Gene Profiling of the Ascorbate Oxidase Family Genes under Osmotic and Cold Stress Reveals the Role of AnAO5 in Cold Adaptation in Ammopiptanthus nanus
Abstract
1. Introduction
2. Results
2.1. Genome-Wide Identification of AOs in A. nanus
2.2. Structural Analysis of the AO Family in A. naus
2.3. Phylogenetics and Gene Duplication and Divergence of the AO Family in A. nanus
2.4. Prediction of the Cis-Acting Elements in Promoter Regions of the AO Family Genes in A. nanus
2.5. AnAO5 and AnAO11 Were Targeted by miR4415
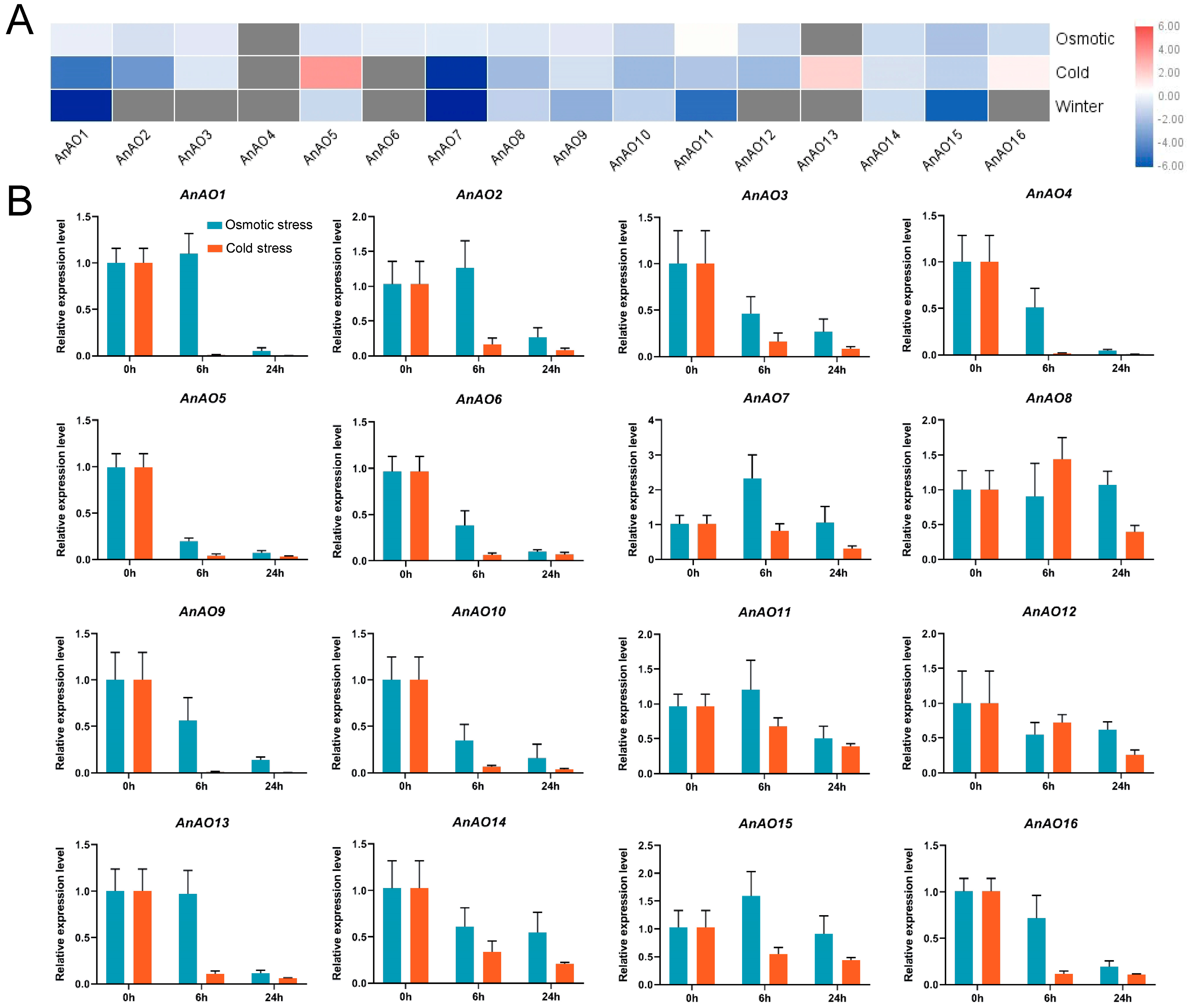
2.6. Expression Patterns of A. nanus AO Genes under Osmotic and Low-Temperature Stresses
2.7. AO Activity of A. nanus Leaves under Osmotic Stress and Low-Temperature Stress
2.8. Phylogenetic and Sequence Analyses of AnAO5
2.9. Expression Patterns of AnAO5 in Different Tissues and under Osmotic and Cold Stress
2.10. The AnAO5 Protein Was Localized in Apoplast
2.11. Overexpression of AnAO5 Enhanced the Tolerance to Low-Temperature Stress in Yeast and Tobacco
2.12. Overexpression of AnAO5 Gene Enhanced the Tolerance of A. thaliana to Cold Stress
3. Discussion
4. Materials and Methods
4.1. Identification of the AO Proteins in A. nanus
4.2. Chromosomal Location and Gene Structure Analysis of A. nanus AO Family Genes
4.3. Multiple Sequence Alignment and Phylogenetic Analysis
4.4. Prediction of Cis-Acting Elements in the Promoter Regions of AnAO Genes
4.5. Gene Expression Analysis Based on the Transcriptome Data
4.6. Plant Materials, Stress Treatment, and AO Activity Analysis
4.7. RNA Extraction and Quantitative Real-Time PCR (qRT-PCR) Analysis
4.8. Vector Construction and Expression in Yeast
4.9. Transient Transformation of AnAO5 in Tobacco and the Subcellular Locations
4.10. Transformation of AnAO5 in Arabidopsis and Evaluation of Low-Temperature Tolerance
Supplementary Materials
Author Contributions
Funding
Institutional Review Board Statement
Informed Consent Statement
Data Availability Statement
Conflicts of Interest
References
- Wei, S.; Li, Z.; Momigliano, P.; Fu, C.; Wu, H.; Merila, J. The roles of climate, geography and natural selection as drivers of genetic and phenotypic differentiation in a widespread amphibian Hyla annectans (Anura: Hylidae). Mol. Ecol. 2020, 29, 3667–3683. [Google Scholar] [CrossRef]
- Liu, J.; Xin, Z.; Huang, Y.; Yu, J. Climate suitability assessment on the Qinghai-Tibet Plateau. Sci. Total Environ. 2021, 816, 151653. [Google Scholar] [CrossRef] [PubMed]
