Temporal Changes in Litterfall and Nutrient Cycling from 2005–2015 in an Evergreen Broad-Leaved Forest in the Ailao Mountains, China
Abstract
1. Introduction
2. Results
2.1. Dynamic Characteristics of Litterfall and Its Component Output
2.1.1. Interannual Dynamics of Litterfall and Its Component Output
2.1.2. Monthly Variation in the Output of Litterfall and Its Components within a Year
2.1.3. Correlation Analysis of Litterfall and Its Components with Climatic Factors
2.2. Dynamic Characteristics of Litterfall Nutrient Concentration
2.2.1. Interannual Variation Characteristics of Litterfall Nutrient Concentration
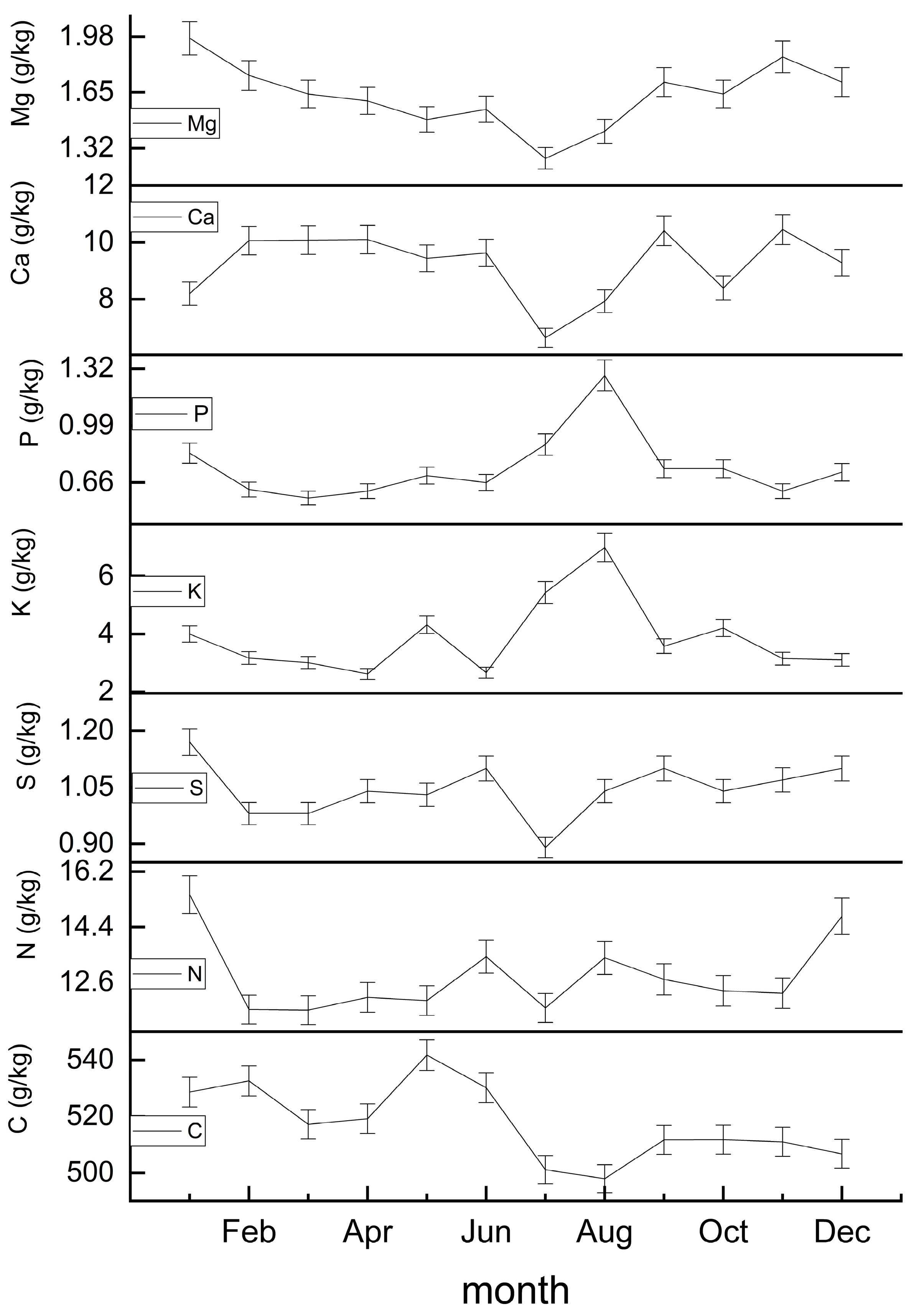
2.2.2. Characteristics of Intra-Year Variation of Litterfall Nutrient Concentration
2.3. Dynamic Characteristics of Litterfall Nutrient Element Return
2.3.1. Interannual Return Characteristics of Litterfall Nutrient Elements
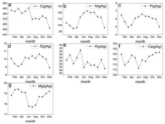
2.3.2. Characteristics of Intra-Year Return of Litterfall Nutrient Elements
2.4. Biological Cycle of Nutrient Elements in Evergreen Broad-Leaved Forests of Mount Ailao
3. Materials and Methods
3.1. Overview of the Study Area
3.2. Litterfall Sampling and Collection
3.3. Meteorological Data Observation
3.4. Measuring Nutrients in the Litterfall
3.5. Statistical Analysis of Data
4. Discussion
5. Conclusions
Author Contributions
Funding
Data Availability Statement
Acknowledgments
Conflicts of Interest
References
- Nakagawa, M.; Ushio, M.; Kume, T.; Nakashizuka, T. Seasonal and long-term patterns in litterfall in a Bornean tropical rainforest. Ecol. Res. 2019, 34, 31–39. [Google Scholar] [CrossRef]
- Wang, Z.B.; Ji, M.; Li, Y.X.; Zhang, H.D.; Li, Y.L.; Gong, S.F.; Liu, J.; Bai, G.W. Effects of nitrogen addition and litter management on soil chemistry of larch plantations in North China. West. China For. Sci. 2021, 50, 26–32+40. [Google Scholar]
- Spohn, M.; Berg, B. Import and release of nutrients during the first five years of plant litter decomposition. Soil Biol. Biochem. 2023, 176, 108878. [Google Scholar] [CrossRef]
- Neumann, M.L.; Ukonmaanaho, J.; Johnson, S.; Benham, L.; Vesterdal, R.; Novotný, A.; Verstraeten, L.; Lundin, A.; Thimonier, P.; Michopoulos, H. Hasenauer. Quantifying Carbon and Nutrient Input From Litterfall in European Forests Using Field Observations and Modeling. Glob. Biogeochem. Cycles 2018, 32, 784–798. [Google Scholar] [CrossRef]
- Kitayama, K.; Ushio, M.; Aiba, S.I. Temperature is a dominant driver of distinct annual seasonality of leaf litter production of equatorial tropical rain forests. J. Ecol. 2020, 109, 727–736. [Google Scholar] [CrossRef]
- Jia, B.R.; Sun, H.R.; Yu, W.Y.; Zhou, G.S. Quantifying the interannual litterfall variations in China’s forest ecosystems. J. Plant Ecol. 2020, 13, 266–272. [Google Scholar] [CrossRef]
