Differential and Cultivar-Dependent Antioxidant Response of Whole and Fresh-Cut Carrots of Different Root Colors to Postharvest UV-C Radiation
Abstract
1. Introduction
2. Results
2.1. Effect of UV-C Radiation on Carrot Antioxidant Capacity and Concentration of Total Phenolics, Hydroxycinnamic Acids, and Anthocyanins
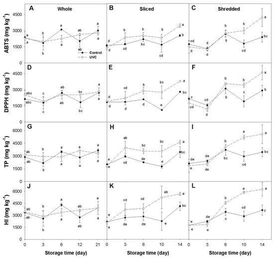
2.1.1. Orange Carrot (cv. Maestro)
2.1.2. Yellow Carrot (cv. Uzbek Golden)
2.1.3. Purple Carrot (cv. Purplesnax)
2.1.4. Purple Carrot (INTA44)
2.2. Dissecting the Effects of Fresh-Cut Processing and Cold Storage
2.3. Effect of UV-C Radiation on the Concentration of Chlorogenic Acid and Cyanidin Glycosides
2.4. Quality Parameters
3. Discussion
3.1. Effect of the UV-C Radiation
3.2. Effect of the Fresh Cut Processing and Cold Storage
3.3. Quality Parameters
4. Material and Methods
4.1. Plant Material, Cultivation Conditions, and Fresh Cut Processing
4.2. UV-C Treatment, Storage Conditions, and Sampling
4.3. Quality Parameters
4.3.1. Weight Loss
4.3.2. Visual Browning Index
4.3.3. Superficial Color
4.4. Determination of Total Phenolics (TP) Content
4.5. Hydroxycinnamic Index (HI)
4.6. Total Anthocyanin Content
4.7. Chlorogenic Acid Determinations by HPLC Analysis
4.8. Anthocyanin HPLC Analysis
4.9. Antioxidant Capacity
4.10. Statistical Analysis
5. Conclusions
Supplementary Materials
Author Contributions
Funding
Data Availability Statement
Conflicts of Interest
References
- Ansah, F.A.; Amodio, M.L.; Colelli, G. Quality of fresh-cut products as affected by harvest and postharvest operations. J. Sci. Food Agric. 2018, 98, 3614–3626. [Google Scholar] [CrossRef] [PubMed]
- Condurso, C.; Cincotta, F.; Tripodi, G.; Merlino, M.; Giarratana, F.; Verzera, A. A new approach for the shelf-life definition of minimally processed carrots. Postharvest Biol. Technol. 2020, 163, 111138. [Google Scholar] [CrossRef]
- del Aguila, J.S.; Sasaki, F.F.; Heiffig, L.S.; Ortega, E.M.M.; Jacomino, A.P.; Kluge, R.A. Fresh-cut radish using different cut types and storage temperatures. Postharvest Biol. Technol. 2006, 40, 149–154. [Google Scholar] [CrossRef]
- Darré, M.; Vicente, A.R.; Cisneros-Zevallos, L.; Artés-Hernández, F. Postharvest ultraviolet radiation in fruit and vegetables: Applications and factors modulating its efficacy on bioactive compounds and microbial growth. Foods 2022, 11, 653. [Google Scholar] [CrossRef]
- Simon, P.W.; Geoffriau, E.; Ellison, S.; Iorizzo, M. Carrot carotenoid genetics and genomics. In The Carrot Genome. Compendium of Plant Genomes; Simon, P., Iorizzo, M., Grzebelus, D., Baranski, R., Eds.; Springer: Cham, Switzerland, 2019; pp. 247–260. [Google Scholar]
- Sun, T.; Simon, P.W.; Tanumihardjo, S.A. Antioxidant phytochemicals and antioxidant capacity of biofortified carrots (Daucus carota L.) of various colors. J. Agric. Food Chem. 2009, 57, 4142–4147. [Google Scholar] [CrossRef]
- Alasalvar, C.; Grigor, J.M.; Zhang, D.; Quantick, P.C.; Shahidi, F. Comparison of Volatiles, Phenolics, Sugars, Antioxidant Vitamins, and Sensory Quality of Different Colored Carrot Varieties. J. Agric. Food Chem. 2001, 49, 1410–1416. [Google Scholar] [CrossRef]
