Higher N Addition and Mowing Interactively Improved Net Primary Productivity by Stimulating Gross Nitrification in a Temperate Steppe of Northern China
Abstract
1. Introduction
2. Results
2.1. Aboveground and Belowground Biomass
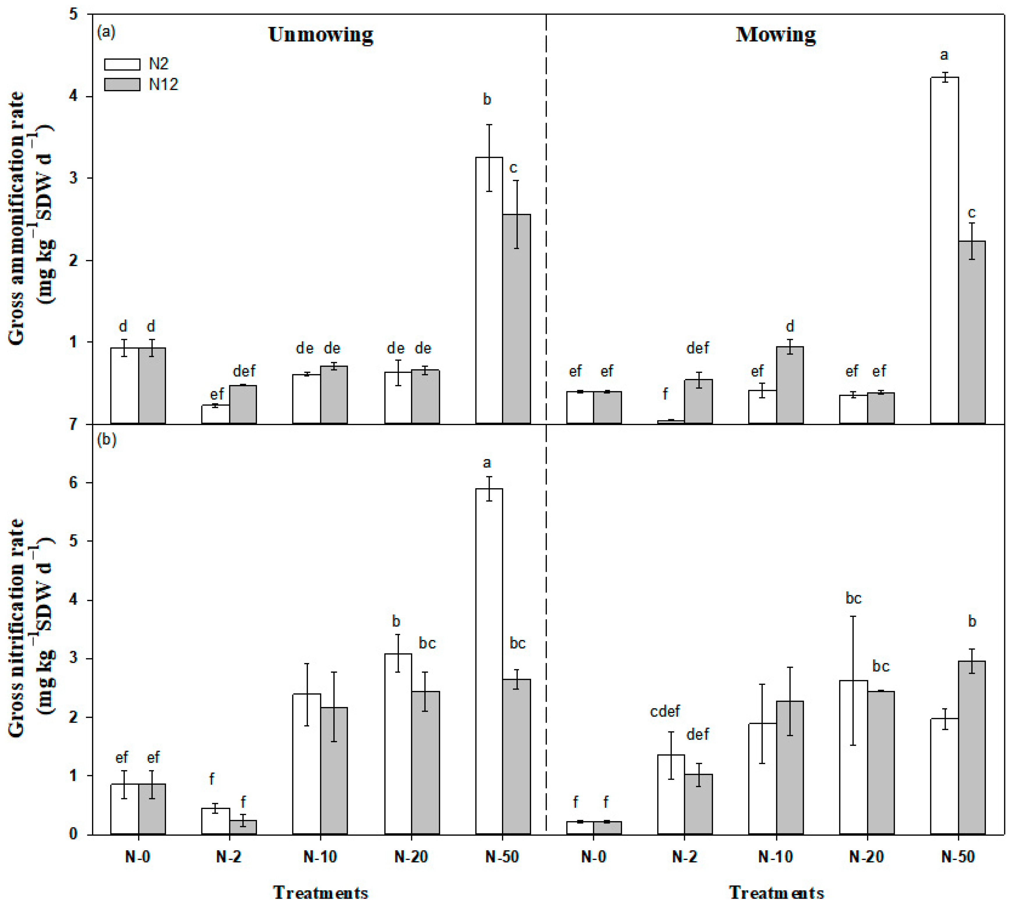
2.2. Gross Ammonification and Nitrification Rates
2.3. The Relationships between Net Primary Productivity and Gross N Turnover
3. Discussion
3.1. Aboveground and Belowground Biomass
3.2. Gross Ammonification and Nitrification Rates
3.3. Mowing and the Interactive Effects of N Addition and Mowing
4. Materials and Methods
4.1. Study Site
4.2. Experimental Design
4.3. Soil and Plant Sampling and Measurements
4.4. Gross Ammonification and Nitrification Rates
4.5. Statistical Analyses
5. Conclusions
Author Contributions
Funding
Data Availability Statement
Acknowledgments
Conflicts of Interest
References
- Peng, Y.F.; Chen, H.Y.H.; Yang, Y.H. Global pattern and drivers of nitrogen saturation threshold of grassland productivity. Funct. Ecol. 2020, 34, 13622. [Google Scholar] [CrossRef]
- Chapin, F.S.; Matson, P.A.; Vitousek, P.M. Principles of Terrestrial Ecosystem Ecology, 2nd ed.; Springer: New York, NY, USA, 2011. [Google Scholar]
- Yu, Y.; Zheng, L.; Zhou, Y.; Sang, W.; Zhao, J.; Liu, L.; Li, C.; Xiao, C. Changes in soil microbial community structure and function following degradation in a temperate grassland. J. Plant Ecol. 2021, 14, 384–397. [Google Scholar] [CrossRef]
- Schimel, J.P.; Bennett, J. Nitrogen mineralization: Challenges of a changing paradigm. Ecology 2004, 85, 591–602. [Google Scholar] [CrossRef]
- Galloway, J.N.; Townsend, A.R.; Erisman, J.W.; Bekunda, M.A.; Cai, Z.; Freney, J.R.; Sutton, M.A. Transformation of the nitrogen cycle: Recent Trends, Questions, and Potential Solutions. Science 2008, 320, 889–892. [Google Scholar] [CrossRef]
- Sutton, M.A.; Bleeker, A. The shape of nitrogen to come. Nature 2013, 494, 435–437. [Google Scholar] [CrossRef]
- Liu, W.; Jiang, L.; Yang, S.; Wang, Z.; Tian, R.; Peng, Z.; Chen, Y.; Zhang, X.; Kuang, J.; Ling, N.; et al. Critical transition of soil bacterial diversity and composition triggered by nitrogen enrichment. Ecology 2020, 101, e03053. [Google Scholar] [CrossRef]
- Li, Z.; Zeng, Z.; Song, Z.; Wang, F.; Tian, D.; Mi, W.; Huang, X.; Wang, J.; Song, L.; Yang, Z.; et al. Vital roles of soil microbes in driving terrestrial nitrogen immobilization. Glob. Chang. Biol. 2021, 27, 1848–1858. [Google Scholar] [CrossRef]
- Li, W.; Gan, X.; Jiang, Y.; Cao, F.; Lü, X.-T.; Ceulemans, T.; Zhao, C. Nitrogen effects on grassland biomass production and biodiversity are stronger than those of phosphorus. Environ. Pollut. 2022, 309, 119720. [Google Scholar] [CrossRef]
- Gruber, N.; Galloway, J.N. An Earth-system perspective of the global nitrogen cycle. Nature 2008, 451, 293–296. [Google Scholar] [CrossRef]
