Next Article in Journal
From the Wild to the Field: Documentation, Propagation, Pilot Cultivation, Fertilization, and Phytochemical Evaluation of the Neglected and Underutilized Amelanchier ovalis Medik. (Rosaceae)
Next Article in Special Issue
Evaluation of the Chemical Profile and Antioxidant Capacity of Green, Brown, and Dark Propolis
Previous Article in Journal
Insights into the Taxonomically Challenging Hexaploid Alpine Shrub Willows of Salix Sections Phylicifoliae and Nigricantes (Salicaceae)
Previous Article in Special Issue
Peach Palm (Bactris gasipaes Kunth.): Ancestral Tropical Staple with Future Potential
 
 
Font Type:
Arial Georgia Verdana
Font Size:
Aa Aa Aa
Line Spacing:
Column Width:
Background:
Review

Phenanthroindolizidine Alkaloids Secondary Metabolites Diversity in Medicinally Viable Plants of the Genus Tylophora

1
Department of Pharmacognosy, College of Pharmacy, Jouf University, Sakaka 72341, Saudi Arabia
2
Department of Medicinal Chemistry and Pharmacognosy, College of Pharmacy, Qassim University, Buraydah 51452, Saudi Arabia
3
Pharmacognosy and Medicinal Plants Department, Faculty of Pharmacy (Boys), Al-Azhar University, Cairo 11884, Egypt
4
Department of Clinical Pharmacy, College of Pharmacy, Jouf University, Sakaka 72341, Saudi Arabia
5
Department of Pharmaceutical Chemistry, College of Pharmacy, Jouf University, Sakaka 72341, Saudi Arabia
6
Pharmacognosy Department, Faculty of Pharmacy, Fayoum University, Faiyum 63514, Egypt
7
Department of Pharmaceutics, College of Pharmacy, Jouf University, Sakaka 72341, Saudi Arabia
8
Department of Clinical Laboratory Sciences, College of Applied Medical Sciences, Jouf University, Sakaka 72388, Saudi Arabia
*
Authors to whom correspondence should be addressed.
Plants 2023, 12(5), 1143; https://doi.org/10.3390/plants12051143
Submission received: 15 January 2023 / Revised: 25 February 2023 / Accepted: 28 February 2023 / Published: 2 March 2023

Abstract

Plants of the genus Tylophora have commonly been used in traditional medicine in various communities, especially in the tropical and subtropical regions of climatic zones. Of the nearly 300 species reported in the Tylophora genus, eight are primarily used in various forms to treat a variety of bodily disorders based on the symptoms. Certain plants from the genus have found use as anti-inflammatory, anti-tumor, anti-allergic, anti-microbial, hypoglycemic, hypolipidemic, anti-oxidant, smooth muscle relaxant, immunomodulatory, and anti-plasmodium agents, as well as free-radical scavengers. Pharmacologically, a few plant species from the genus have exhibited broad-spectrum anti-microbial and anti-cancer activity, which has been proven through experimental evaluations. Some of the plants in the genus have also helped in alcohol-induced anxiety amelioration and myocardial damage repair. The plants belonging to the genus have also shown diuretic, anti-asthmatic, and hepato-protective activities. Tylophora plants have afforded diverse structural bases for secondary metabolites, mainly belonging to phenanthroindolizidine alkaloids, which have been found to treat several diseases with promising pharmacological activity levels. This review encompasses information on various Tylophora species, their distribution, corresponding plant synonyms, and chemical diversity of the secondary metabolic phytochemicals as reported in the literature, together with their prominent biological activities.