- Luo, D.; Jin, H.; Wu, Q.; Bense, V.F.; He, R.; Ma, Q.; Gao, S.; Jin, X.; Lu, L. Thermal regime of warm-dry permafrost in relation to ground surface temperature in the Source Areas of the Yangtze and Yellow rivers on the Qinghai-Tibet Plateau, SW China. Sci. Total Environ. 2018, 618, 1033–1045. [Google Scholar] [CrossRef]
- Ren, G.; Conti, E.; Salamin, N. Phylogeny and biogeography of Primula sect. Armerina: Implications for plant evolution under climate change and the uplift of the Qinghai-Tibet Plateau. BMC Evol. Biol. 2015, 15, 161. [Google Scholar] [CrossRef] [PubMed]
- Wang, R.H.; Yang, Z.P.; Zhang, Z.C.; Comes, H.P.; Qi, Z.C.; Li, P.; Fu, C.X. Plio-Pleistocene climatic change drives allopatric speciation and population divergence within the Scrophularia incisa complex (Scrophulariaceae) of desert and steppe subshrubs in Northwest China. Front. Plant Sci. 2022, 13, 985372. [Google Scholar] [CrossRef]
- Qiu, N.; Liu, S. Uplift and denudation in the continental area of China linked to climatic effects: Evidence from apatite and zircon fission track data. Sci. Rep. 2018, 8, 9546. [Google Scholar] [CrossRef]
- Yin, H.; Yan, X.; Shi, Y.; Qian, C.; Li, Z.; Zhang, W.; Wang, L.; Li, Y.; Li, X.; Chen, G.; et al. The role of East Asian monsoon system in shaping population divergence and dynamics of a constructive desert shrub Reaumuria soongarica. Sci. Rep. 2015, 5, 15823. [Google Scholar] [CrossRef]
- Gao, F.; Wang, X.; Li, X.; Xu, M.; Li, H.; Abla, M.; Sun, H.; Wei, S.; Feng, J.; Zhou, Y. Long-read sequencing and de novo genome assembly of Ammopiptanthus nanus, a desert shrub. Gigascience 2018, 7, giy074. [Google Scholar] [CrossRef]
- Sun, Y.; Liu, L.; Sun, S.; Han, W.; Irfan, M.; Zhang, X.; Zhang, L.; Chen, L. AnDHN, a dehydrin protein from Ammopiptanthus nanus, mitigates the negative effects of drought stress in plants. Front. Plant Sci. 2021, 12, 788938. [Google Scholar] [CrossRef] [PubMed]
- Ngou, B.P.M.; Jones, J.D.G.; Ding, P. Plant immune networks. Trends Plant Sci. 2022, 27, 255–273. [Google Scholar] [CrossRef]
- Farvardin, A.; González-Hernández, A.I.; Llorens, E.; García-Agustín, P.; Scalschi, L.; Vicedo, B. The Apoplast: A Key Player in Plant Survival. Antioxidants 2020, 9, 604. [Google Scholar] [CrossRef]
- Waszczak, C.; Carmody, M.; Kangasjärvi, J. Reactive Oxygen Species in Plant Signaling. Annu. Rev. Plant Biol. 2018, 69, 209–236. [Google Scholar] [CrossRef] [PubMed]
- Mittler, R. ROS are good. Trends Plant Sci. 2017, 22, 11–19. [Google Scholar] [CrossRef]
- Nadarajah, K.K. ROS homeostasis in abiotic stress tolerance in plants. Int. J. Mol. Sci. 2020, 21, 5208. [Google Scholar] [CrossRef] [PubMed]
