Abstract
Araticum (Annona crassiflora Mart.) is a native and endemic species to Brazilian Cerrado whose fruits have high sensorial, nutritional, bioactive, and economic potential. Its use in local folk medicine, associated with recent scientific findings, has attracted growing interest from different industrial sectors. Therefore, understanding the scientific advances achieved so far and identifying gaps to be filled is essential to direct future studies and transform accumulated knowledge into innovative technologies and products. In this review, we summarize the phytochemical composition, bioactivities, and food products from araticum fruit that have been reported in the scientific literature over the past 10 years. The compiled data showed that araticum fruit parts contain a wide range of bioactive compounds, particularly phenolic compounds, alkaloids, annonaceous acetogenins, carotenoids, phytosterols, and tocols. These phytochemicals contribute to different biological activities verified in araticum fruit extracts/fractions, including antioxidant, anti-inflammatory, anti-Alzheimer, anticancer, antidiabetic, anti-obesity, antidyslipidemic, antinociceptive, hepatoprotective, healing of the cutaneous wound, antibacterial, and insecticide effects. Despite the promising findings, further studies—particularly toxicological (especially, with byproducts), pre-clinical, and clinical trials—must be conducted to confirm these biological effects in humans and assure the safety and well-being of consumers.
1. Introduction
Araticum, also popularly known as marolo, articum, ariticum, araticum-do-cerrado, bruto, cabeca-de-negro, cascudo, panã, pinha-do-cerrado, and pasmada, is a fruitful tree, native and endemic to Brazilian Cerrado, belonging to the Annonaceae family [1]. This species is widely distributed along the Cerrado biome areas, covering the states of Minas Gerais, São Paulo, Goiás, Bahia, Mato Grosso, Mato Grosso do Sul, Tocantins, Maranhão, Piauí, Pará, and Federal District [2]. Obtaining the fruits for commercial purposes has been done in an extractive manner from native populations, in areas of the Brazilian Cerrado, due to the absence of commercial plantations. Therefore, araticum plants present high genetic diversity since they come from seeds that have not yet undergone genetic improvements, thus resulting in highly different individuals [3]. Moreover, several factors can affect the genetic diversity of this species, including climatic conditions (e.g., temperature), geographical location, and landscape where the matrix is located (e.g., percentage of forestry cover, water, and urban areas) [4,5].
Araticum is a medium-sized tree, reaching 4 to 8 m in height and about 4 m in crown diameter (Figure 1A). The fruit has a subglobose shape, with a green epicarp when unripe and one that is greenish-brown when ripe (Figure 1B,C). The pulp is arranged on a fleshy and tapered receptacle, and it has a color ranging from white to yellowish-pink, a characteristic strong and slightly sweet flavor, and a pleasant smell (Figure 1D). In addition, the pulp is composed of cone-shaped buds (90–190 carpels) that contain a single seed (Figure 1E). The seeds have a flattened obovoid shape and bone consistency with a smooth, opaque, and light brown surface (Figure 1F) [6].
Figure 1.
Araticum (Annona crassiflora Mart.) (A) tree, (B) unripe fruit, (C) ripe fruit, (D) fruit cross-section, (E) carpels, and (F) seeds. Pictures taken by Henrique Silvano Arruda in natural areas of the Cerrado biome located in the city of Carmo do Paranaíba, Minas Gerais, Brazil (altitude of 1061 meters above sea level at a latitude of 19°00′03″ S and longitude of 46°18′58″ W).
Araticum fruit parts have been used for centuries by folk medicine to treat different pathological conditions. The fruit is used by local and traditional medicine as a tonic and astringent, as well as for treating pain and rheumatism [7,8], whereas seed preparations are reported as antidiarrheic, antitumor, and insecticide agents; inductors of menstruation properties; useful for the treatment of Chagas’ disease; useful against snakebites, skin, and scalp infections [6]. In addition to being used in folk medicine, araticum fruit is highly appreciated by inhabitants of the Cerrado region. This fruit is among the 20 most used species in the regional foodstuffs, being consumed both in natura and in the processed form (e.g., juices, jams, ice creams, popsicles, among others), contributing significantly to the intake of essential macro and micronutrients [9]. According to Cardoso et al. [10], the intake of 100 g of araticum pulp provides 1.52 g proteins, 3.50 g lipids, 14.39 g carbohydrates, 0.47 g ash, 95.12 kcal, 6.80 g dietary fiber, 4.98 mg carotenoids, 288.79 RAE (Retinol Activity Equivalent) (vitamin A), 5.23 mg ascorbic acid, 494.04 µg vitamin E, and 27.36 µg folates. Thus, araticum consumption could be a key tool to mitigate food insecurity, malnutrition, and risk for malnutrition-related disorders.
In addition to the attractive sensory attributes and significant nutritional properties of araticum fruit pulp, recent studies have shown that both the edible fruit part (pulp) and its byproducts (peel and seeds) contain several bioactive compounds that exert important biological activities [6]. However, this information is sometimes too dispersed and out-of-date in the specialized literature, making it difficult to understand the scientific advances achieved so far and to identify the gaps to be filled by future research. Therefore, this comprehensive review was designed to summarize the most recent scientific data found in the literature on the phytochemical composition, bioactive properties, and developed food products from araticum fruit to compile up-to-date information that will help clarify the advances made so far and the gaps to be filled by future studies. Thus, this review can be a reference material to support other researchers in conducting future studies on araticum fruit.
2. Search Strategy and Studies Selection
In the current comprehensive review study, electronic searches were carried out using the main repositories of the world’s scientific data (Scopus, Google Scholar, Science Direct, Web of Science, and PubMed databases) to identify relevant studies published in scientific journals in the last decade (2013 to the present). We used the following terms to perform our bibliographic research: “Araticum” OR “Annona crassiflora”. The abovementioned terms were searched on the article title, abstract, and keywords. The search was not restricted to any specific language and/or journal impact factor. The studies that met the search criteria were selected for full-text review. Theses, editorials, communications, and conference abstracts were excluded. The inclusion criteria were studies that reported results concerning: (1) fruit parts, (2) phytochemical composition, (3) biological properties, and (4) food and beverage products.
3. Bioactive Compounds Found in Araticum Fruit Parts
Bioactive compounds are naturally occurring chemical substances found in plants, animals, and microorganisms that have specific biological activities and can exert a wide spectrum of beneficial effects on human health, including antioxidant, anti-inflammatory, antimicrobial, anti-aging, and anticarcinogenic effects. They are classified into diverse classes according to chemical structure, namely phenolic compounds, alkaloids, carotenoids, tocols, phytosterols, organosulfur compounds, polysaccharides, amino acids, and peptides, among others [11,12]. As shown in Table 1, bioactive compounds such as phenolic compounds, alkaloids, annonaceous acetogenins, carotenoids, phytosterols, and tocols were observed in the pulp, peel, and seed of araticum fruit, and they will be discussed in more detail throughout this section.
Table 1.
A summary of studies showing the bioactive compounds found in araticum fruit.
3.1. Phenolic Compounds
Phenolic compounds are an important class of phytochemicals formed from secondary plant metabolites containing hydroxyl (−OH) substituents on an aromatic hydrocarbon chain. This class of bioactive compounds shows a large diversity of structures, including rather simple molecules (phenolic acids) and polyphenols such as stilbenes, flavonoids, lignans, and tannins, that can be found free or associated with carbohydrates, lipids, cell wall components, amines, and organic acids [34]. Phenolic compounds have multiple biochemical actions as antioxidant agents, and they are involved in the modulation of signaling pathways, gene expression, and the modification of epigenetic changes mainly related to chronic non-communicable diseases (e.g., metabolic syndromes, cancers, and neurodegenerative diseases) [35]. Therefore, phenolic compounds can be alternative or complementary tools for the prevention or management of non-communicable chronic diseases.
Phenolic compounds are the most studied bioactive compounds class in the araticum fruit parts. As can be seen in Table 1, several phenolic compounds have been identified in araticum fruit, with the most common being caffeic acid, chlorogenic acid, ferulic acid, protocatechuic acid, p-coumaric acid, catechin, epicatechin, procyanidin B2, quercetin, kaempferol, and their derivatives (Figure 2). Sophisticated analytical techniques, including high-performance liquid chromatography coupled with diode array detector (HPLC-DAD), high-performance liquid chromatography coupled with mass spectrometry (HPLC-MS), and paper spray ionization mass spectrometry (PS-MS), have been used for their identification and quantification.
Figure 2.
Chemical structures of the most common phenolic compounds found in araticum fruit. Own authorship created by ChemSketch software.
Overall, the profile of phenolic compounds from the different parts of the araticum fruit (pulp, peel, and seeds) is diverse. As shown in Table 1, several phenolic compounds have been identified in the pulp (derivatives of 4-hydroxybenzoic acid, p-coumaric acid, ferulic acid, gallic acid, sinapic acid, caffeic acid, (epi)catechin, quercetin, kaempferol, rutin, tangeretin, syringic acid, apigenin, and naringenin), peel (derivatives of syringic acid, ferulic acid, protocatechuic acid, hydroxybenzoic acid, caffeic acid, vanillic acid, chlorogenic acid, p-coumaric acid, (epi)catechin, kuwanon G, quercetin, kaempferol, apigenin, tangeretin, neocarthamin, isorharmnetin, luteolin, naringenin, vanillin, and lariciresinol), and seeds (derivatives of 4-hydroxybenzoic acid, gallic acid, chlorogenic acid, protocatechuic acid, caffeic acid, p-coumaric acid, synaptic acid, ferulic acid, trans-cinnamic acid, catechin, epicatechin, kaempferol, vanillin, quercetin, rutin, naringenin, and tangerentin). Arruda et al. [16] carried out an in-depth exploratory study that allowed for the identification of 112 phenolic compounds (73 flavonoids, 33 phenolic acids, and 6 other phenolics) in a hydroethanolic extract (50% ethanol) from araticum peel.
In general, the content of phenolic compounds can diverge according to fruit part (pulp, peel, and seeds), ripening stage, edaphoclimatic conditions, and storage conditions, as well as the extraction procedures and conditions (e.g., composition and polarity of the solvent, time and temperature of extraction, pH, number of re-extractions, particle size, etc.) and extraction methods (e.g., water bath shaker, maceration, ultrasound, etc.). For example, Ramos et al. [24], evaluating pulp, peel, and seeds of araticum fruit obtained from different regions, found variations of 2-fold, 2.5-fold, and 3.5-fold in the total phenolic content, respectively. In the same study, the araticum peel showed the highest content of total phenolics (837.53–1926.56 mg GAE/100 g), followed by the seeds (358.28–1186.07 mg GAE/100 g) and pulp (480.81–1007.62 mg GAE/100 g). Similarly, Arruda et al. [25] found the highest total phenolic contents in the araticum peel, followed by the pulp and the seeds. Furthermore, Arruda et al. [16] observed a 2-fold increase in total phenolic content from araticum peel when optimizing the ultrasonic power and process time. Another study by Arruda et al. [36] demonstrated that optimization extraction conditions (solvent composition, temperature, and extraction time) increase the total phenolic content extracted from araticum pulp 3-fold.
Regarding the quantification of phenolic compounds, Guimarães et al. [15] observed that catechin (16.79 mg/100 g fw) and gallic acid (1.89 mg/100 g fw) were the major compounds in araticum pulp, followed by amounts lower than 0.55 mg/100 g fw for other phenolic acids (chlorogenic acid, caffeic acid, p-coumaric acid, ferulic acid, trans-cinnamic acid, m-coumaric acid, and o-coumaric acid) and flavonoids (quercetin, vanillin, and rutin). Besides that, Arruda et al. [25] quantified 10 phenolic compounds, namely catechin (768.42 µg/g dw), epicatechin (661.81 µg/g dw), caffeic acid (124.31 µg/g dw), protocatechuic acid (97.92 µg/g dw), ferulic acid (53.71 µg/g dw), chlorogenic acid (43.45 µg/g dw), gentisic acid (14.00 µg/g dw), p-coumaric acid (11.86 µg/g dw), rutin (9.31 µg/g dw), and quercetin (7.80 µg/g dw), in araticum pulp.
There has been increasing interest in the utilization of araticum fruit byproducts (peel and seed). Arruda et al. [16] found 14 phenolic compounds in the peel, namely epicatechin (136.47 µg/g dw), rutin (58.53 µg/g dw), chlorogenic acid (16.83 µg/g dw), catechin (15.23 µg/g dw), ferulic acid (10.96 µg/g dw), vicenin-2 (2.60 µg/g dw), vanillin (3.47 µg/g dw), naringenin (2.15 µg/g dw), protocatechuic acid (1.64 µg/g dw), caffeic acid (1.22 µg/g dw), luteolin (0.91 µg/g dw), p-coumaric acid (0.49 µg/g dw), 4-hydroxybenzoic acid (0.49 µg/g dw), and vitexin (0.18 µg/g dw). Additionally, Prado et al. [23] showed the presence of 12 phenolic compounds in the peel, such as epicatechin (6221.63 µg/g extract), catechin (579.40 µg/g extract), chlorogenic acid (305.15 µg/g extract), rutin (133.31 µg/g extract), p-coumaric acid (14.97 µg/g extract), and traces of quercetin, naringenin, protocatechuic acid, 4-hydroxybenzoic acid, vanillic acid, caffeic acid, and ferulic acid. Moreover, Menezes et al. [20] quantified 11 phenolic compounds in araticum seeds, namely o-coumaric acid (3822.5 mg/kg dw), rutin (2209.4 mg/kg dw), p-coumaric acid (188.5 mg/kg dw), gallic acid (135.6 mg/kg dw), trans-cinnamic acid (102.6 mg/kg dw), quercetin (83.5 mg/kg dw), ferulic acid (63.9 mg/kg dw), caffeic acid (40.5 mg/kg dw), catechin (35.1 mg/kg dw), chlorogenic acid (14.7 mg/kg dw), and vanillin (3.1 mg/kg dw). Furthermore, Formagio et al. [21] observed the presence of rutin (493 mg/mL), caffeic acid (302 mg/mL), sinapic acid (248 mg/mL), ferulic acid (176 µg/mL), and p-coumaric acid (106 µg/mL). Although there is a variation in the content of phenolic compounds due to different ways of obtaining the extract and different analytical methods, as well as other conditions described above, which may influence their content, catechin, epicatechin, rutin, chlorogenic acid, and caffeic acid appear to be the major phenolic compounds found in pulp and peel, whereas seed shows coumaric acid, caffeic acid, rutin, catechin, and epicatechin as its main phenolics. Recent studies have reported the ability of phenolic-rich extracts obtained from araticum fruit to exert beneficial effects on human health, including antitumor, antioxidant, anti-inflammatory, antimicrobial, antihypertensive, and hepatoprotective properties (see Section 4 for more details). Therefore, this fruit offers a wide spectrum of technological applications in the area of functional foods, pharmaceuticals, and cosmetics.
