Appropriate Application Methods for Salicylic Acid and Plant Nutrients Combinations to Promote Morpho-Physiological Traits, Production, and Water Use Efficiency of Wheat under Normal and Deficit Irrigation in an Arid Climate
Abstract
1. Introduction
2. Results
2.1. Growth Parameters
2.2. Physiological Parameters
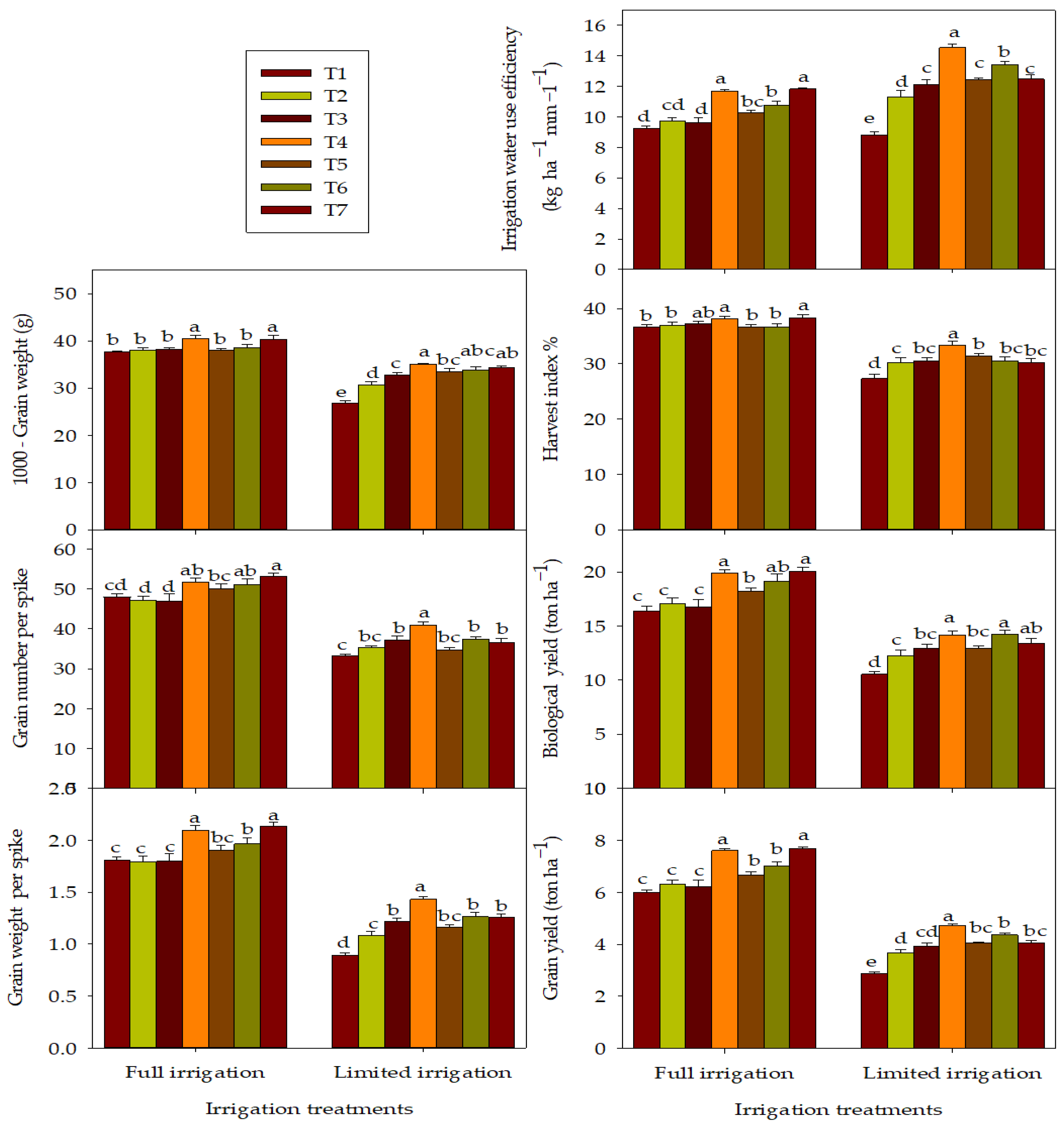
2.3. Yield and Yield Attributes Parameters
2.4. Pearson’s Correlation Coefficient among Different Parameters under the Full and Limited Irrigation Regimes
2.5. Principal Component Analysis and Heatmap Analysis for the Responses of Plant parameters to Different Combination Treatments
3. Discussion
4. Materials and Methods
4.1. Experimental Site Describtion and Cultivation Conditions
4.2. Experimental Design and Treatments
4.3. Data Recorded
4.3.1. Growth Parameters
4.3.2. Physiological Parameters
4.3.3. Yield and Yield Components
4.4. Data Analysis
5. Conclusions
Author Contributions
Funding
Data Availability Statement
Acknowledgments
Conflicts of Interest
References
- Tang, Q. Global change hydrology: Terrestrial water cycle and global change. Sci. China Earth Sci. 2020, 63, 459–462. [Google Scholar] [CrossRef]
- Liu, X.; Liu, W.; Tang, Q.; Liu, B.; Wada, Y.; Yang, H. Global agricultural water scarcity assessment incorporating blue and green water availability under future climate change. Earth’s Future 2022, 10, e2021EF002567. [Google Scholar] [CrossRef]
- FAOSTAT. Food and Agriculture Organization of the United Nations Statistics Database. Available online: http://faostat.fao.org/site/567/DesktopDefault.aspx (accessed on 21 October 2022).