- Zhu, X.A.; Zou, X.; Lu, E.F.; Deng, Y.; Luo, Y.; Chen, H.; Liu, W.J. Litterfall biomass and nutrient cycling in karst and nearby non-karst forests in tropical China: A 10-year comparison. Sci. Total Environ. 2020, 758, 143619. [Google Scholar] [CrossRef]
- Sayer, E.J.; Tanner, E.V.J. Experimental investigation of the importance of litterfall in lowland semi-evergreen tropical forest nutrient cycling. J. Ecol. 2010, 98, 1052–1062. [Google Scholar] [CrossRef]
- Xing, J.M.; Wang, K.Q.; Song, Y.L.; Zhang, Y.J.; Zhang, Z.M.; Pan, T.S. Characteristics of litter return and nutrient dynamic change in four typical forests in the subalpine of central Yunnan province. J. Cent. South Univ. For. Technol. 2021, 41, 134–144. [Google Scholar]
- Torres, J.R.; Sánchez-Mejía, Z.M.; Arreola-Lizárraga, J.A.; Galindo-Félix, J.I.; Mascareño-Grijalva, J.J.; Rodríguez-Pérez, G. Environmental factors controlling structure, litter productivity, and phenology of mangroves in arid region of the Gulf of California. Acta Oecologica 2022, 117, 103861. [Google Scholar] [CrossRef]
- Singh, P.; Ghosh, A.K.; Kumar, S.; Kumar, M.; Sinha, P.K. Influence of input litter quality and quantity on carbon storage in post-mining forest soil after 14 years of reclamation. Ecol. Eng. 2022, 178, 106575. [Google Scholar] [CrossRef]
- Zhang, Y.F.; Xu, D.M.; Jiang, K.L.; Luo, Z.R. Seasonal variation and driving factors of evergreen broadleaf forest in Baishan ancestral forest. Zhejiang For. Sci. Technol. 2021, 41, 42–49. [Google Scholar]
- Ge, X.G.; Wang, C.G.; Wang, L.L.; Zhou, B.Z.; Cao, Y.H.; Xiao, W.F.; Li, M.H. Drought changes litter quantity and quality, and soil microbial activities to affect soil nutrients in moso bamboo forest. Sci. Total Environ. 2022, 838, 156351. [Google Scholar] [CrossRef]
- Fan, C.N.; Guo, Z.L.; Zhen, J.P.; Li, B.; Yang, B.G.; Yue, L.; Yu, H.B. Quantity and dynamics of litter in natural secondary forest in Mopanshan. Acta Ecol. Sin. 2014, 34, 633–641. [Google Scholar]
- de Morais, T.M.O.; Berenguer, E.; Barlow, J.; França, F.; Lennox, G.D.; Malhi, Y.; Chesini, R.L.; Maria, M.d.S.M.; Ferreira, J. Leaf-litter production in human-modified Amazonian forests following the El Niño-mediated drought and fires of 2015–2016. For. Ecol. Manag. 2021, 496, 119441. [Google Scholar] [CrossRef]
- Railoun, M.; Simaika, J.; Jacobs, S. Leaf litter production and litter nutrient dynamics of invasive Acacia mearnsii and native tree species in riparian forests of the Fynbos biome, South Africa. For. Ecol. Manag. 2021, 498, 119515. [Google Scholar] [CrossRef]
- Li, J.B. Dynamics of Litter and Nutrient in 4 Types of Subtropical. Ph.D. Thesis, Central South University of Forestry and Technology, Changsha, China, December 2011. [Google Scholar]
- Qin, W.M.; He, B.; Qin, S.Y.; Huang, S.F.; Mo, Y.F.; Qin, Y.H. Study on nutrient element biological cycling in Acacia pachypod plantation. J. Soil Water Conserv. 2007, 4, 103–107. [Google Scholar]