- Kuypers, M.M.M.; Marchant, H.K.; Kartal, B. The microbial nitrogen-cycling network. Nat. Rev. Microbiol. 2018, 16, 263–276. [Google Scholar] [CrossRef]
- Bustamante, M.M.; de Brito, D.Q.; Kozovits, A.R.; Luedemann, G.; de Mello, T.R.; de Siqueira Pinto, A.; Munhoz, C.B.; Takahashi, F.S. Effects of nutrient additions on plant biomass and diversity of the herbaceous-subshrub layer of a Brazilian savanna (Cerrado). Plant Ecol. 2012, 213, 795–808. [Google Scholar] [CrossRef]
- Haugwitz, M.S.; Michelsen, A. Long-term addition of fertilizer, labile carbon, and fungicide alters the biomass of plant functional groups in a subarctic-alpine community. Plant Ecol. 2011, 212, 715–726. [Google Scholar] [CrossRef]
- Liu, W.; Liu, L.; Yang, X.; Deng, M.; Wang, Z.; Wang, P.; Yang, S.; Li, P.; Peng, Z.; Yang, L.; et al. Long-term nitrogen input alters plant and soil bacterial, but not fungal beta diversity in a semiarid grassland. Glob. Chang. Biol. 2021, 27, 3939–3950. [Google Scholar] [CrossRef] [PubMed]
- Collins, S.L.; Knapp, A.K.; Briggs, J.M.; Blair, J.M.; Steinauer, E.M. Modulation of diversity by grazing and mowing in native tallgrass prairie. Science 1998, 280, 745–747. [Google Scholar] [CrossRef] [PubMed]
- Isbell, F.; Reich, P.B.; Tilman, D.; Hobbie, S.E.; Polasky, S.; Binder, S. Nutrient enrichment, biodiversity loss, and consequent declines in ecosystem productivity. Proc. Natl. Acad. Sci. USA 2013, 110, 11911–11916. [Google Scholar] [CrossRef]
- Wang, C.; Butterbachbahl, K.; Han, Y.; Wang, Q.; Zhang, L.; Han, X.; Xing, X. The effects of biomass removal and N additions on microbial N transformations and biomass at different vegetation types in an old-field ecosystem in northern China. Plant Soil 2011, 340, 397–411. [Google Scholar] [CrossRef]
- Bhatti, A.; Ahmad, J.; Qasim, M.; Riaz, M.; Cresser, M.S. Effects of anthropogenic nitrogen deposition on soil nitrogen mineralization and immobilization in grassland soil under semiarid climatic conditions. Environ. Monit. Assess. 2018, 190, 490. [Google Scholar] [CrossRef]
- Hao, T.; Zhang, Y.; Zhang, J.; Müller, C.; Li, K.; Zhang, K.; Chu, H.; Stevens, C.; Liu, X. Chronic nitrogen addition differentially affects gross nitrogen transformations in alpine and temperate grassland soils. Soil Biol. Biochem. 2020, 149, 107962. [Google Scholar] [CrossRef]
- Brenner, R.E.; Boone, R.D.; Ruess, R.W. Nitrogen additions to pristine, high-latitude, forest ecosystems: Consequences for soil nitrogen transformations and retention in mid and late succession. Biogeochemistry 2005, 72, 257–282. [Google Scholar] [CrossRef]
- Kowaljow, E.; Mazzarino, M.J. Soil restoration in semiarid Patagonia: Chemical and biological response to different compost quality. Soil Biol. Biochem. 2007, 39, 1580–1588. [Google Scholar] [CrossRef]
- Song, L.; Li, Z.; Niu, S. Global soil gross nitrogen transformation under increasing nitrogen deposition. Glob. Biogeochem. Cycles 2020, 35, e2020GB006711. [Google Scholar] [CrossRef]
- Giese, M.; Brueck, H.; Gao, Y.Z.; Lin, S.; Steffens, M.; Kögel-Knabner, I.; Glindemann, T.; Susenbeth, A.; Taube, F.; Butterbach-Bahl, K.; et al. N balance and cycling of Inner Mongolia typical steppe: A comprehensive case study of grazing effects. Ecol. Monogr. 2013, 83, 195–219. [Google Scholar] [CrossRef]
- Baptist, F.; Secher-Fromell, H.; Viard-Cretat, F.; Aranjuelo, I.; Clement, J.C.; Creme, A.; Desclos, M.; Laine, P.; Nogués, S.; Lavorel, S. Carbohydrate and nitrogen stores in Festuca paniculata under mowing explain dominance in subalpine grasslands. Plant Biol. 2013, 15, 395–404. [Google Scholar] [CrossRef] [PubMed]
- Ma, L.; Guo, C.; Xin, X.; Yuan, S.; Wang, R.Z. Effects of belowground litter addition, increased precipitation and clipping on soil carbon and nitrogen mineralization in a temperate steppe. Biogeosciences 2013, 10, 7361–7372. [Google Scholar] [CrossRef]
- Gao, Y.; Sun, S.; Xing, F.; Mu, X.; Bai, Y. Nitrogen addition interacted with salinity-alkalinity to modify plant diversity, microbial PLFAs and soil coupled elements: A 5-year experiment. Appl. Soil Ecol. 2019, 137, 78–86. [Google Scholar] [CrossRef]
- Sharma, N.; Kumar, S. Gross nitrogen transformation rates in semiarid tropical soils under different salinity and vegetation conditions. Ecosphere 2020, 11, e03034. [Google Scholar] [CrossRef]
- Kitchen, D.J.; Blair, J.M.; Callaham, M.A. Annual fire and mowing alter biomass, depth distribution, and C and N content of roots and soil in tallgrass prairie. Plant Soil 2009, 323, 235–247. [Google Scholar] [CrossRef]
- Turner, C.L.; Seastedt, T.R.; Dyer, M.I. Maximization of aboveground grassland production: The role of defoliation frequency, intensity, and history. Ecol. Appl. 1993, 3, 175–186. [Google Scholar] [CrossRef]
- Müller, C.; Stevens, R.J.; Laughlin, R.J. A 15N tracing model to analyse N transformations in old grassland soil. Soil Biol. Biochem. 2004, 36, 619–632. [Google Scholar] [CrossRef]
- Kim, M.K.; Henry, H.A.L. Net ecosystem CO2 exchange and plant biomass responses to warming and N addition in a grass-dominated system during two years of net CO2 efflux. Plant Soil 2013, 371, 409–421. [Google Scholar] [CrossRef]
- Zhang, Y.; Loreau, M.; Lu, X.; He, N.; Zhang, G.; Han, X. Nitrogen enrichment weakens ecosystem stability through decreased species asynchrony and population stability in a temperate grassland. Glob. Chang. Biol. 2016, 22, 1445–1455. [Google Scholar] [CrossRef] [PubMed]
- Bardgett, R.D.; Wardle, D.A.; Yeates, G.W. Linking above-ground and below-ground interactions: How plant responses to foliar herbivory influence soil organisms. Soil Biol. Biochem. 1998, 30, 1867–1878. [Google Scholar] [CrossRef]
- Tix, D.; Hebberger, J.A.; Charvat, I. Influence of aboveground biomass removal on nitrogen mineralization in a restored tallgrass prairie. Restor. Ecol. 2006, 14, 561–568. [Google Scholar] [CrossRef]
- Meng, Z.J.; Gao, Y.; Yu, Y.; Wang, J.R.; Qin, Q.C.; Yan, Y.G. Influence of vegetation coverage on soil moisture in desert grassland. Water Sav. Irrig. 2009, 3, 9–11. [Google Scholar]
- Ma, F.; Zhang, F.; Quan, Q.; Wang, J.; Chen, W.; Wang, B.; Zhou, Q.; Niu, S. Alleviation of light limitation increases plant diversity and ecosystem carbon sequestration under nitrogen enrichment in an alpine meadow. Agric. For. Meteorol. 2021, 298–299, 108269. [Google Scholar] [CrossRef]
- Ma, Y.H.; Yang, Y.H.; He, J.S.; Zeng, H.; Fang, J.Y. Biomass of temperate grassland in Inner Mongolia and its relationship with environmental factors. Sci. China Life Sci. 2008, 38, 84–92. [Google Scholar]
- Barnard, R.L.; Leadley, P.W.; Hungate, B.A. Global change, nitrification, and denitrification: A review. Glob. Biogeochem. Cycles 2005, 19, 1007. [Google Scholar] [CrossRef]
- Niboyet, A.; Barthes, L.; Hungate, B.A.; Le Roux, X.; Bloor, J.M.; Ambroise, A.; Fontaine, S.; Price, P.M.; Leadley, P.W. Responses of soil nitrogen cycling to the interactive effects of elevated CO2 and inorganic N supply. Plant Soil 2010, 327, 35–47. [Google Scholar] [CrossRef]
- Corre, M.D.; Beese, F.; Brumme, R. Soil nitrogen cycle in high nitrogen deposition forest: Changes under nitrogen saturation and liming. Ecol. Appl. 2003, 13, 287–298. [Google Scholar] [CrossRef]
- Gao, W.; Yang, H.; Kou, L.; Li, S. Effects of nitrogen deposition and fertilization on N transformations in forest soils: A review. J. Soils Sediments 2015, 15, 863–879. [Google Scholar] [CrossRef]
- Tietema, A. Microbial carbon and nitrogen dynamics in coniferous forest floor material collected along a European nitrogen deposition gradient. For. Ecol. Manag. 1998, 101, 29–36. [Google Scholar] [CrossRef]
- Walecka-Hutchison, C.M.; Walworth, J.L. Evaluating the effects of gross nitrogen mineralization, immobilization, and nitrification on nitrogen fertilizer availability in soil experimentally contaminated with diesel. Biodegradation 2007, 18, 133–144. [Google Scholar] [CrossRef] [PubMed]
- Gan, D.Y.; Zeng, H.; Zhu, B. The rhizosphere effect on soil gross nitrogen mineralization: A meta-analysis. Soil Ecol. Lett. 2022, 42, 144–154. [Google Scholar] [CrossRef]
- Cheng, Y.; Wang, J.; Mary, B.; Zhang, J.B.; Cai, Z.C.; Chang, S.X. Soil pH has contrasting effects on gross and net nitrogen mineralizations in adjacent forest and grassland soils in central Alberta, Canada. Soil Biol. Biochem. 2013, 57, 848–857. [Google Scholar] [CrossRef]
- Gerschlauer, F.; Dannenmann, M.; Kuhnel, A.; Meier, R.; Kolar, A.; Butterbachbahl, K.; Kiese, R. Gross nitrogen turnover of natural and managed tropical ecosystems at Mt. Kilimanjaro, Tanzania. Ecosystems 2016, 19, 1271–1288. [Google Scholar] [CrossRef]
- Xu, Y.; Xu, Z. Effects of land use change on soil gross nitrogen transformation rates in subtropical acid soils of Southwest China. Environ. Sci. Pollut. Res. 2015, 22, 10850–10860. [Google Scholar] [CrossRef]
- Chen, Y.; Borken, W.; Stange, C.F.; Matzner, E. Effects of decreasing water potential on gross ammonification and nitrification in an acid coniferous forest soil. Soil Biol. Biochem. 2011, 43, 333–338. [Google Scholar] [CrossRef]
- Wang, C.; Butterbach-Bahl, K.; He, N.; Wang, Q.; Xing, X.; Han, X. Nitrogen addition and mowing affect microbial nitrogen transformations in a C4 grassland in northern China. Eur. J. Soil Sci. 2015, 66, 485–495. [Google Scholar] [CrossRef]
- West, J.B.; Hobbie, S.E.; Reich, P.B. Effects of plant species diversity, atmospheric CO2, and N addition on gross rates of inorganic N release from soil organic matter. Glob. Chang. Biol. 2006, 12, 1400–1408. [Google Scholar] [CrossRef]
- Bremer, D.J.; Ham, J.M.; Owensby, C.E.; Knapp, A.K. Responses of soil respiration to clipping and grazing in a tallgrass prairie. J. Environ. Qual. 1998, 27, 1539–1548. [Google Scholar] [CrossRef]
- Han, Y.; Zhang, Z.; Wang, C.; Jiang, F.; Xia, J. Effects of mowing and nitrogen addition on soil respiration in three patches in an oldfield grassland in Inner Mongolia. J. Plant Ecol. 2011, 5, 219–228. [Google Scholar] [CrossRef]
- Hang, Y.; Feng, J.; Loreau, M.; He, N.; Han, X.; Jiang, L. Nitrogen addition does not reduce the role of spatial asyn-chrony in stabilising grassland communities. Ecol. Lett. 2019, 22, 563–571. [Google Scholar]
- Cong, W.; Van Ruijven, J.; Mommer, L.; De Deyn, G.B.; Berendse, F.; Hoffland, E. Plant species richness promotes soil carbon and nitrogen stocks in grasslands without legumes. J. Ecol. 2014, 102, 1163–1170. [Google Scholar] [CrossRef]
- Fornara, D.A.; Tilman, D. Plant functional composition influences rates of soil carbon and nitrogen accumulation. J. Ecol. 2008, 96, 314–322. [Google Scholar] [CrossRef]
- Lü, X.T.; Lü, F.M.; Zhou, L.S.; Han, X.; Han, X.G. Stoichiometric response of dominant grasses to fire and mowing in a semi-arid grassland. J. Arid Environ. 2012, 78, 154–160. [Google Scholar] [CrossRef]
- Vance, E.D.; Brookes, P.C.; Jenkinson, D.S. An extraction method for measuring soil microbial biomass C. Soil Biol. Biochem. 1987, 19, 703–707. [Google Scholar] [CrossRef]
- Dannenmann, M.; Gasche, R.; Ledebuhr, A.; Papen, H. Effects of forest management on soil N cycling in beech forests stocking on calcareous soils. Plant Soil 2006, 287, 279–300. [Google Scholar] [CrossRef]
- Dannenmann, M.; Simon, J.; Gasche, R.; Holst, J.; Naumann, P.S.; Kögel-Knabner, I.; Knicker, H.; Mayer, H.; Schloter, M.; Pena, R.; et al. Tree girdling provides insight on the role of labile carbon in nitrogen partitioning between soil microorganisms and adult European beech. Soil Biol. Biochem. 2009, 41, 1622–1631. [Google Scholar] [CrossRef]
- Kirkham, D.; Bartholomew, W.V. Equations for following nutrient transformations in soil, utilizing tracer data. Soil Sci. Soc. Am. J. 1954, 19, 189–192. [Google Scholar] [CrossRef]




| pH | AGB | BGB | GA | GN | |
|---|---|---|---|---|---|
| N | 6.43 *** | 11.10 *** | 25.16 *** | 250.05 *** | 25.63 *** | 
| F | 0.01 | 13.74 ** | 24.51 *** | 4.04 * | 4.10 * | 
| M | 0.22 | 0.04 | 20.51 *** | 2.22 | 3.68 | 
| N × F | 0.21 | 8.32 *** | 19.21 *** | 24.25 *** | 1.35 | 
| N × M | 0.24 | 11.43 *** | 6.84 ** | 2.32 | 6.22 *** | 
| F × M | 0.05 | 4.88 * | 1.15 | 0.99 | 8.96 ** | 
| N × F × M | 0.23 | 3.68 * | 10.61 *** | 5.89 ** | 5.09 ** | 
| Disclaimer/Publisher’s Note: The statements, opinions and data contained in all publications are solely those of the individual author(s) and contributor(s) and not of MDPI and/or the editor(s). MDPI and/or the editor(s) disclaim responsibility for any injury to people or property resulting from any ideas, methods, instructions or products referred to in the content. | 
© 2023 by the authors. Licensee MDPI, Basel, Switzerland. This article is an open access article distributed under the terms and conditions of the Creative Commons Attribution (CC BY) license (https://creativecommons.org/licenses/by/4.0/).
Share and Cite
Yang, J.; Diao, H.; Li, G.; Wang, R.; Jia, H.; Wang, C. Higher N Addition and Mowing Interactively Improved Net Primary Productivity by Stimulating Gross Nitrification in a Temperate Steppe of Northern China. Plants 2023, 12, 1481. https://doi.org/10.3390/plants12071481
Yang J, Diao H, Li G, Wang R, Jia H, Wang C. Higher N Addition and Mowing Interactively Improved Net Primary Productivity by Stimulating Gross Nitrification in a Temperate Steppe of Northern China. Plants. 2023; 12(7):1481. https://doi.org/10.3390/plants12071481
Chicago/Turabian StyleYang, Jianqiang, Huajie Diao, Guoliang Li, Rui Wang, Huili Jia, and Changhui Wang. 2023. "Higher N Addition and Mowing Interactively Improved Net Primary Productivity by Stimulating Gross Nitrification in a Temperate Steppe of Northern China" Plants 12, no. 7: 1481. https://doi.org/10.3390/plants12071481
APA StyleYang, J., Diao, H., Li, G., Wang, R., Jia, H., & Wang, C. (2023). Higher N Addition and Mowing Interactively Improved Net Primary Productivity by Stimulating Gross Nitrification in a Temperate Steppe of Northern China. Plants, 12(7), 1481. https://doi.org/10.3390/plants12071481
 
        




 
       