- Kramer, M.; Maksylewicz-Kau, A.; Baranski, R.; Nothnagel, T.; Carle, R.; Kammerer, D.R. Effects of cultivation year and growing location on the phenolic profile of differently coloured carrot cultivars. J. Appl. Bot. Food Qual. 2013, 85, 235. [Google Scholar]
- Leja, M.; Kamińska, I.; Kramer, M.; Maksylewicz-Kaul, A.; Kammerer, D.; Carle, R.; Baranski, R. The content of phenolic compounds and radical scavenging activity varies with carrot origin and root color. Plant Foods Hum. Nutr. 2013, 68, 163–170. [Google Scholar] [CrossRef] [PubMed]
- Cavagnaro, P.F. Genetics and genomics of carrot sugars and polyacetylenes. In The Carrot Genome. Compendium of Plant Genomes; Simon, P., Iorizzo, M., Grzebelus, D., Baranski, R., Eds.; Springer: Cham, Switzerland, 2019; pp. 295–315. [Google Scholar]
- Ibdah, M.; Muchlinski, A.; Yahyaa, M.; Nawade, B.; Tholl, D. Carrot volatile terpene metabolism: Terpene diversity and biosynthetic genes. In The Carrot Genome. Compendium of Plant Genomes; Simon, P., Iorizzo, M., Grzebelus, D., Baranski, R., Eds.; Springer: Cham, Switzerland, 2019; pp. 279–293. [Google Scholar]
- Číž, M.; Čížová, H.; Denev, P.; Kratchanova, M.; Slavov, A.; Lojek, A. Different methods for control and comparison of the antioxidant properties of vegetables. Food Control. 2010, 21, 518–523. [Google Scholar] [CrossRef]
- Becerra-Moreno, A.; Redondo-Gil, M.; Benavides, J.; Nair, V.; Cisneros-Zevallos, L.; Jacobo-Velázquez, D.A. Combined effect of water loss and wounding stress on gene activation of metabolic pathways associated with phenolic biosynthesis in carrot. Front. Plant Sci. 2015, 6, 837. [Google Scholar] [CrossRef]
- Han, C.; Li, J.; Jin, P.; Li, X.; Wang, L.; Zheng, Y. The effect of temperature on phenolic content in wounded carrots. Food Chem. 2017, 215, 116–123. [Google Scholar] [CrossRef]
- Reyes, L.F.; Villarreal, J.E.; Cisneros-Zevallos, L. The increase in antioxidant capacity after wounding depends on the type of fruit or vegetable tissue. Food Chem. 2007, 101, 1254–1262. [Google Scholar] [CrossRef]
- Surjadinata, B.B.; Cisneros-Zevallos, L. Biosynthesis of phenolic antioxidants in carrot tissue increases with wounding intensity. Food Chem. 2012, 134, 615–624. [Google Scholar] [CrossRef] [PubMed]
- Formica-Oliveira, A.C.; Martínez-Hernández, G.B.; Aguayo, E.; Gómez, P.A.; Artés, F.; Artés-Hernández, F. UV-C and hyperoxia abiotic stresses to improve healthiness of carrots: Study of combined effects. J. Food Sci. Technol. 2016, 53, 3465–3476. [Google Scholar] [CrossRef] [PubMed]
- Formica-Oliveira, A.C.; Martínez-Hernández, G.B.; Díaz-López, V.; Artés, F.; Artés-Hernández, F. Effects of UV-B and UV-C combination on phenolic compounds biosynthesis in fresh-cut carrots. Postharvest Biol.Technol. 2017, 127, 99–104. [Google Scholar] [CrossRef]
- Surjadinata, B.B.; Jacobo-Velázquez, D.A.; Cisneros-Zevallos, L. UVA, UVB and UVC light enhances the biosynthesis of phenolic antioxidants in fresh-cut carrot through a synergistic effect with wounding. Molecules 2017, 22, 668. [Google Scholar] [CrossRef]