- Zhang, X.; Zheng, S.; Shangguan, Z. Comparison of nutrient distribution and biological cycle between Pinus tabulosis plantation and natural forest in loess hilly area. Acta Ecol. Sin. 2006, 26, 373–382. [Google Scholar] [CrossRef]
- Yu, Y.F.; He, T.G.; Peng, W.X.; Song, T.Q.; Zeng, F.P.; Du, H.; Han, C.; Li, S.S. Nutrient cycling characteristics of different types of forests in karst peak depression. Acta Ecol. Sin. 2015, 35, 7531–7542. [Google Scholar]
- Su, Y.; Wang, P. Vertical variation characteristics of temperature and precipitation in Taijiding Mountain at the northern end of Ailao Mountain. J. Baoshan Univ. 2021, 40, 59–65. [Google Scholar]
- Gong, H.D.; Yang, G.P.; Lu, Z.Y.; Liu, Y.H. Tree species diversity and spatial distribution pattern of evergreen broad-leaved forest in Ailao Mountain. Biodivers. Sci. 2011, 19, 143–150. [Google Scholar]
- Laskowski, R.; Niklinska, M.; Maryanski, M. The dynamics of chemical elements in forest litter. Ecology 1995, 76, 1393–1406. [Google Scholar] [CrossRef]
- Kappelle, M.; Leal, M.E. Changes in leaf Morphology and foliar nutrient status along a successional gradient in Costa Rican upper montane Quercus forest. Biotropica 1996, 28, 331–344. [Google Scholar] [CrossRef]
- Liski, J.; Nissinen, A.; Erhard, M.; Taskinen, O. Climatic effects on litter decomposition from arctic tundra to tropical rainforest. Glob. Chang. Biol. 2003, 9, 575–584. [Google Scholar] [CrossRef]
- Zhang, Y.J.; Song, Y.L.; Wang, K.Q. Ecostoichiometry characteristics of each organ in the arbor layer of alpine forest in Central Asia. Chin. J. Ecol. 2019, 38, 1669–1678. [Google Scholar]
- Liu, Z.W.; Zhao, X.G. Research on Nutrient Cycle Characteristic Parameters of Forest Ecosystem. J. Northwest For. Univ. 2001, 4, 21–24. [Google Scholar]
- Sundarapandian, S.M.; Swamy, P.S. Litter production and leaf-litter decomposition of selected tree species in tropical forests at Kodayar in the western ghats, India. For. Ecol. Manag. 1999, 123, 231–244. [Google Scholar] [CrossRef]
- Liao, J.; Wang, X.G. An overview of the research on forest litter. South China For. Sci. 2000, 1, 31–34. [Google Scholar]
- Jin, Y.Q.; Li, J.; Liu, C.G.; Liu, Y.T.; Zhang, Y.P.; Song, Q.H.; Sha, L.Q.; Chen, A.G.; Yang, D.X.; Li, P.G. Response of net primary productivity to precipitation exclusion in a savanna ecosystem. For. Ecol. Manag. 2018, 429, 69–76. [Google Scholar] [CrossRef]
- Wen, D.; He, N.P. Spatial Distribution Pattern and Its Controlling Factors of Existing Stocks of Forest and Grassland Litter in China. Acta Ecol. Sin. 2016, 36, 2876–2884. [Google Scholar]
- Tu, M.Z.; Yao, W.H.; Weng, H.; Li, Z.A. Characteristics of Litterfall in a Subtropical Evergreen Broad-Leaved Forest in Dinghushan Mountain. Acta Pedol. Sin. 1993, 1, 34–42. [Google Scholar]