- Chapman, J.M.; Muhlemann, J.K.; Gayomba, S.R.; Muday, G.K. RBOH-Dependent ROS synthesis and ROS scavenging by plant specialized metabolites to modulate plant development and stress responses. Chem. Res. Toxicol. 2019, 32, 370–396. [Google Scholar]
- Mittler, R.; Zandalinas, S.I.; Fichman, Y.; Van Breusegem, F. Reactive oxygen species signalling in plant stress responses. Nat. Rev. Mol. Cell Biol. 2022, 23, 663–679. [Google Scholar] [CrossRef] [PubMed]
- Mhamdi, A.; Van Breusegem, F. Reactive oxygen species in plant development. Development 2018, 145, dev164376. [Google Scholar] [CrossRef]
- Wang, F.; Lu, T.; Zhu, L.; Cao, A.; Xie, S.; Chen, X.; Shen, H.; Xie, Q.; Li, R.; Zhu, J.; et al. Multicopper oxidases GbAO and GbSKS are involved in the Verticillium dahliae resistance in Gossypium barbadense. J. Plant Physiol. 2023, 280, 153887. [Google Scholar] [CrossRef]
- Ueda, Y.; Wu, L.; Frei, M. A critical comparison of two high-throughput ascorbate analyses methods for plant samples. Plant Physiol. Biochem. 2013, 70, 418–423. [Google Scholar] [CrossRef]
- Batth, R.; Singh, K.; Kumari, S.; Mustafiz, A. Transcript profiling reveals the presence of abiotic stress and developmental stage specific ascorbate oxidase genes in plants. Front. Plant Sci. 2017, 8, 198. [Google Scholar] [CrossRef] [PubMed]
- Pan, Z.; Chen, L.; Wang, F.; Song, W.; Cao, A.; Xie, S.; Chen, X.; Jin, X.; Li, H. Genome-Wide identification and expression analysis of the ascorbate oxidase gene family in Gossypium hirsutum reveals the critical role of GhAO1A in delaying dark-induced leaf senescence. Int. J. Mol. Sci. 2019, 20, 6167. [Google Scholar] [CrossRef] [PubMed]
- Szentgyörgyi, A. On the function of hexuronic acid in the respiration of the cabbage leaf. J. Biol. Cal. Chem. 1931, 90, 385–393. [Google Scholar] [CrossRef]
- Skorupa, M.; Szczepanek, J.; Yolcu, S.; Mazur, J.; Tretyn, A.; Tyburski, J. Characteristic of the ascorbate oxidase gene family in beta vulgaris and analysis of the role of AAO in response to salinity and drought in beet. Int. J. Mol. Sci. 2022, 23, 12773. [Google Scholar] [CrossRef] [PubMed]
- Barbehenn, R.V.; Jaros, A.; Yip, L.; Tran, L.; Kanellis, A.K.; Constabel, C.P. Evaluating ascorbate oxidase as a plant defense against leaf-chewing insects using transgenic poplar. J. Chem. Ecol. 2008, 34, 1331–1340. [Google Scholar] [CrossRef]
- Fotopoulos, V.; Sanmartin, M.; Kanellis, A.K. Effect of ascorbate oxidase over-expression on ascorbate recycling gene expression in response to agents imposing oxidative stress. J. Exp. Bot. 2006, 57, 3933–3943. [Google Scholar] [CrossRef]
