Dynamic Monitoring of Nutrition Inputs and Fertility Evaluation during a Decade in the Main Peach-Producing Areas of Shandong Province, China
Abstract
1. Introduction
2. Results
2.1. Analysis of the Physical and Chemical Properties of Soil at Different Times and in Different Locations
2.2. Analysis of the Physical and Chemical Properties of Soil in the Demonstration and Traditional Peach Orchards
2.3. Correlation Analysis of Soil Indicators
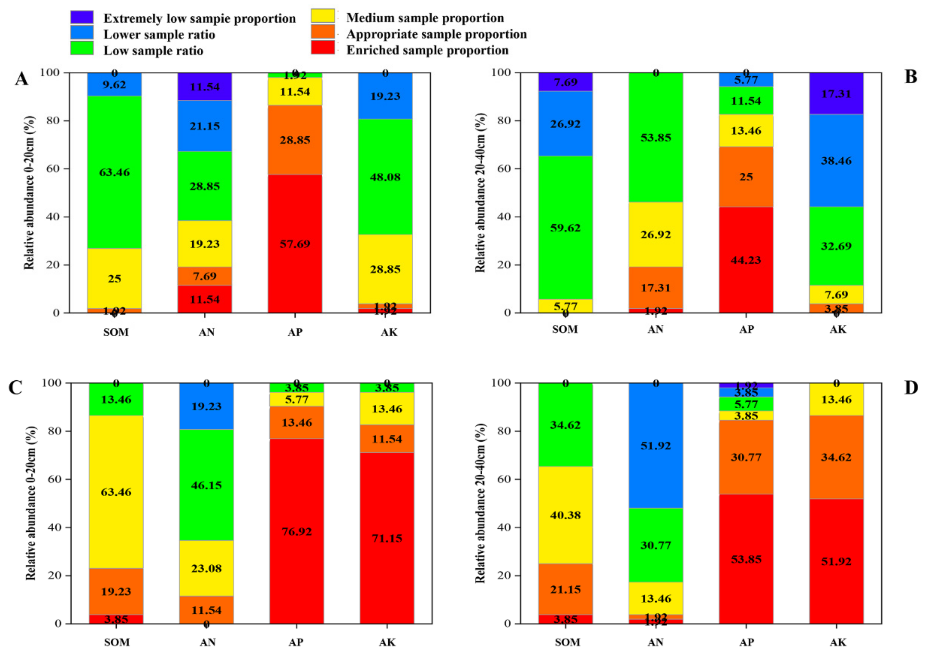
2.4. Classification of the Soil Effective Nutrient Content
2.5. Analysis of the Difference in the Fertilizer Volume
2.6. Comprehensive Evaluation of Soil Fertility
3. Discussion
4. Materials and Methods
4.1. Location Description
4.2. Sample Collection and Analysis
4.3. Data Analysis
4.4. Nutrient Evaluation and Parameter Calculation Method
5. Conclusions
Author Contributions
Funding
Data Availability Statement
Conflicts of Interest
References
- Brevik, E.; Sauer, T. The past, present, and future of soils and human health studies. Soil 2015, 1, 35–46. [Google Scholar] [CrossRef]
- Rillig, M.C.; Lehmann, A.; Lehmann, J.; Camenzind, T.; Rauh, C. Soil biodiversity effects from field to fork. Trends Plant Sci. 2018, 23, 17–24. [Google Scholar] [CrossRef] [PubMed]
- Srivastava, A.K.; Singh, S. Citrus decline: Soil fertility and plant nutrition. J. Plant Nutr. 2009, 32, 197–245. [Google Scholar] [CrossRef]
- Samuel, A.D.; Tit, D.M.; Melinte, C.E.; Iovan, C.; Purza, L.; Gitea, M.; Bungau, S. Enzymological and physicochemical evaluation of the effects of soil management practices. Rev. Chim. 2017, 68, 2243–2247. [Google Scholar] [CrossRef]
- Gomes, L.C.; Faria, R.M.; de Souza, E.; Veloso, G.V.; Schaefer, C.E.G.; Fernandes Filho, E.I. Modelling and mapping soil organic carbon stocks in Brazil. Geoderma 2019, 340, 337–350. [Google Scholar] [CrossRef]
- Zorb, C.; Senbayram, M.; Peiter, E. Potassium in agriculture-status and perspectives. J. Plant Physiol. 2014, 171, 656–669. [Google Scholar] [CrossRef] [PubMed]
- El-Naggar, A.; El-Naggar, A.H.; Shaheen, S.M.; Sarkar, B.; Chang, S.X.; Tsang, D.C.; Rinklebe, J.; Ok, Y.S. Biochar composition-dependent impacts on soil nutrient release, carbon mineralization, and potential environmental risk: A review. J. Environ. Manag. 2019, 241, 458–467. [Google Scholar] [CrossRef] [PubMed]
- Liu, H.; Yang, X.; Liang, C.; Li, Y.; Qiao, L.; Ai, Z.; Xue, S.; Liu, G. Interactive effects of microplastics and glyphosate on the dynamics of soil dissolved organic matter in a Chinese loess soil. Catena 2019, 182, 104177. [Google Scholar] [CrossRef]
- Orgill, S.E.; Condon, J.R.; Conyers, M.K.; Morris, S.G.; Murphy, B.W.; Greene, R.S. Parent material and climate affect soil organic carbon fractions under pastures in south-eastern Australia. Soil Res. 2017, 55, 799–808. [Google Scholar] [CrossRef]
- Li, H.; Zhu, N.; Wang, S.; Gao, M.; Xia, L.; Kerr, P.G.; Wu, Y. Dual benefits of long-term ecological agricultural engineering: Mitigation of nutrient losses and improvement of soil quality. Sci. Total Environ. 2020, 721, 137848. [Google Scholar] [CrossRef]