- Alegria, C.; Pinheiro, J.; Duthoit, M.; Gonçalves, E.M.; Moldão-Martins, M.; Abreu, M. Fresh-cut carrot (cv. Nantes) quality as affected by abiotic stress (heat shock and UV-C irradiation) pre-treatments. LWT-Food Sci.Technol. 2012, 48, 197–203. [Google Scholar] [CrossRef]
- Kovacs, E.; Keresztes, A. Effect of gamma and UV-B/C radiation on plant cells. Micron 2002, 33, 199–210. [Google Scholar] [CrossRef]
- Civello, P.M.; Vicente, A.R.; Martínez, G.A. UV-C technology to control postharvest diseases of fruits and vegetables. In Recent Advances in Alternative Postharvest Technologies to Control Fungal Diseases in Fruits and Vegetables; Troncoso-Rojas, R., Tiznado-Hernández, M.E., González-León, A., Eds.; Transworld Research Network: Thiruvananthapuram, India, 2006; pp. 71–102. [Google Scholar]
- Cavagnaro, P.F.; Iorizzo, M. Carrot anthocyanin diversity, genetics, and genomics. In The Carrot Genome. Compendium of Plant Genomes; Simon, P., Iorizzo, M., Grzebelus, D., Baranski, R., Eds.; Springer: Cham, Switzerland, 2019; pp. 261–277. [Google Scholar]
- Prusky, D. Reduction of the incidence of postharvest quality losses, and future prospects. Food Secur. 2011, 3, 463–474. [Google Scholar] [CrossRef]
- Mercier, J.; Roussel, D.; Charles, M.-T.; Arul, J. Systemic and local responses associated with UV-and pathogen-induced resistance to Botrytis cinerea in stored carrot. Phytopathology 2000, 90, 981–986. [Google Scholar] [CrossRef] [PubMed]
- Li, L.; Li, C.; Sun, J.; Xin, M.; Yi, P.; He, X.; Sheng, J.; Zhou, Z.; Ling, D.; Zheng, F. Synergistic effects of ultraviolet light irradiation and high-oxygen modified atmosphere packaging on physiological quality, microbial growth and lignification metabolism of fresh-cut carrots. Postharvest Biol. Technol. 2021, 173, 111365. [Google Scholar] [CrossRef]
- Steyn, W.J.; Wand, S.; Holcroft, D.; Jacobs, G. Anthocyanins in vegetative tissues: A proposed unified function in photoprotection. New Phytol. 2002, 155, 349–361. [Google Scholar] [CrossRef] [PubMed]
- Bartley, G.E.; Avena-Bustillos, R.J.; Du, W.-X.; Hidalgo, M.; Cain, B.; Breksa, A.P., III. Transcriptional regulation of chlorogenic acid biosynthesis in carrot root slices exposed to UV-B light. Plant Gene 2016, 7, 1–10. [Google Scholar] [CrossRef]
- Iorizzo, M.; Ellison, S.; Senalik, D.; Zeng, P.; Satapoomin, P.; Huang, J.; Bowman, M.; Iovene, M.; Sanseverino, W.; Cavagnaro, P. A high-quality carrot genome assembly provides new insights into carotenoid accumulation and asterid genome evolution. Nat. Genet. 2016, 48, 657–666. [Google Scholar] [CrossRef]
- Bannoud, F.; Ellison, S.; Paolinelli, M.; Horejsi, T.; Senalik, D.; Fanzone, M.; Iorizzo, M.; Simon, P.W.; Cavagnaro, P.F. Dissecting the genetic control of root and leaf tissue-specific anthocyanin pigmentation in carrot (Daucus carota L.). Theor. Appl. Genet. 2019, 132, 2485–2507. [Google Scholar] [CrossRef] [PubMed]
- Bannoud, F.; Carvajal, S.; Ellison, S.; Senalik, D.; Gomez Talquenca, S.; Iorizzo, M.; Simon, P.W.; Cavagnaro, P.F. Genetic and transcription profile analysis of tissue-specific anthocyanin pigmentation in carrot root phloem. Genes 2021, 12, 1464. [Google Scholar] [CrossRef]