- Akram, S.; Arif, M.A.R.; Hameed, A. A GBS-based GWAS analysis of adaptability and yield traits in bread wheat (Triticum aestivum L.). J. Appl. Genet. 2021, 62, 27–41. [Google Scholar] [CrossRef]
- Elahi, I.; Saeed, U.; Wadood, A.; Abbas, A.; Nawaz, H.; Jabbar, S. Effect of Climate Change on Wheat Productivity. In Wheat; Ansari, M.U.R., Ed.; Intech Open: London, UK, 2022. [Google Scholar]
- Sallam, A.; Alqudah, A.M.; Dawood, M.F.; Baenziger, P.S.; Börner, A. Drought stress tolerance in wheat and barley: Advances in physiology, breeding and genetics research. Int. J. Mol. Sci. 2019, 20, 3137. [Google Scholar] [CrossRef] [PubMed]
- Hafez, E.M.; Kheir, A.; Badawy, S.A.; Rashwan, E.; Farig, M.; Osman, H.S. Differences in physiological and biochemical attributes of wheat in response to single and combined salicylic acid and biochar subjected to limited water irrigation in saline sodic soil. Plants 2020, 9, 1346. [Google Scholar] [CrossRef]
- Muhammad, F.; Raza, M.A.S.; Iqbal, R.; Zulfiqar, F.; Aslam, M.U.; Yong, J.W.H.; Altaf, M.A.; Zulfiqar, B.; Amin, J.; Ibrahim, M.A. Ameliorating drought effects in wheat using an exclusive or co-applied rhizobacteria and zno nanoparticles. Biology 2022, 11, 1564. [Google Scholar] [CrossRef]
- Ali, O.A. Wheat responses and tolerance to drought stress. In Wheat Production in Changing Environments; Hasanuzzaman, M., Nahar, K., Hossain, M.A., Eds.; Springer: Dordrecht, The Netherlands, 2019; Volume 3, pp. 129–138. [Google Scholar]
- Zhao, W.; Liu, L.; Shen, Q.; Yang, J.; Han, X.; Tian, F.; Wu, J. Effects of water stress on photosynthesis, yield, and water use efficiency in winter wheat. Water 2020, 12, 2127. [Google Scholar] [CrossRef]
- Parveen, A.; Arslan Ashraf, M.; Hussain, I.; Perveen, S.; Rasheed, R.; Mahmood, Q.; Hussain, S.; Ditta, A.; Hashem, A.; Al-Arjani, A.-B.F. Promotion of growth and physiological characteristics in water-stressed Triticum aestivum in relation to foliar-application of salicylic acid. Water 2021, 13, 1316. [Google Scholar] [CrossRef]
- Kumari, V.V.; Banerjee, P.; Verma, V.C.; Sukumaran, S.; Chandran, M.A.S.; Gopinath, K.A.; Venkatesh, G.; Yadav, S.K.; Singh, V.K.; Awasthi, N.K. Plant nutrition: An effective way to alleviate abiotic stress in agricultural crops. Int. J. Mol. Sci. 2022, 23, 8519. [Google Scholar] [CrossRef] [PubMed]
- Sadeghi-Bakhtavari, A.R.; Hazrati, S. Growth, yield, and fatty acids as affected by water-deficit and foliar application of nitrogen, phosphorus, and sulfur in castor bean. J. Crop Improv. 2020, 35, 453–468. [Google Scholar] [CrossRef]
- Merwad, A.-R.M. Efficiency of potassium fertilization and salicylic acid on yield and nutrient accumulation of sugar beet grown on saline soil. Commun. Soil. Sci. Plant Anal. 2016, 47, 1184–1192. [Google Scholar] [CrossRef]
- Mostofa, M.G.; Rahman, M.M.; Ghosh, T.K.; Kabir, A.H.; Abdelrahman, M.; Khan, M.A.R.; Mochida, K.; Tran, L.S.P. Potassium in plant physiological adaptation to abiotic stresses. Plant Physiol. Biochem. 2022, 186, 279–289. [Google Scholar] [CrossRef]
- Hafeez, B.; Khanif, Y.; Saleem, M. Role of zinc in plant nutrition-a review. Am. J. Exp. Agric. 2013, 3, 374. [Google Scholar] [CrossRef]
- Ashraf, M.Y.; Tariq, S.; Saleem, M.; Khan, M.A.; Hassan, S.W.U.; Sadef, Y. Calcium and zinc mediated growth and physio-biochemical changes in mung bean grown under saline conditions. J. Plant Nutr. 2020, 43, 512–525. [Google Scholar] [CrossRef]
- Hassan, M.U.; Aamer, M.; Umer Chattha, M.; Haiying, T.; Shahzad, B.; Barbanti, L.; Nawaz, M.; Rasheed, A.; Afzal, A.; Liu, Y. The critical role of zinc in plants facing the drought stress. Agriculture 2020, 10, 396. [Google Scholar] [CrossRef]
- Schmidt, S.B.; Husted, S. The Biochemical properties of manganese in plants. Plants 2019, 8, 381. [Google Scholar] [CrossRef] [PubMed]
- Alejandro, S.; Höller, S.; Meier, B.; Peiter, E. Manganese in plants: From acquisition to subcellular allocation. Front. Plant Sci. 2020, 11, 300. [Google Scholar] [CrossRef] [PubMed]
- Karim, M.R.; Rahman, M.A. Drought risk management for increased cereal production in Asian Least Developed Countries. Weather Clim. Extrem. 2015, 7, 24–35. [Google Scholar] [CrossRef]
- Hussain, R.A.; Ahmad, R.; Nawaz, F.; Ashraf, M.Y.; Waraich, E.A. Foliar NK application mitigates drought effects in sunflower (Helianthus annuus L.). Acta Physiol. Plant. 2016, 38, 83. [Google Scholar] [CrossRef]