3.2. Alkaloids
Alkaloids are a huge class of natural compounds commonly found in the Annonaceae family [37]. This class of secondary metabolites is grouped under heterocyclic and non-heterocyclic compounds based on the position of the nitrogen atom in their chemical structure [38]. Alkaloids are considered bioactive compounds capable of exerting multiple biological activities, such as antioxidant, antidiabetic, anti-inflammatory, antimicrobial, antitumoral, anti-hypertensive, antidiarrheal, antimalarial, and antidiabetic activities [6,38,39]. Additionally, there are already several drugs available on the market produced from natural plant alkaloids [40].
As can be seen in Table 1, several alkaloids have been found in araticum pulp and peel. However, the most frequently found alkaloids were stephalagine, isoboldine, xylopine, and liriodenine (Figure 3). The stephalagine was purified by semi-preparative HPLC on RP-C18 and structurally characterized by high-resolution mass spectrometry, with electrospray ionization (HR-ESI-MS) and nuclear magnetic resonance (NMR) techniques, for the first time by Pereira et al. [29]. Additionally, recent studies have reported the presence of stephalagine in araticum peel and pulp [14,26,27,28,30], indicating that this compound is present in more than a fraction of the fruit. Stephalagine, an aporphine alkaloid, has demonstrated anti-obesity, antinociceptive, and anti-edematogenic effects, suggesting its use as a new potential drug [28,29]. In addition to stephalagine, other alkaloids, such as xylopine, romucosine, asimilobine, roemerine, nornuciferine, N-methylcoclaurine, guattescidine, actinodaphnine, isoboldine, and N-methyllaurotetanine, have been identified in araticum pulp [14,22]. Several studies demonstrated the presence of liriodenine, atherospermidine, isopiline, isoboldine, isocorydine, anonaine, xylopine, nuciferine, liriodenine, atherospermidine, reticuline, roemerine, nornuciferine, N-methylcoclaurine, guattescidine, actinodaphnine, and N-methyllaurotetanine in the araticum peel [22,26,30]. As mentioned above, there is a significant interest in isolating and purifying alkaloids from araticum pulp and its byproduct (peel), which can serve as potential sources for obtaining alkaloids for the pharmaceutical industry.
Figure 3.
Chemical structures of the most common alkaloids found in araticum fruit. Own authorship created by ChemSketch software.
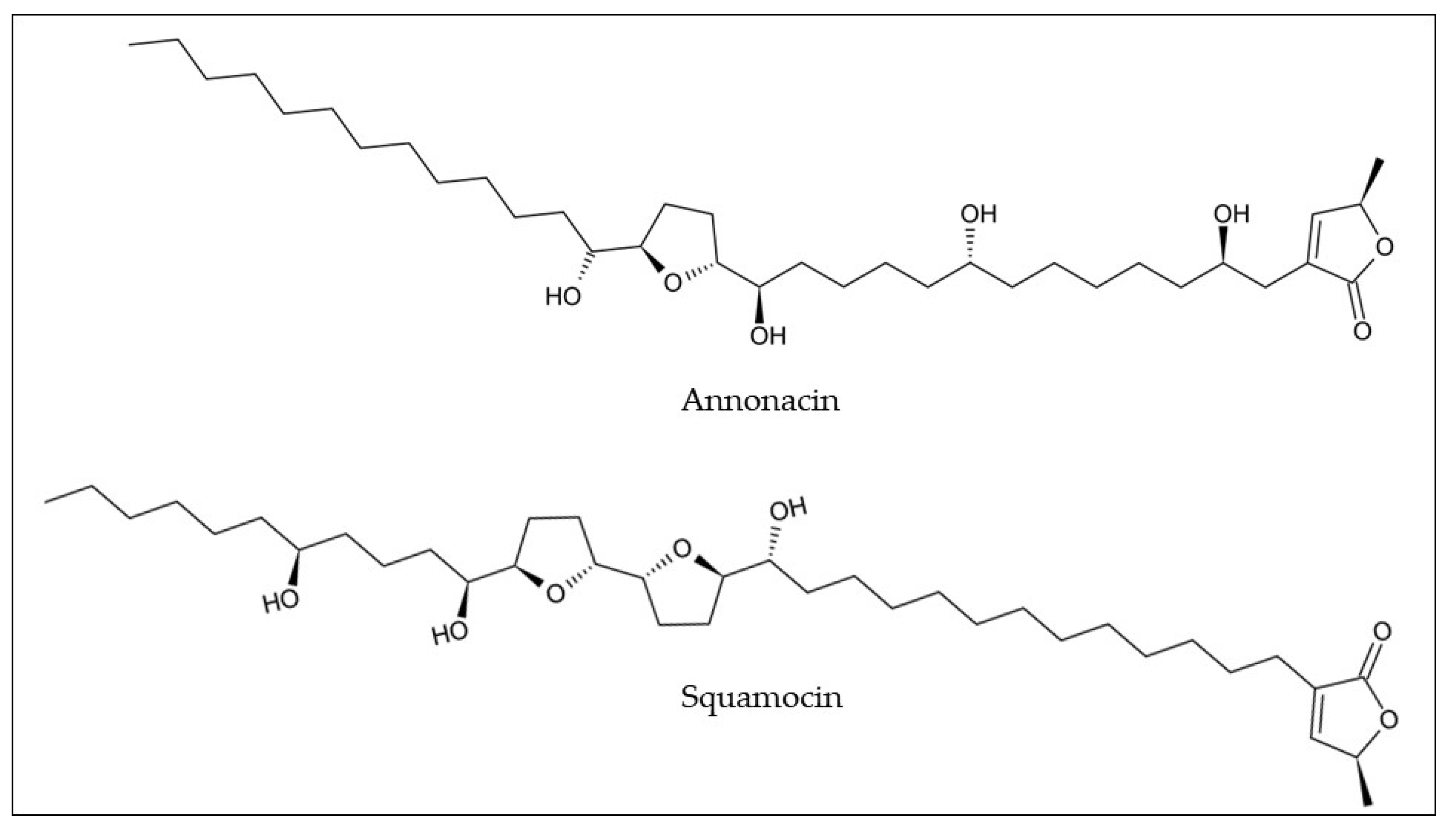
3.3. Annonaceous Acetogenins
Annonaceous acetogenins constitute a group of powerful bioactive substances derived from long-chain fatty acids (C35-C37) by polyketide pathways found exclusively in plants of the Annonaceae family. They are commonly characterized by a combination of fatty acids, with a 2-propanol unit at C-2 that forms a methyl-substituted α,β-unsaturated γ-lactone [41,42]. Annonaceous acetogenins have attracted significant scientific interest for the last decade because of their biological activities such as antiparasitic, immunosuppressive, neurotoxic, and pesticidal properties [42]. Beyond that, these compounds appear to be powerful against cancer [6,42,43]. However, chronic exposure to annonaceous acetogenins can potentiate neural damage in the body; thus, moderate consumption of these compounds is recommended [43].
Despite their biological benefits, only five studies have reported annonaceous acetogenin composition in araticum fruits (Table 1). The methanolic extract, from araticum pulp and seeds, revealed the presence of two annonaceous acetogenins, namely annonacin (0.33 and 5.90 mg/g dw) and squamocin (0.40 and 142 mg/g dw), respectively (Figure 4) [31]. The extraction procedure and chromatographic analyses were different for each study, which allowed for the identification of different compounds from the pulp, peel, and seed fractions of the araticum fruit. Arruda et al. [16] investigated the profile of hydroethanolic extract from araticum peel, by high-performance liquid chromatography coupled with mass spectrometry with an electrospray ionization source (HPLC-ESI-MS), and found 21 annonaceous acetogenins. Ramos et al. [22] tentatively identified 17, 9, and 22 annonaceous acetogenins in the ethanolic extracts from pulp, peel, and seeds, respectively, by paper spray ionization mass spectrometry analysis (PS-MS). As reported above, in recent years, there has been an increase in interest in discovering annonaceous acetogenins present in araticum fruit because these metabolites possess a broad spectrum of biological activities and are recognized as anticancer agents. However, further studies are needed regarding their quantification and identification in araticum fruit parts.
Figure 4.
Chemical structures of the most common annonaceous acetogenins found in araticum fruit. Own authorship created by ChemSketch software.
3.4. Carotenoids
Carotenoids are considered a very diverse group of natural liposoluble pigments responsible for the red, orange, and yellow colors synthesized by plants, microorganisms, and vertebrates [44]. This compound group is comprised of a large class of isoprenoid compounds characterized by a backbone with 40 carbon atoms, the possession of a centrally located conjugated double-bond system, and an ability to carry cyclic or acyclic end groups. This system serves as the chromophore and allows these compounds to absorb wavelengths in the visible spectrum (400–550 nm) [44,45]. Carotenoids are involved in a series of biochemical activities with high antioxidant activity, can display a prebiotic-like effect, and some of them present pro-vitamin A activities. Additionally, there is an association between carotenoid intake and reduced risk of several diseases, especially chronic non-communicable diseases [46].
Carotenoids have been identified and quantified in araticum pulp by high-performance liquid chromatography coupled with the diode array detector method (HPLC-DAD) (Table 1). In the araticum pulp, a low quantity of lycopene (0.02 mg/100 g fw) could be found, while α and β-carotene (2.98 and 1.97 mg/100 g) were its major carotenoids (Figure 5) [10]. Silva et al. [32] found different isoforms of carotenes in araticum pulp, namely all-trans-α-carotene (1.55–1.98 mg/100 g fw) and all-trans-β-carotene (0.86–1.58 mg/100 g fw). As mentioned above, carotenoids exert an important nutritional role, as they present pro-vitamin A activity (e.g., α and β-carotene). Additionally, these compounds are essential for eye health because some pro-vitamin A carotenoids (e.g., α-carotene, β-carotene, γ-carotene, and β-cryptoxanthin) are endogenously converted into retinoids [44]. Although there are few reports on the content and composition of carotenoids in araticum fruit, the literature is consistent in mentioning that the consumption of 100 g of the araticum pulp is enough to reach the recommended daily intake of vitamin A [6]. Thus, in natura consumption of this fruit could be an important tool to reduce food insecurity, malnutrition, and risk for several diseases.
Figure 5.
Chemical structures of the most common carotenoids found in araticum fruit. Own authorship created by ChemSketch software.
3.5. Phytosterols
Phytosterols are plant-derived sterols that are structurally similar to cholesterol; however, they differ by the presence of one or two methyl or ethyl groups in the molecule’s side chain [47]. These bioactive compounds can be found in vegetable oils, nuts, and seeds, mainly in the form of sitosterol, campesterol, and stigmasterol [48]. Phytosterols have important roles in the pharmaceutical, medicine, food, and nutrition areas due to their high nutritional value, potent bioactivity, and multiple medicinal effects, such as lowering blood cholesterol levels, anti-inflammatory, antitumoral, antimicrobial, and antioxidant properties, as well as others. [6,48].
Phytosterols have been identified and quantified in araticum seeds by gas chromatography with the flame ionization detection method (GC-FID) (Table 1). Luzia and Jorge [33] showed that the seed lipid fraction contains 683.59 mg/kg of total phytosterols, namely β-sitosterol (300.02 mg/kg), campesterol (204.32 mg/kg), and stigmasterol (179.25 mg/kg) (Figure 6) [33]. Although the araticum seeds showed to be a promising source of obtaining phytosterols, little is still known about their phytosterol composition and their real contributions to health benefits.
Figure 6.
Chemical structures of the most common phytosterols found in araticum fruit. Own authorship created by ChemSketch software.
3.6. Tocols
Tocols are a class of bioactive compounds present in various foods, predominantly in fruits and plant seeds [49]. Tocols can be divided into two major groups: tocopherols and tocotrienols, which are distinguished by their chemical structure. Tocopherols (α, β, γ, and δ) contain a chromanol ring and a 16-carbon phytyl side chain in their structure, differing one from the other by position and number of methylation, while tocotrienols differ from tocopherols by possessing double bonds in the 16-carbon side chain at the positions of 3′-, 7′-, and 11′ [49,50]. These bioactive compounds are vitamin E homologs and, therefore, are considered beneficial in the prevention of different pathological conditions, acting as lipid-soluble antioxidants, antihypertensive, neuroprotective, hypolipidemic, antitumoral, and anti-inflammatory materials [6,50].