- Zhu, J.; Wu, A.; Zhou, G. Spatial distribution patterns of soil total phosphorus influenced by climatic factors in China’s forest ecosystems. Sci. Rep. 2021, 11, 5357. [Google Scholar] [CrossRef]
- Zhao, B.; Li, Z.; Li, P.; Xu, G.; Gao, H.; Cheng, Y.; Chang, E.; Yuan, S.; Zhang, Y.; Feng, Z. Spatial distribution of soil organic carbon and its influencing factors under the condition of ecological construction in a hilly-gully watershed of the Loess Plateau, China. Geoderma 2017, 296, 10–17. [Google Scholar] [CrossRef]
- Cao, Q.; Li, J.; Wang, G.; Wang, D.; Xin, Z.; Xiao, H.; Zhang, K. On the spatial variability and influencing factors of soil organic carbon and total nitrogen stocks in a desert oasis ecotone of northwestern China. Catena 2021, 206, 105533. [Google Scholar] [CrossRef]
- Zhao, J.; Chen, S.; Hu, R.; Li, Y. Aggregate stability and size distribution of red soils under different land uses integrally regulated by soil organic matter, and iron and aluminum oxides. Soil Tillage Res. 2017, 167, 73–79. [Google Scholar] [CrossRef]
- Gitea, M.A.; Gitea, D.; Tit, D.M.; Purza, L.; Samuel, A.D.; Bungău, S.; Badea, G.E.; Aleya, L. Orchard management under the effects of climate change: Implications for apple, plum, and almond growing. Environ. Sci. Pollut. Res. 2019, 26, 9908–9915. [Google Scholar] [CrossRef] [PubMed]
- Dong, J.; Zhou, K.; Jiang, P.; Wu, J.; Fu, W. Revealing horizontal and vertical variation of soil organic carbon, soil total nitrogen and C: N ratio in subtropical forests of southeastern China. J. Environ. Manag. 2021, 289, 112483. [Google Scholar] [CrossRef] [PubMed]
- Fujii, K.; Funakawa, S.; Kosaki, T. Soil acidification: Natural processes and human impact. Pedologist 2012, 55, 415–425. [Google Scholar]
- Wang, T.; Kang, F.; Cheng, X.; Han, H.; Bai, Y.; Ma, J. Spatial variability of organic carbon and total nitrogen in the soils of a subalpine forested catchment at Mt. Taiyue, China. Catena 2017, 155, 41–52. [Google Scholar] [CrossRef]
- Guo, J.H.; Liu, X.J.; Zhang, Y.; Shen, J.; Han, W.; Zhang, W.; Christie, P.; Goulding, K.; Vitousek, P.; Zhang, F. Significant acidification in major Chinese croplands. Science 2010, 327, 1008–1010. [Google Scholar] [CrossRef]
- Vitousek, P.M.; Naylor, R.; Crews, T.; David, M.B.; Drinkwater, L.; Holland, E.; Johnes, P.; Katzenberger, J.; Martinelli, L.; Matson, P. Nutrient imbalances in agricultural development. Science 2009, 324, 1519–1520. [Google Scholar] [CrossRef]
- Zhang, W.-f.; Dou, Z.-x.; He, P.; Ju, X.-T.; Powlson, D.; Chadwick, D.; Norse, D.; Lu, Y.-L.; Zhang, Y.; Wu, L.; et al. New technologies reduce greenhouse gas emissions from nitrogenous fertilizer in China. Proc. Natl. Acad. Sci. USA 2013, 110, 8375–8380. [Google Scholar] [CrossRef]
- Shuqin, J.; Fang, Z. Zero growth of chemical fertilizer and pesticide use: China’s objectives, progress and challenges. J. Resour. Ecol. 2018, 9, 50–58. [Google Scholar] [CrossRef]