- Barłóg, P.; Nowacka, A.; Błaszyk, R. Effect of zinc band application on sugar beet yield, quality and nutrient uptake. Plant Soil Environ. 2016, 62, 30–35. [Google Scholar] [CrossRef]
- Dass, A.; Rajanna, G.A.; Babu, S.; Lal, S.K.; Choudhary, A.K.; Singh, R.; Rathore, S.S.; Kaur, R.; Dhar, S.; Singh, T. Foliar application of macro-and micronutrients improves the productivity, economic returns, and resource-use efficiency of soybean in a semiarid climate. Sustainability 2022, 14, 5825. [Google Scholar] [CrossRef]
- Fageria, N.; Filho, M.B.; Moreira, A.; Guimarães, C. Foliar fertilization of crop plants. J. Plant Nutr. 2009, 32, 1044–1064. [Google Scholar] [CrossRef]
- Walsh, O.S.; Shafian, S.; Christiaens, R.J. Nitrogen fertilizer management in dryland wheat cropping systems. Plants 2018, 7, 9. [Google Scholar] [CrossRef] [PubMed]
- Shahrajabian, M.H.; Sun, W.; Cheng, Q. Foliar application of nutrients on medicinal and aromatic plants, the sustainable approaches for higher and better production. Beni-Suef Univ. J. Basic Appl. Sci. 2022, 11, 26. [Google Scholar] [CrossRef]
- Huseynova, I.M.; Rustamova, S.M.; Suleymanov, S.Y.; Aliyeva, D.R.; Mammadov, A.C.; Aliyev, J.A. Drought-induced changes in photosynthetic apparatus and antioxidant components of wheat (Triticum durum Desf.) varieties. Photosynth. Res. 2016, 130, 215–223. [Google Scholar] [CrossRef]
- Bakht, S.; Safdar, K.; Khair, K.; Fatima, A.; Fayyaz, A.; Ali, S.; Munir, H.; Farid, M. The response of major food crops to drought stress: Physiological and biochemical responses. In Agronomic Crops: Stress Responses and Tolerance; Hasanuzzaman, M., Ed.; Springer Nature: Singapore, 2020; Volume 3, pp. 93–115. [Google Scholar]
- Farooqi, Z.U.R.; Ayub, M.A.; ur Rehman, M.Z.; Sohail, M.I.; Usman, M.; Khalid, H.; Naz, K. Regulation of drought stress in plants. In Plant Life under Changing Environment; Responses and Management; Tripathi, D.K., Singh, V.P., Chauhan, D.K., Sharma, S., Prasad, S.M., Dubey, N.K., Ramawat, N., Eds.; Academic Press: Cambridge, MA, USA, 2020; pp. 77–104. [Google Scholar]
- Sharma, A.; Shahzad, B.; Kumar, V.; Kohli, S.K.; Sidhu, G.P.S.; Bali, A.S.; Handa, N.; Kapoor, D.; Bhardwaj, R.; Zheng, B. Phytohormones regulate accumulation of osmolytes under abiotic stress. Biomolecules 2019, 9, 285. [Google Scholar] [CrossRef]
- Hosain, M.T.; Kamrunnahar, M.; Rahman, M.; Hossain, M.; Munshi, M.; Rahman, S. Drought stress response of rice yield (Oryza sativa L.) and role of exogenous salicylic acid. Int. J. Biosci. 2020, 16, 222–230. [Google Scholar]
- El Sherbiny, H.A.; El-Hashash, E.F.; Abou El-Enin, M.M.; Nofal, R.S.; Abd El-Mageed, T.A.; Bleih, E.M.; El-Saadony, M.T.; El-Tarabily, K.A.; Shaaban, A. Exogenously applied salicylic acid boosts morpho-physiological traits, yield, and water productivity of lowland rice under normal and deficit irrigation. Agronomy 2022, 12, 1860. [Google Scholar] [CrossRef]
- Kaur, H.; Hussain, S.J.; Kaur, G.; Poor, P.; Alamri, S.; Siddiqui, M.H.; Khan, M.I.R. Salicylic acid improves nitrogen fixation, growth, yield and antioxidant defense mechanisms in chickpea genotypes under salt stress. J. Plant Growth Regul. 2022, 41, 2034–2047. [Google Scholar] [CrossRef]
- Khan, M.I.; Poor, P.; Janda, T. Salicylic Acid: A versatile signaling molecule in plants. J. Plant Growth Regul. 2022, 41, 1887–1890. [Google Scholar] [CrossRef]
- Yavas, I.; Unay, A. Effects of zinc and salicylic acid on wheat under drought stress. J. Anim. Plant Sci. 2016, 26, 1012–1101. [Google Scholar]
- Noori, S.M.; Assaha, D.; Saneoka, H. Effect of salicylic acid and potassium application on yield and grain nutritional quality of wheat under drought stress condition. Cereal Res. Commun. 2018, 46, 558–568. [Google Scholar] [CrossRef]
- Munsif, F.; Shah, T.; Arif, M.; Jehangir, M.; Afridi, M.Z.; Ahmad, I.; Jan, B.L.; Alansi, S. Combined effect of salicylic acid and potassium mitigates drought stress through the modulation of physio-biochemical attributes and key antioxidants in wheat. Saudi J. Biol. Sci. 2022, 29, 103294. [Google Scholar] [CrossRef] [PubMed]
- Nawaz, F.; Ahmad, R.; Waraich, E.; Naeem, M.; Shabbir, R. Nutrient uptake, physiological responses, and yield attributes of wheat (Triticum aestivum L.) exposed to early and late drought stress. J. Plant Nutr. 2012, 35, 961–974. [Google Scholar] [CrossRef]
