Preservation of Phenols, Antioxidant Activity, and Cyclic Adenosine Monophosphate in Jujube (Ziziphus jujuba Mill.) Fruits with Different Drying Methods
Abstract
1. Introduction
2. Results
2.1. Color Preservation
2.2. Total Phenolic Content (TPC)
2.3. Proanthocyanidins (PA)
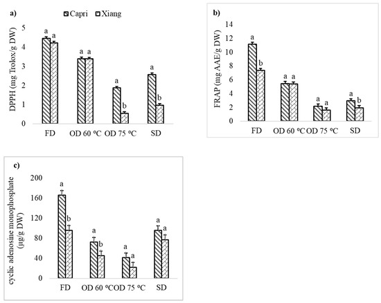
2.4. Antioxidant Activity (DPPH)
2.5. Ferric Reducing Antioxidant Potential (FRAP)
2.6. Vitamin C
2.7. Cyclic Adenosine Monophosphate (cAMP)
3. Discussion
3.1. Total Phenolic Content and Proathocyanidins
3.2. Antioxidant Activity (DPPH and FRAP)
3.3. Vitamin C
3.4. Cyclic Adenosine Monophosphate (cAMP)
3.5. Drying Methods
4. Materials and Methods
4.1. Sample Collection
4.2. Drying Methods
4.2.1. Freeze Drying (Control)
4.2.2. Oven Drying
4.2.3. Sun Drying
4.3. Chemicals and Reagents
4.4. Extract Preparation for Total Phenolic Content, Proanthocyanidins, and Antioxidant Activity
4.5. Extract Preparation for Cyclic Adenosine Monophosphate
4.6. Color Determination
4.7. Determination of Total Phenolic Content (TPC)
4.8. Determination of Proanthocyaindins (PA) Content
4.9. Determination of Antioxidant Activity (DPPH)
4.10. Ferric-Reducing Antioxidant Potential (FRAP)
4.11. Determination of Vitamin C
4.12. Determination of Cyclic Adenosine Monophosphate (cAMP)
4.13. Statistical Analysis
5. Conclusions
Supplementary Materials
Author Contributions
Funding
Data Availability Statement
Conflicts of Interest
References
- Gao, Q.H.; Wu, C.S.; Wang, M. The jujube (Ziziphus jujuba Mill.) fruit: A review of current knowledge of fruit composition and health benefits. J. Agric. Food Chem. 2013, 61, 3351–3363. [Google Scholar] [CrossRef] [PubMed]
- Guo, S.; Duan, J.A.; Qian, D.; Tang, Y.; Wu, D.; Su, S.; Wang, H.; Zhao, Y. Content variations of triterpenic acid, nucleoside, nucleobase, and sugar in jujube (Ziziphus jujuba) fruit during ripening. Food Chem. 2015, 167, 468–474. [Google Scholar] [CrossRef]
- Li, J.-W.; Fan, L.-P.; Ding, S.-D.; Ding, X.-L. Nutritional composition of five cultivars of chinese jujube. Food Chem. 2007, 103, 454–460. [Google Scholar] [CrossRef]
- Sheng, J.P.; Shen, L. Chinese jujube (Ziziphus jujuba Mill.) and Indian jujube (Ziziphus mauritiana Lam.). In Postharvest Biology and Technology of Tropical and Subtropical Fruits: Cocona to Mango; Woodhead Publishing: Cambridge, UK, 2011; pp. 299–326e. [Google Scholar] [CrossRef]
- Wang, R.; Ding, S.; Zhao, D.; Wang, Z.; Wu, J.; Hu, X. Effect of dehydration methods on antioxidant activities, phenolic contents, cyclic nucleotides, and volatiles of jujube fruits. Food Sci. Biotechnol. 2016, 25, 137–143. [Google Scholar] [CrossRef] [PubMed]
- Zozio, S.; Servent, A.; Cazal, G.; Mbeguie, A.M.D.; Ravion, S.; Pallet, D.; Abel, H. Changes in antioxidant activity during the ripening of jujube (Ziziphus mauritiana Lamk). Food Chem. 2014, 150, 448–456. [Google Scholar] [CrossRef] [PubMed]
- Liu, M.; Wang, J.; Wang, L.; Liu, P.; Zhao, J.; Zhao, Z.; Yao, S.; Stanica, F.; Liu, Z.; Wang, L.; et al. The historical and current research progress on jujube-a superfruit for the future. Hortic. Res. 2020, 7, 119. [Google Scholar] [CrossRef] [PubMed]
- Rashwan, A.K.; Karim, N.; Shishir, M.R.I.; Bao, T.; Lu, Y.; Chen, W. Jujube fruit: A potential nutritious fruit for the development of functional food products. J. Funct. Foods 2020, 75, 104205. [Google Scholar] [CrossRef]
- Gao, Q.H.; Wu, C.S.; Wang, M.; Xu, B.N.; Du, L.J. Effect of drying of jujubes (Ziziphus jujuba Mill.) on the contents of sugars, organic acids, α-tocopherol, β-carotene, and phenolic compounds. J. Agric. Food Chem. 2012, 60, 9642–9648. [Google Scholar] [CrossRef]
- Wojdylo, A.; Figiel, A.; Legua, P.; Lech, K.; Carbonell-Barrachina, A.A.; Hernandez, F. Chemical composition, antioxidant capacity, and sensory quality of dried jujube fruits as affected by cultivar and drying method. Food Chem. 2016, 207, 170–179. [Google Scholar] [CrossRef]
- Ahmed, N.; Singh, J.; Chauhan, H.; Anjum, P.G.A.; Kour, H. Different drying methods: Their applications and recent advances. Int. J. Food Sci. Nutr. 2013, 4, 34–42. [Google Scholar]
- Calín-Sánchez, Á.; Figiel, A.; Hernández, F.; Melgarejo, P.; Lech, K.; Carbonell-Barrachina, Á.A. Chemical Composition, Antioxidant Capacity, and Sensory Quality of Pomegranate (Punica granatum L.) Arils and Rind as Affected by Drying Method. Food Bioproc. Technol. 2012, 6, 1644–1654. [Google Scholar] [CrossRef]
- Zhang, Y.; Liu, H. Editorial: Chemical and biological changes of polyphenols caused by food thermal processing. Front. Nutr. 2022, 9, 948894. [Google Scholar] [CrossRef] [PubMed]
- Zhu, S.; Sun, L.; Zhou, J. Effects of nitric oxide fumigation on phenolic metabolism of postharvest Chinese winter jujube (Zizyphus jujuba Mill. cv. Dongzao) in relation to fruit quality. LWT Food Sci. Technol. 2009, 42, 1009–1014. [Google Scholar] [CrossRef]
- Pandey, S.; Poonia, A. Bioactive compounds, medicinal benefits and value added products of ber fruit: A review. J. Pharmacogn. Phytochem. 2018, 7, 1460–1466. [Google Scholar]
- Kou, X.; Chen, Q.; Li, X.; Li, M.; Kan, C.; Chen, B.; Zhang, Y.; Xue, Z. Quantitative assessment of bioactive compounds and the antioxidant activity of 15 jujube cultivars. Food Chem. 2015, 173, 1037–1044. [Google Scholar] [CrossRef]
- Moo-Huchin, V.M.; Estrada-Mota, I.; Estrada-Leon, R.; Cuevas-Glory, L.; Ortiz-Vazquez, E.; Vargas y Vargas Mde, L.; Betancur-Ancona, D.; Sauri-Duch, E. Determination of some physicochemical characteristics, bioactive compounds and antioxidant activity of tropical fruits from Yucatan, Mexico. Food Chem. 2014, 152, 508–515. [Google Scholar] [CrossRef]
- Palafox-Carlos, H.; Gil-Chavez, J.; Sotelo-Mundo, R.R.; Namiesnik, J.; Gorinstein, S.; Gonzalez-Aguilar, G.A. Antioxidant interactions between major phenolic compounds found in ‘Ataulfo’ mango pulp: Chlorogenic, gallic, protocatechuic and vanillic acids. Molecules 2012, 17, 12657–12664. [Google Scholar] [CrossRef]
- Santos, P.H.S.; Silva, M.A. Retention of Vitamin C in Drying Processes of Fruits and Vegetables—A Review. Dry. Technol. 2008, 26, 1421–1437. [Google Scholar] [CrossRef]