- Lan, C.C. Litter Amount and Nutrient Dynamics of Xiaokeng Subtropical Evergreen Broad-Leaved Forest. Master’s Thesis, Anhui Agricultural University, Hefei, China, 2008. [Google Scholar]
- Guan, X.; Huang, K.; Yan, S.K.; Wang, S.L. Monthly dynamic dataset of litter recovery and existing stock in central subtropical evergreen broadleaf forests from 2005–2015. China Sci. Data 2021, 6, 205–212. [Google Scholar]
- Huang, S.D. Degradation dynamics and its relationship with meteorological factors in Wuyi Mountain Mique forest community. J. Southwest For. Univ. (Nat. Sci.) 2022, 42, 76–83. [Google Scholar]
- Guo, Y.L.; Li, D.X.; Wang, B.; He, Y.L.; Xiang, W.S.; Jiang, Y.L.; Li, X.K. Composition and temporal and spatial dynamics of litter components in northern tropical karst seasonal rainforest. Biodivers. Sci. 2017, 25, 265–274. [Google Scholar] [CrossRef]
- Hu, L.Z.; Chen, D.L.; Zhu, H.L.; Zhang, Y.H.; Ding, B.Y. Dying rhythm and composition of litter in evergreen broadleaf forest of Baishan ancestral ancestor. J. Zhejiang Univ. (Agric. Life Sci.) 2011, 37, 533–539. [Google Scholar]
- Zhao, Y.Z.; Wang, X.P.; Zhang, Y.G. Relationship between litter quantity and meteorological factors in Tiantong evergreen broadleaf forest. J. Beijing Agric. Univ. 2017, 32, 73–77. [Google Scholar]
- Zou, B.Z. Relationship between litter amount and soil nutrient in major subtropical forest types. Fujian For. Sci. Technol. 2019, 46, 8–12, 45. [Google Scholar]
- Wan, C.H.; Tao, C.; Yang, X.B.; Huang, J.; Feng, D.D.; Yang, Q.; Zhou, W.S. Litter yield and its influencing factors in different forest types in Hainan Island. Chin. J. Trop. Biol. 2014, 5, 153–161. [Google Scholar]
- Fang, J.Y.; Li, Y.D.; Zhu, B.; Liu, G.H.; Zhou, G.Y. Community structure, species diversity and status of the Jianfengling mountain rainforest in Hainan Island. Biodivers. Sci. 2004, 1, 29–43. [Google Scholar]
- Shi, J.Z.; Xu, H.; Lin, M.X.; Li, Y.D. Yield and dynamics of litter in tropical montane rainforest in Jianfengling, Hainan. Plant Sci. J. 2019, 37, 593–601. [Google Scholar]
- Ilek, A.; Kucza, J.; Szostek, M. The effect of stand species composition on water storage capacity of the organic layers of forest soils. Eur. J. For. Res. 2015, 134, 187–197. [Google Scholar] [CrossRef]
- Borchard, N.; Adolphs, T.; Beulshausen, F.; Ladd, B.; Gießelmann, U.C.; Hegenberg, D.; Möseler, B.M.; Amelung, W. Carbon accrual rates, vegetation and nutrient dynamics in a regularly burned coppice woodland in Germany. GCB Bioenergy 2016, 9, 1140–1150. [Google Scholar] [CrossRef]
- Zhao, C.; Long, J.; Li, J.; Liao, H.K.; Liu, L.F.; Zhang, M.J.; Hua, J. Existential and nutrient characteristics of litter in different slopes and decomposition layers of the Maolan Karst primary forest. Chin. J. Ecol. 2018, 37, 295–303. [Google Scholar]
- Chen, J.L.; Zhang, S.J.; Li, L. Current stock and nutrient characteristics of forest litter layer in different subtropical vegetation restoration stages. Acta Ecol. Sin. 2020, 40, 4073–4086. [Google Scholar]
- Xue, F.; Long, C.L.; Liao, Q.L.; Xiong, L. Current inventory and nutrient characteristics of litter in different terrains of karst forest. J. Northwest For. Univ. 2021, 36, 28–35. [Google Scholar]
- Li, A.; Zhang, Y.J.; Sun, J.X.; Zhang, J.W.; Gong, Z.H.; Pan, X.J.; Guo, W.J.; Liu, X.Q. Effects of plant growth regulators and temperature on Phalaenopsis double stem rate, flowering period and flower traits. Chin. J. Trop. Crops 2021, 42, 732–738. [Google Scholar]
- Liu, Y.; Cao, Y.H.; Zhang, Y.F.; Xie, W.D. Nutrient release dynamics of litter from three stand types in tropical coastal sandy areas of South Asia. J. Northwest AF Univ. (Nat. Sci. Ed.) 2022, 50, 55–68. [Google Scholar]
- Liu, L.; Shen, G.Z.; Chen, F.Q.; Luo, L.; Xie, Z.q.; Yu, J. Current stocks and nutrient cycling dynamics of four typical forest litter on the elevation gradient of Shennongjia. Acta Ecol. Sin. 2012, 32, 2142–2149. [Google Scholar] [CrossRef]
- Gao, S.L.; He, Z.M.; Ding, G.C.; Lin, Y.; Lin, S.Z.; Liu, Z.M. Dynamic study on litter and nutrient return in Acacia plantation forest in coastal sandy sand area. J. Southwest For. Univ. 2015, 35, 17–23. [Google Scholar]
- Li, H.T.; Yu, G.R.; Li, J.Y.; Liang, T.; Chen, Y.R. Dynamic decomposition of litter and phosphorus and potassium release rates in Jinggangshan forest. Chin. J. Appl. Ecol. 2007, 2, 233–240. [Google Scholar]
- Zhang, N.; Yang, Z.J.; Xu, C.; Liu, X.F.; Xiong, D.C.; Lin, C.F. Effects of Central Subtropical Forest Conversion on Nutrient Return and Nutrient Use Efficiency of Litter. Chin. J. Appl. Ecol. 2022, 33, 321–328. [Google Scholar]
- Huang, Y.R.; Gao, W.; Huang, S.D.; Lin, J.; Tan, F.L.; You, H.M.; Yang, L. Ecostoichiometric characteristics of carbon, nitrogen and phosphorus in three evergreen broad-leaved forests in Fujian. Acta Ecol. Sin. 2021, 41, 1991–2000. [Google Scholar]
- Yan, W.; Peng, Y.; Zhang, C.; Chen, X. The manipulation of aboveground litter input affects soil CO2 efflux in a subtropical liquidambar forest in China. iForest Biogeosci. For. 2019, 12, 181–186. [Google Scholar] [CrossRef]
- Nie, D.P. Biological cycle of nutrients in forest ecosystems. For. Res. 1991, 4, 435–440. [Google Scholar]
- He, B.; Qin, W.M.; Yu, H.G.; Liu, Y.H.; Qin, L.; Qin, Y.H. Biological cycling of nutrients in Acacia plantation at different ages. Acta Ecol. Sin. 2007, 12, 5158–5167. [Google Scholar]
- Luo, J.; Chen, G.W.; Li, W.; He, Z.W. Biological cycle characteristics of nutrient elements in natural forest in Gongga Mountain. J. Beijing For. Univ. 2005, 2, 13–17. [Google Scholar]
- Mo, J.M.; Brown, S.D.; Kong, G.H.; Zhang, Y.C.; Lenart, M. Distribution and biological cycle characteristics of nutrients in Pinus massoniana forest in Dinghu Mountain. Acta Ecol. Sin. 1999, 5, 47–52. [Google Scholar]






| Year | Branches | Leaf | Others | Total | |||
|---|---|---|---|---|---|---|---|
| (t/ha a) | (t/ha a) | (t/ha a) | (t/ha a) | ||||
| 2005 | 2.32 ± 0.80 Aa | 26.9% | 4.36 ± 0.52 Bb | 52.0% | 1.76 ± 0.12 Aa | 21.1% | 8.36 ± 0.88 |
| 2006 | 1.60 ± 0.20 Aa | 19.5% | 4.40 ± 0.84 Bb | 54.6% | 2.04 ± 0.24 Ba | 25.9% | 8.08 ± 1.16 |
| 2007 | 2.00 ± 0.60 Aa | 22.9% | 4.52 ± 0.64 Bb | 52.8% | 2.12 ± 0.16 Ba | 24.3% | 8.60 ± 1.00 |
| 2008 | 1.88 ± 0.36 Aa | 23.2% | 4.52 ± 0.8 Bb | 52.5% | 2.08 ± 0.28 Ba | 24.3% | 8.48 ± 1.12 |
| 2009 | 1.32 ± 0.20 Aa | 19.7% | 4.00 ± 0.48 Bb | 59.1% | 1.44 ± 0.12 Aa | 21.2% | 6.88 ± 0.60 |
| 2010 | 1.36 ± 0.24 Aa | 17.6% | 4.80 ± 0.84 Cb | 61.5% | 1.52 ± 0.20 Aa | 20.9% | 7.76 ± 1.20 |
| 2011 | 1.28 ± 0.16 Aa | 18.6% | 4.24 ± 0.56 Bb | 59.5% | 1.56 ± 0.08 Aa | 21.8% | 7.12 ± 0.52 |
| 2012 | 1.60 ± 0.20 Aa | 18.9% | 4.80 ± 0.84 Cc | 55.6% | 2.20 ± 0.28 Ca | 25.5% | 8.64 ± 1.04 |
| 2013 | 1.32 ± 0.20 Aa | 17.3% | 4.48 ± 0.60 Bc | 57.5% | 1.96 ± 0.28 Bb | 25.2% | 7.80 ± 0.80 |
| 2014 | 2.12 ± 0.52 Aa | 22.5% | 5.20 ± 1.12 Cb | 54.1% | 2.24 ± 0.28 Ca | 23.3% | 9.40 ± 1.44 |
| 2015 | 2.52 ± 1.40 Ba | 32.0% | 3.28 ± 0.44 Ab | 41.7% | 2.04 ± 0.32 Ca | 26.3% | 8.08 ± 1.92 |
| Total average | 1.76 ± 0.2 | 21.7% | 4.42 ± 0.18 | 52.0% | 1.91 ± 0.06 | 23.6% | 8.11 ± 0.27 |
| Month | Branches | Leaf | Others | Total | |||
|---|---|---|---|---|---|---|---|
| (t/ha a) | (t/ha a) | (t/ha a) | (t/ha a) | ||||
| January | 0.33 ± 0.54 Aa | 41.04% | 0.26 ± 0.15 Aa | 32.10% | 0.22 ± 0.18 Aa | 26.86% | 0.82 ± 0.76 |
| February | 0.3 ± 0.63 Aa | 41.17% | 0.28 ± 0.18 Aa | 37.74% | 0.15 ± 0.11 Aa | 21.09% | 0.73 ± 0.8 |
| March | 0.2 ± 0.23 Aa | 17.22% | 0.77 ± 0.26 Bb | 67.93% | 0.17 ± 0.1 Aa | 14.85% | 1.14 ± 0.4 |
| April | 0.29 ± 0.53 Aa | 15.62% | 1.22 ± 0.35 Cb | 66.49% | 0.33 ± 0.15 Ca | 17.89% | 1.85 ± 0.75 |
| May | 0.12 ± 0.21 Aa | 10.82% | 0.78 ± 0.24 Bb | 66.57% | 0.27 ± 0.13 Ba | 22.61% | 1.16 ± 0.37 |
| Jun | 0.21 ± 0.57 Aa | 26.68% | 0.4 ± 0.18 Aa | 47.65% | 0.22 ± 0.19 Aa | 25.67% | 0.84 ± 0.81 |
| July | 0.16 ± 0.32 Aa | 26.58% | 0.28 ± 0.09 Aa | 40.76% | 0.22 ± 0.34 Aa | 32.66% | 0.66 ± 0.6 |
| August | 0.22 ± 1.13 Aa | 31.69% | 0.31 ± 0.17 Aa | 42.13% | 0.19 ± 0.25 Aa | 26.18% | 0.74 ± 1.45 |
| September | 0.2 ± 0.33 Aa | 27.19% | 0.36 ± 0.12 Aa | 45.86% | 0.21 ± 0.23 Aa | 26.95% | 0.79 ± 0.45 |
| October | 0.14 ± 0.29 Aa | 19.67% | 0.38 ± 0.12 Ab | 49.55% | 0.24 ± 0.25 Aa | 30.78% | 0.77 ± 0.43 |
| November | 0.1 ± 0.16 Aa | 11.98% | 0.55 ± 0.17 Aa | 59.74% | 0.26 ± 0.36 Ba | 28.27% | 0.92 ± 0.46 |
| December | 0.07 ± 0.07 Aa | 10.62% | 0.49 ± 0.2 Ab | 66.43% | 0.17 ± 0.19 Aa | 22.96% | 0.73 ± 0.3 |
| Total average | 0.19 ± 0.5 | 23.36% | 0.51 ± 0.28 | 51.91% | 0.22 ± 0.18 | 24.73% | 0.93 ± 0.74 |