1. Introduction

Natural products are of great ecological and functional importance. They are primarily used as medicines for large populations around the world, as well as in conjunction with modern medicine for various illnesses, particularly various cancer forms [1,2]. Their role as reservoirs of new structural templates, which are plentifully available in nature as part of the secondary metabolic products of the plants, has further increased their role and demands. The contributions of plant-based products, including crude drugs, have provided raw materials to manufacturers. Plant products are important on an everyday basis and constitute the principal blocks for drug development, discovery, and structural template modifications [3,4,5,6]. They have also piqued the interest of researchers looking to solve new and recurring global health issues such as infectious and non-communicable diseases. In that context, several thousands of the plants have been phytochemically examined and reported for their biological activities and structural variations [7,8]. Continuous efforts of the researchers have afforded several natural product-based modern drugs that are in use today for curing and protecting against diseases. The researchers have also discovered thousands of natural products from plants, which have been categorized into several classes, including phenolics, flavonoids, alkaloids, glycosides, iridoids, saponins, volatile oils, and bitter principles. Alkaloids are a class of natural products that have piqued the interest of scientists around the world due to their potent activities and therapeutic potential [9,10]. Several of these alkaloids are available on the modern drug market and are used to treat a variety of diseases, including cancer (Vinca and Taxus origin alkaloids and the phenanthroindolizidine structural class of alkaloids), gastrointestinal disorders (tropane alkaloids), hypnotic effects (coca alkaloids), analgesia (morphinans), malaria (cinchona alkaloids), oxytocic conditions (ergometrine), and disorders of the central nervous system. This review discusses the phenanthroindolizidine alkaloids-rich plant genus, Tylophora, and the diversity of the alkaloids and other secondary metabolites in plants of this genus, along with their biological activities and established pharmacological effects.
Tylophora (family Asclepiadaceae) is widely distributed, primarily in Australia, Asia, and Africa [11,12]. The name Tylophora comes from the Greek words “tylos”, which means knot, and “phore”, which means carrier or bearer. Tylophora indica is the most common species in this genus and is used in most traditional medicines. It is an annual and perennial, small, slender, climbing, and much-branched young herb [13]. It has been reported that plants from this genus are used in traditional medicine for treating bronchial asthma, rheumatism, allergies, and dermatitis [14,15,16,17]. In addition, the plant has anti-tumor, anti-oxidant, immunomodulatory, and hypotensive activities. It is also used for treating numerous respiratory difficulties, such as asthma, bronchitis, hay fever, the common cold, and coughs [18,19,20]. Moreover, the leaves and roots of this plant have been used to treat jaundice and symptomatic liver disorders [14,21,22,23]. Tylophora genus plants also possess a wide range of bioactivities, including immune modulatory effects, free-radical scavenging (anti-oxidant), hepato-protective, anti-convulsant [14,24,25,26], anti-anxiety, anti-bacterial, anti-asthmatic, anti-inflammatory, anti-cancer, anti-amoebic [14,16,20,26,27,28,29], anti-psoriasis, seborrhic, and anaphylactic effects, and they are used for the treatment of leucopenia and the Schultz-Dale reaction. The roots and leaves of the plant, Tylophora indica, possess medicinal and therapeutic properties as an expectorant, laxative, diaphoretic, and purgative [30,31,32]. Several secondary metabolites from Tylophora species have been isolated, including alkaloids such as tylophorine, tylophorinidine, septicine, and tylophorine, as well as non-alkaloidal compounds such as quercetin, tannin(s), tetratriacontanol, α- and β-amyrins, octaosanyl octacosane [20,33,34,35,36,37]. Tylophorinine and tylophorine are the main alkaloids found in this genus, and have been shown to be responsible for the strong anti-inflammatory effects exhibited by plants in the genus [38,39]. The phenanthroindolizidine class of alkaloids, isolated and identified as the tylophorine class, is exemplified and represented by tylophorinidine, tylophorine, tyloindicines A–J, tylocrebrine, tylophorinine, and O-methyl tylophorinidine, as active components. These alkaloids are known to possess potent anti-cancer activity through participation different mechanisms of action [40,41,42].
The current review surveys the literature retrieved from various search engines, including PubMed®, ScienceDirect®, Scopus®, and Google Scholar®, and provides information on the geographic distribution of the genus Tylophora’s, the occurrence and frequency of the plant’s alkaloidal constituents, their biogenesis, and the alkaloids’ roles in bioactivities of different kinds. Information on isolation-extraction procedures, yields, and plant enrichment status of the phenanthroindolizidine alkaloidal constituents, the alkaloids’ chemical structures and their chemo-structural diversity of substituents and ring structures, as well as the inputs from the structural diversity of these recognized secondary metabolites corresponding to the plant sources, and their medicinal uses, is discussed. The review also contains details on the plants’ uses as part of traditional phytomedicines by locals in different geographical areas, and the scope of these alkaloids in modern medicine, including their roles in contemporary drug design, discovery, and development, especially in anti-cancer and anti-inflammatory pharmacological classes. The review focuses on the medicinally viable plants of the Tylophora genus and identifies gaps for future research. The review also highlights the potential applications of phenanthroindolizidine alkaloid compounds in the development of new therapies based on their biological activity, and provides, to a certain extent, the rationale for their traditional phytomedicinal uses in different communities.