- Kato, N.; Esaka, M. cDNA cloning and gene expression of ascorbate oxidase in tobacco. Plant Mol. Biol. 1996, 30, 833–837. [Google Scholar] [CrossRef]
- Akram, N.A.; Shafiq, F.; Ashraf, M. Ascorbic acid–A potential oxidant scavenger and its role in plant development and abiotic stress tolerance. Front. Plant Sci. 2017, 8, 613. [Google Scholar] [CrossRef]
- Li, R.; Xin, S.; Tao, C.; Jin, X.; Li, H. Cotton ascorbate oxidase promotes cell growth in cultured tobacco bright yellow-2 cells through generation of apoplast oxidation. Int. J. Mol. Sci. 2017, 18, 1346. [Google Scholar] [CrossRef] [PubMed]
- Yamamoto, A.; Bhuiyan, M.N.; Waditee, R.; Tanaka, Y.; Esaka, M.; Oba, K.; Jagendorf, A.T.; Takabe, T. Suppressed expression of the apoplastic ascorbate oxidase gene increases salt tolerance in tobacco and Arabidopsis plants. J. Exp. Bot. 2005, 56, 1785–1796. [Google Scholar] [CrossRef]
- Pignocchi, C.; Fletcher, J.M.; Wilkinson, J.E.; Barnes, J.D.; Foyer, C.H. The function of ascorbate oxidase in tobacco. Plant Physiol. 2003, 132, 1631–1641. [Google Scholar] [CrossRef] [PubMed]
- Foyer, C.H.; Kyndt, T.; Hancock, R.D. Vitamin C in Plants: Novel Concepts, New Perspectives, and Outstanding Issues. Antioxid. Redox Signal. 2020, 32, 463–485. [Google Scholar] [CrossRef] [PubMed]
- Hu, J.; Liu, M.; Zhang, A.; Dai, Y.; Chen, W.; Chen, F.; Wang, W.; Shen, D.; Telebanco-Yanoria, M.J.; Ren, B.; et al. Co-evolved plant and blast fungus ascorbate oxidases orchestrate the redox state of host apoplast to modulate rice immunity. Mol. Plant 2022, 15, 1347–1366. [Google Scholar] [CrossRef] [PubMed]
- Wang, M.; Guo, W.; Li, J.; Pan, X.; Pan, L.; Zhao, J.; Zhang, Y.; Cai, S.; Huang, X.; Wang, A.; et al. The miR528-AO Module Confers Enhanced Salt Tolerance in Rice by Modulating the Ascorbic Acid and Abscisic Acid Metabolism and ROS Scavenging. J. Agric. Food Chem. 2021, 69, 8634–8648. [Google Scholar] [CrossRef] [PubMed]
- Braunschmid, V.; Fuerst, S.; Perz, V.; Zitzenbacher, S.; Hoyo, J.; Fernandez-Sanchez, C.; Tzanov, T.; Steinkellner, G.; Gruber, K.; Nyanhongo, G.S.; et al. A Fungal Ascorbate Oxidase with Unexpected Laccase Activity. Int. J. Mol. Sci. 2020, 21, 5754. [Google Scholar] [CrossRef]
- Singh, R.R.; Nobleza, N.; Demeestere, K.; Kyndt, T. Ascorbate oxidase induces systemic resistance in sugar beet against cyst nematode Heterodera schachtii. Front. Plant Sci. 2020, 11, 591715. [Google Scholar] [CrossRef]
- Garchery, C.; Gest, N.; Do, P.T.; Alhagdow, M.; Baldet, P.; Menard, G.; Rothan, C.; Massot, C.; Gautier, H.; Aarrouf, J. A diminution in ascorbate oxidase activity affects carbon allocation and improves yield in tomato under water deficit. Plant Cell Environ. 2013, 36, 159–175. [Google Scholar] [CrossRef]
- Tian, K.H.; Pan, C.; Yang, Y.F. Differential expression of the ascorbate oxidase multi-gene family of Camellia sinensis in response to stress. J. Hortic. Sci. Biotechnol. 2018, 94, 160–170. [Google Scholar] [CrossRef]
- Zhu, M.; Wang, X.; Zhou, Y.; Tan, J.; Zhou, Y.; Gao, F. Small RNA sequencing revealed that miR4415, a legume-specific miRNA, was involved in the cold acclimation of Ammopiptanthus nanus by targeting an L-ascorbate oxidase gene and regulating the redox state of apoplast. Front. Genet. 2022, 13, 870446. [Google Scholar] [CrossRef]
- Kumar, S.; Kanakachari, M.; Gurusamy, D.; Kumar, K.; Narayanasamy, P.; Venkata, P.K.; Solanke, A.; Gamanagatti, S.; Hiremath, V.; Katageri, I.S.; et al. Genome-wide transcriptomic and proteomic analyses of bollworm-infested developing cotton bolls revealed the genes and pathways involved in the insect pest defence mechanism. Plant Biotechnol. J. 2016, 14, 1438–1455. [Google Scholar] [CrossRef]
- Brun, A.; Smokvarska, M.; Wei, L.; Chay, S.; Curie, C.; Mari, S. MCO1 and MCO3, two putative ascorbate oxidases with ferroxidase activity, new candidates for the regulation of apoplastic iron excess in Arabidopsis. Plant Direct. 2022, 6, e463. [Google Scholar] [CrossRef]
- Gao, F.; Li, H.; Xiao, Z.; Wei, C.; Feng, J.; Zhou, Y. De novo transcriptome analysis of Ammopiptanthus nanus and its comparative analysis with A. mongolicus. Trees 2017, 32, 287–300. [Google Scholar] [CrossRef]
- Eddy, S.R. Accelerated Profile HMM Searches. PLoS Comput. Biol. 2011, 7, e1002195. [Google Scholar] [CrossRef]
- Artimo, P.; Jonnalagedda, M.; Arnold, K.; Baratin, D.; Csardi, G.; de Castro, E.; Duvaud, S.; Flegel, V.; Fortier, A.; Gasteiger, E.; et al. ExPASy: SIB bioinformatics resource portal. Nucleic Acids Res. 2012, 40, W597–W603. [Google Scholar] [CrossRef] [PubMed]
- Horton, P.; Park, K.-J.; Obayashi, T.; Fujita, N.; Harada, H.; Adams-Collier, C.J.; Nakai, K. WoLF PSORT: Protein localization predictor. Nucleic Acids Res. 2007, 35, W585–W587. [Google Scholar] [CrossRef] [PubMed]
- Chen, C.; Chen, H.; Zhang, Y.; Thomas, H.R.; Frank, M.H.; He, Y.; Xia, R. TBtools: An integrative toolkit developed for interactive analyses of big biological data. Mol. Plant 2020, 13, 1194–1202. [Google Scholar] [CrossRef]