- Weinbaum, S.A.; Johnson, R.S.; DeJong, T.M. Causes and consequences of overfertilization in orchards. HortTechnology 1992, 2, 112b–121. [Google Scholar] [CrossRef]
- Xiao, Y.; Peng, F.; Zhang, Y.; Wang, J.; Zhuge, Y.; Zhang, S.; Gao, H. Effect of bag-controlled release fertilizer on nitrogen loss, greenhouse gas emissions, and nitrogen applied amount in peach production. J. Clean. Prod. 2019, 234, 258–274. [Google Scholar] [CrossRef]
- Zhang, Q.; Wang, Q.; Zhu, J.; Xu, L.; Li, M.; Rengel, Z.; Xiao, J.; Hobbie, E.A.; Piao, S.; Luo, W. Higher soil acidification risk in southeastern Tibetan Plateau. Sci. Total Environ. 2021, 755, 143372. [Google Scholar] [CrossRef] [PubMed]
- Layne, D.R.; Wang, Z.; Niu, L. Protected cultivation of peach and nectarine in China–Industry observations and assessments. J. Am. Pomol. Soc. 2013, 67, 18–28. [Google Scholar]
- Robe, B.L.; Wang, C.a.; Zhang, Z.; Li, S. Bacterial leaf spot of peach caused by Xanthomonas arboricola pv. pruni in China. Can. J. Plant Pathol. 2018, 40, 299–305. [Google Scholar] [CrossRef]
- Ju, X.; Gu, B.; Wu, Y.; Galloway, J.N. Reducing China’s fertilizer use by increasing farm size. Glob. Environ. Chang. 2016, 41, 26–32. [Google Scholar] [CrossRef]
- Jin, J.; Wang, L.; Müller, K.; Wu, J.; Wang, H.; Zhao, K.; Berninger, F.; Fu, W. A 10-year monitoring of soil properties dynamics and soil fertility evaluation in Chinese hickory plantation regions of southeastern China. Sci. Rep. 2021, 11, 23531. [Google Scholar] [CrossRef]
- Lawrence, P.G.; Roper, W.; Morris, T.F.; Guillard, K. Guiding soil sampling strategies using classical and spatial statistics: A review. Agron. J. 2020, 112, 493–510. [Google Scholar] [CrossRef]
- Pan, Y.; Ren, X.; Gao, B.; Liu, Y.; Gao, Y.; Hao, X.; Chen, Z. Global mean estimation using a self-organizing dual-zoning method for preferential sampling. Environ. Monit. Assess. 2015, 187, 121. [Google Scholar] [CrossRef] [PubMed]
- Zhu, A.-X.; Qi, F.; Moore, A.; Burt, J.E. Prediction of soil properties using fuzzy membership values. Geoderma 2010, 158, 199–206. [Google Scholar] [CrossRef]
- Zhu, A.-X.; Yang, L.; Li, B.; Qin, C.; Pei, T.; Liu, B. Construction of membership functions for predictive soil mapping under fuzzy logic. Geoderma 2010, 155, 164–174. [Google Scholar] [CrossRef]
- Curtin, D.; Trolove, S. Predicting pH buffering capacity of New Zealand soils from organic matter content and mineral characteristics. Soil Res. 2013, 51, 494–502. [Google Scholar] [CrossRef]
- Zhao, B.q.; Li, X.y.; Li, X.p.; Shi, X.j.; Huang, S.m.; Wang, B.r.; Zhu, P.; Yang, X.y.; Liu, H.; Chen, Y.; et al. Long-term fertilizer experiment network in China: Crop yields and soil nutrient trends. Agron. J. 2010, 102, 216–230. [Google Scholar] [CrossRef]
- Minasny, B.; Hong, S.Y.; Hartemink, A.E.; Kim, Y.H.; Kang, S.S. Soil pH increase under paddy in South Korea between 2000 and 2012. Agric. Ecosyst. Environ. 2016, 221, 205–213. [Google Scholar] [CrossRef]
