B.I.; Williamson, L.C.; Fitter, A.H.; Leyser, H.M.O. Nitrate and phosphate availability and distribution have different effects on root system architecture of Arabidopsis. Plant J. 2002, 29, 751–760. [Google Scholar] [CrossRef] [PubMed]
- Stokes, A.; Atger, C.; Bengough, A.G.; Fourcaud, T.; Sidle, R.C. Desirable Plant root traits for protecting natural and engineered slopes against landslides. Plant Soil 2009, 324, 1–30. [Google Scholar] [CrossRef]
- De Kroon, H.; Visser, E.J.W.; Huber, H.; Mommer, L.; Hutchings, M.J. A modular concept of plant foraging behaviour: The interplay between local responses and systemic control. Plant Cell Environ. 2009, 32, 704–712. [Google Scholar] [CrossRef]
- Hodge, A. Root decisions. Plant Cell Environ. 2009, 32, 628–640. [Google Scholar] [CrossRef]
- De Kroon, H.; Huber, H.; Stuefer, J.F.; Van Groenendael, J.M. A modular concept of phenotypic plasticity in plants. New Phytol. 2005, 166, 73–82. [Google Scholar] [CrossRef]
- Zotarelli, L.; Scholberg, J.M.; Dukes, M.D.; Muñoz-Carpena, R.; Icerman, J. Tomato yield, biomass accumulation, root distribution and irrigation water use efficiency on a sandy soil, as affected by nitrogen rate and irrigation scheduling. Agric. Water Manag. 2009, 96, 23–34. [Google Scholar] [CrossRef]
- Niu, Y.F.; Chai, R.S.; Jin, G.L.; Wang, H.; Tang, C.X.; Zhang, Y.S. Responses of root architecture development to low phosphorus availability: A review. Ann. Bot. 2013, 112, 391–408. [Google Scholar] [CrossRef]
- Garnett, T.; Conn, V.; Kaiser, B.N. Root based approaches to improving nitrogen use efficiency in plants. Plant Cell Environ. 2009, 32, 1272–1283. [Google Scholar] [CrossRef]
- Pohl, M.; Alig, D.; Körner, C.; Rixen, C. Higher plant diversity enhances soil stability in disturbed alpine ecosystems. Plant Soil 2009, 324, 91–102. [Google Scholar] [CrossRef]
- Guerrero-Campo, J.; Palacio, S.; Pérez-Rontomé, C.; Montserrat-Martí, G. Effect of root system morphology on root-sprouting and shoot-rooting abilities in 123 plant species from eroded lands in north-east Spain. Ann. Bot. 2006, 98, 439–447. [Google Scholar] [CrossRef] [PubMed]
- Jones, B.; Ljung, K. Subterranean space exploration: The development of root system architecture. Curr. Opin. Plant Biol. 2012, 15, 97–102. [Google Scholar] [CrossRef] [PubMed]
- Cambui, C.A.; Svennerstam, H.; Gruffman, L.; Nordin, A.; Ganeteg, U.; Näsholm, T. Patterns of plant biomass partitioning depend on Nitrogen source. PLoS ONE 2011, 6, 0019211. [Google Scholar] [CrossRef] [PubMed]
- Shu, L.; Shen, J.; Rengel, Z.; Tang, C.; Zhang, F. Cluster root formation by Lupinus albus is modified by stratified application of phosphorus in a split-root system. J. Plant Nutr. 2007, 30, 271–288. [Google Scholar] [CrossRef]
- Robinson, D. The responses of plants to non-uniform supplies of nutrients. New Phytol. 1994, 127, 635–674. [Google Scholar] [CrossRef]
- Moreno-Espíndola, I.P.; Rivera-Becerril, F.; de Jesús Ferrara-Guerrero, M.; De León-González, F. Role of root-hairs and hyphae in adhesion of sand particles. Soil Biol. Biochem. 2007, 39, 2520–2526. [Google Scholar] [CrossRef]