- Wasaya, A.; Manzoor, S.; Yasir, T.A.; Sarwar, N.; Mubeen, K.; Ismail, I.A.; Raza, A.; Rehman, A.; Hossain, A.; EL Sabagh, A. Evaluation of fourteen bread wheat (Triticum aestivum L.) genotypes by observing gas exchange parameters, relative water and chlorophyll content, and yield attributes under drought stress. Sustainability 2021, 13, 4799. [Google Scholar] [CrossRef]
- Naikwade, P.V. Plant Responses to Drought Stress: Morphological, Physiological, Molecular Approaches, and Drought Resistance. In Plant Metabolites under Environmental Stress: Mechanisms, Responses, and Adaptation Strategies; Desai, N.M., Patil, M., Pawar, U.R., Eds.; Apple Academic Press: New York, NY, USA, 2023; Volume 1, pp. 149–183. [Google Scholar]
- Shrivastav, P.; Prasad, M.; Singh, T.B.; Yadav, A.; Goyal, D.; Ali, A.; Dantu, P.K. Role of nutrients in plant growth and development. In Contaminants in Agriculture: Sources, Impacts and Management; Naeem, M., Ansari, A.A., Gill, S.S., Eds.; Springer Nature: Singapore, 2020; pp. 43–59. [Google Scholar]
- Hussain, S.; Rao, M.J.; Anjum, M.A.; Ejaz, S.; Zakir, I.; Ali, M.A.; Ahmad, N.; Ahmad, S. Oxidative stress and antioxidant defense in plants under drought conditions. In Plant Abiotic Stress Tolerance: Agronomic, Molecular and Biotechnological Approaches; Hasanuzzaman, M., Hakim, K., Nahar, K., Alharby, H.F., Eds.; Springer: Cham, Switzerland, 2019; pp. 207–219. [Google Scholar]
- Sharma, P.; Jha, A.B.; Dubey, R.S.; Pessarakli, M. Reactive oxygen species generation, hazards, and defense mechanisms in plants under environmental (abiotic and biotic) stress conditions. In Handbook of Plant and Crop Physiology, 4th ed.; Pessarakli, M., Ed.; CRC Press: Boca Raton, FL, USA, 2021; pp. 617–658. [Google Scholar]
- Van Oosten, M.J.; Pepe, O.; De Pascale, S.; Silletti, S.; Maggio, A. The role of biostimulants and bioeffectors as alleviators of abiotic stress in crop plants. Chem. Biol. Technol. Agric. 2017, 4, 5. [Google Scholar] [CrossRef]
- Razmi, N.; Ebadi, A.; Daneshian, J.; Jahanbakhsh, S. Salicylic acid induced changes on antioxidant capacity, pigments and grain yield of soybean genotypes in water deficit condition. J. Plant Interact. 2017, 12, 457–464. [Google Scholar] [CrossRef]
- Ahmad, A.; Aslam, Z.; Ilyas, M.Z.; Ameer, H.; Mahmood, A.; Rehan, M. Drought Stress Mitigation by Foliar Feeding of Potassium and Amino Acids in Wheat. J. Environ. Agric. Sci. 2019, 18, 10–18. [Google Scholar]
- Ahmad, A.; Aslam, Z.; Naz, M.; Hussain, S.; Javed, T.; Aslam, S.; Raza, A.; Ali, H.M.; Siddiqui, M.H.; Salem, M.Z. Exogenous salicylic acid-induced drought stress tolerance in wheat (Triticum aestivum L.) grown under hydroponic culture. PLoS ONE 2021, 16, e0260556. [Google Scholar] [CrossRef] [PubMed]
- Shemi, R.; Wang, R.; Gheith, E.-S.; Hussain, H.A.; Hussain, S.; Irfan, M.; Cholidah, L.; Zhang, K.; Zhang, S.; Wang, L. Effects of salicylic acid, zinc and glycine betaine on morpho-physiological growth and yield of maize under drought stress. Sci. Rep. 2021, 11, 3195. [Google Scholar] [CrossRef]
- Waraich, E.A.; Ahmad, R.; Ashraf, M.Y.; Saifullah; Ahmad, M. Improving agricultural water use efficiency by nutrient management in crop plants. Acta Agric. Scand. B Soil Plant Sci. 2011, 61, 291–304. [Google Scholar] [CrossRef]
- Malhotra, H.; Sharma, S.; Pandey, R. Phosphorus nutrition: Plant growth in response to deficiency and excess. In Plant Nutrients and Abiotic Stress Tolerance; Hasanuzzaman, M., Fujita, M., Oku, H., Nahar, K., Hawrylak-Nowak, B., Eds.; Springer: Singapore, 2018; Volume 1, pp. 171–190. [Google Scholar]
- He, J.; Jin, Y.; Turner, N.C.; Chen, Z.; Liu, H.-Y.; Wang, X.-L.; Siddique, K.H.; Li, F.-M. Phosphorus application increases root growth, improves daily water use during the reproductive stage, and increases grain yield in soybean subjected to water shortage. Environ. Exp. Bot. 2019, 166, 103816. [Google Scholar] [CrossRef]
- Zahoor, A.; Waraich, E.A.; Rehman, M.Z.U.; Ayub, M.A.; Usman, M.; Alharby, H.; Bamagoos, A.; Barutçular, C.; Raza, M.A.; Çiğ, F. Foliar application of phosphorus enhances photosynthesis and biochemical characteristics of maize under drought stress. Phyton 2021, 90, 503. [Google Scholar]
- Ghorbani, P.; Eshghi, S.; Ershadi, A.; Shekafandeh, A.; Razzaghi, F. The possible role of foliar application of manganese sulfate on mitigating adverse effects of water stress in grapevine. Commun. Soil Sci. Plant Anal. 2019, 50, 1550–1562. [Google Scholar] [CrossRef]