- Wei, X.; Shao, M. The distribution of soil nutrients on sloping land in the gully region watershed of the Loess Plateau. Acta Ecol. Sin. 2007, 27, 603–612. [Google Scholar]
- Žarnovičan, H.; Kanka, R.; Kollár, J.; Vyskupová, M.; Sivecká, A.; Tichá, A.; Fašungová, S.; Kršiaková, D. Traditional orchard Management in the Western Carpathians (Slovakia): Evolution between 1955 and 2015. Biologia 2020, 75, 535–546. [Google Scholar] [CrossRef]
- Žarnovičan, H.; Kollár, J.; Falťan, V.; Petrovič, F.; Gábor, M. Management and Land Cover Changes in the Western Carpathian Traditional Orchard Landscape in the Period after 1948. Agronomy 2021, 11, 366. [Google Scholar] [CrossRef]
- Diacono, M.; Montemurro, F. Long-term effects of organic amendments on soil fertility. In Sustainable Agriculture Volume 2; Springer: Berlin/Heidelberg, Germany, 2011; pp. 761–786. [Google Scholar]
- Anugroho, F.; Kitou, M. Effect of Tillage Treatments of Hairy Vetch Residues on Soil Inorganic-N Distributions and Corn Growth in a Subtropical Region. Appl. Environ. Soil Sci. 2020, 2020, 7049161. [Google Scholar] [CrossRef]
- Deng, L.; Han, Q.s.; Zhang, C.; Tang, Z.s.; Shangguan, Z.p. Above-ground and below-ground ecosystem biomass accumulation and carbon sequestration with Caragana korshinskii Kom plantation development. Land Degrad. Dev. 2017, 28, 906–917. [Google Scholar] [CrossRef]
- Gul, S.; Whalen, J.K.; Thomas, B.W.; Sachdeva, V.; Deng, H. Physico-chemical properties and microbial responses in biochar-amended soils: Mechanisms and future directions. Agric. Ecosyst. Environ. 2015, 206, 46–59. [Google Scholar] [CrossRef]
- Mauro, R.P.; Anastasi, U.; Lombardo, S.; Pandino, G.; Pesce, R.; Alessia, R.; Mauromicale, G. Cover crops for managing weeds, soil chemical fertility and nutritional status of organically grown orange orchard in Sicily. Ital. J. Agron. 2015, 10, 101–104. [Google Scholar] [CrossRef]
- Behl, T.; Kaur, I.; Sehgal, A.; Singh, S.; Sharma, N.; Bhatia, S.; Al-Harrasi, A.; Bungau, S. The dichotomy of nanotechnology as the cutting edge of agriculture: Nano-farming as an asset versus nanotoxicity. Chemosphere 2022, 288, 132533. [Google Scholar] [CrossRef] [PubMed]
- Ning, C.-c.; Gao, P.-d.; Wang, B.-q.; Lin, W.-p.; Jiang, N.-h.; Cai, K.-z. Impacts of chemical fertilizer reduction and organic amendments supplementation on soil nutrient, enzyme activity and heavy metal content. J. Integr. Agric. 2017, 16, 1819–1831. [Google Scholar] [CrossRef]
- Zhu, Z. Loss of fertilizer N from plants-soil system and the strategies and techniques for its reduction. Soil Environ. Sci. 2000, 9, 1–6. [Google Scholar]
- Hvistendahl, M. China’s push to add by subtracting fertilizer. Science 2010, 327, 801. [Google Scholar] [CrossRef] [PubMed]
- Shcherbak, I.; Millar, N.; Robertson, G.P. Global metaanalysis of the nonlinear response of soil nitrous oxide (N2O) emissions to fertilizer nitrogen. Proc. Natl. Acad. Sci. USA 2014, 111, 9199–9204. [Google Scholar] [CrossRef]
- Fertahi, S.; Ilsouk, M.; Zeroual, Y.; Oukarroum, A.; Barakat, A. Recent trends in organic coating based on biopolymers and biomass for controlled and slow release fertilizers. J. Control. Release 2021, 330, 341–361. [Google Scholar] [CrossRef]
- Hui, K.; Xi, B.; Tan, W.; Song, Q. Long-term application of nitrogen fertilizer alters the properties of dissolved soil organic matter and increases the accumulation of polycyclic aromatic hydrocarbons. Environ. Res. 2022, 215, 114267. [Google Scholar] [CrossRef]
- Lalitha, M.; Dhakshinamoorthy, M. Forms of soil potassium-a review. Agric. Rev. 2014, 35, 64. [Google Scholar] [CrossRef]
- Cai, A.; Xu, M.; Wang, B.; Zhang, W.; Liang, G.; Hou, E.; Luo, Y. Manure acts as a better fertilizer for increasing crop yields than synthetic fertilizer does by improving soil fertility. Soil Tillage Res. 2019, 189, 168–175. [Google Scholar] [CrossRef]
- Itelima, J.; Bang, W.; Onyimba, I.; Sila, M.; Egbere, O. Bio-fertilizers as key player in enhancing soil fertility and crop productivity: A review. Direct Res. J. Agric. Food Sci. 2018, 6, 73–83. [Google Scholar]
- Yargholi, B.; Azarneshan, S. Long-term effects of pesticides and chemical fertilizers usage on some soil properties and accumulation of heavy metals in the soil (case study of Moghan plain’s (Iran) irrigation and drainage network). Int. J. Agric. Crop Sci. 2014, 7, 518. [Google Scholar]
- Selim, M.M. Introduction to the integrated nutrient management strategies and their contribution to yield and soil properties. Int. J. Agron. 2020, 2020, 2821678. [Google Scholar] [CrossRef]
- Su, J.Q.; Ding, L.J.; Xue, K.; Yao, H.Y.; Quensen, J.; Bai, J.S.; Wei, S.J.; Zhou, J.; Tiedje, J.M.; Zhu, Y.G. Long-term balanced fertilization increases the soil microbial functional diversity in a phosphorus-limited paddy soil. Mol. Ecol. 2015, 24, 136–150. [Google Scholar] [CrossRef]
- Statistical & Qualitative Data Analysis Software: Access to Software. Available online: https://libguides.library.kent.edu/statconsulting/software-help and proceed consequently (accessed on 15 November 2022).
- National Earth System Science Data Center. Available online: http://gre.geodata.cn. (accessed on 11 November 2022).







| Time | Parameters | Producing Area | Item | SOM (g·kg−1) | AN (mg·kg−1) | AP (mg·kg−1) | AK (mg·kg−1) |
|---|---|---|---|---|---|---|---|
| 2011 | 0–20 cm | Tai’an | Average | 17.82 ± 5.60 a | 100.35 ± 37.70 a | 107.13 ± 59.44 a | 122.96 ± 37.81 a |
| Range | 8.9–35 | 50.5–196 | 27.53–257.41 | 59.12–212.36 | |||
| Meng’yin | Average | 19.51 ± 5.8 a | 71.68 ± 60.37 b | 31.21 ± 16.26 b | 60.87 ± 17.51 b | ||
| Range | 8.7–35 | 11.38–298 | 5.4–73.57 | 31.64–100.48 | |||
| Average | 18.69 ± 5.79 | 85.76 ± 52.12 | 67.86 ± 57.20 | 90.90 ± 42.59 | |||
| 20–40 cm | Tai’an | Average | 12.43 ± 3.89 a | 78.50 ± 51.56 a | 76.53 ± 50.71 a | 59.71 ± 37.05 a | |
| Range | 4.5–19.97 | 19.6–299.6 | 17.27–197.36 | 36.56–168.64 | |||
| Meng’yin | Average | 13.73 ± 5.13 a | 94.16 ± 94.98 a | 21.61 ± 17.75 b | 37.83 ± 18.06 b | ||
| Range | 4.8–23.26 | 12.43–407.4 | 3.78–66.81 | 7.8–85.64 | |||
| Average | 13.10 ± 4.58 | 86.47 ± 76.52 | 50.27 ± 47.14 | 56.63 ± 34.66 | |||
| 2021 | 0–20 cm | Tai’an | Average | 25.61 ± 4.35 a | 82.75 ± 28.90 a | 90.54 ± 42.59 a | 254.52 ± 90.08 a |
| Range | 19.32–35.83 | 37.33–148.87 | 14.61–191.24 | 93.64–372.41 | |||
| Meng’yin | Average | 22.2 ± 5.15 b | 83.73 ± 29.07 a | 50.68 ± 29.23 b | 259.29 ± 77.36 a | ||
| Range | 11.12–29 | 31.62–138.02 | 7.22–114.86 | 89.93–346.39 | |||
| Average | 24.17 ± 4.96 | 83.16 ± 28.69 | 73.68 ± 42.18 | 256.54 ± 84.16 | |||
| 20–40 cm | Tai’an | Average | 23.8 ± 8.91 a | 55.20 ± 16.09 b | 51.16 ± 23.12 a | 213.45 ± 58.36 a | |
| Range | 10.72–38.29 | 31.15–100.68 | 7.60–112.59 | 132.05–315.42 | |||
| Meng’yin | Average | 22.82 ± 5.04 a | 79.68 ± 27.83 a | 32.14 ± 23.18 b | 236.06 ± 64.21 a | ||
| Range | 14.62–32.5 | 36.98–155.63 | 2.60–89.09 | 109.75–317.90 | |||
| Average | 23.38 ± 7.47 | 65.56 ± 24.80 | 43.11 ± 24.80 | 233.02 ± 61.33 |
| Time | Producing Area | Samples | Organic Fertilizer Input (kg·hm−2) | Chemical Fertilizer Input (kg·hm−2) | Total Input (kg·hm−2) | ||||||
|---|---|---|---|---|---|---|---|---|---|---|---|
| N | P2O5 | K2O | N | P2O5 | K2O | N | P2O5 | K2O | |||
| 2011 | Tai’an | 20 | 358.16 ± 15.74 b | 544.68 ± 15.7 b | 574.92 ± 11.04 b | 682.61 ± 19.08 a | 406.72 ± 18.25 a | 306.65 ± 16.91 a | 1040.77 ± 17.58 b | 951.4 ± 16.78 b | 881.57 ± 15.94 c |
| Meng’yin | 32 | 330.75 ± 10.60 b | 555.06 ± 18.78 b | 613.31 ± 11.18 b | 528.14 ± 19.6 a | 378.46 ± 18.71 a | 350.89 ± 17.3 a | 858.89 ± 12.66 b | 933.52 ± 19.09 b | 964.2 ± 17.72 b | |
| Total | 52 | 344.45 ± 25.01 b | 549.87 ± 27.97 b | 594.11 ± 28.03 b | 555.37 ± 29.37 a | 397.59 ± 29.78 a | 328.77 ± 28.24 a | 899.82 ± 19.7 b | 947.46 ± 29.27 b | 922.88 ± 28.73 c | |
| 2021 | Tai’an | 20 | 627.82 ± 7.71 a | 712.27 ± 19.51 a | 764.37 ± 16.79 a | 435.96 ± 19.56 b | 323.24 ± 16.63 b | 274.70 ± 15.49 b | 1063.78 ± 22.74 a | 1035.51 ± 10.38 a | 1039.07 ± 18.87 a |
| Meng’yin | 26 | 599.34 ± 15.54 a | 676.38 ± 18.23 a | 699.77 ± 14.12 a | 398.43 ± 25.56 b | 267.45 ± 18.96 b | 287.15 ± 15.61 b | 997.77 ± 28.91 a | 943.83 ± 18.26 b | 986.92 ± 17.32 b | |
| Total | 46 | 613.58 ± 17.33 a | 694.32 ± 16.65 a | 732.07 ± 16.23 a | 417.19 ± 29.61 b | 295.34 ± 18.68 b | 280.92 ± 17.3 b | 1030.77 ± 20.06 a | 989.66 ± 33.29 b | 1012.99 ± 24.47 ab | |
| Dpo 1 | 2 | 210 ± 6.21 c | 135 ± 3.43 c | 120 ± 8.35 c | 41.24 ± 2.37 c | 12.9 ± 1.21 c | 40.2 ± 3.36 c | 251.24 ± 8.43 c | 147.9 ± 5.98 c | 160.2 ± 6.37 d | |
| Dpo 2 | 2 | 217 ± 5.15 c | 138 ± 5.08 c | 123 ± 5.13 c | 33.85 ± 2.23 c | 10.62 ± 1.32 c | 33 ± 2.07 c | 250.85 ± 7.06 c | 148.62 ± 3.65 c | 156 ± 9.34 d | |
| Dpo 3 | 2 | 220 ± 5.87 c | 141 ± 7.89 c | 127 ± 9.43 c | 36.93 ± 2.87 c | 11.59 ± 1.53 c | 36 ± 3.41 c | 256.93 ± 11.48 c | 152.59 ± 9.14 c | 163 ± 9.78 d | |