Despite their biological benefits, only two studies have reported the tocols’ composition in araticum fruits in the last decade (Table 1). The tocopherol isomers were quantified in the araticum seeds by high-performance liquid chromatography coupled with a fluorescence detector (HPLC-FLD), totalizing 138.90 mg/kg, namely α-tocopherol (12.02 mg/kg dw), β-tocopherol (3.30 mg/kg dw), γ-tocopherol (123.42 mg/kg dw), and δ-tocopherol (0.16 mg/kg dw) (Figure 7) [33]. Cardoso et al. [10] found two tocols in the pulp, with α-tocotrienol being the major tocol (332.94 μg/100 g) followed by α-tocopherol (163.11 μg/100 g), resulting in a total amount of 494.04 μg/100 g of tocols. The recommended daily intake of vitamin E is 15 mg. Therefore, neither the seeds nor the pulp can be considered a source of vitamin E. α-Tocopherol is the only one that meets human requirements for vitamin E, based on the concept that this form is the preferable retained form by the body, and reverses the symptoms of human deficiency. However, the other isomers may contribute to the liposoluble antioxidant function [49]. Thus, the higher content of the γ-tocopherol isomer in the seed oil and α-tocotrienol in the pulp could contribute significantly to this activity.
Figure 7.
Chemical structures of the most common tocols found in araticum fruit. Own authorship created by ChemSketch software.
4. Biological Activities Reported in Araticum Fruit Parts
The presence of several bioactive compounds in araticum fruit parts (as summarized above) can contribute to a wide variety of beneficial effects on human health and other bioactivities. In addition to being used as a food source, araticum fruits have been employed for centuries in folk medicine to combat various diseases. Hence, numerous studies have been conducted in recent years to examine the biological activities of araticum fruit parts. Several bioactivities have been reported in extracts/isolated compounds from araticum fruit, as described in the sections below (Table 2).
Table 2.
A summary of studies showing the biological activities of extracts from edible parts and by-products of araticum fruit.
4.1. Antioxidant and Anti-Inflammatory Activities
Uncontrolled and excessive oxidative damage and inflammation are associated with the onset and progression of several non-communicable chronic diseases such as neurodegenerative diseases, cancers, and metabolic syndromes [67]. In vitro and in vivo studies have shown that extracts obtained from different parts of araticum fruits (pulp, peel, and seeds) present antioxidant and/or anti-inflammatory activities (see Table 2).
A series of studies have reported the antioxidant activity of several extracts and fractions obtained from the pulp [13,14,15,24,25,36,51,52], peel [16,17,18,23,24,25], and seeds [23,24,25,33,53] of araticum fruit through different in vitro antioxidant assays, including DPPH, TEAC, ORAC, FRAP, β-carotene/linoleic acid system, TBARS, phosphomolybdenum complex, and reducing power. As can be seen in Table 1, phenolic compounds are the main bioactive compounds reported in these extracts/fractions from araticum fruit parts. In in vitro systems, phenolic compounds can perform their antioxidant effects by inhibiting/scavenging free radicals and reactive species, chelating transition metals, and donating hydrogen atoms and/or electrons [16].
Studies using cellular and animal models have proven the in vitro antioxidant potential of extracts and fractions obtained from araticum fruit parts. Justino et al. [18] verified that the procyanidin B-rich fraction (0.1–10 μg/mL) and ethyl acetate fraction (1–10 μg/mL) from araticum peel were able to reduce zymosan-induced ROS production in macrophages with no cytotoxicity at 10 μg/mL. Moreover, both the procyanidin B-rich fraction and ethyl acetate fraction (0.5–50 μg/mL), significantly and dose-dependently, reduced Fe2+-ascorbate-induced lipid peroxidation and increased total antioxidant capacity in rats’ liver. Lucas dos Santos et al. [54] demonstrated that the aqueous extract from araticum pulp (1 mg/mL) reduced juglone-induced oxidative stress in wild-type (N2) strains of Caenorhabditis elegans, improving worm survival rate (32.2% survival) when compared to the control group (5.5% survival). Ramos et al. [19] observed that the oral pretreatment of Triton WR-1339-induced hyperlipidemic mice, for 12 days with an ethanolic extract from araticum peel and its ethyl acetate fraction (10–100 mg/kg bw), was able to attenuate hyperlipidemia-induced oxidative stress in the mice liver by reducing hepatic lipid peroxidation and protein carbonylation, maintaining hepatic total thiol content, restoring hepatic GSH levels, and increasing hepatic antioxidant enzyme activities (SOD, CAT, GPx, GR, and G6PD). Likewise, Justino et al. [55] verified an improved hepatic antioxidant status of streptozotocin-induced diabetic rats receiving a phenolic-rich fraction from araticum peel (25–100 mg/kg bw) for 30 days. Oral administration of this phenolic-rich fraction counteracted the hyperglycemia-induced oxidative stress in the rat liver by reducing hepatic lipid peroxidation, protein carbonylation and nitration, iNOS expression, and the overexpression and activity of some antioxidant enzymes (GPx, SOD, and CAT), besides increasing hepatic total antioxidant activity, GSH content, and GR activity and expression. The in vivo antioxidant effects observed in these studies are attributed, at least in part, to the presence of phenolic compounds that can scavenge reactive species, stimulate the endogenous antioxidant defense system, upregulate the expression of endogenous antioxidant molecules and enzymes, and downregulate the expression of endogenous pro-oxidant metabolites and enzymes [67].
High exposure to exogenous sources of reactive species or their endogenous overproduction can trigger inflammatory processes through the activation of nuclear factors (e.g., NF-κB) that initiate the transcription of genes related to inflammation, increasing the production of pro-inflammatory mediators, especially TNF-α and IL-1β cytokines, CXCL1/KC and CXCL2/MIP-2 chemokines, and lipid mediator leukotriene B4, among others [34]. In addition to antioxidant effects, some extracts, fractions, or isolated compounds from araticum fruit, particularly from the peel, also presented anti-inflammatory activity (Table 2). Daily intake of whole araticum pulp (3.214 mL/kg bw) for 30 days promoted a significant reduction in the total leukocytes of rats as compared to the control group [57]. Justino et al. [56] evaluated the effect of different ethanolic extract fractions from araticum peel on pro-inflammatory mediators’ production in an LPS-induced macrophage model. Only phenolic-rich fractions (ethyl acetate (0.1 and 0.3 µg/mL) and n-butanol (1 µg/mL) fractions) reduced LPS-stimulated IL-6 and NO production. Topical treatment of wounds induced on the back of mice for 7–21 days with an ointment containing 4% of a phenolic-rich fraction from araticum peel was able to attenuate local inflammation by inhibiting MPO and NAG activities that reduce the activation of neutrophils and macrophages in cutaneous wounds [58,59,60]. Mice pre-treated orally with a phenolic-rich fraction (ethyl acetate fraction) from araticum peel (30 mg/kg bw) showed a reduced formation of CFA-induced paw edema in the acute phase due to the decrease in MPO activity and leukocyte infiltration in the paw tissue [56]. The anti-inflammatory activities of araticum pulp and phenolic-rich fractions from araticum peel are closely related to their phenolic compounds that can modulate endogenous signaling pathways involved in oxidative damage and inflammation, downregulating pro-inflammatory mediators’ expression and, consequently, blocking the triggering of the inflammatory cascade [67].
In addition to phenolic compounds, stephalagine, an alkaloid isolated from araticum peel, was also able to alleviate the inflammatory process in animal trials. Oral administration of stephalagine (1 mg/kg bw) mitigated inflammation in mice by reducing capsaicin-induced paw edema [28]. Similarly, Santos et al. [27] reported that monosodium urate crystal-induced gout mice, treated orally with stephalagine (1 mg/kg bw), had attenuated inflammation signs, including a reduction in articular edema, MPO activity, IL-1β level, and neutrophil infiltration in joints. Together, these findings support the anti-inflammatory effects of the stephalagine isolated from araticum peel and suggest that this activity is triggered, at least in part, by suppressing pro-inflammatory cytokines and neutrophil infiltration.
4.2. Anti-Alzheimer Activity
Neurodegenerative diseases are a group of brain disorders that constitute a significant global public health concern, as they compromise individuals’ life quality and cause an enormous mental and economic burden on caregivers [67]. It is estimated that around 50 million people are living with some form of dementia, and the number of affected individuals should reach 152 million by 2050. Alzheimer’s disease is the most common dementia form, accounting for 60–70% of all cases [68]. In Alzheimer’s disease, cholinergic neurotransmitter levels, especially acetylcholine, are reduced in the synaptic cleft, compromising the synaptic signaling pathways and, thus, contributing to cognitive and motor dysfunctions [69]. Therefore, cholinesterase enzyme inhibitors may be promising tools to alleviate neurological disorders by reducing the degradation of neurotransmitters, especially acetylcholine. Formagio et al. [21] reported the in vitro anticholinesterase activity of methanolic extract from araticum seeds. This extract inhibited 45% of acetylcholinesterase (AChE) activity at 1.5 mg/mL. Likewise, Barbosa et al. [26] studied the effect of ethanolic extract from araticum peel, its alkaloidal fraction (dichloromethane fraction), and isolated alkaloids against AChE and butyrylcholinesterase (BChE) enzymes. Ethanolic extract and alkaloidal fraction displayed a low anticholinesterase activity, whereas isolated alkaloids (stephalagine, liriodenine, and atherospermidine) strongly inhibited the AChE and BChE enzymes. Stephalagine and liriodenine presented remarkable inhibitory activity against BChE, showing IC50 values (32.7 and 46.2 µg/mL, respectively) lower than or similar to those of the positive control galantamine (IC50 value of 47.0 µg/mL). On the other hand, liriodenine showed the highest AChE inhibitory activity with an IC50 value (2.7 µg/mL) very close to the positive control galantamine (IC50 value of 1.5 µg/mL). Phenolic compounds and alkaloids can interact with active sites of cholinesterase enzymes (e.g., enzyme catalytic sites), delaying or inhibiting their catalytic activities [26,70]. In another study, Lucas dos Santos et al. [54] verified that the treatment with aqueous extract from araticum pulp (1 mg/mL) can reduce the juglone-induced oxidative stress in wild-type (N2) strains of Caenorhabditis elegans (enhanced survival rates (32.2% survival) when compared to the control group (5.5% survival)) and paralysis in CL2006 strains of C. elegans expressing the Aβ1–42 peptide in muscle tissue (decreased the mean of worms paralyzed 10 h after treatment by 13.4%). The authors have not identified the bioactive compounds present in this extract, but the literature reports that araticum pulp extracts are rich in phenolic compounds (Table 1). Phenolic compounds can exert their anti-Alzheimer effect through several mechanisms (for details, consult the literature review by Arruda et al. [67]).
4.3. Anticancer Activity
Cancer is a group of disorders characterized by continuous and excessive cell growth, resulting in an abnormal cell mass. Cancer represents a significant global public health problem, as it affects around 11 million people worldwide each year, accounting for 1 in 6 deaths annually [6,71]. Recent studies have shown the anticarcinogenic potential of extracts and bioactive compound-rich fractions from araticum fruits against different tumor cell lines (Table 2).
Justino et al. [30] have found that the alkaloid and acetogenin-rich fraction (dichloromethane fraction) from araticum peel presented significant antiproliferative activity against liver cancer cells (HEP-G2 cells). This fraction, at 50 µg/mL, reduced HepG2 cell viability, proliferation, and migration without presenting toxicity effects against fibroblast (NIH/3T3) and human peripheral blood mononuclear cells. Complementary assays demonstrated that the HepG2 cells’ growth-inhibitory effect of alkaloid and acetogenin-rich fraction can be triggered, at least in part, by downregulating PCNA and EGFR expression, upregulating ROS production, and inducing mobilization of intracellular Ca2+ in the HepG2 cells. Prado et al. [23] investigated the cytostatic potential of methanol-acetone-water (7:7:6, v/v/v) extracts from araticum peel and seeds against eight human cancer cell lines. Neither extract was able to inhibit only NCI-H460 cells (lung, non-small cell type). The seed extract was the most active against all human cancer cell lines tested with total growth inhibition (TGI) values varying from 5.36–76.77 μg/mL, whereas TGI values were between 37.64 and 230.12 μg/mL for peel extract. Cancer cell lines NCI-ADR/RES (ovary with multidrug resistance phenotype), PC-3 (prostate), and OVCAR-3 (ovary) showed the highest susceptibilities to seed extract (TGI values of 5.36, 16.60, and 20.93 µg/mL, respectively). The peel extract was particularly active against the UA251 cells (glioblastoma), whose TGI value was 37.64 μg/mL. This work provided evidence that the seed extract is a promising antiproliferative agent against NCI-ADR/RES cells (ovary with multidrug resistance phenotype), as it presented a TGI value (5.36 µg/mL) significantly lower than the positive control doxorubicin (20.92 µg/mL). Similarly, Formagio et al. [21] conducted a study to evaluate the antiproliferative activity of methanolic extract from araticum seeds against ten human cancer cell lines. This extract showed potent antitumor activity against all human cancer cell lines tested, with GI50 values varying from 0.01–8.90 µg/mL. The seed extract was strongly active, in particular, against HT-29 (colon), NCI-H460 (lung, non-small cell type), UA251 (glioblastoma), and NCI-ADR/RES (ovary with multidrug resistance phenotype) cells, showing GI50 values of 0.01, 0.04, 0.06, and 0.25 µg/mL, respectively. These GI50 values were lower than the positive control doxorubicin (GI50 values of 2.20, 0.05, 5.13, and 1.68 µg/mL for HT-29, NCI-H460, UA251, and NCI-ADR/RES cells, respectively). The effect of hydroethanolic extract (70% ethanol) from araticum pulp on the proliferation of six human cancer cell lines was studied by Carvalho et al. [14]. This extract showed significant antiproliferative activity against only UA251 cells (glioblastoma), with a GI50 value of 21.34 µg/mL and high tumor cell selectivity, as its GI50 value for non-tumor cells (HaCaT) was higher than 100 µg/mL. The antiproliferative potential of araticum fruit can be attributed to the different bioactive compounds present in its extracts, especially annonaceous acetogenins, phenolic compounds, and alkaloids (see Table 1). These compounds can act alone or together, modulating several biochemical pathways involved in the proliferation and death of tumor cells.