| Average Monthly Wind Speed | Monthly Precipitation | Monthly Precipitation Maximum | Average Monthly Temperature | |
|---|---|---|---|---|
| Total | −0.127 * | 0.166 ** | 0.158 ** | 0.139 * |
| Branches litter | −0.049 | 0.065 | 0.064 | 0.042 |
| Leaf litter | −0.092 | 0.108 | 0.099 | 0.165 ** |
| Others | −0.185 ** | 0.197 ** | 0.177 ** | 0.132 * |
| Month | Average Monthly Wind Speed | Monthly Precipitation | Monthly Precipitation Maximum | Average Monthly Temperature |
|---|---|---|---|---|
| January | −0.565 | 0.996 ** | 0.963 ** | −0.268 |
| February | 0.028 | 0.773 ** | 0.717 * | −0.424 |
| March | 0.125 | −0.332 | 0.085 | 0.497 |
| April | 0.419 | −0.183 | −0.291 | 0.406 |
| May | 0.103 | 0.190 | 0.012 | −0.430 |
| June | −0.468 | −0.038 | −0.012 | −0.529 |
| July | −0.028 | −0.396 | −0.240 | 0.303 |
| August | −0.337 | 0.375 | −0.121 | 0.240 |
| September | −0.143 | 0.473 | 0.436 | 0.231 |
| October | −0.308 | 0.384 | 0.317 | −0.173 |
| November | −0.056 | 0.291 | 0.255 | −0.005 |
| December | 0.023 | −0.245 | −0.151 | −0.178 |
| Nutrient Element | 2005 | 2010 | 2015 | |||
|---|---|---|---|---|---|---|
| Branches (g/kg) | Leaf (g/kg) | Branches (g/kg) | Leaf (g/kg) | Branches (g/kg) | Leaf (g/kg) | |
| C | 526.44 ± 2.94 Cd | 546.25 ± 2.45 Dc | 489.31 ± 3.28 Ad | 507.25 ± 2.78 Bc | 486.63 ± 2.52 Ad | 500.7 ± 2.7 Bd |
| N | 9.13 ± 0.22 Ab | 13.23 ± 0.27 Cb | 10.22 ± 0.56 Bb | 13.81 ± 0.64 Cb | 8.52 ± 0.49 Ab | 14.7 ± 0.5 Dc |
| P | 0.48 ± 0.01 Aa | 0.72 ± 0.02 Ba | 0.49 ± 0.02 Aa | 0.74 ± 0.04 Ba | 0.5 ± 0.03 Aa | 0.84 ± 0.04 Ca |
| K | 1.99 ± 0.11 Aa | 4.95 ± 0.17 Ca | 1.8 ± 0.12 Aa | 4.55 ± 0.23 Ca | 2.66 ± 0.37 Ba | 5.32 ± 0.17 Da |
| S | 0.87 ± 0.02 Ba | 1.24 ± 0.02 Ca | 0.92 ± 0.03 Ba | 1.25 ± 0.02 Ca | 0.74 ± 0.04 Aa | 1.25 ± 0.04 Ca |
| Ca | 15.19 ± 0.43 Dc | 13.08 ± 0.2 Bb | 14.38 ± 0.81 Cc | 12.19 ± 0.28 Bb | 11.78 ± 0.6 Bc | 10.67 ± 0.53 Ab |
| Mg | 1.55 ± 0.05 Aa | 2.55 ± 0.03 Ba | 1.54 ± 0.05 Aa | 2.47 ± 0.09 Ba | 1.45 ± 0.09 Aa | 2.47 ± 0.06 Ba |
| Total average | 555.65 ± 3.78 | 582.02 ± 3.16 | 518.66 ± 4.87 | 542.26 ± 4.08 | 512.28 ± 4.14 | 535.95 ± 4.04 |
| Nutrient Element | 2005 | 2010 | 2015 | |||
|---|---|---|---|---|---|---|
| Branches (g/kg) | Leaf (g/kg) | Branches (g/kg) | Leaf (g/kg) | Branches (g/kg) | Leaf (g/kg) | |
| C | 542.27 ± 25.34 Bc | 553.96 ± 24.60 Bc | 491.33 ± 9.67 Ad | 509.16 ± 16.44 Ad | 481.84 ± 14.29 Ac | 500.20 ± 10.59 Ae |
| N | 10.30 ± 2.07 Ab | 13.72 ± 1.66 Bb | 9.98 ± 2.42 Ac | 17.60 ± 5.16 Dc | 8.50 ± 2.13 Ab | 15.81 ± 2.30 Cd |
| P | 0.51 ± 0.15 Aa | 0.66 ± 0.12 Ba | 0.66 ± 0.40 Ba | 1.02 ± 0.50 Ca | 0.73 ± 0.33 Ba | 0.98 ± 0.24 Ca |
| K | 2.17 ± 1.14 Aa | 3.73 ± 0.86 Ba | 3.25 ± 2.90 Bb | 4.95 ± 2.96 Cb | 3.79 ± 2.49 Ba | 5.13 ± 2.23 Cb |
| S | 0.93 ± 0.21 Ba | 1.18 ± 0.09 Ca | 0.76 ± 0.17 Aa | 1.27 ± 0.17 Ca | 0.74 ± 0.19 Aa | 1.25 ± 0.15 Ca |