- Gao, S.; Pan, W.L.; Koenig, R.T. Integrated root system age in relation to plant nutrient uptake activity. Agron. J. 1998, 90, 505–510. [Google Scholar] [CrossRef]
- Robinson, D.; Linehan, D.J.; Caul, S. What limits nitrate uptake from soil? Plant Cell Environ. 1991, 14, 77–85. [Google Scholar] [CrossRef]
- López-Bucio, J.; Cruz-Ramírez, A.; Herrera-Estrella, L. The role of nutrient availability in regulating root architecture. Curr. Opin. Plant Biol. 2003, 6, 280–287. [Google Scholar] [CrossRef]
- Johnson, J.F.; Vance, C.P.; Allan, D.L. Phosphorus deficiency in Lupinus albus. Altered lateral root development and enhanced expression of phosphoenolpyruvate carboxylase. Plant Physiol. 1996, 112, 31–41. [Google Scholar] [CrossRef]
- Hinsinger, P. Bioavailability of soil inorganic P in the rhizosphere as affected by root-induced chemical changes: A review. Plant Soil 2001, 237, 173–195. [Google Scholar] [CrossRef]
- Schachtman, D.P.; Reid, R.J.; Ayling, S.M. Phosphorus Uptake by Plants: From Soil to Cell. Plant Physiol. 1998, 116, 447–453. [Google Scholar] [CrossRef] [PubMed]
- Hinsinger, P.; Plassard, C.; Tang, C.; Jaillard, B. Origins of root-mediated pH changes in the rhizosphere and their responses to environmental constraints: A review. Plant Soil 2003, 248, 43–59. [Google Scholar] [CrossRef]
- Hoffmann, C.; Ladewig, E.; Claassen, N.; Jungk, A. Phosphorus uptake of maize as affected by ammonium and nitrate nitrogen–Measurements and model calculations. Z. Pflanz. Bodenkd. 1994, 157, 225–232. [Google Scholar] [CrossRef]
- Jing, J.; Rui, Y.; Zhang, F.; Rengel, Z.; Shen, J. Localized application of phosphorus and ammonium improves growth of maize seedlings by stimulating root proliferation and rhizosphere acidification. Field Crops Res. 2010, 119, 355–364. [Google Scholar] [CrossRef]
- Lynch, J. Root architecture and plant productivity. Plant Physiol. 1995, 109, 7–13. [Google Scholar] [CrossRef] [PubMed]
- Pierret, A.; Latchackak, K.; Chathanvongsa, P.; Sengtaheuanghoung, O.; Valentin, C. Interactions between root growth, slope and soil detachment depending on land use: A case study in a small mountain catchment of Northern Laos. Plant Soil 2007, 301, 51–64. [Google Scholar] [CrossRef]
- De Baets, S.; Poesen, J.; Gyssels, G.; Knapen, A. Effects of grass roots on the erodibility of topsoils during concentrated flow. Geomorphology 2006, 76, 54–67. [Google Scholar] [CrossRef]
- Li, Q.; Liu, G.; Zhang, Z.; Tuo, D.; Xu, M. Effect of root architecture on structural stability and erodibility of topsoils during concentrated flow in hilly Loess Plateau. Chin. Geogr. Sci. 2015, 25, 757–764. [Google Scholar] [CrossRef]
- McCully, M.E. Roots in soil: Unearthing the complexities of roots and their rhizospheres. Annu. Rev. Plant Biol. 1999, 50, 695–718. [Google Scholar] [CrossRef]
- Smucker, A.J.M. Soil environmental modifications of root dynamics and measurement. Annu. Rev. Phytopathol. 1993, 31, 191–216. [Google Scholar] [CrossRef]
- Sommer, K. CULTAN-Düngung: Physiologisch, Ökologisch, Ökonomisch Optimiertes Düngungsverfahren für Ackerkulturen, Grünland, Gemüse, Zierpflanzen und Obstgehölze; Verlag Th. Mann: Bonn, Germany, 2005. [Google Scholar]
- Villa, P.M.; Sarmiento, L.; Rada, F.; Rodrigue, A.C.; Márquez, N.; Espinosa, W. Partition of biomass and nitrogen in a potato crop under three nitrogen fertilization treatments. Siembra 2020, 7, 57–68. [Google Scholar] [CrossRef]
- Fontes, P.C.R.; Braun, H.; Busato, C.; Cecon, P.R. Economic Optimum Nitrogen Fertilization Rates and Nitrogen Fertilization Rate Effects on Tuber Characteristics of Potato Cultivars. Potato Res. 2010, 53, 167–179. [Google Scholar] [CrossRef]
- Maltas, A.; Dupuis, B.; Sinaj, S. Yield and Quality Response of Two Potato Cultivars to Nitrogen Fertilization. Potato Res. 2018, 61, 97–114. [Google Scholar] [CrossRef]
- Mohamed, E.M.E.; Watthier, M.; Zanuncio, J.C.; Santos, R.H.S. Dry matter accumulation and potato productivity with green manure. Idesia 2017, 35, 79–86. [Google Scholar] [CrossRef]
- Murmu, K.; Thakur, C.; Kumar, A.; Singh, D. A Study on the Effect of Deep and Differential Depths Placement of Fertilizers on Potato Crop Response. Int. J. Agric. Innov. Res. 2014, 3, 331–338. [Google Scholar]
- Moewen, J.; Johnston, A.E. The effects of subsoiling and deep incorporation of p and k fertilizers on the yield and nutrient uptake of barley. potatoes. wheat and sugar beet grown in rotation. J. Agric. Sci. 1979, 92, 695–702. [Google Scholar] [CrossRef]
- Biemond, H.; Vos, J. Effects of nitrogen on the development and growth of the potato plant, the partitioning of dry matter, nitrogen and nitrate. Ann. Bot. 1992, 70, 37–45. [Google Scholar] [CrossRef]
- Alvarez-Sánchez, E.; Etchevers, J.D.; Ortiz, J.; Núñez, R.; Volke, V.; Tijerina, L.; Martínez, A. Biomass production and phosphorus accumulation of potato as affected by phosphorus nutrition. J. Plant Nutr. 1999, 22, 205–217. [Google Scholar] [CrossRef]
- Salas-Rosales, J.E.; Villa, P.M.; Rodrigues, A.C.; Rada FSalas-Rosales, J.E.; Villa, P.M.; Rodrigues, A.C.; Rada, F. Effects of nitrogen fertilization on the photosynthesis and biomass distribution in a potato crop. Peruv. J. Agron. 2020, 4, 68–74. [Google Scholar] [CrossRef]
- Alva, A.K.; Hodges, T.; Boydston, R.A.; Collins, H.P. Dry matter and nitrogen accumulations and partitioning in two potato cultivars. J. Plant Nutr. 2002, 25, 1621–1630. [Google Scholar] [CrossRef]
- Vos, J. Nitrogen responses and nitrogen management in potato. Potato Res. 2009, 52, 305–317. [Google Scholar] [CrossRef]
- Vos, J. The nitrogen response of potato (Solanum tuberosum L.) in the field: Nitrogen uptake and yield, harvest index and nitrogen concentration. Potato Res. 1997, 40, 237–248. [Google Scholar] [CrossRef]
- Kavvadias, V.; Paschalidis, C.; Akrivos, G.; Petropoulos, D. Nitrogen and Potassium Fertilization Responses of Potato (Solanum tuberosum) cv. Spunta. Commun. Soil Sci. Plant Anal. 2012, 43, 176–189. [Google Scholar] [CrossRef]
- Ghosh, S.C.; Asanuma, K.I.; Kusutani, A.; Toyota, M. Akihito Kusutani and Masanori Toyota. Nitrogen Distribution and Uptake Efficiency Traits of Potato under Different Nitrogen Regimes. Pak. J. Biol. Sci. 2000, 3, 943–948. [Google Scholar] [CrossRef]