- Pavia, I.; Roque, J.; Rocha, L.; Ferreira, H.; Castro, C.; Carvalho, A.; Silva, E.; Brito, C.; Goncalves, A.; Lima-Brito, J. Zinc priming and foliar application enhances photoprotection mechanisms in drought-stressed wheat plants during anthesis. Plant Physiol. Biochem. 2019, 140, 27–42. [Google Scholar] [CrossRef]
- Gheshlaghi, M.Z.; Pasari, B.; Shams, K.; Rokhzadi, A.; Mohammadi, K. The effect of micronutrient foliar application on yield, seed quality and some biochemical traits of soybean cultivars under drought stress. J. Plant Nutr. 2019, 42, 2715–2730. [Google Scholar] [CrossRef]
- Ma, D.; Sun, D.; Wang, C.; Ding, H.; Qin, H.; Hou, J.; Huang, X.; Xie, Y.; Guo, T. Physiological responses and yield of wheat plants in zinc-mediated alleviation of drought stress. Front. Plant Sci. 2017, 8, 860. [Google Scholar] [CrossRef] [PubMed]
- Dimkpa, C.O.; Bindraban, P.S.; Fugice, J.; Agyin-Birikorang, S.; Singh, U.; Hellums, D. Composite micronutrient nanoparticles and salts decrease drought stress in soybean. Agron. Sustain. Dev. 2017, 37, 5. [Google Scholar] [CrossRef]
- Yildirim, E.; Turan, M.; Guvenc, I. Effect of foliar salicylic acid applications on growth, chlorophyll, and mineral content of cucumber grown under salt stress. J. Plant Nutr. 2008, 31, 593–612. [Google Scholar] [CrossRef]
- Syeed, S.; Anjum, N.A.; Nazar, R.; Iqbal, N.; Masood, A.; Khan, N.A. Salicylic acid-mediated changes in photosynthesis, nutrients content and antioxidant metabolism in two mustard (Brassica juncea L.) cultivars differing in salt tolerance. Acta Physiol. Plant. 2011, 33, 877–886. [Google Scholar] [CrossRef]
- Nazar, R.; Umar, S.; Khan, N.; Sareer, O. Salicylic acid supplementation improves photosynthesis and growth in mustard through changes in proline accumulation and ethylene formation under drought stress. S. Afr. J. Bot. 2015, 98, 84–94. [Google Scholar] [CrossRef]
- Henriques, F.S. Loss of blade photosynthetic area and of chloroplasts’ photochemical capacity account for reduced CO2 assimilation rates in zinc-deficient sugar beet leaves. J. Plant Physiol. 2001, 158, 915–919. [Google Scholar] [CrossRef]
- Sharma, A.; Patni, B.; Shankhdhar, D.; Shankhdhar, S. Zinc–an indispensable micronutrient. Physiol. Mol. Biol. Plants 2013, 19, 11–20. [Google Scholar] [CrossRef]
- Ishfaq, M.; Kiran, A.; ur Rehman, H.; Farooq, M.; Ijaz, N.H.; Nadeem, F.; Azeem, I.; Li, X.; Wakeel, A. Foliar nutrition: Potential and challenges under multifaceted agriculture. Environ. Exp. Bot. 2022, 200, 104909. [Google Scholar] [CrossRef]
- Allen, R.G.; Pereira, L.S.; Raes, D.; Smith, M. Crop Evapotranspiration. Guidelines for Computing Crop Water Requirements; Irrigation and Drainage Paper No. 56; FAO: Rome, Italy, 1998; 300p. [Google Scholar]
- El-Hendawy, S.; Alsamin, B.; Mohammed, N.; Al-Suhaibani, N.; Refay, Y.; Alotaibi, M.; Tola, E.; Mattar, M.A. Combining planting patterns with mulching bolsters the soil water content, growth, yield, and water use efficiency of spring wheat under limited water supply in arid regions. Agronomy 2022, 12, 1298. [Google Scholar] [CrossRef]
- Weatherley, P. Studies in the water relations of the cotton plant. I. The field measurement of water deficits in leaves. New Phytol. 1950, 49, 81–97. [Google Scholar] [CrossRef]
- Arnon, D.I. Copper enzymes in isolated chloroplasts. Polyphenoloxidase in Beta vulgaris. Plant Physiol. 1949, 24, 1–15. [Google Scholar] [CrossRef]
- Lichtenthaler, H.K. Chlorophylls and carotenoids: Pigments of photosynthetic biomembranes. Methods Enzymol. 1987, 148, 350–382. [Google Scholar]
- Howell, T.; Cuenca, H.; Solomon, K. Crop Yield response. In Management of Farm Irrigation Systems; American Society of Agricultural Engineers: St. Joseph, MO, USA, 1990. [Google Scholar]





| Sources | df | PH | TN | GLN | LAI | SFW | SDW |
| First season | |||||||
| IR | 1 | 950.50 ** | 2231.40 ** | 4550.53 ** | 1878.46 ** | 3272.48 ** | 1157.69 ** |
| T | 6 | 3.46 * | 2.50 ns | 16.17 ** | 59.30 ** | 14.26 ** | 23.44 ** |
| IR × T | 6 | 1.25 ns | 1.05 ns | 3.88 ** | 13.08 ** | 4.05 ** | 3.35 * |
| Second season | |||||||
| IR | 1 | 76.47 * | 20.48 * | 210.28 ** | 942.13 ** | 507.28 ** | 284.07 ** |
| T | 6 | 0.65 ns | 1.54 ns | 42.37 ** | 41.69 ** | 14.51 ** | 17.39 ** |
| IR × T | 6 | 0.43 ns | 0.44 ns | 14.34 ** | 9.53 ** | 3.90 ** | 3.2 * |