2. Taxonomy of Genus Tylophora

2.1. Geographic Distribution

Tylophora plants are widely distributed in the southern hemisphere and some smaller regions in the north, where warm and wet climates are found. These perennial climbers are native to forests, grasslands, and hills in the southern and eastern Indian subcontinent, as well as other parts of Asia, including Sri Lanka, Malaysia, Thailand, Australia, and the Pacific Islands. Although the genus did not originate there, the plants are also found on the African continent. Over 300 species of Tylophora have been identified and recorded to date. These plants belong to the division Angiosperm, class Mangoliatae, order Gentianales, family Asclepidaceae, and genus Tylophora [34,43,44,45].

2.2. Morphological Description

The plants in the genus are mostly erect herbs or woody climbers, but some of the species are succulents. The leaves are simple, sub-sessile, exstipulate, fleshy, and covered with a coating of wax. Flowers are cymose, or racemose inflorescence, pedicellate, bracteolate, bisexual, and actinomorphic, but rarely zygomorphic. Five polysepalous sepals and five gamopetalous petals have been described. The androecium is composed of five stamens, and the anthers are syngenesious, giving rise to a five-sided blunt cone, which is usually attached on the inside to the stigma head. In the gynoecium, which is bicarpellary, the ovaries remain free, but styles unite to form a commonly swollen stigma-head. The placentation is marginal, with numerous ovules. Fruits are produced by pairs of follicles, but sometimes there is only one follicle because of the suppression of the other. The seeds are ovate-oblong, flat, and capped by hairs or fruits, and these hairs enable the seeds to be dispersed by the wind. The embryo is large [46]. Tylophora indica (Burm f.) Merill., also known as Anantmool in the vernacular language, is a perennial plant found in southern and eastern India in plains, forests, and hilly areas. The climbing shrub, or twining plant can reach up to 1.5 m in height, and is widespread in the provinces of Uttar Pradesh, Bengal, Assam, Orissa, and the Himalayan regions. The leaves are obovate-oblong to elliptic-oblong, and measure between 3–10 cm in length and 1.5–7 cm in width. The roots are long and fleshy, with a light brown, fissured corky bark. The flowers are small, about 1–1.5 cm across, and arranged in 2–3-flowered clusters in axillary umbellate cymes. The calyx is divided nearly to the base, with densely hairy lanceolate segments. The corolla is greenish-yellow, or greenish-purple, with oblong, acute lobes. The fruit is an ovoid-lanceolate follicle with 0.6–0.8 × 0.3–0.4 cm long seeds that taper at the apex, forming a fine mucro before becoming striate and glabrous [47].
A partial list of species in the genus Tylophora [48], and photographs of a number of these plants are illustrated in Table 1.

3. Traditional Phytomedicinal Uses of Genus Tylophora Plants

Plants belonging to the genus Tylophora have been extensively used in traditional phytomedicine. The aerial parts are taken orally for the treatment of constipation, flatulence, hemorrhoids, whooping cough, asthma, congestion, inflamed skin, jaundice, gout, tender joints, and arthritis. Their use also induces sweating and vomiting. Tylophora plants have also been applied topically for allergies, inflamed skin, wounds, and skin ulcers, and used as a smooth muscle relaxant, and anti-lupus agent [49]. The plants have been recommended by an informed herbalist for cancer and rheumatoid arthritis. Tylophora indica has been extensively used as a remedy for bronchial asthma, and to relieve mild pain, and dermatitis [50]. T. indica has been used in Pakistan to treat skin and systemic allergies, as well as bronchitis. It has also found use as an emetic, laxative, cathartic, purgative, stimulant, and diaphoretic in areas of Pakistan [24]. T. indica leaves have been used to treat tuberculosis and as an antidote to snake bites [51,52]. The plant has also found use as a muscle relaxant, an anthelmintic, for the treatment of hydrophobia, and as a food preservative [14,53]. