Meta-Analysis of Microarray Data and Their Utility in Dissecting the Mapped QTLs for Heat Acclimation in Rice
Abstract
1. Introduction
2. Materials and Methods
2.1. Plant Material, Heat Stress Treatment, and Sampling
2.2. Datasets for the Identification of Heat-Responsive Genes in Rice
2.3. Meta-Analysis and Database Construction
2.4. Construction of Protein–Protein Interaction (Epistasis) Network of Genes in the Known Major QTLs for Heat Stress Tolerance
2.5. Identification of Allelic Variants in the Key Heat Stress-Responsive Genes between IR64 and N22 in the Major Heat Stress QTL Regions
2.6. Expression Analysis of the Identified Heat Stress-Responsive Genes
3. Results
3.1. Part I: Identification of Heat Stress-Responsive Genes in N22 and IR64 under Heat Acclimatisation
3.1.1. Transcription Factors (TFs) and Genes of Transcriptional Regulation under Heat Stress
3.1.2. HSPs and Other Chaperones
3.1.3. Hormone Metabolism and Signal Transduction-Related Genes
3.1.4. ROS-Related Genes
3.1.5. Cell Division and Cell Cycle
3.1.6. Ubiquitin-Dependent Degradation
3.1.7. Sucrose-Starch Pathways
3.1.8. Expression Pattern of Microspore/Pollen and Tapetum-Specific Genes
3.2. Part II: Meta-Analysis and Database Creation for Heat Stress-Responsive Genes in Rice
HRGs Identified across Developmental Stages, Tissues, and Their Pathway Analysis
3.3. Part III: Utilisation and Validation of the Database following the Identification of HRGs from QTL Regions and Their Interacting Partners
3.3.1. Selection of Genes and Genomic Regions for Validation
3.3.2. Identification of Allelic Variants in the Key Heat Stress-Responsive Genes between IR64 and N22 in the Major Heat Stress QTL Regions and Network Genes
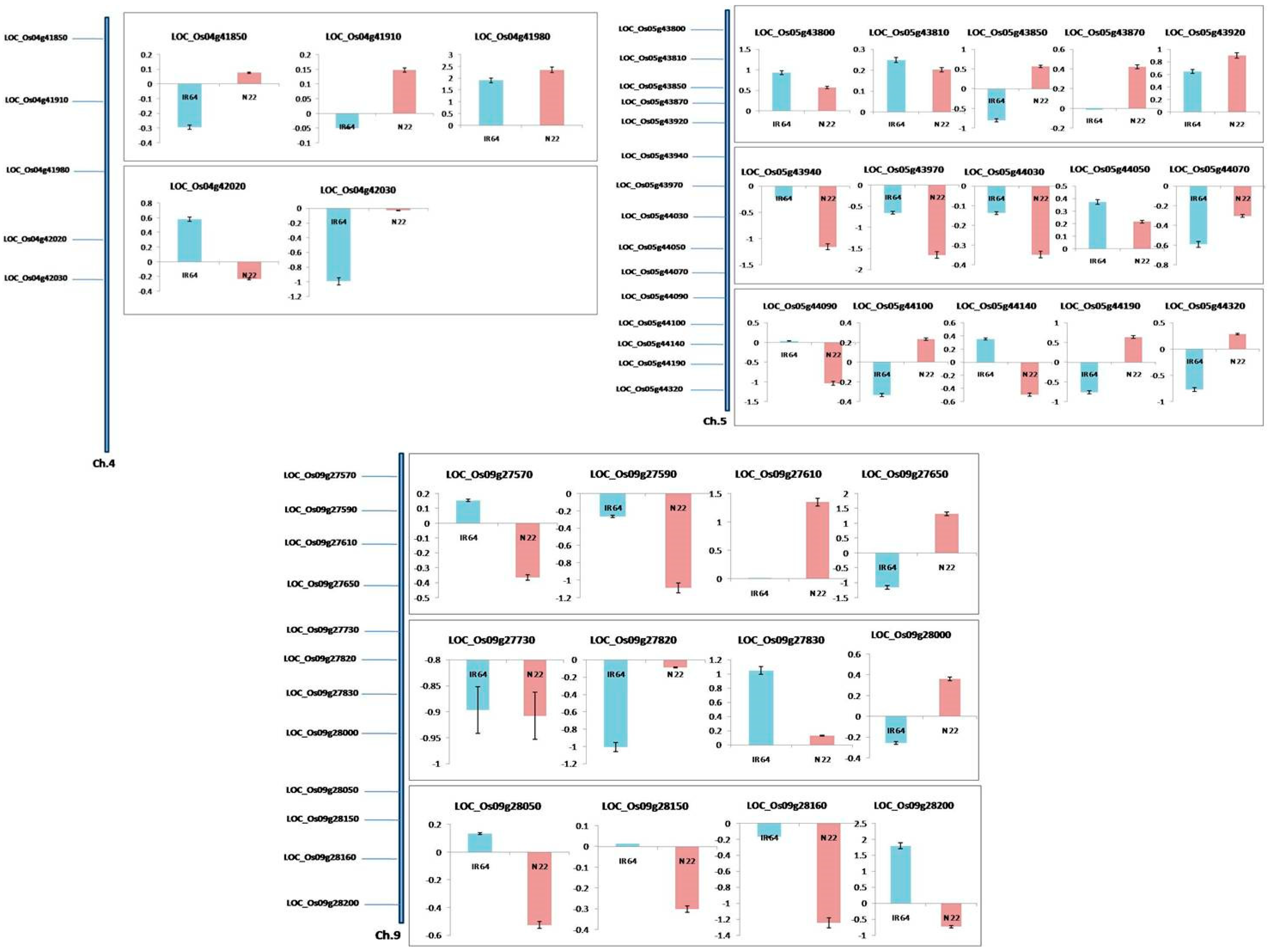
3.3.3. Expression Analysis of the Heat Stress-Responsive Genes Identified
4. Discussion
Supplementary Materials
Author Contributions
Funding
Institutional Review Board Statement
Informed Consent Statement
Data Availability Statement
Acknowledgments
Conflicts of Interest
References
- IPCC. Climate Change 2013: The Physical Science Basis. Contribution of Working Group I to the Fifth Assessment Report of the Intergovernmental Panel on Climate Change; Stocker, T.F., Qin, D., Plattner, G.K., Tignor, M., Allen, S.K., Boschung, J., Nauels, A., Xia, Y., Bex, V., Midgley, P.M., Eds.; Cambridge University Press: Cambridge, UK; New York, NY, USA, 2013; 1535p. [Google Scholar]
- IPCC. Climate Change 2022: Impacts, Adaptation, and Vulnerability: Contribution of Working Group II to the Sixth Assessment Report of the Intergovernmental Panel on Climate Change; Pörtner, H., Roberts, D., Tignor, M., Poloczanska, E., Mintenbeck, K., Alegría, A., Craig, M., Langsdorf, S., Löschke, S., Möller, V., et al., Eds.; Cambridge University Press: Cambridge, UK; New York, NY, USA, 2022. [Google Scholar]
- Lobell, D.B.; Schlenker, W.; Costa-Roberts, J. Climate trends and global crop production since 1980. Science 2011, 333, 616–620. [Google Scholar] [CrossRef]
- IPCC. Global Warming of 1.5 °C. An IPCC Special Report on the Impacts of Global Warming of 1.5 °C above Pre-Industrial Levels and Related Global Greenhouse Gas Emission Pathways, in the Context of Strengthening the Global Response to the Threat of Climate Change, Sustainable Development, and Efforts to Eradicate Poverty; Masson-Delmotte, V.P., Zhai, H., Pörtner, O., Roberts, D., Skea, J., Shukla, P.R., Pirani, A., Moufouma-Okia, W., Péan, C., Pidcock, R., et al., Eds.; Cambridge University Press: Cambridge, UK; New York, NY, USA, 2018. [Google Scholar]
- Zhao, G.; Xu, H.; Zhang, P.; Su, X.; Zhao, H. Effects of 2, 4-epibrassinolide on photosynthesis and Rubiscoactivase gene expression in Triticumaestivum L. seedlings under a combination of drought and heat stress. Plant Growth Regul. 2017, 81, 377–384. [Google Scholar]
- Ceccarelli, S.; Grando, S.; Maatougui, M.; Michael, M.; Slash, M.; Haghparast, R.; Rahmanian, M.; Taheri, A.; Al-Yassin, A.; Benbelkacem, A.; et al. Plant breeding and climate changes. J. Agric. Sci. 2010, 148, 627–637. [Google Scholar] [CrossRef]
- Lyman, N.B.; Jagadish, K.S.; Nalley, L.L.; Dixon, B.L.; Siebenmorgen, T. Neglecting rice milling yield and quality underestimates economic losses from high-temperature stress. PLoS ONE 2013, 8, e72157. [Google Scholar] [CrossRef] [PubMed]
- Wahab, M.M.S.; Akkareddy, S.; Shanthi, P.; Latha, P. Identification of differentially expressed genes under heat stress conditions in rice (Oryza sativa L.). Mol. Biol. Rep. 2020, 47, 1935–1948. [Google Scholar] [CrossRef] [PubMed]
- Jagadish, S.V.K.; Cairns, J.; Lafitte, R.; Wheeler, T.R.; Price, A.H.; Craufurd, P.Q. Genetic analysis of heat tolerance at anthesis in rice. Crop. Sci. 2010, 50, 1633–1641. [Google Scholar] [CrossRef]
- Jagadish, S.V.K.; Muthurajan, R.; Oane, R.; Wheeler, T.R.; Heuer, S.; Bennett, J.; Craufurd, P.Q. Physiological and proteomic approaches to address heat tolerance during anthesis in rice (Oryza sativa L.). J. Exp. Bot. 2010, 61, 143–156. [Google Scholar] [CrossRef]
- Aghamolki, M.T.K.; Yusop, M.K.; Oad, F.C.; Zakikhani, H.; Jaafar, H.Z.; Kharidah, S.; Musa, M.H. Heat stress effects on yield parameters of selected rice cultivars at reproductive growth stages. J. Food Agric. Environ. 2014, 12, 741–746. [Google Scholar]
- Hatfield, J.L.; Prueger, J.H. Temperature extremes: Effect on plant growth and development. Weather. Clim. Extrem. 2015, 10, 4–10. [Google Scholar] [CrossRef]
- Kilasi, N.L.; Singh, J.; Vallejos, C.E.; Ye, C.; Jagadish, S.V.; Kusolwa, P.; Rathinasabapathi, B. Heat stress tolerance in rice (Oryza sativa L.): Identification of quantitative trait loci and candidate genes for seedling growth under heat stress. Front. Plant Sci. 2018, 9, 1578. [Google Scholar] [CrossRef]
- Lawas, L.M.F.; Li, X.; Erban, A.; Kopka, J.; Jagadish, S.K.; Zuther, E.; Hincha, D.K. Metabolic responses of rice cultivars with different tolerance to combined drought and heat stress under field conditions. Giga Sci. 2019, 8, giz050. [Google Scholar] [CrossRef] [PubMed]
- Gunawardena, T.A.; Fukai, S.; Blamey, F.P.C. Low temperature induced spikelet sterility in rice. II. Effects of panicle and root temperatures. Aust. J. Agric. Res. 2003, 54, 947–956. [Google Scholar]
- Wang, Y.; Wang, L.; Zhou, J.; Hu, S.; Chen, H.; Xiang, J.; Zhang, Y.; Zeng, Y.; Shi, Q.; Zhu, D.; et al. Research progress on heat stress of rice at flowering stage. Rice Sci. 2019, 26, 1–10. [Google Scholar] [CrossRef]
- Prasanth, V.V.; Babu, M.S.; Basava, R.K.; Tripura Venkata, V.G.N.; Mangrauthia, S.K.; Voleti, S.R.; Neelamraju, S. Trait and marker associations in Oryza nivara and O. rufipogon derived rice lines under two different heat stress conditions. Front. Plant Sci. 2017, 8, 1819. [Google Scholar] [PubMed]
- Shanmugavadivel, P.S.; Chandra, P.; Amitha, M.S.V. Advances in Rice Research for Abiotic Stress Tolerance, Chapter 42-Molecular Approaches for Dissecting and Improving Drought and Heat Tolerance in Rice; Woodhead Publishing: Cambridge, UK, 2019; pp. 839–867. [Google Scholar]
- Janni, M.; Gullì, M.; Maestri, E.; Marmiroli, M.; Valliyodan, B.; Nguyen, H.T.; Marmiroli, N. Molecular and genetic bases of heat stress responses in crop plants and breeding for increased resilience and productivity. J. Exp. Bot. 2020, 71, 3780–3802. [Google Scholar] [CrossRef] [PubMed]
- Ghadirnezhad, R.; Fallah, A. Temperature effect on yield and yield components of different rice cultivars in flowering stage. Int. J. Agron. 2014, 2014, 846707. [Google Scholar] [CrossRef]
- Bheemanahalli, R.; Sathishraj, R.; Tack, J.; Nalley, L.L.; Muthurajan, R.; Jagadish, K.S. Temperature thresholds for spikelet sterility and associated warming impacts for sub-tropical rice. Agric. For. Meteorol. 2016, 221, 122–130. [Google Scholar] [CrossRef]
- Nakagawa, H.; Horie, T.; Matsui, T. Effects of climate change on rice production and adaptive technologies. In Proceedings of the International Rice Research Conference, Beijing, China, 16–19 September 2002; International Rice Research Institute (IRRI): Manila, Philippines, 2002; pp. 635–658. [Google Scholar]
- Laborte, A.; Nelson, A.; Jagadish, K.; Aunario, J.; Sparks, A.; Ye, C.; Redoña, E. Rice feels the heat. Rice Today 2012, 11, 30–31. [Google Scholar]
- Gourdji, S.M.; Sibley, A.M.; Lobell, D.B. Global crop exposure to critical high temperatures in the reproductive period: Historical trends and future projections. Environ. Res. Lett. 2013, 8, 024041. [Google Scholar] [CrossRef]
- Shanmugavadivel, P.S.; AmithaMithra, S.V.; Prakash, C.; Ramkumar, M.K.; Tiwari, R.; Mohapatra, T.; Singh, N.K. High resolution mapping of QTLs for heat tolerance in rice using a 5K SNP array. Rice 2017, 10, 28–38. [Google Scholar]
- Prasad, P.V.V.; Boote, K.J.; Allen, L.H., Jr.; Sheehy, J.E.; Thomas, J.M.G. Species, ecotype and cultivar differences in spikelet fertility and harvest index of rice in response to high temperature stress. Field Crops Res. 2006, 95, 398–411. [Google Scholar] [CrossRef]
- Schoffl, F.; Prandl, R.; Reindl, A. Regulation of the heat-shock response. Plant Physiol. 1998, 117, 1135–1141. [Google Scholar] [CrossRef] [PubMed]
- Howarth, C.J. Genetic Improvements of Tolerance to High Temperature, in Abiotic stresses: Plant Resistance through Breeding and Molecular Approaches; Ashraf, M., Harris, P.J.C., Eds.; Haworth Press Inc.: New York, NY, USA, 2005. [Google Scholar]
- Wahid, A.; Gelani, S.; Ashraf, M.; Foolad, M.R. Heat tolerance in plants: An overview. Environ. Exp. Bot. 2007, 61, 199–223. [Google Scholar] [CrossRef]
- Matsui, T.; Omasa, K.; Horie, T. High temperature-induced spikelet sterility of japonica rice at flowering in relation to air temperature, humidity and wind velocity conditions. Jpn. J. Crop Sci. 1997, 66, 449–455. [Google Scholar] [CrossRef]
- Ravikiran, K.T.; Krishnan, S.G.; Vinod, K.K.; Dhawan, G.; Dwivedi, P.; Kumar, P.; Bansal, V.P.; Nagarajan, M.; Bhowmick, P.K.; Ellur, R.K.; et al. A trait specific QTL survey identifies NL44, a NERICA cultivar as a novel source for reproductive stage heat stress tolerance in rice. Plant Physiol. Rep. 2020, 25, 664–676. [Google Scholar] [CrossRef]
- Wei, H.; Liu, J.; Wang, Y.; Huang, N.; Zhang, X.; Wang, L.; Zhang, J.; Tu, J.; Zhong, X. A dominant major locus in chromosome 9 of rice (Oryza sativa L.) confers tolerance to 48 °C high temperature at seedling stage. J. Hered. 2013, 104, 287–294. [Google Scholar] [CrossRef]
- Zhao, Z.; Jiang, L.; Xiao, Y.; Zhang, W.; Zhai, H.; Wan, J. Identification of QTLs for heat tolerance at the booting stage in rice (Oryza sativa L.). Acta Agron. Sin. 2006, 32, 640–644. [Google Scholar]
- Zhang, T.; Yang, L.; Jiang, K.; Huang, M.; Sun, Q.; Chen, W.; Zheng, J. QTL mapping for heat tolerance of the tassel period of rice. Mol. Plant Breed 2008, 6, 867–873. [Google Scholar]
- Zhang, G.L.; Chen, L.Y.; Xiao, G.Y.; Xiao, Y.H.; Chen, X.B.; Zhang, S.T. Bulked segregant analysis to detect QTL related to heat tolerance in rice (Oryza sativa L.) using SSR markers. Agric. Sci. China 2009, 8, 482–487. [Google Scholar] [CrossRef]
- Xiao, Y.; Pan, Y.; Luo, L.; Zhang, G.; Deng, H.; Dai, L.; Liu, X.; Tang, W.; Chen, L.; Wang, G.L. Quantitative trait loci associated with seed set under high temperature stress at the flowering stage in rice (Oryza sativa L.). Euphytica 2011, 178, 331–338. [Google Scholar] [CrossRef]
- Xiao, Y.H.; Pan, Y.; Luo, L.H.; Deng, H.B.; Zhang, G.L.; Tang, W.B.; Chen, L.Y. Quantitative trait loci associated with pollen fertility under high temperature stress at flowering stage in rice (Oryza sativa L.). Rice Sci. 2011, 18, 204–209. [Google Scholar] [CrossRef]
- Ye, C.; Argayoso, M.A.; Redoña, E.D.; Sierra, S.N.; Laza, M.A.; Dilla, C.J.; Mo, Y.; Thomson, M.J.; Chin, J.; Delaviña, C.B.; et al. Mapping QTL for heat tolerance at flowering stage in rice using SNP markers. Plant Breed. 2012, 131, 33–41. [Google Scholar] [CrossRef]
- Ye, C.; Tenorio, F.A.; Argayoso, M.A.; Laza, M.A.; Koh, H.J.; Redoña, E.D.; Jagadish, K.S.; Gregorio, G.B. Identifying and confirming quantitative trait loci associated with heat tolerance at flowering stage in different rice populations. BMC Genet. 2015, 16, 41–50. [Google Scholar] [CrossRef] [PubMed]
- Pandit, A.; Rai, V.; Bal, S.; Sinha, S.; Kumar, V.; Chauhan, M.; Gautam, R.K.; Singh, R.; Sharma, P.C.; Singh, A.K.; et al. Combining QTL mapping and transcriptome profiling of bulked RILs for identification of functional polymorphism for salt tolerance genes in rice (Oryza sativa L.). Mol. Genet. Genom. 2010, 284, 121–136. [Google Scholar] [CrossRef] [PubMed]
- Sandhu, M.; Sureshkumar, V.; Prakash, C.; Dixit, R.; Solanke, A.U.; Sharma, T.R.; Mohapatra, T.; Amitha Mithra, S.V. RiceMetaSys for salt and drought stress responsive genes in rice: A web interface for crop improvement. BMC Bioinform. 2017, 18, 1–11. [Google Scholar] [CrossRef] [PubMed]
- Bharadwaj, C.; Tripathi, S.; Soren, K.R.; Thudi, M.; Singh, R.K.; Sheoran, S.; Roorkiwal, M.; Patil, B.S.; Chitikineni, A.; Palakurthi, R.; et al. Introgression of “QTL-hotspot” region enhances drought tolerance and grain yield in three elite chickpea cultivars. Plant Genome 2021, 14, e20076. [Google Scholar] [CrossRef]
- Sureshkumar, V.; Dutta, B.; Kumar, V.; Prakash, G.; Mishra, D.C.; Chaturvedi, K.K.; Rai, A.; Sevanthi, A.M.; Solanke, A.U. RiceMetaSysB: A database of blast and bacterial blight responsive genes in rice and its utilization in identifying key blast-resistant WRKY genes. Database 2019, 2019, baz015. [Google Scholar] [CrossRef]
- Ritchie, M.E.; Phipson, B.; Wu, D.I.; Hu, Y.; Law, C.W.; Shi, W.; Smyth, G.K. Limma powers differential expression analyses for RNA-sequencing and microarray studies. Nucleic Acids Res. 2015, 43, e47. [Google Scholar] [CrossRef]
- XAMPP Home Page. Available online: https://www.apachefriends.org (accessed on 25 August 2018).
- MySQL Home Page. Available online: https://www.mysql.com (accessed on 18 August 2018).
- Frain, B. Responsive Web Design with HTML5 and CSS3; Packt Publishing Ltd.: Birmingham, UK, 2012. [Google Scholar]
- Duckett, J. JavaScript &jQuery; Wiley: Hoboken, NJ, USA, 2015. [Google Scholar]
- Chart.js Home Page. Available online: https://www.chartjs.org (accessed on 2 September 2018).
- Sevanthi, A.; Kandwal, P.; Kale, P.B.; Prakash, C.; Ramkumar, M.K.; Yadav, N.; Mahato, A.K.; Sureshkumar, V.; Behera, M.; Deshmukh, R.K.; et al. Whole genome characterization of a few EMS-induced mutants of upland rice variety Nagina 22 reveals a staggeringly high frequency of SNPs which show high phenotypic plasticity towards the wild-type. Front. Plant Sci. 2018, 9, 1179. [Google Scholar] [CrossRef]
- Pfaffl, M.W. A new mathematical model for relative quantification in real-time RT–PCR. Nucleic Acids Res. 2001, 29, e45. [Google Scholar] [CrossRef]
- Suwabe, K.; Suzuki, G.; Takahashi, H.; Shiono, K.; Endo, M.; Yano, K.; Fujita, M.; Masuko, H.; Saito, H.; Fujioka, T.; et al. Separated transcriptomes of male gametophyte and tapetum in rice: Validity of a laser microdissection (LM) microarray. Plant Cell Physiol. 2008, 49, 1407–1416. [Google Scholar] [CrossRef]
- Vitoriano, C.B.; Calixto, C.P.G. Reading between the Lines: RNA-seq data mining reveals the alternative message of the Rice leaf transcriptome in response to heat stress. Plants 2021, 10, 1647. [Google Scholar] [CrossRef] [PubMed]
- Yang, H.; Gu, X.; Ding, M.; Lu, W.; Lu, D. Heat stress during grain filling affects activities of enzymes involved in grain protein and starch synthesis in waxy maize. Sci. Rep. 2018, 8, 1–9. [Google Scholar] [CrossRef]
- Liu, W.; Yin, T.; Zhao, Y.; Wang, X.; Wang, K.; Shen, Y.; Ding, Y.; Tang, S. Effects of high temperature on rice grain development and quality formation based on proteomics comparative analysis under field warming. Front. Plant Sci. 2021, 12, 746180. [Google Scholar] [CrossRef] [PubMed]
- Lu, H.; Hu, Y.; Wang, C.; Liu, W.; Ma, G.; Han, Q.; Ma, D. Effects of high temperature and drought stress on the expression of gene encoding enzymes and the activity of key enzymes involved in starch biosynthesis in wheat grains. Front. Plant Sci. 2019, 10, 1414. [Google Scholar] [CrossRef] [PubMed]
- Shi, W.; Yang, J.; Kumar, R.; Zhang, X.; Impa, S.M.; Xiao, G.; Jagadish, S.K. Heat stress during gametogenesis irreversibly damages female reproductive organ in rice. Rice 2022, 15, 32. [Google Scholar] [CrossRef]
- Wang, Z.Y.; Zheng, F.Q.; Shen, G.Z.; Gao, J.P.; Snustad, D.P.; Li, M.G.; Zhang, J.L.; Hong, M.M. The amylose content in rice endosperm is related to the post-transcriptional regulation of the waxy gene. Plant J. 1995, 7, 613–622. [Google Scholar] [CrossRef]
- Oliver, S.N.; Van Dongen, J.T.; Alfred, S.C.; Mamun, E.A.; Zhao, X.; Saini, H.S.; Fernandes, S.F.; Blanchard, C.L.; Sutton, B.G.; Geigenberger, P.; et al. Cold-induced repression of the rice anther-specific cell wall invertase gene OSINV4 is correlated with sucrose accumulation and pollen sterility. Plant Cell Environ. 2005, 28, 1534–1551. [Google Scholar] [CrossRef]
- Moon, S.; Oo, M.M.; Kim, B.; Koh, H.J.; Oh, S.A.; Yi, G.; An, G.; Park, S.K.; Jung, K.H. Genome-wide analyses of late pollen-preferred genes conserved in various rice cultivars and functional identification of a gene involved in the key processes of late pollen development. Rice 2018, 11, 28. [Google Scholar] [CrossRef]
- Lin, S.K.; Chang, M.C.; Tsai, Y.G.; Lur, H.S. Proteomic analysis of the expression of proteins related to rice quality during caryopsis development and the effect of high temperature on expression. Proteomics 2005, 5, 2140–2156. [Google Scholar] [CrossRef]
- Guo, L.M.; Li, J.; He, J.; Liu, H.; Zhang, H.M. A class I cytosolic HSP20 of rice enhances heat and salt tolerance in different organisms. Sci. Rep. 2020, 10, 1383. [Google Scholar] [CrossRef] [PubMed]
- Ramkumar, M.K.; Mulani, E.; Jadon, V.; Sureshkumar, V.; Krishnan, S.G.; Kumar, S.S.; Raveendran, M.; Singh, A.K.; Solanke, A.U.; Sevanthi, A.M. Identification of major candidate genes for multiple abiotic stress tolerance at seedling stage by network analysis and their validation by expression profiling in rice (Oryza sativa L.). 3 Biotech 2022, 12, 127. [Google Scholar] [CrossRef] [PubMed]







| S. No. | GEO ID | Variety | Tissue | Stage | Stress | No. of DEGs |
|---|---|---|---|---|---|---|
| 1 | GSE19983 | Pusa Basmati | Seedlings | Seedling Stage | 10 min | 2024 |
| 30 min | 1313 | |||||
| 2 | GSE38665 | Cultivar 996 | Panicle | Reproductive Stage | 20 min | 2937 |
| 1 h | 3533 | |||||
| 2 h | 3463 | |||||
| 4 h | 4077 | |||||
| 8 h | 3948 | |||||
| 3 | GSE55341 | M202 | Leaf | Vegetative Stage | 2 | |
| 4 | GSE51426 | Cultivar 996 | Panicle | Reproductive Stage | 2 h | 1746 |
| 5 | GSE45259 | Flag Leaf | 20 min | 2951 | ||
| 1 h | 3651 | |||||
| 2 h | 0 | |||||
| 4 h | 2079 | |||||
| 8 h | 4198 | |||||
| 6 | GSE1367464 | Nagina 22 and IR64 | Panicle | 8 days | 1104 | |
| 3 days heat | 256 | |||||
| 1 day heat | 1126 | |||||
| Anther | 3 days heat | 126 | ||||
| 7 | GSE57154 | Moroberekan | Pistil | 1 day heat | 435 | |
| Panicle | 8 days | 1163 |
Disclaimer/Publisher’s Note: The statements, opinions and data contained in all publications are solely those of the individual author(s) and contributor(s) and not of MDPI and/or the editor(s). MDPI and/or the editor(s) disclaim responsibility for any injury to people or property resulting from any ideas, methods, instructions or products referred to in the content. |
© 2023 by the authors. Licensee MDPI, Basel, Switzerland. This article is an open access article distributed under the terms and conditions of the Creative Commons Attribution (CC BY) license (https://creativecommons.org/licenses/by/4.0/).
Share and Cite
Singh, B.K.; Venkadesan, S.; Ramkumar, M.K.; Shanmugavadivel, P.S.; Dutta, B.; Prakash, C.; Pal, M.; Solanke, A.U.; Rai, A.; Singh, N.K.; et al. Meta-Analysis of Microarray Data and Their Utility in Dissecting the Mapped QTLs for Heat Acclimation in Rice. Plants 2023, 12, 1697. https://doi.org/10.3390/plants12081697
Singh BK, Venkadesan S, Ramkumar MK, Shanmugavadivel PS, Dutta B, Prakash C, Pal M, Solanke AU, Rai A, Singh NK, et al. Meta-Analysis of Microarray Data and Their Utility in Dissecting the Mapped QTLs for Heat Acclimation in Rice. Plants. 2023; 12(8):1697. https://doi.org/10.3390/plants12081697
Chicago/Turabian StyleSingh, Bablee Kumari, Sureshkumar Venkadesan, M. K. Ramkumar, P. S. Shanmugavadivel, Bipratip Dutta, Chandra Prakash, Madan Pal, Amolkumar U. Solanke, Anil Rai, Nagendra Kumar Singh, and et al. 2023. "Meta-Analysis of Microarray Data and Their Utility in Dissecting the Mapped QTLs for Heat Acclimation in Rice" Plants 12, no. 8: 1697. https://doi.org/10.3390/plants12081697
APA StyleSingh, B. K., Venkadesan, S., Ramkumar, M. K., Shanmugavadivel, P. S., Dutta, B., Prakash, C., Pal, M., Solanke, A. U., Rai, A., Singh, N. K., Mohapatra, T., & Sevanthi, A. M. (2023). Meta-Analysis of Microarray Data and Their Utility in Dissecting the Mapped QTLs for Heat Acclimation in Rice. Plants, 12(8), 1697. https://doi.org/10.3390/plants12081697