- Jacobo-Velázquez, D.A.; González-Agüero, M.; Cisneros-Zevallos, L. Cross-talk between signaling pathways: The link between plant secondary metabolite production and wounding stress response. Sci. Rep. 2015, 5, 1–10. [Google Scholar] [CrossRef]
- Alegria, C.; Gonçalves, E.M.; Moldão-Martins, M.; Cisneros-Zevallos, L.; Abreu, M. Peel removal improves quality without antioxidant loss, through wound-induced phenolic biosynthesis in shredded carrot. Postharvest Biol.Technol. 2016, 120, 232–239. [Google Scholar] [CrossRef]
- Alasalvar, C.; Al-Farsi, M.A.; Quantick, P.C.; Shahidi, F.; Wiktorowicz, R. Effect of chill storage and modified atmosphere packaging (MAP) on antioxidant activity, anthocyanins, carotenoids, phenolics and sensory quality of ready-to-eat shredded orange and purple carrots. Food Chem. 2005, 89, 69–76. [Google Scholar] [CrossRef]
- Saltveit, M.E. Wound induced changes in phenolic metabolism and tissue browning are altered by heat shock. Postharvest Biol. Technol. 2000, 21, 61–69. [Google Scholar] [CrossRef]
- Schneider, C.A.; Rasband, W.S.; Eliceiri, K.W. NIH Image to ImageJ: 25 years of image analysis. Nat. Methods 2012, 9, 671–675. [Google Scholar] [CrossRef]
- Singleton, V.L.; Rossi, J.A. Colorimetry of total phenolics with phosphomolybdic-phosphotungstic acid reagents. Am. J. Enol. Vitic. 1965, 16, 144–158. [Google Scholar]
- Verardo, V.; Gómez-Caravaca, A.M.; Marconi, E.; Caboni, M.F. Air classification of barley flours to produce phenolic enriched ingredients: Comparative study among MEKC-UV, RP-HPLC-DAD-MS and spectrophotometric determinations. LWT-Food Sci. Technol. 2011, 44, 1555–1561. [Google Scholar] [CrossRef]
- Giusti, M.M.; Wrolstad, R.E. Characterization and measurement of anthocyanins by UV-visible spectroscopy. Curr. Portoc. Food Anal. Chem. 2001, 00, F1.2.1–F1.2.13. [Google Scholar] [CrossRef]
- Soto, V.C.; Caselles, C.A.; Silva, M.F.; Galmarini, C.R. Onion hybrid seed production: Relation with nectar composition and flower traits. J. Econ. Entomol. 2018, 111, 1023–1029. [Google Scholar] [CrossRef] [PubMed]
- Perez, M.B.; Hamparsomian, M.J.D.P.; Gonzalez, R.E.; Denoya, G.I.; Dominguez, D.L.; Barboza, K.; Iorizzo, M.; Simon, P.W.; Vaudagna, S.R.; Cavagnaro, P.F. Physicochemical properties, degradation kinetics, and antioxidant capacity of aqueous anthocyanin-based extracts from purple carrots compared to synthetic and natural food colorants. Food Chem. 2022, 387, 132893. [Google Scholar] [CrossRef]
- Arnao, M.B.; Cano, A.; Acosta, M. The hydrophilic and lipophilic contribution to total antioxidant activity. Food Chem. 2001, 73, 239–244. [Google Scholar] [CrossRef]
- Brand-Williams, W.; Cuvelier, M.E.; Berset, C. Use of a free radical method to evaluate antioxidant activity. LWT-Food Sci. Technol. 1995, 28, 25–30. [Google Scholar] [CrossRef]
- Di Rienzo, J. InfoStat Versión 2009. Grupo InfoStat, FCA, Universidad Nacional de Córdoba, Argentina. Available online: http://www.infostat.com.ar (accessed on 9 November 2022).