| Time | Parameters | Item | SOM (g·kg−1) | AN (mg·kg−1) | AP (mg·kg−1) | AK (mg·kg−1) |
|---|---|---|---|---|---|---|
| 2011 | 0–20 cm | Average | 0.36 | 0.45 | 0.82 | 0.25 |
| Range | 0.1–0.85 | 0.1–1.0 | 0.11–1.0 | 0.1–1 | ||
| SD | 0.17 | 0.34 | 0.24 | 0.23 | ||
| CV | 0.472 | 0.756 | 0.292 | 0.92 | ||
| 20–40 cm | Average | 0.21 | 0.38 | 0.7 | 0.13 | |
| Range | 0.1–0.5 | 0.1–1.0 | 0.1–1.0 | 0.1–0.72 | ||
| SD | 0.11 | 0.35 | 0.33 | 0.11 | ||
| CV | 0.52 | 0.92 | 0.47 | 0.84 | ||
| 2021 | 0–20 cm | Average | 0.52 | 0.48 | 0.79 | 0.85 |
| Range | 0.12–1.0 | 0.1–1.0 | 0.1–1.0 | 0.1–1.0 | ||
| SD | 0.22 | 0.33 | 0.29 | 0.27 | ||
| CV | 0.42 | 0.68 | 0.36 | 0.32 | ||
| 20–40 cm | Average | 0.51 | 0.31 | 0.89 | 0.87 | |
| Range | 0.12–1.0 | 0.1–1.0 | 0.16–1.0 | 0.19–1.0 | ||
| SD | 0.24 | 0.28 | 0.23 | 0.21 | ||
| CV | 0.47 | 0.9 | 0.26 | 0.24 |
| Time | Parameters | I | II | III | IV | V |
|---|---|---|---|---|---|---|
| 2011 | 0–20 cm | 0.00 | 7.69 | 38.46 | 40.38 | 13.46 |
| 20–40 cm | 0.00 | 3.85 | 9.62 | 67.3 | 19.23 | |
| 2021 | 0–20 cm | 3.85 | 34.62 | 51.92 | 9.62 | 0.00 |
| 20–40 cm | 1.92 | 21.15 | 65.38 | 9.62 | 1.92 |
Disclaimer/Publisher’s Note: The statements, opinions and data contained in all publications are solely those of the individual author(s) and contributor(s) and not of MDPI and/or the editor(s). MDPI and/or the editor(s) disclaim responsibility for any injury to people or property resulting from any ideas, methods, instructions or products referred to in the content. |
© 2023 by the authors. Licensee MDPI, Basel, Switzerland. This article is an open access article distributed under the terms and conditions of the Creative Commons Attribution (CC BY) license (https://creativecommons.org/licenses/by/4.0/).
Share and Cite
Li, T.; Zhang, B.; Du, A.; Yang, S.; Huang, K.; Peng, F.; Xiao, Y. Dynamic Monitoring of Nutrition Inputs and Fertility Evaluation during a Decade in the Main Peach-Producing Areas of Shandong Province, China. Plants 2023, 12, 1725. https://doi.org/10.3390/plants12081725
Li T, Zhang B, Du A, Yang S, Huang K, Peng F, Xiao Y. Dynamic Monitoring of Nutrition Inputs and Fertility Evaluation during a Decade in the Main Peach-Producing Areas of Shandong Province, China. Plants. 2023; 12(8):1725. https://doi.org/10.3390/plants12081725
Chicago/Turabian StyleLi, Tingting, Binbin Zhang, Anqi Du, Sankui Yang, Kexin Huang, Futian Peng, and Yuansong Xiao. 2023. "Dynamic Monitoring of Nutrition Inputs and Fertility Evaluation during a Decade in the Main Peach-Producing Areas of Shandong Province, China" Plants 12, no. 8: 1725. https://doi.org/10.3390/plants12081725
APA StyleLi, T., Zhang, B., Du, A., Yang, S., Huang, K., Peng, F., & Xiao, Y. (2023). Dynamic Monitoring of Nutrition Inputs and Fertility Evaluation during a Decade in the Main Peach-Producing Areas of Shandong Province, China. Plants, 12(8), 1725. https://doi.org/10.3390/plants12081725