- Bailey, T.L.; Boden, M.; Buske, F.A.; Frith, M.; Grant, C.E.; Clementi, L.; Ren, J.; Li, W.W.; Noble, W.S. MEME SUITE: Tools for motif discovery and searching. Nucleic Acids Res. 2009, 37, w202–w208. [Google Scholar] [CrossRef] [PubMed]
- Edgar, R.C. MUSCLE: Multiple sequence alignment with high accuracy and high throughput. Nucleic Acids Res. 2004, 32, 1792–1797. [Google Scholar] [CrossRef] [PubMed]
- Kumar, S.; Stecher, G.; Li, M.; Knyaz, C.; Tamura, K. MEGA X: Molecular evolutionary genetics analysis across computing platforms. Mol. Biol. Evol. 2018, 35, 1547. [Google Scholar] [CrossRef]
- Wang, Y.; Tang, H.; DeBarry, J.D.; Tan, X.; Li, J.; Wang, X.; Lee, T.-H.; Jin, H.; Marler, B.; Guo, H.; et al. MCScanX: A toolkit for detection and evolutionary analysis of gene synteny and collinearity. Nucleic Acids Res. 2012, 40, e49. [Google Scholar] [CrossRef] [PubMed]
- Wang, D.; Zhang, Y.; Zhang, Z.; Zhu, J.; Yu, J. KaKs_Calculator 2.0: A Toolkit Incorporating Gamma-Series Methods and Sliding Window Strategies. Genom. Proteom. Bioinform. 2010, 8, 77–80. [Google Scholar] [CrossRef]
- Lescot, M.; Déhais, P.; Thijs, G.; Marchal, K.; Moreau, Y.; Van de Peer, Y.; Rouzé, P.; Rombauts, S. PlantCARE, a database of plant cis-acting regulatory elements and a portal to tools for in silico analysis of promoter sequences. Nucleic Acids Res. 2002, 30, 325–327. [Google Scholar] [CrossRef] [PubMed]
- Bray, N.L.; Pimentel, H.; Melsted, P.; Pachter, L. Near-optimal probabilistic RNA-seq quantification. Nat. Biotechnol. 2016, 34, 525–527. [Google Scholar] [CrossRef]
- Wang, Y.; Cao, S.; Sui, X.; Wang, J.; Geng, Y.; Gao, F.; Zhou, Y. Genome-Wide Characterization, Evolution, and Expression Analysis of the Ascorbate Peroxidase and Glutathione Peroxidase Gene Families in Response to Cold and Osmotic Stress in Ammopiptanthus nanus. J. Plant Growth Regul. 2022, 42, 502–522. [Google Scholar] [CrossRef]
- Cao, S.; Wang, Y.; Li, Z.; Shi, W.; Gao, F.; Zhou, Y.; Zhang, G.; Feng, J. Genome-Wide Identification and Expression Analyses of the Chitinases under Cold and Osmotic stress in Ammopiptanthus nanus. Genes 2019, 10, 472. [Google Scholar] [CrossRef]
- Andreasson, E.; Abreha, K.B.; Resjo, S. Isolation of apoplast. Methods Mol. Biol. 2017, 1511, 233–240. [Google Scholar]
- Abla, M.; Sun, H.; Li, Z.; Wei, C.; Gao, F.; Zhou, Y.; Feng, J. Identification of miRNAs and Their Response to Cold Stress in Astragalus membranaceus. Biomolecules 2019, 9, 182. [Google Scholar] [CrossRef]
- Li, Y.; Xiao, F.; Zhai, C.; Li, X.; Wu, Y.; Gao, H.; Li, J.; Zhai, S.; Liu, B.; Wu, G. Qualitative and quantitative real-time PCR methods for assessing false-positive rates in genetically modified organisms based on the microbial-infection-linked HPT gene. Int. J. Mol. Sci. 2022, 23, 10000. [Google Scholar] [CrossRef] [PubMed]