4.4. Antidiabetic Activity
Diabetes mellitus is a common non-communicable disease that affects millions of people around the world. Diabetes mellitus and its associated complications (e.g., hypertension, cardiovascular disease, obesity, dyslipidemia, atherosclerosis, and chronic kidney disease) are global health issues, as they are among the leading causes of morbidity and mortality. Studies estimate that around 592 million people will be afflicted by this disease by 2035 [72]. Phenolic-rich extracts/fractions obtained from araticum peel have shown promise in managing diabetes mellitus and its complications (Table 2).
Justino et al. [17] investigated the potential of ethanolic extract from araticum peel and its fractions (hexane, dichloromethane, ethyl acetate, n-butanol, and aqueous) in inhibiting carbohydrase enzymes (α-amylase and α-glucosidase). This study demonstrated that phenolic-rich fractions (ethyl acetate and n-butanol fractions) had the highest carbohydrase inhibitory activity, particularly against α-amylase (IC50 values of 4.5 and 1.7 μg/mL for ethyl acetate and n-butanol fractions, respectively). Phenolic compounds are effective inhibitors of carbohydrase enzymes due to their ability to bind to the active site of these enzymes or occupy the substrate binding pocket [34].
Persistent hyperglycemia induces irreversible protein glycation, culminating in the formation of advanced glycation end-products (AGEs). These AGEs are involved in the development and progression of different diabetic complications (e.g., nephropathy, retinopathy, and neuropathy) due to their ability to generate reactive species and alter the structures and functions of proteins, lipids, enzymes, and DNA [72]. In vitro studies conducted by Justino et al. [17,18] reported that the phenolic-rich fractions from araticum peel inhibited protein glycation. Ethyl acetate and n-butanol fractions from araticum peel exhibited the highest protein glycation inhibitory activity by the BSA-fructose model, showing IC50 values (14.3 and 16.0 μg/mL, respectively) similar to positive control quercetin (IC50 value of 16.6 μg/mL). In addition, these fractions had low cytotoxicity on NIH/3T3 fibroblast cells (cell viability higher than 88.7% at 30 µg/mL) [17]. In another study, Justino et al. [18] verified that procyanidin-rich fraction and ethyl acetate fraction from araticum peel were able to reduce the AGEs production in the BSA-fructose (IC50 values of 7.9 and 22.5 µg/mL), BSA-methylglyoxal (IC50 values of 128.9 and 228.0 µg/mL), and arginine-methylglyoxal (IC50 values of 249.3 and 208.3 µg/mL) models. Moreover, the procyanidin-rich fraction decreased the glycation-induced protein carbonyls formation, glycation-induced protein thiol group oxidation, and AGEs-induced protein crosslinks, while attenuating the decrease in glycated CAT activity. Phenolic compounds present in these fractions can be effective antiglycation agents by suppressing AGEs formation through: the capture of precursors (e.g., dicarbonyl intermediates such as methylglyoxal), preventing them from binding and damaging proteins; the interaction with glucose, making it unavailable to bind to proteins; the inhibition of Schiff’s base and Amadori products formation; and the blockade of AGEs receptors [34]. Moreover, Justino et al. [55] verified that streptozotocin-induced diabetic rats orally treated with a phenolic-rich fraction (n-butanol fraction) from araticum peel (100 mg/kg bw for 30 days) had lower glycemia and hepatic oxidative damage/inflammation when compared to the untreated diabetic group. These studies showed that phenolic-rich fractions from araticum peel can be promising therapeutic agents in the management of diabetes mellitus and its associated complications by reducing intestinal carbohydrate digestion and intestinal glucose absorption through the inhibition of key carbohydrate digestive enzymes, by inhibiting AGEs formation, and by attenuating oxidative damage and inflammation.
4.5. Anti-Obesity and Antidyslipidemic Activities
Obesity is a major worldwide health concern due to its increasing prevalence. According to World Health Organization, around 39% and 13% of the world’s adult population were overweight and obese, respectively, in 2016 [73]. Obesity is associated with an increased risk of several chronic non-communicable diseases (e.g., cardiovascular diseases, hypertension, type 2 diabetes, dyslipidemia, and cancer) and numerous adverse health effects [74]. Therefore, increasing efforts have been directed toward the search for potential anti-obesity agents. In this context, Pereira et al. [29] evaluated the in vitro inhibitory potential of ethanolic extract, its dichloromethane fraction, and stephalagine alkaloid from araticum peel against pancreatic lipase. Stephalagine showed the highest inhibitory activity against pancreatic lipase (IC50 value of 8.35 μg/mL), while the ethanolic extract and dichloromethane fraction exhibited lower and similar activity (IC50 values of 104.50 and 108.10 μg/mL, respectively). This study showed that the stephalagine has high inhibitory activity against pancreatic lipase and low cytotoxicity on Vero cells (CC50 value of 353 μg/mL). On the other hand, Ramos et al. [19] studied the effect of the ethanolic extract from araticum peel and its phenolic-rich fraction (ethyl acetate fraction) on Triton WR-1339-induced hyperlipidemic mice. The pretreatment for 12 days, via orogastric administration of this extract and phenolic-rich fraction, improved serum lipid profile (increased HDL-cholesterol level), reduced lipid hepatic accumulation (decreased hepatic triglycerides and total cholesterol), and attenuated hepatic oxidative stress (reduced lipid peroxidation, protein carbonylation, and thiol groups’ oxidation, while increasing the GSH levels and activity of endogenous antioxidant enzymes (SOD, CAT, GPx, GR, and G6PD)). Furthermore, the histological analyses of mice treated with the extract and phenolic-rich fraction did not show any signs of hepatotoxicity. These antidyslipidemic effects can be attributed to the ability of the phenolic compounds present in this extract/fraction to attenuate oxidative stress, inhibit fat absorption, activate fat metabolism in the liver, promote fatty acid catabolism, and regulate AMP-activated protein kinase pathways. The findings observed in these works suggest the use of phenolic compounds and alkaloids isolated from araticum peel as new potential anti-obesity and antidyslipidemic drugs.
4.6. Hepatoprotective Activity
The liver is an essential organ for maintaining the homeostasis of the human body, as it is involved in several biochemical pathways responsible for growth, immunity, nutrient supply, energy provision, reproduction, and xenobiotic elimination. However, hepatotoxic agents (e.g., some viruses, microorganisms, drugs, and metabolites of the organism itself) can trigger a series of liver disorders (e.g., inflammation, fibrosis, and cirrhosis), resulting in about 2 million deaths around the world annually [75,76]. Cellular and animal studies have reported that extracts and fractions obtained from araticum fruit parts are effective and safe hepatoprotective agents (Table 2).
Justino et al. [18] evaluated the hepatoprotective effects of procyanidin B-rich fraction and ethyl acetate fraction from araticum peel on rats’ liver tissue exposed to FeSO4 and ascorbic acid. Both fractions (0.5–50 μg/mL) protected rats’ liver tissue against Fe2+-ascorbate-induced lipid peroxidation and increased hepatic total antioxidant capacity. The ethanolic extract from araticum peel and its ethyl acetate fraction displayed significant hepatoprotective activity in Triton WR-1339-induced hyperlipidemic mice [19]. The oral pretreatment for 12 days, with this extract or fraction (10–100 mg/kg bw), was able to protect the mice’s livers from hyperlipidemia-induced oxidative stress (decreased hepatic lipid peroxidation, protein carbonylation, and thiol group oxidation; restored hepatic GSH level; increased hepatic antioxidant enzymes activity (SOD, CAT, GPx, GR, and G6PD)) and lipid accumulation (reduced hepatic triglycerides and total cholesterol levels). Similar results were observed in streptozotocin-induced diabetic rats orally treated with a phenolic-rich fraction (n-butanol fraction) from araticum peel (25–100 mg /kg bw) for 30 days [55]. This phenolic-rich fraction suppressed the hepatotoxic effects of hyperglycemia, reducing serum liver enzyme activities (ALT, AST, and ALP) and improving some hepatic biochemical parameters (reduced lipid peroxidation, protein carbonylation and nitration, iNOS level, and overexpression and activity of some antioxidant enzymes (GPx, SOD, and CAT) while increased GR activity, GSH content, and total antioxidant activity). The hepatoprotective effect of phenolic-rich extracts/fractions from araticum peel is due to the ability of their phenolic compounds to modulate several liver biochemical responses such as lipid peroxidation reduction, reactive species neutralization, endogenous antioxidant system regulation, DNA repair, and xenobiotic detoxification activation [6,34].
4.7. Antinociceptive Activity
Pain is the most common symptom pointed out by patients during medical consultations, and it is associated with several pathological conditions [77]. Pain can be classified as acute or chronic according to its duration. Acute pain is defined as pain lasting up to 3 months, being considered an adaptive signal that prevents danger and guarantees survival. Meanwhile, chronic (or persistent) pain is defined as pain persisting for more than 3 months and it is typically associated with chronic diseases and non-treated medical pathologies, adversely affecting individuals’ physical and mental functioning, productivity, and quality of life [78,79]. As can be seen in Table 2, alkaloids and phenolic compounds present in araticum peel showed analgesic activity in animal models.
Ethanolic extract from araticum peel (30 mg/kg bw), its alkaloidal fraction (dichloromethane fraction at 30 mg/kg bw), and stephalagine alkaloid (0.3 and 1 mg/kg bw), administered orally, exhibited antinociceptive activity in mice by reducing formalin-induced paw licking without affecting the motor performance of the animals [28]. Moreover, this study reported that oral administration of stephalagine (1 mg/kg bw) reduced cinnamaldehyde-, capsaicin-, and formalin-induced paw licking. Similar results were reported by Santos et al. [27] in a monosodium urate crystals-induced gout arthritis mice model. Oral administration of stephalagine (1 mg/kg bw) attenuated the inflammatory process (decreased neutrophil and leukocyte infiltration, MPO activity, and IL-1β level), joint edema development, mechanical allodynia, spontaneous nociception, and cold hypersensitivity without causing any hepatic (maintained the serum ALT and AST activities) or kidney (maintained the serum urea and creatinine levels) damage or possible adverse events (e.g., abnormalities in the diet, sudden changes in body weight, changes in the hair, feces, behavior, and macroscopic anatomy of the mice). According to the authors, the antinociceptive effect of stephalagine can be attributed, at least in part, to its capacity to reduce the activation of channels involved in the transduction and sensitization of primary afferent somatosensory neurons, particularly TRPV1 and TRPA1 channels [27,28]. A phenolic-rich fraction from araticum peel (ethyl acetate fraction) was also able to reverse inflammatory and nociceptive processes in mice [56]. The orally administered phenolic-rich fraction (30 mg/kg bw) decreased glutamate-induced spontaneous nociception (reduced paw licking), CFA-induced early and late hyperalgesia, CFA-induced cold hyperalgesia (reduced paw licking and shaking), CFA-induced inflammation (reduced leukocyte infiltration in the paw tissue and MPO activity), and CFA-induced paw edema without altering the animals’ locomotor activity. Antinociceptive and anti-inflammatory effects of this phenolic-rich fraction from araticum peel can be mediated, at least in part, by its flavonoids and proanthocyanins (see Table 1), which are able to modulate glutamate receptors, reduce oxidative stress and NO production, and downregulate pro-inflammatory cytokine expression and secretion [56].
4.8. Healing of Cutaneous Wounds Activity
The skin is the largest organ in the human organism, playing various key functions in the body, including protection against physical aggression and excessive water loss, thermoregulation, secretion, and immunological activity. When the skin suffers any damage, a series of partially overlapping processes are triggered, leading to the reconstruction of the injured area. However, disruption at any phase impedes the sequential healing process, resulting in chronic wounds [58]. In vitro and in vivo studies have demonstrated the potential of phenolic-rich extracts from araticum fruit in accelerating the wound healing process (Table 2).
Prado et al. [23] verified that a phenolic-rich extract from araticum seeds promoted keratinocyte (HaCaT) migration, leading to 73% of slot closure at 3.6 µg/mL. Animal trials conducted by de Moura et al. [58,59,60] showed that topical application of an ointment, containing 4% of a phenolic-rich fraction from araticum peel, on wounds induced on the back of mice, for 7–21 days, accelerated the cutaneous wound closure by reducing local inflammation (decreased neutrophil and macrophage activation, as well as MPO and NAG activities) and oxidative damage (decreased lipid peroxidation while increased CAT activity), stimulating the profibrogenic process (increased number of mast cells and deposition of types I and III collagen fibers in wounds), promoting keratinocyte and fibroblast proliferation and migration (increased MMP-2 and MMP-9 activities), and improving dermis and epidermis organization during healing. This wound healing effect can be attributed to the ability of phenolic compounds present in these extracts/fractions (see Table 1) in modulating different biochemical pathways involved in the tissue repair process [6].
4.9. Antibacterial Activity
Pathogenic bacteria infections are a major cause of morbidity and mortality in the world, causing growing public health concerns worldwide [80]. Hydroethanolic extracts from araticum fruit parts have shown antibacterial effects against human pathogenic bacteria (Table 2).
Silva et al. [61] evaluated the effect of hydroethanolic extract (70% ethanol) from araticum fruit parts (pulp, peel, and seeds) against 60 samples of Oxacillin Resistant Staphylococcus aureus (ORSA) isolated from the aerial environment sources (dental care clinic) and S. aureus ATCC 6538 (standard strain). The results demonstrated that the seed extract did not have any antibacterial activity against the tested strains of S. aureus ATCC 6538. On the other hand, peel and pulp extracts were highly active against S. aureus ATCC 6538, showing MIC of 6.25 and 12.5 mg/mL, respectively. All extracts from araticum fruit parts were relatively active against ORSA, where pulp extract showed the highest activity (MIC of 25 mg/mL), followed by peel and seed extracts (MIC of 50 mg/mL). In another study, Stafussa et al. [13] investigated the antibacterial activity of hydroethanolic extract (40% ethanol) from araticum pulp against four potentially pathogenic bacteria. This extract was more active against gram-positive bacteria with MIC of 12.5 and 25 mg/ mL for B. cereus and S. aureus. The antibacterial activity of these hydroethanolic extracts can be associated with the presence of bioactive compounds, particularly phenolic compounds. Hydroxyl groups present in the chemical structure of these compounds can cause destabilization and permeabilization of the bacteria cell membranes through metal chelation (e.g., iron and zinc) and inhibition of bacteria enzymes, delaying the growth and/or multiplication of these microorganisms [13,34].