- Igwemmar, N.; Kolawole, S.; Imran, I. Effect of heating on vitamin C content of some selected vegetables. Int. J. Sci. Technol. Res. 2013, 2, 209–212. [Google Scholar]
- Yin, X.; Chen, K.; Cheng, H.; Chen, X.; Feng, S.; Song, Y.; Liang, L. Chemical Stability of Ascorbic Acid Integrated into Commercial Products: A Review on Bioactivity and Delivery Technology. Antioxidants 2022, 11, 153. [Google Scholar] [CrossRef]
- Dorofejeva, K.; Rakcejeva, T.; Galoburda, R.; Dukalska, L.; Kviesis, J. Vitamin C content in Latvian cranberries dried in convective and microwave vacuum driers. Procedia Food Sci. 2011, 1, 433–440. [Google Scholar] [CrossRef]
- Chen, Q.; Bi, J.; Wu, X.; Yi, J.; Zhou, L.; Zhou, Y. Drying kinetics and quality attributes of jujube (Zizyphus jujuba Miller) slices dried by hot-air and short- and medium-wave infrared radiation. LWT Food Sci. Technol. 2015, 64, 759–766. [Google Scholar] [CrossRef]
- Wojdyło, A.; Figiel, A.; Oszmianski, J. Effect of drying methods with the application of vacuum microwaves on the bioactive compounds, color, and antioxidant activity of strawberry fruits. J. Agric. Food Chem. 2009, 57, 1337–1343. [Google Scholar] [CrossRef]
- Fang, S.; Wang, Z.; Hu, X.; Li, H.; Long, W.; Wang, R. Shrinkage and quality characteristics of whole fruit of Chinese jujube (Zizyphus jujuba Miller) in microwave drying. Int. J. Food Sci. Technol. 2010, 45, 2463–2469. [Google Scholar] [CrossRef]
- GB/T 5835-2009; The National Standards of People’s Republic of China: Dried Chinese Jujubes. China Federation of Supply and Marketing Cooperatives: Hangzhou, China, 2009; pp. 1–10. (In Chinese)
- Fang, S.; Wang, Z.; Hu, X.; Datta, A.K. Hot-air drying of whole fruit Chinese jujube (Zizyphus jujuba Miller): Physicochemical properties of dried products. Int. J. Food Sci. Technol. 2009, 44, 1415–1421. [Google Scholar] [CrossRef]
- Yao, S.; Heyduck, R.; Guldan, S.; Sapkota, G. Early performance of jujube drying and multipurpose cultivars in the southwestern United States. HortScience 2020, 55, 1804–1810. [Google Scholar] [CrossRef]
- Wang, B.N.; Liu, H.F.; Zheng, J.B.; Fan, M.T.; Cao, W. Distribution of phenolic acids in different tissues of jujube and their antioxidant activity. J. Agric. Food Chem. 2011, 59, 1288–1292. [Google Scholar] [CrossRef]
- Prior, R.L.; Fan, E.; Ji, H.; Howell, A.; Nio, C.; Payne, M.J.; Reed, J. Multi-laboratory validation of a standard method for quantifying proanthocyanidins in cranberry powders. J. Sci. Food Agric. 2010, 90, 1473–1478. [Google Scholar] [CrossRef]


| Drying Method | L* (Lightness) # | a* (Redness) # | b* (Yellowness) # | ΔE |
|---|---|---|---|---|
| Freeze drying | 82.67 ± 0.97 a | −2.98 ± 0.33 c | 21.24 ± 0.61 c | _ |
| Oven drying 60 °C | 59.60 ± 0.97 c | 7.67 ± 0.33 b | 30.35 ± 0.61 a | 27.04 ± 1.65 b |
| Oven drying 75 °C | 43.06 ± 0.97 d | 11.34 ± 0.33 a | 28.02 ± 0.61 b | 42.77 ± 1.65 a |
| Sun drying | 63.70 ± 0.97 b | 7.47 ± 0.33 b | 28.28 ± 0.61 b | 22.94 ± 1.65 c |
| Variable | Freeze Drying | Oven Drying 60 °C | Oven Drying 75 °C | Sun Drying |
|---|---|---|---|---|
| Total phenolic content (TPC) # (mg GAE/g, DW) | 12.75 ± 0.31 A | 11.16 ± 0.31 B | 6.64 ± 0.31 D | 7.75 ± 0.31 C |