- Liang, Y.; Li, X.; Yang, R.; Gao, B.; Yao, J.; Oliver, M.J.; Zhang, D. BaDBL1, a unique DREB gene from desiccation tolerant moss Bryum argenteum, confers osmotic and salt stress tolerances in transgenic Arabidopsis. Plant Sci. 2021, 313, 111047. [Google Scholar] [CrossRef]
- Dhanyalakshmi, K.H.; Nataraja, K.N. Universal stress protein-like gene from mulberry enhances abiotic stress tolerance in Escherichia coli and transgenic tobacco cells. Plant Biol. 2021, 23, 1190–1194. [Google Scholar] [CrossRef] [PubMed]
- Yin, J.; Sun, L.; Li, Y.; Xiao, J.; Wang, S.; Yang, J.; Qu, Z.; Zhan, Y. Functional identification of BpMYB21 and BpMYB61 transcription factors responding to MeJA and SA in birch triterpenoid synthesis. BMC Plant Biol. 2020, 20, 374. [Google Scholar] [CrossRef]
- Wydro, M.; Kozubek, E.; Lehmann, P. Optimization of transient Agrobacterium-mediated gene expression system in leaves of Nicotiana benthamiana. Acta Biochim. Pol. 2006, 53, 289–298. [Google Scholar] [CrossRef] [PubMed]
- Clough, S.J.; Bent, A.F. Floral dip: A simplified method for Agrobacterium-mediated transformation of Arabidopsis thaliana. Plant J. 1998, 16, 735–743. [Google Scholar] [CrossRef] [PubMed]












| Gene ID | Gene Name | Length (aa) | MW (kD) | pI | Instability Index | Aliphatic Index | GRAVY | Subcellular Location * |
|---|---|---|---|---|---|---|---|---|
| EVM0035481.1 | AnAO1 | 544 | 61.43 | 9.67 | 45.34 | 77.21 | −0.29 | cyto |
| EVM0014986.1 | AnAO2 | 539 | 60.17 | 8.65 | 33.59 | 90.43 | −0.21 | chlo |
| EVM0002929.1 | AnAO3 | 566 | 63.90 | 8.23 | 35.45 | 82.46 | −0.28 | extr |
| EVM0000882.1 | AnAO4 | 567 | 63.75 | 8.81 | 36.68 | 84.23 | −0.24 | plas |
| EVM0030483.1 | AnAO5 | 573 | 64.33 | 8.69 | 34.57 | 81.01 | −0.28 | extr |
| EVM0001519.1 | AnAO6 | 540 | 60.25 | 9.24 | 33.9 | 89.56 | −0.17 | vacu |
| EVM0025631.1 | AnAO7 | 539 | 60.28 | 9.05 | 37.2 | 87.51 | −0.24 | chlo |
| EVM0000071.1 | AnAO8 | 544 | 60.33 | 8.71 | 28.79 | 84.89 | −0.23 | extr |
| EVM0006597.1 | AnAO9 | 538 | 59.61 | 5.76 | 46.35 | 82.04 | −0.22 | vacu |
| EVM0023147.1 | AnAO10 | 551 | 61.65 | 8.66 | 33.82 | 87.89 | −0.18 | vacu |
| EVM0022092.1 | AnAO11 | 574 | 64.33 | 8.24 | 35.87 | 80.68 | −0.31 | vacu |
| EVM0018204.1 | AnAO12 | 547 | 60.89 | 9.53 | 33.75 | 86.95 | −0.24 | nucl |
| EVM0008086.1 | AnAO13 | 548 | 61.44 | 8.91 | 36.00 | 84.51 | −0.23 | vacu |
| EVM0022681.1 | AnAO14 | 542 | 60.46 | 8.75 | 44.28 | 85.59 | −0.21 | vacu |