| Combined two seasons | |||||||
| Season (S) | 1 | 4.24 ns | 9.86 ns | 17.55 ns | 16.16 ns | 0.01 ns | 225.89 ** |
| IR | 1 | 296.25 ** | 185.57 ** | 1196.65 ** | 2688.63 ** | 1515.43 ** | 846.36 ** |
| IR × S | 1 | 0.20 ns | 22.51 ** | 49.05 ** | 40.73 ** | 15.70 * | 3.18 ns |
| T | 6 | 1.29 ns | 3.10 * | 42.90 ** | 96.69 ** | 27.85 ** | 39.44 ** |
| T × S | 6 | 1.04 ns | 0.60 ns | 0.83 ns | 0.26 ns | 0.90 ns | 0.61 ns |
| T × IR | 6 | 0.38 ns | 1.30 ns | 10.87 ** | 19.52 ** | 7.38 ** | 6.06 ** |
| T × IR × S | 6 | 0.78 ns | 0.33 ns | 1.40 ns | 2.27 ns | 0.58 ns | 0.50 ns |
| T | S1 | S2 | Comb. | S1 | S2 | Comb. | S1 | S2 | Comb. |
| PH (cm plant−1) | TN | GLN | |||||||
| T1 | 74.56 c | 72.83 ns | 73.69 ns | 3.72 ns | 3.33 ns | 3.53 b | 4.17 e | 3.56 d | 3.86 d |
| T2 | 74.42 c | 74.33 ns | 74.38 ns | 4.28 ns | 3.72 ns | 4.00 a | 4.34 de | 3.89 c | 4.11 d |
| T3 | 74.02 c | 73.33 ns | 73.67 ns | 4.39 ns | 3.89 ns | 4.14 a | 4.28 e | 3.78 cd | 4.03 d |
| T4 | 77.17 a | 74.06 ns | 75.61 ns | 4.50 ns | 3.72 ns | 4.11 a | 5.92 a | 5.00 a | 5.46 a |
| T5 | 76.72 ab | 74.55 ns | 75.64 ns | 4.06 ns | 3.83 ns | 3.95 a | 4.78 cd | 4.33 b | 4.55 c |
| T6 | 74.86 bc | 74.22 ns | 74.54 ns | 4.33 ns | 3.67 ns | 4.00 a | 4.84 c | 4.28 b | 4.56 c |
| T7 | 74.67 c | 76.39 ns | 75.53 ns | 4.33 ns | 3.78 ns | 4.06 a | 5.39 b | 4.89 a | 5.14 b |
| FL | 80.16 a | 78.95 a | 79.55 a | 4.87 a | 4.02 a | 4.45 a | 6.33 a | 5.25 a | 5.79 a |
| LI | 70.24 b | 69.54 b | 69.89 b | 3.59 b | 3.40 b | 3.49 b | 3.29 b | 3.24 b | 3.27 b |
| LAI | SFW (g plant−1) | SDW (g plant−1) | |||||||
| T1 | 1.44 f | 1.27 e | 1.35 f | 13.34 d | 13.38 e | 13.36 d | 6.55 e | 6.00 d | 6.27 e |
| T2 | 1.56 e | 1.43 d | 1.49 e | 13.85 d | 14.24 de | 14.04 c | 6.87 de | 6.46 c | 6.67 d |
| T3 | 1.57 e | 1.44 d | 1.50 e | 14.24 cd | 14.74 cd | 14.49 c | 7.23 cd | 6.66 c | 6.95 c |
| T4 | 2.14 a | 2.01 a | 2.07 a | 16.70 a | 16.97 a | 16.83 a | 8.26 a | 7.76 a | 8.01 a |
| T5 | 1.68 d | 1.50 d | 1.59 d | 15.00 bc | 14.22 de | 14.61 c | 7.37 bc | 6.50 c | 6.93 cd |
| T6 | 1.77 c | 1.62 c | 1.69 c | 15.43 b | 15.62 bc | 15.52 b | 7.64 b | 7.13 b | 7.38 b |
| T7 | 1.86 b | 1.76 b | 1.81 b | 16.60 a | 16.22 ab | 16.41 a | 8.12 a | 7.41 ab | 7.76 a |
| FL | 2.30 a | 2.03 a | 2.16 a | 17.96 a | 18.65 a | 18.30 a | 8.71 a | 8.30 a | 8.51 a |
| LI | 1.13 b | 1.12 b | 1.13 b | 12.09 b | 11.46 b | 11.77 b | 6.15 b | 5.40 b | 5.77 b |
| Sources | df | RWC | Ch a | Ch b | Ch t |
| First season | |||||
| IR | 1 | 1608.41 ** | 5150.56 ** | 265.56 ** | 1848.98 ** |
| T | 6 | 9.65 ** | 16.93 ** | 4.25 ** | 11.45 ** |
| IR × T | 6 | 2.61 * | 3.96 ** | 0.92 ns | 2.38 * |
| Second season | |||||
| IR | 1 | 687.35 ** | 509.47 ** | 365.75 ** | 464.09 ** |
| T | 6 | 11.93 ** | 60.55 ** | 21.32 ** | 62.50 ** |
| IR × T | 6 | 6.86 ** | 11.63 ** | 2.74 * | 10.02 ** |
| Combined two seasons | |||||
| Season (S) | 1 | 614.80 ** | 177.96 ** | 65.91 * | 486.06 ** |
| IR | 1 | 1797.19 ** | 1436.15 ** | 619.84 ** | 1147.65 ** |
| IR × S | 1 | 11.87 * | 37.54 ** | 53.22 ** | 49.85 ** |
| T | 6 | 20.02 ** | 68.60 ** | 24.41 ** | 60.92 ** |
| T × S | 6 | 0.83 ns | 6.40 ** | 7.27 ** | 8.56 ** |
| T × IR | 6 | 7.60 ** | 12.53 ** | 3.09 * | 9.15 ** |
| T × IR × S | 6 | 0.49 ns | 2.62 * | 1.22 ns | 2.58 ns |
| T | S1 | S2 | Comb | S1 | S2 | Comb | S1 | S2 | Comb | S1 | S2 | Comb |
|---|---|---|---|---|---|---|---|---|---|---|---|---|
| RWC (%) | Cha (mg g−1 FW) | Chlb (mg g−1 FW) | Cht (mg g−1 FW) | |||||||||
| T1 | 63.85 e | 71.29 d | 67.57 e | 1.34 e | 1.36 e | 1.35 e | 0.69 c | 0.73 c | 0.71 d | 2.05 e | 2.13 e | 2.09 e |
| T2 | 67.24 d | 73.94 c | 70.59 d | 1.44 de | 1.51 d | 1.48 de | 0.75 bc | 0.83 c | 0.79 cd | 2.21 de | 2.38 d | 2.30 de |
| T3 | 68.20 cd | 75.44 bc | 71.82 cd | 1.52 d | 1.69 c | 1.60 cd | 0.76 bc | 0.96 b | 0.86 bcd | 2.30 cd | 2.66 c | 2.48 cd |
| T4 | 73.75 a | 79.78 a | 76.76 a | 1.81 a | 2.19 a | 2.00 a | 0.87 a | 1.26 a | 1.06 a | 2.71 a | 3.48 a | 3.10 a |
| T5 | 67.83 cd | 75.81 bc | 71.82 cd | 1.56 cd | 1.91 b | 1.74 bc | 0.78 b | 1.04 b | 0.91 bc | 2.36 cd | 2.98 b | 2.67 c |
| T6 | 71.57 ab | 76.42 b | 74.00 b | 1.66 bc | 1.90 b | 1.78 b | 0.78 b | 1.03 b | 0.90 bc | 2.47 bc | 2.96 b | 2.71 bc |
| T7 | 70.34 bc | 75.59 bc | 72.96 bc | 1.77 ab | 2.11 a | 1.94 a | 0.81 ab | 1.19 a | 1.00 ab | 2.61 ab | 3.34 a | 2.98 ab |