- Nkebiwe, P.M.; Weinmann, M.; Bar-Tal, A.; Müller, T. Fertilizer placement to improve crop nutrient acquisition and yield: A review and meta-analysis. Field Crops Res. 2016, 196, 389–401. [Google Scholar] [CrossRef]
- Westermann, D.T.; Sojka, R.E. Tillage and nitrogen placement effects on nutrient uptake by potato. Soil Sci. Soc. Am. J. 1996, 60, 1448–1453. [Google Scholar] [CrossRef]
- Marschner, P.; Rengel, Z. Nutrient availability in soils. In Marschner’s Mineral Nutrition of Higher Plants, 3rd ed.; Marschner, P., Ed.; Academic Press: Cambridge, MA, USA; Elsevier: Amsterdam, The Netherlands, 2012; pp. 315–330. [Google Scholar]
- Sadeghi, A.M.; Kissel, D.E.; Cabrera, M.L. Estimating molecular diffusion coefficients of urea in unsaturated soil. Soil Sci. Soc. Am. J. 1989, 53, 15–18. [Google Scholar] [CrossRef]
- Clarke, A.L.; Barley, K.P. The uptake of nitrogen from soils in relation to solute diffusion. Aust. J. Soil Res. 1968, 6, 75–92. [Google Scholar] [CrossRef]
- Stalham, M.A.; Allen, E.J. Effect of variety, irrigation regime and planting date on depth, rate, duration and density of root growth in the potato (Solanum tuberosum) crop. J. Agric. Sci. 2001, 137, 251–270. [Google Scholar] [CrossRef]
- Iwama, K. Physiology of the potato: New insights into root system and repercussions for crop management. Potato Res. 2008. 51, 333–353. [CrossRef]






| Fertilizer Placement | Fertilizer Dosage | Average | Relative Value | ||
|---|---|---|---|---|---|
| D1 | D2 | D3 | |||
| D0 | 67.6b 1 | 74.6b | 84.7c | 75.6b 2 | 100 |
| D10 | 79.3b | 86.6c | 90.1c | 85.3d | 113 |
| D20 | 83.5b | 88.6b | 93.1b | 88.4d | 117 |
| D30 | 76.6b | 81.1b | 85.4b | 81.0c | 107 |
| Average | 76.8b | 82.7c | 88.3d | 82.6 | 109 |
| D0 = 43.3a | 43.3a | 57 | |||
| Fertilizer Placement | Fertilizer Dosage | Average | Relative Value | ||
|---|---|---|---|---|---|
| D1 | D2 | D3 | |||
| D0 | 17.6b 1 | 28.7c | 42.0d | 29.4c 2 | 100 |
| D10 | 20.1b | 34.7c | 40.1c | 31.7d | 108 |
| D20 | 22.7b | 30.5c | 37.8d | 30.3cd | 103 |
| D30 | 20.5b | 25.5c | 34.6d | 26.9b | 91 |
| Average | 20.2b | 29.9c | 38.6d | 29.6 | 100 |
| D0 = 7.7a | 7.7a | 26 | |||
| Fertilizer Placement | Fertilizer Dosage | Average | Relative Value | ||
|---|---|---|---|---|---|
| D1 | D2 | D3 | |||
| D0 | 44.8b 1 | 36.2a | 30.2a | 37.0a 2 | 100 |
| D10 | 52.4b | 43.3b | 35.9a | 43.8b | 118 |
| D20 | 54.6c | 50.8bc | 44.0b | 49.8c | 134 |
| D30 | 49.7c | 48.3bc | 41.9b | 46.6bc | 126 |
| Average | 50.4d | 44.6c | 38.0b | 44.3 | 120 |
| D0 = 33.0a | 33.0a | 89 | |||
| Fertilizer Placement | Fertilizer Dosage | Average | Relative Value | ||
|---|---|---|---|---|---|
| D1 | D2 | D3 | |||
| D0 | 5.5b 1 | 9.6c | 12.4d | 9.2cd 2 | 100 |
| D10 | 6.4b | 9.9c | 13.9d | 10.1d | 110 |
| D20 | 7.3b | 7.8b | 11.0c | 8.7c | 95 |
| D30 | 5.9b | 6.6bc | 9.2c | 7.2b | 79 |
| Average | 6.3b | 8.5c | 11.6d | 8.8 | 96 |
| D0 = 2.7a | 2.7a | 30 | |||
| Fertilizer Placement | Fertilizer Dosage | Average | Relative Value | |||||||
|---|---|---|---|---|---|---|---|---|---|---|
| D1 | D2 | D3 | N | P | N | P | ||||
| N | P | N | P | N | P | |||||