| Proanthocyanidins (PA) # (mg PB2/g, DW) | 2.46 ± 0.20 A | 0.10 ± 0.00 B | 0.05 ± 0.00 D | 0.06 ± 0.00 C |
| Antioxidant activity (DPPH) #,* (mg Trolox/g, DW) | 4.35 ± 0.06 A | 3.40 ± 0.06 B | 1.21 ± 0.06 D | 1.77 ± 0.06 C |
| Ferric reducing antioxidant potential (FRAP) #,* (mg AAE/g, DW) | 9.25 ± 0.15 A | 5.42 ± 0.15 B | 1.91 ± 0.15 D | 2.45 ± 0.15 C |
| Vitamin C # (mg/100 g, DW) | 1060.12 ± 26.26 A | 101.27 ± 7.26 BC | 76.90 ± 4.77 C | 100.39 ± 4.15 B |
| Cyclic adenosine monophosphate (cAMP) #,* (µg/g, DW) | 130.59 ± 4.57 A | 58.60 ± 4.57 C | 31.86 ± 4.57 D | 86.04 ± 4.57 B |
| Variable | Freeze Drying | Oven Drying 50 °C | Sun Drying |
|---|---|---|---|
| Total phenolic content (TPC) #,* (mg GAE/g, DW) | 11.62 ± 0.14 A | 6.57 ± 0.14 B | 6.78 ± 0.14 B |
| Proanthocyanidins (PA) #,* (mg PB2/g, DW) | 4.65 ± 0.11 A | 0.06 ± 0.00 B | 0.06 ± 0.00 B |
| Antioxidant activity (DPPH) #,* (mg Trolox/g, DW) | 3.97 ± 0.04 A | 2.31 ± 0.04 B | 2.11 ± 0.04 C |
| Antioxidant activity (FRAP) #,* (mg AAE/g, DW) | 9.36 ± 0.10 A | 2.02 ± 0.02 B | 2.18 ± 0.03 B |
| Cyclic adenosine monophosphate (cAMP) #,* (µg/g, DW) | 128.56 ± 3.42 A | 89.11 ± 1.44 C | 95.97 ± 1.92 B |
Disclaimer/Publisher’s Note: The statements, opinions and data contained in all publications are solely those of the individual author(s) and contributor(s) and not of MDPI and/or the editor(s). MDPI and/or the editor(s) disclaim responsibility for any injury to people or property resulting from any ideas, methods, instructions or products referred to in the content. |
© 2023 by the authors. Licensee MDPI, Basel, Switzerland. This article is an open access article distributed under the terms and conditions of the Creative Commons Attribution (CC BY) license (https://creativecommons.org/licenses/by/4.0/).
Share and Cite
Sapkota, G.; Delgado, E.; VanLeeuwen, D.; Holguin, F.O.; Flores, N.; Yao, S. Preservation of Phenols, Antioxidant Activity, and Cyclic Adenosine Monophosphate in Jujube (Ziziphus jujuba Mill.) Fruits with Different Drying Methods. Plants 2023, 12, 1804. https://doi.org/10.3390/plants12091804
Sapkota G, Delgado E, VanLeeuwen D, Holguin FO, Flores N, Yao S. Preservation of Phenols, Antioxidant Activity, and Cyclic Adenosine Monophosphate in Jujube (Ziziphus jujuba Mill.) Fruits with Different Drying Methods. Plants. 2023; 12(9):1804. https://doi.org/10.3390/plants12091804
Chicago/Turabian StyleSapkota, Govinda, Efren Delgado, Dawn VanLeeuwen, F. Omar Holguin, Nancy Flores, and Shengrui Yao. 2023. "Preservation of Phenols, Antioxidant Activity, and Cyclic Adenosine Monophosphate in Jujube (Ziziphus jujuba Mill.) Fruits with Different Drying Methods" Plants 12, no. 9: 1804. https://doi.org/10.3390/plants12091804
APA StyleSapkota, G., Delgado, E., VanLeeuwen, D., Holguin, F. O., Flores, N., & Yao, S. (2023). Preservation of Phenols, Antioxidant Activity, and Cyclic Adenosine Monophosphate in Jujube (Ziziphus jujuba Mill.) Fruits with Different Drying Methods. Plants, 12(9), 1804. https://doi.org/10.3390/plants12091804