| Maestro (Orange) | Uzbek Golden (Yellow) | Purplesnax (Purple) | INTA44 (Purple) | |||||||||||||||||
|---|---|---|---|---|---|---|---|---|---|---|---|---|---|---|---|---|---|---|---|---|
| ABTS | DPPH | TP | HI | CGA | ABTS | DPPH | TP | HI | CGA | ABTS | DPPH | TP | HI | CGA | ABTS | DPPH | TP | HI | CGA | |
| ABTS | - | 0.95 | 0.89 | 0.91 | 0.87 | - | 0.90 | 0.94 | 0.96 | 0.83 | - | 0.95 | 0.95 | 0.92 | 0.83 | - | 0.91 | 0.87 | 0.90 | 0.80 |
| DPPH | <0.0001 | - | 0.83 | 0.87 | 0.85 | <0.0001 | - | 0.89 | 0.97 | 0.94 | <0.0001 | - | 0.95 | 0.91 | 0.91 | <0.0001 | - | 0.89 | 0.89 | 0.82 |
| TP | <0.0001 | <0.0001 | - | 0.92 | 0.54 | <0.0001 | <0.0001 | - | 0.94 | 0.82 | <0.0001 | <0.0001 | - | 0.95 | 0.88 | <0.0001 | <0.0001 | - | 0.92 | 0.87 |
| HI | <0.0001 | <0.0001 | <0.0001 | - | 0.88 | <0.0001 | <0.0001 | <0.0001 | - | 0.92 | <0.0001 | <0.0001 | <0.0001 | - | 0.95 | <0.0001 | <0.0001 | <0.0001 | - | 0.84 |
| CGA | <0.0001 | 0.0006 | 0.0003 | 0.0021 | - | 0.0011 | <0.0001 | 0.002 | 0.0002 | - | 0.0048 | 0.0017 | 0.0040 | 0.0001 | - | 0.0079 | 0.0004 | 0.0017 | 0.0018 | - |
| Carrot Accession (Root Color) | Whole | Sliced | Shredded | ||||
|---|---|---|---|---|---|---|---|
| Control | UV-C | Control | UV-C | Control | UV-C | ||
| Maestro (orange) | Weight loss (%) | 1.0 ± 0.3 ns | 1.1 ± 0.2 ns | 1.8 ± 0.5 ns | 1.6 ± 0.2 ns | 1.9 ± 0.9 ns | 2.0 ± 02 ns |
| Visual browning index * | 1.0 ± 0.0 ns | 1.0 ± 0.0 ns | 1.3 ± 0.6 ns | 2.0 ± 0.0 ns | 1.3 ± 0.6 ns | 1.3 ± 0.6 ns | |
| ∆E § | 6.1 ± 0.9 ns | 4.3 ± 2.3 ns | 7.0 ± 4.6 ns | 5.4 ± 3.0 ns | 14.3 ± 3.0 ns | 9.1 ± 1.4 ns | |
| Uzbek Golden (yellow) | Weight loss (%) | 1.1 ± 0.21 ns | 1.5 ± 0.1 ns | 1.5 ± 0.2 b | 2.0 ± 0.2 a | 1.7 ± 0.03 b | 2.5 ± 0.1 a |
| Visual browning index | 1.9 ± 0.4 ns | 2.1 ± 1.1 ns | 1.7 ± 0.6 b | 3.7 ± 0.6 a | 2.7 ± 0.6 ns | 3.7 ± 0.6 ns | |
| ∆E | 16.7 ± 2.1 ns | 18.1 ± 1.6 ns | 15.2 ± 2.6 b | 23.9 ± 3.8 a | 18.6 ± 1.3 ns | 18.3 ± 2.4 ns | |
| Purplesnax (purple) | Weight loss (%) | 2.5 ± 0.2 ns | 2.7 ± 0.01 ns | 2.2 ± 1.3 ns | 2.8 ± 0.2 ns | 3.1 ± 1.2 ns | 2.6 ± 0.3 ns |
| Visual browning index | 1.0 ± 0.0 ns | 1.0 ± 0.5 ns | 2.0 ± 0.0 b | 3.0 ± 0.0 a | 2.0 ± 0.0 b | 3.0 ± 0.0 a | |