| D0 | 1.51b 1 | 0.20b 2 | 1.86c | 0.21bc | 2.35d | 0.23c | 1.91b 3 | 0.21b 4 | 100 | 100 |
| D10 | 1.77b | 0.21b | 2.31c | 0.22b | 2.65d | 0.22b | 2.24d | 0.22bc | 118 | 102 |
| D20 | 1.85b | 0.25b | 2.40c | 0.25b | 2.68d | 0.27b | 2.31d | 0.26d | 121 | 120 |
| D30 | 1.70b | 0.23b | 1.97b | 0.23b | 2.38c | 0.24b | 2.02c | 0.23c | 106 | 109 |
| Average | 1.71b | 0.22b | 2.14c | 0.23bc | 2.51d | 0.24c | 2.12 | 0.23 | 111 | 108 |
| D0 N = 0.66a | 0.66a | 0.13a | 35 | 62 | ||||||
| D0 P = 0.13a | ||||||||||
| Fertilizer Placement | Fertilizer Dosage | Average | Relative Value | ||
|---|---|---|---|---|---|
| D1 | D2 | D3 | |||
| D0 | 7.20b 1 | 8.86c | 11.17c | 9.08b 2 | 100 |
| D10 | 7.89b | 10.57c | 12.16d | 10.21c | 112 |
| D20 | 6.75b | 9.27c | 9.84c | 8.62b | 95 |
| D30 | 6.29b | 8.53c | 9.96d | 8.26b | 91 |
| Average | 7.04b | 9.31c | 10.78d | 9.04 | 100 |
| D0 = 5.16a | 5.16a | 57 | |||
| Parameter | Value | Level |
|---|---|---|
| pH (1M KCl) | 5.8 | Light acid |
| Available P (mg P2O5∙kg−1) | 165.0 | High |
| Available K (mg K2O∙kg−1) | 145.0 | Medium |
| Available Mg (mg MgO∙kg−1) | 60.0 | Medium |
| Clay content % | 17.0 | Light loamy sand |
| Nutrients | Fertilization Dosage | ||||
|---|---|---|---|---|---|
| D0 | D1 | D2 | D3 | ||
| (g·pot−1) | N | 0.0 | 1.30 | 2.60 | 3.90 |
| P2O5 | 0.0 | 0.65 | 1.30 | 1.95 | |
| K2O | 0.0 | 1.76 | 3.51 | 5.27 | |
| NPK 1 | 0.0 | 3.71 | 7.41 | 11.12 | |
| S—SO4 | 0.0 | 0.20 | 0.40 | 0.60 | |
Disclaimer/Publisher’s Note: The statements, opinions and data contained in all publications are solely those of the individual author(s) and contributor(s) and not of MDPI and/or the editor(s). MDPI and/or the editor(s) disclaim responsibility for any injury to people or property resulting from any ideas, methods, instructions or products referred to in the content. |
© 2023 by the authors. Licensee MDPI, Basel, Switzerland. This article is an open access article distributed under the terms and conditions of the Creative Commons Attribution (CC BY) license (https://creativecommons.org/licenses/by/4.0/).
Share and Cite
Niedziński, T.; Rutkowska, B.; Łabętowicz, J.; Szulc, W. Effect of Deep Placement Fertilization on the Distribution of Biomass, Nutrients, and Root System Development in Potato Plants. Plants 2023, 12, 1880. https://doi.org/10.3390/plants12091880
Niedziński T, Rutkowska B, Łabętowicz J, Szulc W. Effect of Deep Placement Fertilization on the Distribution of Biomass, Nutrients, and Root System Development in Potato Plants. Plants. 2023; 12(9):1880. https://doi.org/10.3390/plants12091880
Chicago/Turabian StyleNiedziński, Tomasz, Beata Rutkowska, Jan Łabętowicz, and Wiesław Szulc. 2023. "Effect of Deep Placement Fertilization on the Distribution of Biomass, Nutrients, and Root System Development in Potato Plants" Plants 12, no. 9: 1880. https://doi.org/10.3390/plants12091880
APA StyleNiedziński, T., Rutkowska, B., Łabętowicz, J., & Szulc, W. (2023). Effect of Deep Placement Fertilization on the Distribution of Biomass, Nutrients, and Root System Development in Potato Plants. Plants, 12(9), 1880. https://doi.org/10.3390/plants12091880