4.10. Insecticide Activity
Insects and their larvae can cause significant losses in the production and quality of plant crops, and they can also be important vectors of disease-causing viruses transmitted to humans. Currently, insect control has been performed, mainly, through the use of broad-spectrum chemical insecticides. However, the increasing insecticide resistance in insects and concerns for environmental toxicity and human health have accelerated the search for bioinsecticides [6]. Different investigations have demonstrated that extracts from araticum seeds have shown significant activity against some larvae and insects, including disease-carrying insects (e.g., dengue mosquito larvae) and insects/larvae causing crop production losses (e.g., rice stalk stink bug, soybean looper, and brown stink bug) (Table 2).
Costa et al. [62] explored the larvicidal activity of different extracts from araticum seeds and their fractions against third-instar dengue mosquito larvae. Some extracts (hexane, dichloromethane, and methanolic (defatted with hexane) extracts) and hexane fraction were able to kill up to 100% of dengue mosquito larvae at 1 mg/mL. Among the extracts and their fractions tested, methanolic extract (defatted with hexane) was the most active, followed by dichloromethane extract, hexane fraction, and hexane extract (IC50 0.100, 0.185, 0.433, and 0.507 mg/mL, respectively).
Insecticide potential of chloroform–methanol (2:1) extract from araticum seeds was evaluated against rice stalk stink bug nymphs [63], soybean looper eggs, and caterpillars [64]. Krinski and Massaroli [63] verified that topical application of this extract (0.5–8.0%) reduced the mobility and dose-dependently controlled the second-instar rice stalk stink bug nymphs, killing up to 81% of nymphs 120 h after treatment. In another study conducted by the same group, Massaroli et al. [64] investigated the impact of this extract (0.5–8.0%) on different development stages of soybean looper by using two strategies: (1) direct contact and (2) larvae ingestion of treated soybean leaves. The results demonstrated that topical application was the most efficient way to control first-, third-, and fifth-instar caterpillars, reaching up to 93.3% mortality 120 h after application. Moreover, the administration of extract-treated soybean leaves increased the mortality rates for first- and third-instar caterpillars, reducing the number of caterpillars that completed their development.
Studies conducted by Turchen et al. [65] and Silva et al. [66] showed the insecticide activity of methanolic extract from araticum seeds against brown stink bug nymphs and adults. Methanolic extract (0.5–8.0%) killed the third-instar nymphs in a dose-dependent manner [65]. Meanwhile, the spraying of this extract at 2% on a soybean crop was able to reduce the brown stink bug population after 7 days of its application when compared to the control [66].
Although the phytochemicals responsible for the insecticide activity have not been identified in the tested extracts, the authors attribute this effect, particularly, to the presence of annonaceous acetogenins. In fact, these bioactive compounds have been widely reported in different araticum seed extracts, as can be seen in Table 1 and other older works [81,82,83]. Several studies have highlighted the insecticide potential of annonaceous acetogenins against different larvae and insects. Annonaceous acetogenins are powerful mitochondrial inhibitors because they block the respiratory chain at complex I (NADH:ubiquinone oxidoreductase) of the mitochondrial electron transport system which results in ATP deprivation, consequently causing apoptosis [84]. Recent studies have also shown that annonaceous acetogenins can cause damage in the insect midgut epithelium and digestive cells, increasing the expression of genes associated with autophagy induction (e.g., Atg1 and Atg8 genes) and decreasing the expression of genes linked with the absorption and transport of water, nutrients, metabolites, and non-electrolytes (e.g., V-ATPase and Aqp4 genes) [85,86].
5. Applications of Araticum Fruit in the Foods and Beverages Development
The araticum is a seasonal fruit, with fruiting occurring from January to May, which impairs its availability in the rest of the year. Furthermore, this fruit is highly perishable, making it difficult to preserve the postharvest freshness. For this reason, one way to make it available during the off-season is to diversify the way it is presented to the consumer market through methods that allow its conservation without affecting the sensory and nutritional characteristics [87,88].
Araticum fruit presents unique sensory characteristics, such as a lightly sweet pulp with intense flavor, attractive color (ranging from white to yellow), and an exotic aroma, which makes it well accepted by the local population. Thus, this fruit is among the most consumed species in the Cerrado region [25,89]. In addition to the interesting sensory aspects, the araticum fruit has a high nutritional value and is a source of bioactive compounds, being rich in phenolic compounds (phenolic acids and flavonoids), carotenoids, tocopherols, vitamins, dietary fibers, and oligosaccharides [23,89,90].
Physicochemical aspects, such as total titratable acidity (0.51 g citric acid/100 g), pH (4.64), humidity (74.30%), and high levels of total soluble solids (13° Brix) [6,91], allow araticum fruit to be widely used for dessert production, such as sweets (sweet paste, fruit preserves, and milk caramel) and jams, but the fruit can also be used in the fermented milk drinks, juices, yogurt, food bars, bread, and flour (Table 3).
According to Guiné et al. [92], measurements of food preference and acceptance allow an understanding of consumer behavior towards conventional or novel products. Therefore, sensory acceptance is one of the essential aspects in the process of developing new products or product improvement to ensure sensory quality and success in the food products market [90,92]. In this context, several studies showed that the food products developed with araticum pulp showed high sensory acceptance and considerable purchase intention (Table 3), demonstrating that araticum fruit is a promising fruit for producing conventional or innovative healthy products.
The use of the pulp provided numerous nutritional and functional benefits to the food products (Table 3). Jams developed with araticum pulp showed high concentrations of phenolic compounds [93], as well as araticum juices, which presented high phenolic compounds content and increased antioxidant activity [94,95]. In addition, incorporating araticum pulp flour in bread and food bars considerably improved the content of dietary fiber, carotenoids, phenolic compounds, antioxidant activity [96,97,98,99], and vitamin C and minerals levels in the food bars [96,97].
The results demonstrate a wide range of successful uses of araticum pulp in the formulation and development of food products. Although no studies have been found on applying araticum peel and seed for food purposes in the last 10 years, these byproducts are promising sources of bioactive compounds, including phenolic compounds, annonaceous acetogenins, and alkaloids (see Section 3 for more details) that present therapeutic potential [22]. Moreover, Arruda et al. [25] reported that araticum peel had higher phenolic compounds, flavonoids, condensed tannins, and antioxidant activity than the pulp and seed of the fruit, while Menezes et al. [20] found that araticum seeds are good sources of nutritional compounds, such as dietary fiber (351.1 g/kg), proteins (188.7 g/kg), and lipids (311.3 g/kg). Furthermore, the araticum seeds can be a source of oil with a high content of unsaturated fatty acids and with a predominance of oleic and linoleic acids.
These nutritional and biological (as discussed in Section 4) aspects suggest that araticum byproducts, usually discarded, may promote beneficial health effects. Thus, using the araticum peel and seeds can present significant technological advantages in the food and pharmaceutical industries, contributing to the reduction in waste and the generation of value-added products, such as flour, bakery products, food supplements, medicines, cosmetics, and functional ingredients [24,25].
Table 3.
A summary of studies showing the use of araticum fruit in the development of food products.
6. Conclusions
Araticum fruit has attracted increasing interest from researchers, consumers, and industrial sectors around the world due to its sensorial attractions, nutritional importance, and bioactive potential. This fruit has great importance for the population of the Cerrado region, since, in addition to being a source of various essential nutrients for the human diet, preparations with certain fruit parts have been used, since ancient times, to treat some pathological conditions. The data collected here has presented consistent scientific bases or even proven some of the applications of the araticum fruit in folk medicine. The edible part (pulp) and byproducts (peel and seeds) from araticum fruit contain several bioactive compounds, particularly phenolic compounds, alkaloids, annonaceous acetogenins, carotenoids, phytosterols, and tocols that display different biological activities. Recent studies compiled here found that bioactive-rich extracts, obtained from different parts of araticum fruit, can act as potent antioxidants, anti-inflammatories, antiproliferatives, hepatoprotectives, antinociceptives, enzyme inhibitors, antibacterials, etc. The presence of these bioactive compounds can explain its biological effects obtained from in vitro assays and animal trials, as well as its effectiveness in folk medicine, demonstrating its promising potential for drug development to treat/manage various pathological conditions, including inflammation, Alzheimer’s disease, cancer, diabetes mellitus, obesity, dyslipidemia, pain, cutaneous wounds, and illnesses associated with foodborne pathogen-contaminated food, among others. Moreover, araticum seed extracts displayed an interesting insecticide potential and can be exploited for the development of biodefensives to control crop pests and the insect vectors of pathogens. Although science has made relative progress in the identification and quantification of bioactive compounds from the araticum fruit, as well as the determination of their bioactivities, in the last decade, there are still many scientific gaps to be filled. Unfortunately, the data available in the literature are still scarce and insufficient to confirm the beneficial claims in human health since few in vivo studies have been conducted, and no clinical studies have been carried out to date. Therefore, clinical and interventional studies with humans must be carried out to confirm the biological effects described by in vitro and in vivo studies and to better understand the real benefits of consuming this fruit and/or its bioactive-rich extracts on human health and well-being. Furthermore, toxicological studies should be carefully conducted with the isolated compounds and extracts from the non-edible parts of the fruit to determine the toxic dose and, thus, ensure the safety and well-being of consumers.
Consumer behavior studies conducted with food products developed with araticum pulp have shown that breads, fruit preserves, sweet pastes, jams, juices, yogurts, fermented dairy beverages, whey beverages, food bars, and caramels have good sensory acceptance and purchase intention, demonstrating that araticum fruit is a promising fruit for producing conventional or innovative healthy products since the addition of araticum pulp improves their sensory (e.g., appearance, aroma, and flavor), nutritional (e.g., increases the content of dietary fiber, vitamins, and minerals), and functional (e.g., enhances the antioxidant activity and increases the content of phenolic compounds and carotenoids) characteristics. The high sensory acceptability of food products developed with the araticum fruit, as well as its high content of bioactive compounds and wide range of biological activities, clearly demonstrate the great potential for economic exploitation of this native fruit from the Brazilian Cerrado. However, to enable the economic exploitation of this fruit, an appropriate method of vegetative propagation is necessary to produce uniform and quality seedlings. The propagation of this native Brazilian fruit tree can be done through seeds; however, due to seed dormancy and the difficulty of obtaining uniform plants in a short time, asexual or clonal vegetative propagation (e.g., micropropagation, grafting, and cutting) emerges as an alternative to overcome this obstacle. Therefore, to make the araticum a sustainable cash crop, it is necessary to expand genetic and agronomic studies, as well as efficient vegetative propagation techniques to develop technical plantings that present early fruiting, increased productivity, fruiting at different times of the year, and adaptability to different areas and edaphoclimatic conditions around the world.
The discoveries made so far demonstrate that the araticum can be a valuable source of bioactive compounds for use in food, medicinal, cosmetic, and agricultural applications. However, some gaps, particularly those related to planting/propagation mechanisms and the confirmation of the safety and beneficial effects of its consumption through clinical/toxicological studies, still need to be further explored in future studies.
Author Contributions
Conceptualization, H.S.A., F.T.B. and A.C.A.; methodology, H.S.A.; data curation, H.S.A., F.T.B. and A.C.A.; writing—original draft preparation, H.S.A., F.T.B. and A.C.A.; writing—review and editing, all authors; supervision, H.S.A.; project administration, H.S.A.; funding acquisition, H.S.A., G.M.P. and M.R.M.J. All authors have read and agreed to the published version of the manuscript.
Funding
This research was funded by the Coordenação de Aperfeiçoamento de Pessoal de Nível Superior—Brasil (CAPES, Finance Code 001), Conselho Nacional de Desenvolvimento Científico e Tecnológico (CNPq, grant numbers 406820/2018-0, 301496/2019-6, and 403976/2021-9), and Fundação de Amparo a Pesquisa do Estado de São Paulo (FAPESP, grant numbers 2015/50333-1, 2015/13320-9, 2018/11069-5, 2019/13465-8, and 2020/08761-4). Henrique Silvano Arruda thanks the CAPES (grant number 88887.469390/2019-00) for his postdoctoral assistantship. Felipe Tecchio Borsoi and Amanda Cristina Andrade thank the CAPES (Finance Code 001) for their doctorate assistantships. Mario Roberto Marostica Junior acknowledges Red Iberoamericana de Alimentos Autóctonos Subutilizados (ALSUB-CYTED, 118RT0543).
Data Availability Statement
Not applicable.
Conflicts of Interest
The authors declare no conflict of interest.
References
- Arruda, H.S.; Fernandes, R.V.d.B.; Botrel, D.A.; de Almeida, M.E.F. Cerrado fruits: Knowledge and acceptance of Annona crassiflora Mart. (Araticum) and Eugenia dysenterica Mart. (Cagaita) for children using the senses of taste and vision. J. Health Biol. Sci. 2015, 3, 224–230. [Google Scholar] [CrossRef]
- Cota, L.G.; Vieira, F.A.; Melo Júnior, A.F.; Brandão, M.M.; Santana, K.N.O.; Guedes, M.L.; Oliveira, D.A. Genetic diversity of Annona crassiflora (Annonaceae) in northern Minas Gerais State. Genet. Mol. Res. 2011, 10, 2172–2180. [Google Scholar] [CrossRef] [PubMed]
- Da Silva, E.C.; Villa, F.; Da Silva, D.F.; Possenti, J.C.; Da Silva, L.S.; Ritter, G. Araticum accessions: Effect of gibberellic acid concentrations and soaking times on seed dormancy overcoming. Rev. Caatinga 2021, 34, 614–620. [Google Scholar] [CrossRef]
- Palermo, A.C.; de Souza, A.M. Morphometric analysis of fruits and seeds of Annona crassiflora Mart. (Annonaceae) from central Brazil. Rev. Árvore 2019, 43, e430304. [Google Scholar] [CrossRef]
- Vitorino, L.C.; Reis, M.N.O.; Bessa, L.A.; de Souza, U.J.B.; Silva, F.G. Landscape and Climate Influence the Patterns of Genetic Diversity and Inbreeding in Cerrado Plant Species. Diversity 2020, 12, 421. [Google Scholar] [CrossRef]
- Arruda, H.S.; Pastore, G.M. Araticum (Annona crassiflora Mart.) as a source of nutrients and bioactive compounds for food and non-food purposes: A comprehensive review. Food Res. Int. 2019, 123, 450–480. [Google Scholar] [CrossRef]
- Vilar, J.; Ferri, P.; Chen-Chen, L. Genotoxicity investigation of araticum (Annona crassiflora Mart., 1841, Annonaceae) using SOS-Inductest and Ames test. Braz. J. Biol. 2011, 71, 197–202. [Google Scholar] [CrossRef]
- Cavéchia, L.A.; Proença, C.E.B. Resgate cultural de usos de plantas nativas do cerrado pela população tradicional da região do atual Distrito Federal. Heringeriana 2015, 1, 11–24. [Google Scholar] [CrossRef]
- Arruda, H.S.; de Almeida, M.E.F. Frutos do Cerrado: Panorama, Resgate Cultural e Aproveitamento Culinário; Novas Edições Acadêmicas: Saarbrücken, Germany, 2015; ISBN 978-3-639-83794-0. [Google Scholar]
- Cardoso, L.d.M.; Oliveira, D.d.S.; Bedetti, S.d.F.; Martino, H.S.D.; Pinheiro-Sant’Ana, H.M. Araticum (Annona crassiflora Mart.) from the Brazilian Cerrado: Chemical composition and bioactive compounds. Fruits 2013, 68, 121–134. [Google Scholar] [CrossRef]
- Erzinger, G.S.; Lopes, P.C.; del Ciampo, L.F.; Zimath, S.C.; Vicente, D.; Martins de Albuquerque, F.; Prates, R.C. Bioactive compounds of hops resulting from the discarding of the beer industry in the control of pathogenic bacteria. In Natural Bioactive Compounds; Sinha, R.P., Häder, D.-P., Eds.; Academic Press: London, UK, 2021; pp. 41–55. ISBN 9780128206553. [Google Scholar]
- Walia, A.; Gupta, A.K.; Sharma, V. Role of Bioactive Compounds in Human Health. Acta Sci. Med. Sci. 2019, 3, 25–33. [Google Scholar]
- Stafussa, A.P.; Maciel, G.M.; Bortolini, D.G.; Maroldi, W.V.; Ribeiro, V.R.; Fachi, M.M.; Pontarolo, R.; Bach, F.; Pedro, A.C.; Haminiuk, C.W.I. Bioactivity and bioaccessibility of phenolic compounds from Brazilian fruit purees. Futur. Foods 2021, 4, 100066. [Google Scholar] [CrossRef]
- Carvalho, N.C.C.; Monteiro, O.S.; da Rocha, C.Q.; Longato, G.B.; Smith, R.E.; da Silva, J.K.R.; Maia, J.G.S. Phytochemical Analysis of the Fruit Pulp Extracts from Annona crassiflora Mart. and Evaluation of Their Antioxidant and Antiproliferative Activities. Foods 2022, 11, 2079. [Google Scholar] [CrossRef]
- Guimarães, A.C.G.; de Souza Gomes, M.; Zacaroni Lima, L.M.; Sales, P.F.; da Cunha, M.C.; Rodrigues, L.J.; de Barros, H.E.A.; Pires, C.R.F.; dos Santos, V.F.; Lima Natarelli, C.V.; et al. Application of Chemometric Techniques In The Evaluation of Bioactive Compounds and Antioxidant Activity of Fruit From Brazilian Cerrado. J. Food Meas. Charact. 2022, 1–12. [Google Scholar] [CrossRef]
- Arruda, H.S.; Silva, E.K.; Pereira, G.A.; Angolini, C.F.F.; Eberlin, M.N.; Meireles, M.A.A.; Pastore, G.M. Effects of high-intensity ultrasound process parameters on the phenolic compounds recovery from araticum peel. Ultrason. Sonochem. 2019, 50, 82–95. [Google Scholar] [CrossRef]
- Justino, A.B.; Pereira, M.N.; Vilela, D.D.; Peixoto, L.G.; Martins, M.M.; Teixeira, R.R.; Miranda, N.C.; da Silva, N.M.; de Sousa, R.M.F.; de Oliveira, A.; et al. Peel of araticum fruit (Annona crassiflora Mart.) as a source of antioxidant compounds with α-amylase, α-glucosidase and glycation inhibitory activities. Bioorg. Chem. 2016, 69, 167–182. [Google Scholar] [CrossRef]
- Justino, A.B.; Franco, R.R.; Silva, H.C.G.; Saraiva, A.L.; Sousa, R.M.F.; Espindola, F.S. B procyanidins of Annona crassiflora fruit peel inhibited glycation, lipid peroxidation and protein-bound carbonyls, with protective effects on glycated catalase. Sci. Rep. 2019, 9, 19183. [Google Scholar] [CrossRef]
- Ramos, L.P.A.; Justino, A.B.; Tavernelli, N.; Saraiva, A.L.; Franco, R.R.; de Souza, A.V.; Silva, H.C.G.; de Moura, F.B.R.; Botelho, F.V.; Espindola, F.S. Antioxidant compounds from Annona crassiflora fruit peel reduce lipid levels and oxidative damage and maintain the glutathione defense in hepatic tissue of Triton WR-1339-induced hyperlipidemic mice. Biomed. Pharmacother. 2021, 142, 112049. [Google Scholar] [CrossRef]
- Menezes, E.G.T.; Oliveira, É.R.; Carvalho, G.R.; Guimarães, I.C.; Queiroz, F. Assessment of chemical, nutritional and bioactive properties of Annona crassiflora and Annona muricata wastes. Food Sci. Technol. 2019, 39, 662–672. [Google Scholar] [CrossRef]
- Formagio, A.S.N.; Vieira, M.C.; Volobuff, C.R.F.; Silva, M.S.; Matos, A.I.; Cardoso, C.A.L.; Foglio, M.A.; Carvalho, J.E. In vitro biological screening of the anticholinesterase and antiproliferative activities of medicinal plants belonging to Annonaceae. Braz. J. Med. Biol. Res. 2015, 48, 308–315. [Google Scholar] [CrossRef]
- Ramos, A.L.C.C.; Silva, M.R.; Mendonça, H.d.O.P.; Mazzinghy, A.C.d.C.; Silva, V.D.M.; Botelho, B.G.; Augusti, R.; Ferreira, R.M.d.S.B.; Sousa, I.M.N.d.; Batista-Santos, P.; et al. Use of pulp, peel, and seed of Annona crassiflora Mart. in elaborating extracts for fingerprint analysis using paper spray mass spectrometry. Food Res. Int. 2022, 160, 111687. [Google Scholar] [CrossRef]
- Prado, L.G.; Arruda, H.S.; Peixoto Araujo, N.M.; de Oliveira Braga, L.E.; Banzato, T.P.; Pereira, G.A.; Figueiredo, M.C.; Ruiz, A.L.T.G.; Eberlin, M.N.; de Carvalho, J.E.; et al. Antioxidant, antiproliferative and healing properties of araticum (Annona crassiflora Mart.) peel and seed. Food Res. Int. 2020, 133, 109168. [Google Scholar] [CrossRef] [PubMed]
- Ramos, A.L.C.C.; Minighin, E.C.; Soares, I.I.C.; Ferreira, R.M.d.S.B.; Sousa, I.M.N.d.; Augusti, R.; Labanca, R.A.; Araújo, R.L.B.d.; Melo, J.O.F. Evaluation of the total phenolic content, antioxidative capacity, and chemical fingerprint of Annona crassiflora Mart. bioaccessible molecules. Food Res. Int. 2023, 165, 112514. [Google Scholar] [CrossRef] [PubMed]
- Arruda, H.S.; Pereira, G.A.; de Morais, D.R.; Eberlin, M.N.; Pastore, G.M. Determination of free, esterified, glycosylated and insoluble-bound phenolics composition in the edible part of araticum fruit (Annona crassiflora Mart.) and its by-products by HPLC-ESI-MS/MS. Food Chem. 2018, 245, 738–749. [Google Scholar] [CrossRef] [PubMed]
- Barbosa, M.F.; Justino, A.B.; Martins, M.M.; Belaz, K.R.A.; Ferreira, F.B.; Junio de Oliveira, R.; Danuello, A.; Espindola, F.S.; Pivatto, M. Cholinesterase inhibitors assessment of aporphine alkaloids from Annona crassiflora and molecular docking studies. Bioorg. Chem. 2022, 120, 105593. [Google Scholar] [CrossRef] [PubMed]
- Santos, P.D.; Vieira, T.N.; Gontijo Couto, A.C.; Mesquita Luiz, J.P.; Lopes Saraiva, A.L.; Borges Linhares, C.R.; Barbosa, M.F.; Justino, A.B.; Franco, R.R.; da Silva Brum, E.; et al. Stephalagine, an aporphinic alkaloid with therapeutic effects in acute gout arthritis in mice. J. Ethnopharmacol. 2022, 293, 115291. [Google Scholar] [CrossRef]
- Justino, A.B.; Barbosa, M.F.; Neves, T.V.; Silva, H.C.G.; Brum, E.d.S.; Fialho, M.F.P.; Couto, A.C.; Saraiva, A.L.; Avila, V.d.M.R.; Oliveira, S.M.; et al. Stephalagine, an aporphine alkaloid from Annona crassiflora fruit peel, induces antinociceptive effects by TRPA1 and TRPV1 channels modulation in mice. Bioorg. Chem. 2020, 96, 103562. [Google Scholar] [CrossRef]
- Pereira, M.N.; Justino, A.B.; Martins, M.M.; Peixoto, L.G.; Vilela, D.D.; Santos, P.S.; Teixeira, T.L.; da Silva, C.V.; Goulart, L.R.; Pivatto, M.; et al. Stephalagine, an alkaloid with pancreatic lipase inhibitory activity isolated from the fruit peel of Annona crassiflora Mart. Ind. Crops Prod. 2017, 97, 324–329. [Google Scholar] [CrossRef]
- Justino, A.B.; Florentino, R.M.; França, A.; Filho, A.C.M.L.; Franco, R.R.; Saraiva, A.L.; Fonseca, M.C.; Leite, M.F.; Salmen Espindola, F. Alkaloid and acetogenin-rich fraction from Annona crassiflora fruit peel inhibits proliferation and migration of human liver cancer HepG2 cells. PLoS ONE 2021, 16, e0250394. [Google Scholar] [CrossRef]
- Tran, K.; Ryan, S.; McDonald, M.; Thomas, A.L.; Maia, J.G.S.; Smith, R.E. Annonacin and Squamocin Contents of Pawpaw (Asimina triloba) and Marolo (Annona crassiflora) Fruits and Atemoya (A. squamosa × A. cherimola) Seeds. Biol. Trace Elem. Res. 2021, 199, 2320–2329. [Google Scholar] [CrossRef]
- Silva, L.L.; Cardoso, L.d.M.; Pinheiro-Sant’Ana, H.M. Influência do branqueamento, pasteurização e congelamento nas características físico-químicas e carotenoides de polpa de araticum. Bol. Cent. Pesqui. Process. Aliment. 2015, 33, 49–59. [Google Scholar] [CrossRef]
- Luzia, D.M.M.; Jorge, N. Bioactive substance contents and antioxidant capacity of the lipid fraction of Annona crassiflora Mart. seeds. Ind. Crops Prod. 2013, 42, 231–235. [Google Scholar] [CrossRef]
- Arruda, H.S.; Araújo, M.V.L.; Marostica Junior, M.R. Underexploited Brazilian Cerrado fruits as sources of phenolic compounds for diseases management: A review. Food Chem. Mol. Sci. 2022, 5, 100148. [Google Scholar] [CrossRef]
- Borsoi, F.T.; Neri-Numa, I.A.; de Oliveira, W.Q.; de Araújo, F.F.; Pastore, G.M. Dietary polyphenols and their relationship to the modulation of non-communicable chronic diseases and epigenetic mechanisms: A mini-review. Food Chem. Mol. Sci. 2023, 6, 100155. [Google Scholar] [CrossRef]
- Arruda, H.S.; Pereira, G.A.; Pastore, G.M. Optimization of Extraction Parameters of Total Phenolics from Annona crassiflora Mart. (Araticum) Fruits Using Response Surface Methodology. Food Anal. Methods 2017, 10, 100–110. [Google Scholar] [CrossRef]