| ∆E | 4.7 ± 1.9 ns | 4.3 ± 1.6 ns | 3.4 ± 0.7 b | 5.3 ± 0.7 a | 8.3 ± 3.1 b | 15.4 ± 1.2 a | |
| INTA44 (purple) | Weight loss (%) | 1.7 ± 0.6 ns | 2.3 ± 0.7 ns | 1.1 ± 0.1 b | 1.8 ± 0.2 a | 2.7 ± 0.5 ns | 3.2 ± 0.3 ns |
| Visual browning index | 1.3 ± 0.5 ns | 1.4 ± 0.5 ns | 2.0 ± 0.0 b | 3.3 ± 0.6 a | 2.0 ± 0.0 b | 3.0 ± 0.0 a | |
| ∆E | 9.4 ± 2.4 ns | 10.7 ± 3.0 ns | 10.6 ± 3.1 ns | 5.9 ± 1.5 ns | 13.1 ± 1.5 a | 6.2 ± 2.2 b | |
Disclaimer/Publisher’s Note: The statements, opinions and data contained in all publications are solely those of the individual author(s) and contributor(s) and not of MDPI and/or the editor(s). MDPI and/or the editor(s) disclaim responsibility for any injury to people or property resulting from any ideas, methods, instructions or products referred to in the content. |
© 2023 by the authors. Licensee MDPI, Basel, Switzerland. This article is an open access article distributed under the terms and conditions of the Creative Commons Attribution (CC BY) license (https://creativecommons.org/licenses/by/4.0/).
Share and Cite
Valerga, L.; González, R.E.; Pérez, M.B.; Concellón, A.; Cavagnaro, P.F. Differential and Cultivar-Dependent Antioxidant Response of Whole and Fresh-Cut Carrots of Different Root Colors to Postharvest UV-C Radiation. Plants 2023, 12, 1297. https://doi.org/10.3390/plants12061297
Valerga L, González RE, Pérez MB, Concellón A, Cavagnaro PF. Differential and Cultivar-Dependent Antioxidant Response of Whole and Fresh-Cut Carrots of Different Root Colors to Postharvest UV-C Radiation. Plants. 2023; 12(6):1297. https://doi.org/10.3390/plants12061297
Chicago/Turabian StyleValerga, Lucia, Roxana E. González, María B. Pérez, Analía Concellón, and Pablo F. Cavagnaro. 2023. "Differential and Cultivar-Dependent Antioxidant Response of Whole and Fresh-Cut Carrots of Different Root Colors to Postharvest UV-C Radiation" Plants 12, no. 6: 1297. https://doi.org/10.3390/plants12061297
APA StyleValerga, L., González, R. E., Pérez, M. B., Concellón, A., & Cavagnaro, P. F. (2023). Differential and Cultivar-Dependent Antioxidant Response of Whole and Fresh-Cut Carrots of Different Root Colors to Postharvest UV-C Radiation. Plants, 12(6), 1297. https://doi.org/10.3390/plants12061297