| FL | 77.32 a | 85.30 a | 81.31 a | 1.94 a | 2.30 a | 2.12 a | 0.94 a | 1.30 a | 1.12 a | 2.90 a | 3.64 a | 3.27 a |
| LI | 60.62 b | 65.64 b | 63.13 b | 1.23 b | 1.32 b | 1.28 b | 0.61 b | 0.71 b | 0.66 b | 1.87 b | 2.05 b | 1.96 b |
| Sources | df | SL | GWS | NGPS | TGW | GY | BY | HI | IWUE |
| First season | |||||||||
| IR | 1 | 941.71 ** | 990.33 ** | 695.44 ** | 745.57 ** | 4143.05 ** | 300.84 ** | 228.37 ** | 289.67 ** |
| T | 6 | 0.66 ns | 19.95 ** | 8.80 ** | 21.45 ** | 30.51 ** | 14.48 ** | 12.03 ** | 34.19 ** |
| IR × T | 6 | 0.30 ns | 4.82 ** | 4.20 ** | 9.15 ** | 4.17 ** | 2.00 ns | 7.36 ** | 6.52 ** |
| Second season | |||||||||
| IR | 1 | 210.99 ** | 1743.81 ** | 882.81 ** | 348.83 ** | 866.24 ** | 905.52 ** | 1303.84 ** | 136.20 ** |
| T | 6 | 0.35 ns | 10.34 ** | 3.07 * | 7.58 ** | 18.61 ** | 15.65 ** | 6.46 ** | 27.85 ** |
| IR × T | 6 | 0.67 ns | 1.20 ns | 1.03 ns | 2.54 * | 2.72 * | 2.41 * | 2.39 * | 6.27 ** |
| Combined two seasons | |||||||||
| Season (S) | 1 | 0.19 ns | 718.11 ** | 80.67* | 15.82 ns | 1.20 ns | 15.16 ns | 664.43 ** | 1.90 ns |
| IR | 1 | 588.94 ** | 2574.20 ** | 1556.89 ** | 912.13 ** | 2875.86 ** | 905.91 ** | 765.10 ** | 355.59 ** |
| IR × S | 1 | 8.88 ns | 3.33 ns | 0.01 ns | 2.67 ns | 0.02 ns | 0.01 ns | 0.10 ns | 1.05 ns |
| T | 6 | 0.67 ns | 26.84 ** | 9.01 ** | 22.14 ** | 47.00 ** | 29.14 ** | 15.82 ** | 61.28 ** |
| T × S | 6 | 0.20 ns | 0.39 ns | 0.46 ns | 0.97 ns | 0.57 ns | 1.04 ns | 4.02 ** | 0.75 ns |
| T × IR | 6 | 0.54 ns | 4.24 ** | 3.25 ** | 7.58 ** | 6.63 ** | 3.28 ** | 7.84 ** | 12.32 ** |
| T × IR × S | 6 | 0.48 ns | 0.55 ns | 0.66 ns | 1.28 ns | 0.34 ns | 1.14 ns | 3.10* | 0.47 ns |
| T | S1 | S2 | Comb | S1 | S2 | Comb | S1 | S2 | Comb | S1 | S2 | Comb |
| SL (cm) | GWS (g) | GNPS | TGW (g) | |||||||||
| T1 | 8.17 ns | 8.27 ns | 8.22 ns | 1.32 f | 1.39 e | 1.35 e | 40.0 d | 41.3 d | 40.65 d | 31.9 e | 32.60 c | 32.26 d |
| T2 | 8.29 ns | 8.24 ns | 8.27 ns | 1.37 ef | 1.51 de | 1.44 d | 40.3 d | 42.1 cd | 41.20 d | 33.3 d | 35.27 b | 34.29 c |
| T3 | 8.29 ns | 8.27 ns | 8.28 ns | 1.43 de | 1.58 cd | 1.51 cd | 40.0 d | 44.1 abc | 42.07 d | 35.5 c | 35.49 b | 35.49 b |
| T4 | 8.62 ns | 8.46 ns | 8.54 ns | 1.72 a | 1.81 a | 1.76 a | 45.7 a | 46.95 a | 46.32 a | 37.3 a | 38.23 a | 37.77 a |
| T5 | 8.27 ns | 8.09 ns | 8.18 ns | 1.50 cd | 1.56 cd | 1.53 c | 41.2 cd | 43.5 bcd | 42.34 cd | 36.0 bc | 35.48 b | 35.74 b |
| T6 | 8.38 ns | 8.32 ns | 8.35 ns | 1.55 bc | 1.68 bc | 1.61 b | 43.1 bc | 45.4 abc | 44.24 bc | 35.7 c | 36.5 ab | 36.12 b |
| T7 | 8.27 ns | 8.41 ns | 8.34 ns | 1.64 ab | 1.75 ab | 1.69 a | 43.8 ab | 45.8 ab | 44.8 ab | 37.0 ab | 37.60 a | 37.31 a |
| FL | 8.97 a | 9.12 a | 9.04 a | 1.86 a | 1.99 a | 1.93 a | 48.59 a | 50.76 a | 49.67 a | 38.3 a | 39.25 a | 38.76 a |
| LI | 7.68 b | 7.47 b | 7.59 b | 1.15 b | 1.23 b | 1.19 b | 35.44 b | 37.55 b | 36.50 b | 32.2 b | 32.52 b | 32.38 b |
| GY (ton ha−1) | BY (ton ha−1) | HI (%) | IWUE (kg ha−1 mm−1) | |||||||||
| T1 | 4.33 e | 4.54 e | 4.44 e | 13.24 c | 13.68 c | 13.46 d | 31.68 c | 32.29 b | 31.99 c | 8.83 e | 9.24 d | 9.03 e |
| T2 | 4.89 d | 5.11 d | 5.00 d | 13.77 c | 15.57 b | 14.67 c | 34.88 b | 32.31 b | 33.59 b | 10.23 d | 10.82 c | 10.52 d |
| T3 | 4.97 d | 5.19 d | 5.08 d | 14.07 c | 15.61 b | 14.84 c | 34.91 b | 32.83 b | 33.87 b | 10.63 d | 11.07 c | 10.85 d |
| T4 | 6.12 a | 6.21 a | 6.17 a | 16.50 a | 17.64 a | 17.07 a | 36.72 a | 34.81 a | 35.76 a | 13.00 a | 13.24 a | 13.12 a |
| T5 | 5.40 c | 5.31 cd | 5.36 c | 15.25 b | 15.88 b | 15.57 b | 34.95 b | 33.02 b | 33.99 b | 11.41 c | 11.29 c | 11.35 c |
| T6 | 5.71 bc | 5.65 bc | 5.68 b | 16.23 ab | 17.21 a | 16.72 a | 34.84 b | 32.40 b | 33.62 b | 12.18 b | 11.99 b | 12.09 b |
| T7 | 5.82 ab | 5.91 ab | 5.87 b | 15.98 ab | 17.53 a | 17.75 a | 35.58 ab | 32.98 b | 34.28 b | 12.0 bc | 12.27 b | 12.15 b |
| FL | 6.74 a | 6.83 a | 6.79 a | 17.65 a | 18.82 a | 18.24 a | 38.19 a | 36.27 a | 37.23 a | 10.37 b | 10.51 b | 10.44 b |
| LI | 3.90 b | 4.00 b | 3.95 b | 12.36 b | 13.50 b | 12.93 b | 31.39 b | 29.63 b | 30.51 b | 11.99 a | 12.32 a | 12.16 a |
| P | 1 | 2 | 3 | 4 | 5 | 6 | 7 | 8 | 9 | 10 | 11 | 12 | 13 | 14 | 15 | 16 |
|---|---|---|---|---|---|---|---|---|---|---|---|---|---|---|---|---|
| PH (1) | −0.16 | 0.50 | 0.49 | 0.33 | 0.36 | 0.47 | 0.29 | −0.34 | 0.45 | 0.52 | 0.29 | 0.44 | 0.47 | 0.16 | 0.44 | |
| TN (2) | 0.70 | 0.15 | 0.21 | 0.21 | 0.21 | 0.14 | 0.27 | −0.13 | 0.07 | −0.10 | 0.31 | 0.22 | 0.16 | 0.43 | 0.22 | |
| GLN (3) | 0.79 | 0.68 | 0.97 | 0.98 | 0.98 | 0.86 | 0.93 | 0.13 | 0.99 | 0.95 | 0.93 | 0.98 | 0.96 | 0.81 | 0.98 | |
| LAI (4) | 0.62 | 0.74 | 0.93 | 0.95 | 0.97 | 0.89 | 0.92 | 0.25 | 0.97 | 0.91 | 0.94 | 0.99 | 0.97 | 0.79 | 0.99 | |
| SFW (5) | 0.67 | 0.87 | 0.90 | 0.97 | 0.99 | 0.87 | 0.93 | 0.18 | 0.97 | 0.93 | 0.92 | 0.98 | 0.95 | 0.81 | 0.98 | |
| SDW (6) | 0.69 | 0.91 | 0.84 | 0.94 | 0.98 | 0.89 | 0.95 | 0.27 | 0.99 | 0.94 | 0.94 | 0.99 | 0.97 | 0.80 | 0.99 | |
| RWC (7) | 0.63 | 0.84 | 0.88 | 0.98 | 0.98 | 0.98 | 0.75 | 0.29 | 0.87 | 0.91 | 0.72 | 0.91 | 0.96 | 0.47 | 0.91 | |
| Cht (8) | 0.90 | 0.91 | 0.83 | 0.76 | 0.85 | 0.85 | 0.81 | 0.33 | 0.95 | 0.85 | 0.98 | 0.94 | 0.89 | 0.89 | 0.94 | |
| SL (9) | 0.70 | 0.44 | 0.74 | 0.74 | 0.67 | 0.70 | 0.71 | 0.56 | 0.27 | 0.25 | 0.28 | 0.26 | 0.30 | 0.06 | 0.26 | |
| GWS (10) | 0.74 | 0.92 | 0.85 | 0.92 | 0.97 | 0.99 | 0.97 | 0.89 | 0.72 | 0.97 | 0.93 | 0.98 | 0.97 | 0.77 | 0.98 | |
| NGPS (11) | 0.55 | 0.75 | 0.84 | 0.98 | 0.95 | 0.95 | 0.98 | 0.70 | 0.77 | 0.93 | 0.80 | 0.94 | 0.96 | 0.60 | 0.94 | |
| TGW (12) | 0.81 | 0.97 | 0.73 | 0.75 | 0.86 | 0.91 | 0.85 | 0.95 | 0.58 | 0.94 | 0.75 | 0.93 | 0.87 | 0.93 | 0.93 | |
| GY (13) | 0.77 | 0.93 | 0.85 | 0.88 | 0.94 | 0.95 | 0.94 | 0.94 | 0.63 | 0.97 | 0.87 | 0.95 | 0.99 | 0.78 | 0.99 | |
| BY (14) | 0.72 | 0.96 | 0.73 | 0.80 | 0.88 | 0.92 | 0.88 | 0.91 | 0.55 | 0.95 | 0.82 | 0.95 | 0.97 | 0.67 | 0.99 | |
| HI (15) | 0.75 | 0.79 | 0.91 | 0.88 | 0.90 | 0.89 | 0.92 | 0.89 | 0.67 | 0.91 | 0.83 | 0.86 | 0.93 | 0.83 | 0.78 | |
| IWUE (16) | 0.77 | 0.93 | 0.85 | 0.88 | 0.94 | 0.95 | 0.94 | 0.94 | 0.63 | 0.97 | 0.87 | 0.95 | 0.99 | 0.97 | 0.93 |
| Months | Minimum Temperature (°C) | Maximum Temperature (°C) | Relative Humidity (%) | Precipitation (mm) | ||||
|---|---|---|---|---|---|---|---|---|
| S1 | S2 | S1 | S2 | S1 | S2 | S1 | S2 | |
| December | 9.79 | 13.23 | 23.03 | 23.85 | 48.19 | 37.15 | 2.27 | 2.08 |
| January | 8.29 | 13.68 | 22.37 | 21.52 | 41.63 | 45.54 | 7.31 | 33.20 |
| February | 10.02 | 15.83 | 24.15 | 24.74 | 40.26 | 31.59 | 2.94 | 0.00 |
| March | 15.02 | 16.99 | 32.38 | 30.60 | 20.10 | 20.91 | 0.00 | 1.17 |
| April | 19.95 | 15.93 | 35.52 | 36.55 | 16.65 | 18.80 | 3.44 | 0.00 |
Disclaimer/Publisher’s Note: The statements, opinions and data contained in all publications are solely those of the individual author(s) and contributor(s) and not of MDPI and/or the editor(s). MDPI and/or the editor(s) disclaim responsibility for any injury to people or property resulting from any ideas, methods, instructions or products referred to in the content. |
© 2023 by the authors. Licensee MDPI, Basel, Switzerland. This article is an open access article distributed under the terms and conditions of the Creative Commons Attribution (CC BY) license (https://creativecommons.org/licenses/by/4.0/).
Share and Cite
Alotaibi, M.; El-Hendawy, S.; Mohammed, N.; Alsamin, B.; Refay, Y. Appropriate Application Methods for Salicylic Acid and Plant Nutrients Combinations to Promote Morpho-Physiological Traits, Production, and Water Use Efficiency of Wheat under Normal and Deficit Irrigation in an Arid Climate. Plants 2023, 12, 1368. https://doi.org/10.3390/plants12061368
Alotaibi M, El-Hendawy S, Mohammed N, Alsamin B, Refay Y. Appropriate Application Methods for Salicylic Acid and Plant Nutrients Combinations to Promote Morpho-Physiological Traits, Production, and Water Use Efficiency of Wheat under Normal and Deficit Irrigation in an Arid Climate. Plants. 2023; 12(6):1368. https://doi.org/10.3390/plants12061368
Chicago/Turabian StyleAlotaibi, Majed, Salah El-Hendawy, Nabil Mohammed, Bazel Alsamin, and Yahya Refay. 2023. "Appropriate Application Methods for Salicylic Acid and Plant Nutrients Combinations to Promote Morpho-Physiological Traits, Production, and Water Use Efficiency of Wheat under Normal and Deficit Irrigation in an Arid Climate" Plants 12, no. 6: 1368. https://doi.org/10.3390/plants12061368
APA StyleAlotaibi, M., El-Hendawy, S., Mohammed, N., Alsamin, B., & Refay, Y. (2023). Appropriate Application Methods for Salicylic Acid and Plant Nutrients Combinations to Promote Morpho-Physiological Traits, Production, and Water Use Efficiency of Wheat under Normal and Deficit Irrigation in an Arid Climate. Plants, 12(6), 1368. https://doi.org/10.3390/plants12061368