- Anaya-Esparza, L.M.; García-Magaña, M.d.L.; Abraham Domínguez-Ávila, J.; Yahia, E.M.; Salazar-López, N.J.; González-Aguilar, G.A.; Montalvo-González, E. Annonas: Underutilized species as a potential source of bioactive compounds. Food Res. Int. 2020, 138, 109775. [Google Scholar] [CrossRef]
- Bhambhani, S.; Kondhare, K.R.; Giri, A.P. Diversity in Chemical Structures and Biological Properties of Plant Alkaloids. Molecules 2021, 26, 3374. [Google Scholar] [CrossRef]
- Rajput, A.; Sharma, R.; Bharti, R. Pharmacological activities and toxicities of alkaloids on human health. Mater. Today Proc. 2022, 48, 1407–1415. [Google Scholar] [CrossRef]
- Debnath, B.; Singh, W.S.; Das, M.; Goswami, S.; Singh, M.K.; Maiti, D.; Manna, K. Role of plant alkaloids on human health: A review of biological activities. Mater. Today Chem. 2018, 9, 56–72. [Google Scholar] [CrossRef]
- Durán, A.G.; Gutiérrez, M.T.; Mejías, F.J.R.; Molinillo, J.M.G.; Macías, F.A. An Overview of the Chemical Characteristics, Bioactivity and Achievements Regarding the Therapeutic Usage of Acetogenins from Annona cherimola Mill. Molecules 2021, 26, 2926. [Google Scholar] [CrossRef]
- Neske, A.; Ruiz Hidalgo, J.; Cabedo, N.; Cortes, D. Acetogenins from Annonaceae family. Their potential biological applications. Phytochemistry 2020, 174, 112332. [Google Scholar] [CrossRef]
- Lima, N.N.d.C.; Faustino, D.C.; Allahdadi, K.J.; França, L.S.d.A.; Pinto, L.C. Acetogenins from Annonaceae plants: Potent antitumor and neurotoxic compounds. PharmaNutrition 2022, 20, 100295. [Google Scholar] [CrossRef]
- Neri-Numa, I.A.; Arruda, H.S.; Geraldi, M.V.; Maróstica Júnior, M.R.; Pastore, G.M. Natural prebiotic carbohydrates, carotenoids and flavonoids as ingredients in food systems. Curr. Opin. Food Sci. 2020, 33, 98–107. [Google Scholar] [CrossRef]
- Rodriguez-Amaya, D.B. Update on natural food pigments—A mini-review on carotenoids, anthocyanins, and betalains. Food Res. Int. 2019, 124, 200–205. [Google Scholar] [CrossRef] [PubMed]
- Arruda, H.S.; Geraldi, M.V.; Cedran, M.F.; Bicas, J.L.; Marostica Junior, M.R.; Pastore, G.M. Prebiotics and probiotics. In Bioactive Food Components Activity in Mechanistic Approach; Cazarin, C.B.B., Bicas, J.L., Pastore, G.M., Marostica Junior, M.R., Eds.; Academic Press: London, UK, 2022; pp. 55–118. [Google Scholar]
- do Nascimento Silva, N.R.R.; Cavalcante, R.B.M.; da Silva, F.A. Nutritional properties of Buriti (Mauritia flexuosa) and health benefits. J. Food Compos. Anal. 2023, 117, 105092. [Google Scholar] [CrossRef]
- Zhang, X.; Wang, J.; Zhu, L.; Wang, X.; Meng, F.; Xia, L.; Zhang, H. Advances in Stigmasterol on its anti-tumor effect and mechanism of action. Front. Oncol. 2022, 12, 1101289. [Google Scholar] [CrossRef]
- Traber, M.G.; Head, B. Vitamin E: How much is enough, too much and why! Free Radic. Biol. Med. 2021, 177, 212–225. [Google Scholar] [CrossRef]
- Durazzo, A.; Nazhand, A.; Lucarini, M.; Delgado, A.M.; De Wit, M.; Nyam, K.L.; Santini, A.; Fawzy Ramadan, M. Occurrence of Tocols in Foods: An Updated Shot of Current Databases. J. Food Qual. 2021, 2021, 8857571. [Google Scholar] [CrossRef]
- Arruda, H.S.; Pereira, G.A.; Pastore, G.M. Brazilian Cerrado fruit araticum (Annona crassiflora Mart.) as a potential source of natural antioxidant compounds. Int. Food Res. J. 2018, 25, 2005–2012. [Google Scholar]
- Schiassi, M.C.E.V.; Souza, V.R.d.; Lago, A.M.T.; Campos, L.G.; Queiroz, F. Fruits from the Brazilian Cerrado region: Physico-chemical characterization, bioactive compounds, antioxidant activities, and sensory evaluation. Food Chem. 2018, 245, 305–311. [Google Scholar] [CrossRef]
- de Barros, H.E.A.; Alexandre, A.C.S.; Campolina, G.A.; Alvarenga, G.F.; Silva, L.M.d.S.F.e.; Natarelli, C.V.L.; Carvalho, E.E.N.; Vilas Boas, E.V.d.B. Edible seeds clustering based on phenolics and antioxidant activity using multivariate analysis. LWT 2021, 152, 112372. [Google Scholar] [CrossRef]
- Lucas dos Santos, E.; Leite, N.; Alves de Araújo, L.C.; Giffoni de Carvalho, J.T.; Souza, K.d.P. Protective effect of Annona crassiflora on oxidative stress and Alzheimer’s models in Caenorhabditis elegans. Free Radic. Biol. Med. 2018, 128, S125. [Google Scholar] [CrossRef]
- Justino, A.B.; Pereira, M.N.; Peixoto, L.G.; Vilela, D.D.; Caixeta, D.C.; de Souza, A.V.; Teixeira, R.R.; Silva, H.C.G.; de Moura, F.B.R.; Moraes, I.B.; et al. Hepatoprotective properties of a polyphenol-enriched fraction from Annona crassiflora Mart. fruit peel against diabetes-induced oxidative and nitrosative stress. J. Agric. Food Chem. 2017, 65, 4428–4438. [Google Scholar] [CrossRef] [PubMed]
- Justino, A.B.; Costa, M.S.; Saraiva, A.L.; Silva, P.H.; Vieira, T.N.; Dias, P.; Linhares, C.R.B.; Dechichi, P.; de Melo Rodrigues Avila, V.; Espindola, F.S.; et al. Protective effects of a polyphenol-enriched fraction of the fruit peel of Annona crassiflora Mart. on acute and persistent inflammatory pain. Inflammopharmacology 2020, 28, 759–771. [Google Scholar] [CrossRef] [PubMed]
- Seixas, F.R.F.; Bassoli, B.K.; Virgolin, L.B.; Garcia, L.C.; Janzantti, N.S. Physicochemical Properties and Effects of Fruit Pulps from the Amazon Biome on Physiological Parameters in Rats. Nutrients 2021, 13, 1484. [Google Scholar] [CrossRef] [PubMed]
- de Moura, F.; Justino, A.; Ferreira, B.; Espindola, F.; Araújo, F.; Tomiosso, T. Pro-Fibrogenic and Anti-Inflammatory Potential of a Polyphenol-Enriched Fraction from Annona crassiflora in Skin Repair. Planta Med. 2019, 85, 570–577. [Google Scholar] [CrossRef]
- de Moura, F.B.R.; Ferreira, B.A.; Muniz, E.H.; Justino, A.B.; Silva, A.G.; Santos, R.d.A.; Gomide, J.A.L.; Ribeiro, R.I.M.d.A.; Ribeiro, D.L.; Araújo, F.d.A.; et al. Topic use of Annona crassiflora Mart. contributes to wound healing due to the antioxidant and proliferative effects of fibroblasts. Injury 2022, 53, 844–857. [Google Scholar] [CrossRef]
- de Moura, F.B.R.; Ferreira, B.A.; Muniz, E.H.; Santos, R.A.; Gomide, J.A.L.; Justino, A.B.; Silva, A.C.A.; Dantas, N.O.; Ribeiro, D.L.; Araújo, F.A.; et al. TiO2 Nanocrystals and Annona crassiflora Polyphenols Used Alone or Mixed Impact Differently on Wound Repair. An. Acad. Bras. Cienc. 2022, 94, 20210230. [Google Scholar] [CrossRef]
- Silva, J.J.d.; Cerdeira, C.D.; Chavasco, J.M.; Cintra, A.B.P.; Silva, C.B.P.d.; Mendonça, A.N.d.; Ishikawa, T.; Boriollo, M.F.G.; Chavasco, J.K. In vitro screening antibacterial activity of Bidens pilosa Linné and Annona crassiflora Mart. against oxacillin resistant Staphylococcus aureus (ORSA) from the aerial environment at the dental clinic. Rev. Inst. Med. Trop. Sao Paulo 2014, 56, 333–340. [Google Scholar] [CrossRef]
- Costa, M.d.S.; Pereira, M.J.B.; Oliveira, S.S.d.; Souza, P.T.d.; Dall’oglio, E.L.; Alves, T.C. Anonáceas provocam mortalidade em larvas de Aedes aegypti (Linnaeus, 1762) (Diptera: Culicidae). Braz. J. Biosci. 2013, 11, 184–190. [Google Scholar]
- Krinski, D.; Massaroli, A. Nymphicidal effect of vegetal extracts of Annona mucosa and Anonna crassiflora (Magnoliales, Annonaceae) against rice stalk stink bug, Tibraca limbativentris (Hemiptera, Pentatomidae). Rev. Bras. Frutic. 2014, 36, 217–224. [Google Scholar] [CrossRef]
- Massarolli, A.; Pereira, M.J.B.; Foerster, L.A. Annona crassiflora Mart. (Annonaceae): Effect of crude extract of seeds on larvae of soybean looper Chrysodeixis includens (Lepidoptera: Noctuidae). Bragantia 2017, 76, 398–405. [Google Scholar] [CrossRef]
- Turchen, L.M.; Golin, V.; Butnariu, A.R.; Pereira, M.J.B. Selectivity of Annona (Annonaceae) extract on egg parasitoid Trissolcus urichi (Hymenoptera: Platygastridae). Rev. Colomb. Entomol. 2014, 40, 176–180. [Google Scholar]
- Silva, V.P.d.; Pereira, M.J.B.; Turchen, L.M. Efeito de extratos vegetais no controle de Euschistus heros (F.) (Hemiptera: Pentatomidae) em lavoura de soja na região sudoeste do estado de Mato Grosso. Braz. J. Agric. 2013, 88, 185–190. [Google Scholar] [CrossRef]
- Arruda, H.S.; Neri-Numa, I.A.; Kido, L.A.; Maróstica Júnior, M.R.; Pastore, G.M. Recent advances and possibilities for the use of plant phenolic compounds to manage ageing-related diseases. J. Funct. Foods 2020, 75, 104203. [Google Scholar] [CrossRef]
- Giridharan, V.V.; Barichello De Quevedo, C.E.; Petronilho, F. Microbiota-gut-brain axis in the Alzheimer’s disease pathology—An overview. Neurosci. Res. 2022, 181, 17–21. [Google Scholar] [CrossRef]
- Suganya, S.N.; Sumathi, T. Effect of rutin against a mitochondrial toxin, 3-nitropropionicacid induced biochemical, behavioral and histological alterations-a pilot study on Huntington’s disease model in rats. Metab. Brain Dis. 2017, 32, 471–481. [Google Scholar] [CrossRef]
- Yadav, E.; Singh, D.; Debnath, B.; Rathee, P.; Yadav, P.; Verma, A. Molecular Docking and Cognitive Impairment Attenuating Effect of Phenolic Compound Rich Fraction of Trianthema portulacastrum in Scopolamine Induced Alzheimer’s Disease Like Condition. Neurochem. Res. 2019, 44, 1665–1677. [Google Scholar] [CrossRef]
- Kenchegowda, M.; Rahamathulla, M.; Hani, U.; Begum, M.Y.; Guruswamy, S.; Osmani, R.A.M.; Gowrav, M.P.; Alshehri, S.; Ghoneim, M.M.; Alshlowi, A.; et al. Smart Nanocarriers as an Emerging Platform for Cancer Therapy: A Review. Molecules 2021, 27, 146. [Google Scholar] [CrossRef]
- Peixoto Araujo, N.M.; Arruda, H.S.; de Paulo Farias, D.; Molina, G.; Pereira, G.A.; Pastore, G.M. Plants from the genus Eugenia as promising therapeutic agents for the management of diabetes mellitus: A review. Food Res. Int. 2021, 142, 110182. [Google Scholar] [CrossRef]
- Breton, J.; Galmiche, M.; Déchelotte, P. Dysbiotic Gut Bacteria in Obesity: An Overview of the Metabolic Mechanisms and Therapeutic Perspectives of Next-Generation Probiotics. Microorganisms 2022, 10, 452. [Google Scholar] [CrossRef]
- Silvester, A.J.; Aseer, K.R.; Yun, J.W. Dietary polyphenols and their roles in fat browning. J. Nutr. Biochem. 2019, 64, 1–12. [Google Scholar] [CrossRef]
- Xia, Y.-G.; Wang, T.-L.; Yu, S.-M.; Liang, J.; Kuang, H.-X. Structural characteristics and hepatoprotective potential of Aralia elata root bark polysaccharides and their effects on SCFAs produced by intestinal flora metabolism. Carbohydr. Polym. 2019, 207, 256–265. [Google Scholar] [CrossRef]
- Venmathi Maran, B.A.; Iqbal, M.; Gangadaran, P.; Ahn, B.-C.; Rao, P.V.; Shah, M.D. Hepatoprotective Potential of Malaysian Medicinal Plants: A Review on Phytochemicals, Oxidative Stress, and Antioxidant Mechanisms. Molecules 2022, 27, 1533. [Google Scholar] [CrossRef]
- da Costa Oliveira, C.; de Matos, N.A.; de Carvalho Veloso, C.; Lage, G.A.; Pimenta, L.P.S.; Duarte, I.D.G.; Romero, T.R.L.; Klein, A.; de Castro Perez, A. Anti-inflammatory and antinociceptive properties of the hydroalcoholic fractions from the leaves of Annona crassiflora Mart. in mice. Inflammopharmacology 2019, 27, 397–408. [Google Scholar] [CrossRef]
- Forte, G.; Troisi, G.; Pazzaglia, M.; Pascalis, V.D.; Casagrande, M. Heart Rate Variability and Pain: A Systematic Review. Brain Sci. 2022, 12, 153. [Google Scholar] [CrossRef]
- McDonagh, M.S.; Morasco, B.J.; Wagner, J.; Ahmed, A.Y.; Fu, R.; Kansagara, D.; Chou, R. Cannabis-Based Products for Chronic Pain. Ann. Intern. Med. 2022, 175, 1143–1153. [Google Scholar] [CrossRef]
- Vilela, D.; Blanco-Cabra, N.; Eguskiza, A.; Hortelao, A.C.; Torrents, E.; Sanchez, S. Drug-Free Enzyme-Based Bactericidal Nanomotors against Pathogenic Bacteria. ACS Appl. Mater. Interfaces 2021, 13, 14964–14973. [Google Scholar] [CrossRef]
- Pimenta, L.P.S.; Boaventura, M.D.A.; Cassady, J.M.; Prates, H.T.; Viana, P.A.; de Oliveira, A.B. Acetogenins from Annona crassiflora seeds. In Proceedings of the 2nd IUPAC Intemational Confereace on Biodiversity, Belo Horizonte, Brasil, 11–15 July 1999; p. 72. [Google Scholar]
- Santos, L.P.; Boaventura, M.A.D.; de Oliveira, A.B. Crassiflorina, uma acetogenina tetra-hidrofurânica citotóxica de Annona crassiflora (Araticum). Quim. Nova 1994, 17, 387–391. [Google Scholar]
- Santos, L.P.; Boaventura, M.A.D.; Sun, N.-J.; Cassady, J.M.; De Oliveira, A.B. Araticulin, a bis-tetrahydrofuran polyketide from Annona itcrassiflora seeds. Phytochemistry 1996, 42, 705–707. [Google Scholar] [CrossRef]
- Bernardi, D.; Ribeiro, L.; Andreazza, F.; Neitzke, C.; Oliveira, E.E.; Botton, M.; Nava, D.E.; Vendramim, J.D. Potential use of Annona by products to control Drosophila suzukii and toxicity to its parasitoid Trichopria anastrephae. Ind. Crops Prod. 2017, 110, 30–35. [Google Scholar] [CrossRef]
- Fiaz, M.; Martínez, L.C.; Costa, M.d.S.; Cossolin, J.F.S.; Plata-Rueda, A.; Gonçalves, W.G.; Sant’Ana, A.E.G.; Zanuncio, J.C.; Serrão, J.E. Squamocin induce histological and ultrastructural changes in the midgut cells of Anticarsia gemmatalis (Lepidoptera: Noctuidae). Ecotoxicol. Environ. Saf. 2018, 156, 1–8. [Google Scholar] [CrossRef] [PubMed]
- da Silva Costa, M.; de Paula, S.O.; Martins, G.F.; Zanuncio, J.C.; Santana, A.E.G.; Serrão, J.E. Multiple Modes of Action of the Squamocin in the Midgut Cells of Aedes aegypti Larvae. PLoS ONE 2016, 11, e0160928. [Google Scholar] [CrossRef] [PubMed]
- Bezerra, T.S.; Pereira, C.G.; Prado, M.E.T.; de Barros Vilas Boas, E.V.; de Resende, J.V. Induction of crystallization influences the retention of volatile compounds in freeze-dried marolo pulp. Dry. Technol. 2018, 36, 1250–1262. [Google Scholar] [CrossRef]
- Almeida, R.F.; Bevilaqua, G.C.; Machado, A.P.O. Design, construction, and application of a low-cost solar dryer: A kinetic study of Araticum pulp drying. J. Food Process. Preserv. 2022, 46, e17200. [Google Scholar] [CrossRef]
- Arruda, H.S.; Pereira, G.A.; Pastore, G.M. Oligosaccharide profile in Brazilian Cerrado fruit araticum (Annona crassiflora Mart.). LWT Food Sci. Technol. 2017, 76, 278–283. [Google Scholar] [CrossRef]
- dos Santos Oliveira, M.O.; Dias, B.B.; Pires, C.R.F.; Freitas, B.C.B.; de Aguiar, A.O.; da Silva, J.F.M.; de Souza Martins, G.A. Development of Araticum (Annona crassiflora Mart.) jams: Evaluation of physical, microbiological, and sensorial stability in different packages. J. Food Sci. Technol. 2022, 59, 3399–3407. [Google Scholar] [CrossRef]
- Ramos, A.L.C.C.; Mazzinghy, A.C.d.C.; Correia, V.T.d.V.; Nunes, B.V.; Ribeiro, L.V.; Silva, V.D.M.; Weichert, R.F.; Paula, A.C.C.F.F.d.; Sousa, I.M.N.d.; Ferreira, R.M.d.S.B.; et al. An Integrative Approach to the Flavonoid Profile in Some Plants’ Parts of the Annona Genus. Plants 2022, 11, 2855. [Google Scholar] [CrossRef]
- Guiné, R.P.F.; Florença, S.G.; Barroca, M.J.; Anjos, O. The Link between the Consumer and the Innovations in Food Product Development. Foods 2020, 9, 1317. [Google Scholar] [CrossRef]
- Brandão, T.M.; Carvalho, E.E.N.; Lima, J.P.d.; Carmo, E.L.d.; Elias, H.H.d.S.; Martins, G.A.d.S.; Borges, S.V. Effects of thermal process in bioactive compounds of mixed Brazilian cerrado fruit jam. Food Sci. Technol. 2021, 41, 439–446. [Google Scholar] [CrossRef]
- Resende, N.S.; Souza, V.R.d.; Carvalho, E.E.N.; Junqueira, J.R.d.J.; Vilas Boas, E.V.d.B. Stability and antioxidant activity of bioactive compounds in Cerrado fruit juices during storage. Res. Soc. Dev. 2022, 11, e38211831043. [Google Scholar] [CrossRef]
- Schiassi, M.C.E.V.; Lago, A.M.T.; Souza, V.R.d.; Meles, J.d.S.; Resende, J.V.d.; Queiroz, F. Mixed fruit juices from Cerrado. Br. Food J. 2018, 120, 2334–2348. [Google Scholar] [CrossRef]
- da Silva, E.P.; Siqueira, H.H.; do Lago, R.C.; Rosell, C.M.; de Barros Vilas Boas, E.V. Developing fruit-based nutritious snack bars. J. Sci. Food Agric. 2014, 94, 52–56. [Google Scholar] [CrossRef]
- Silva, J.S.; Damiani, C.; Silva, E.P.; Ruffi, C.R.G.; Asquieri, E.R.; Silva, T.L.L.e.; Vilas Boas, E.V.d.B. Effect of Marolo (Annona crassiflora Mart.) Pulp Flour Addition in Food Bars. J. Food Qual. 2018, 2018, 8639525. [Google Scholar] [CrossRef]
- Neves, N.d.A.; Gomes, P.T.G.; Schmiele, M. Estudo exploratório sobre a elaboração e avaliação de pães de forma com fermentação natural e adição de polpa de araticum (Annona crassiflora Mart.). Res. Soc. Dev. 2020, 9, e956998036. [Google Scholar] [CrossRef]
- Melo, R.d.S.; Lago, R.C.d.; Araújo, A.B.S.; Cunha, M.C.d.; Oliveira, A.L.M.; Araújo, H.E.; Pereira, J.; Carvalho, E.E.N.; Boas, E.V.d.B.V. Armazenamento de pão doce enriquecido com frutos do cerrado. Res. Soc. Dev. 2020, 9, e8419118265. [Google Scholar] [CrossRef]
- Villela, P.; Batista, Â.G.; Dessimoni-Pinto, N.A.V. Nutritional composition of Annona crassiflora pulp and acceptability of bakery products prepared with its flour. Food Sci. Technol. 2013, 33, 417–423. [Google Scholar] [CrossRef]
- Silva, J.S.; Damiani, C.; Silva, T.L.L.e.; Silva, E.P.d.; Cunha, M.C.d.; Asquieri, E.R.; Boas, E.V.d.B.V. Nutritional characterization and technological functional properties of marolo pulp flour. Res. Soc. Dev. 2020, 9, e51942826. [Google Scholar] [CrossRef]
- Farias, T.R.T.; Schiassi, M.C.E.V.; Pereira, P.A.P.; Souza, V.R.d.; Lago, A.M.T.; Borges, S.V.; Queiroz, F. Mixed Brazilian Cerrado fruits preserves without added sugar: The effect of bodying agents. Br. Food J. 2019, 121, 1969–1981. [Google Scholar] [CrossRef]
- de Aguiar, A.O.; Rodrigues, D.d.S.; de Souza, A.R.M.; da Soares, C.M.S.; Ibiapina, A.; de Filho, A.A.M.; dos Oliveira, M.O.S.; de Martins, G.A.S. Use of Passion Fruit Albedo as a Source of Pectin to Produce Araticum (Annona crassiflora Mart.) Preserves. Chem. Eng. Trans. 2019, 75, 223–228. [Google Scholar] [CrossRef]
- Oliveira, M.O.d.S.; Morais, R.A.d.; Dias, B.B.; Soares, C.M.d.S.; Silva, J.F.M.d.; Martins, G.A.d.S. Otimização e correlação sensorial de formulações de doces em pasta de Araticum (Annona crassiflora Mart.). Sci. Plena 2021, 17, 081503. [Google Scholar] [CrossRef]
- Dias, B.B.; Oliveira, M.O.d.S.; Morais, R.A.d.; Freitas, B.C.B.; Martins, G.A.d.S. Características nutricionais de doces em pasta de Araticum (Annona crassiflora Mart.). Sci. Plena 2021, 17, 081502. [Google Scholar] [CrossRef]
- Oliveira, M.O.D.S.; Dias, B.B.; Morais, R.A.; Martins, G.A.d.S. Processamento de doce em pasta do araticum (Annona crassiflora Mart.) e viabilidade da inserção na alimentação escolar. DESAFIOS Rev. Interdiscip. Univ. Fed. Tocantins 2020, 7, 87–93. [Google Scholar] [CrossRef]
- Brandão, T.M.; Carmo, E.L.d.; Elias, H.E.S.; Carvalho, E.E.N.d.; Borges, S.V.; Martins, G.A.S. Physicochemical and Microbiological Quality of Dietetic Functional Mixed Cerrado Fruit Jam during Storage. Sci. World J. 2018, 2018, 2878215. [Google Scholar] [CrossRef] [PubMed]
- Damiani, C.; Silva, E.P.; Becker, F.S.; Endrigo, D.E.; Asquieri, E.R.; Silva, F.A.d.; Boas, E.V.d.B.V. Antioxidant Potential of Marolo Jam (Annona crassiflora Mart) during Storage. Open Access Libr. J. 2017, 4, e3158. [Google Scholar] [CrossRef]
- Arévalo-Pinedo, A.; Carneiro, B.L.A.; Zuniga, A.D.G.; Arévalo, Z.D.S.; Santana, A.A.; Pinedo, R.A. Alterações físico-químicas e colorimétricas de geléias de araticum (Annona crassiflora). Rev. Bras. Prod. Agroind. 2013, 15, 397–403. [Google Scholar] [CrossRef]
- Amaral, C.R.S.; Siqueira, P.B.; Yoshiara, L.Y.; Nascimento, E.; Faria, R.A.P.G.d.; Picanço, N.F.M. Quantitative Descriptive Analysis and Acceptance Testing of Yogurt with no Added Sugar. J. Food Res. 2020, 9, 7–19. [Google Scholar] [CrossRef][Green Version]
- Lima, A.V.S.C.d.; Nicolau, E.S.; Rezende, C.S.M.e.; Torres, M.C.L.; Novais, L.G.; Soares, N.R. Characterization and sensory preference of fermented dairy beverages prepared with different concentrations of whey and araticum pulp. Semin. Ciências Agrárias 2016, 37, 4011–4026. [Google Scholar] [CrossRef]
- Marco, A.P.D.S.; Nubia, F.V.; Yasmine, A.A.M.; Veronica, F.P.A.; Diene, S.G.; Ligia, C.D.M.; Geovana, R.P.; Bruno, S.C. Sensory profile of fermented milk drinks flavored with fruits from the Brazilian Cerrado. Afr. J. Food Sci. 2015, 9, 379–389. [Google Scholar] [CrossRef]
- Arruda, H.S.; Silva, E.K.; Pereira, G.A.; Meireles, M.A.A.; Pastore, G.M. Inulin thermal stability in prebiotic carbohydrate-enriched araticum whey beverage. LWT 2020, 128, 109418. [Google Scholar] [CrossRef]
- Silva, E.P.d.; Siqueira, H.H.; Damiani, C.; Vilas Boas, E.V.d.B. Effect of adding flours from marolo fruit (Annona crassiflora Mart) and jerivá fruit (Syagrus romanzoffiana Cham Glassm) on the physicals and sensory characteristics of food bars. Food Sci. Technol. 2016, 36, 140–144. [Google Scholar] [CrossRef]
- Arruda, H.S.; Botrel, D.A.; Fernandes, R.V.d.B.; Ferreira de Almeida, M.E. Development and sensory evaluation of products containing the Brazilian Savannah fruits araticum (Annona crassiflora Mart.) and cagaita (Eugenia dysenterica Mart.). Braz. J. Food Technol. 2016, 19, e2015105. [Google Scholar] [CrossRef]
Disclaimer/Publisher’s Note: The statements, opinions and data contained in all publications are solely those of the individual author(s) and contributor(s) and not of MDPI and/or the editor(s). MDPI and/or the editor(s) disclaim responsibility for any injury to people or property resulting from any ideas, methods, instructions or products referred to in the content. |
© 2023 by the authors. Licensee MDPI, Basel, Switzerland. This article is an open access article distributed under the terms and conditions of the Creative Commons Attribution (CC BY) license (https://creativecommons.org/licenses/by/4.0/).