| Ca | 11.16 ± 2.32 Cb | 9.29 ± 1.24 Bb | 8.81 ± 3.84 Bc | 7.53 ± 2.81 Ab | 10.43 ± 4.39 Cb | 7.98 ±1.99 Ac |
| Mg | 1.37 ± 0.36 Ba | 1.96 ± 0.31 Ca | 1.07 ± 0.37 Aa | 1.80 ± 0.40 Ca | 1.29 ± 0.44 Ba | 1.88 ± 0.37 Ca |
| Total average | 568.71 ± 26.20 | 584.5 ± 24.48 | 515.86 ± 17.83 | 543.33 ± 18.50 | 507.32 ± 18.05 | 533.23 ± 11.47 |
| Nutrient Element | Temperature | Precipitation | Wind Speed | |||
|---|---|---|---|---|---|---|
| p | r2 | p | r2 | p | r2 | |
| C | 0.604 | 0.028 | 0.098 | 0.249 | 0.069 | 0.294 |
| N | 0.185 | 0.169 | 0.558 | 0.035 | 0.737 | 0.012 |
| P | 0.259 | 0.125 | 0.052 | 0.327 | 0.023 * | 0.421 |
| K | 0.165 | 0.183 | 0.028 * | 0.397 | 0.014 * | 0.466 |
| S | 0.267 | 0.122 | 0.262 | 0.124 | 0.795 | 0.007 |
| Ca | 0.435 | 0.062 | 0.045 * | 0.345 | 0.222 | 0.145 |
| Mg | 0.001 ** | 0.655 | 0.008 ** | 0.527 | 0.247 | 0.131 |
| Nutrient Element | Re | Rg | Tt (a) |
|---|---|---|---|
| C | 0.25 | 0.50 | 9.93 |
| N | 0.24 | 0.52 | 9.32 |
| P | 0.23 | 0.84 | 8.40 |
| K | 0.24 | 0.53 | 9.09 |
| S | 0.25 | 0.49 | 10.30 |
| Ca | 0.29 | 0.42 | 14.14 |
| Mg | 0.28 | 0.44 | 12.80 |
| average | 0.25 | 0.53 | 10.50 |
Disclaimer/Publisher’s Note: The statements, opinions and data contained in all publications are solely those of the individual author(s) and contributor(s) and not of MDPI and/or the editor(s). MDPI and/or the editor(s) disclaim responsibility for any injury to people or property resulting from any ideas, methods, instructions or products referred to in the content. |
© 2023 by the authors. Licensee MDPI, Basel, Switzerland. This article is an open access article distributed under the terms and conditions of the Creative Commons Attribution (CC BY) license (https://creativecommons.org/licenses/by/4.0/).
Share and Cite
Dai, S.; Wei, T.; Tang, J.; Xu, Z.; Gong, H. Temporal Changes in Litterfall and Nutrient Cycling from 2005–2015 in an Evergreen Broad-Leaved Forest in the Ailao Mountains, China. Plants 2023, 12, 1277. https://doi.org/10.3390/plants12061277
Dai S, Wei T, Tang J, Xu Z, Gong H. Temporal Changes in Litterfall and Nutrient Cycling from 2005–2015 in an Evergreen Broad-Leaved Forest in the Ailao Mountains, China. Plants. 2023; 12(6):1277. https://doi.org/10.3390/plants12061277
Chicago/Turabian StyleDai, Shiyu, Ting Wei, Juan Tang, Zhixiong Xu, and Hede Gong. 2023. "Temporal Changes in Litterfall and Nutrient Cycling from 2005–2015 in an Evergreen Broad-Leaved Forest in the Ailao Mountains, China" Plants 12, no. 6: 1277. https://doi.org/10.3390/plants12061277
APA StyleDai, S., Wei, T., Tang, J., Xu, Z., & Gong, H. (2023). Temporal Changes in Litterfall and Nutrient Cycling from 2005–2015 in an Evergreen Broad-Leaved Forest in the Ailao Mountains, China. Plants, 12(6), 1277. https://doi.org/10.3390/plants12061277