| EVM0005397.1 | AnAO15 | 577 | 65.22 | 8.68 | 40.73 | 77.68 | −0.34 | extr |
| EVM0034083.1 | AnAO16 | 517 | 58.42 | 9.82 | 44.6 | 79.73 | −0.27 | chlo |
| Paralogous Pairs | Ka | Ks | Ka/Ks | Type |
|---|---|---|---|---|
| AnAO1–AnAO14 | 0.195 | 1.125 | 0.173 | Segmental Duplication |
| AnAO1–AnAO9 | 0.207 | 1.485 | 0.139 | Segmental Duplication |
| AnAO2–AnAO6 | 0.252 | 1.796 | 0.140 | Segmental Duplication |
| AnAO12–AnAO8 | 0.043 | 0.355 | 0.121 | Segmental Duplication |
| AnAO14–AnAO9 | 0.055 | 0.339 | 0.162 | Segmental Duplication |
| AnAO16–AnAO1 | 0.068 | 0.299 | 0.226 | Segmental Duplication |
| AnAO3–AnAO4 | 0.141 | 1.022 | 0.138 | Tandem Duplication |
| AnAO6–AnAO7 | 0.277 | 1.467 | 0.189 | Tandem Duplication |
Disclaimer/Publisher’s Note: The statements, opinions and data contained in all publications are solely those of the individual author(s) and contributor(s) and not of MDPI and/or the editor(s). MDPI and/or the editor(s) disclaim responsibility for any injury to people or property resulting from any ideas, methods, instructions or products referred to in the content. |
© 2023 by the authors. Licensee MDPI, Basel, Switzerland. This article is an open access article distributed under the terms and conditions of the Creative Commons Attribution (CC BY) license (https://creativecommons.org/licenses/by/4.0/).
Share and Cite
Zhu, M.; Liu, Q.; Liu, F.; Zheng, L.; Bing, J.; Zhou, Y.; Gao, F. Gene Profiling of the Ascorbate Oxidase Family Genes under Osmotic and Cold Stress Reveals the Role of AnAO5 in Cold Adaptation in Ammopiptanthus nanus. Plants 2023, 12, 677. https://doi.org/10.3390/plants12030677
Zhu M, Liu Q, Liu F, Zheng L, Bing J, Zhou Y, Gao F. Gene Profiling of the Ascorbate Oxidase Family Genes under Osmotic and Cold Stress Reveals the Role of AnAO5 in Cold Adaptation in Ammopiptanthus nanus. Plants. 2023; 12(3):677. https://doi.org/10.3390/plants12030677
Chicago/Turabian StyleZhu, Ming, Qi Liu, Fuyu Liu, Lamei Zheng, Jie Bing, Yijun Zhou, and Fei Gao. 2023. "Gene Profiling of the Ascorbate Oxidase Family Genes under Osmotic and Cold Stress Reveals the Role of AnAO5 in Cold Adaptation in Ammopiptanthus nanus" Plants 12, no. 3: 677. https://doi.org/10.3390/plants12030677
APA StyleZhu, M., Liu, Q., Liu, F., Zheng, L., Bing, J., Zhou, Y., & Gao, F. (2023). Gene Profiling of the Ascorbate Oxidase Family Genes under Osmotic and Cold Stress Reveals the Role of AnAO5 in Cold Adaptation in Ammopiptanthus nanus. Plants, 12(3), 677. https://doi.org/10.3390/plants12030677

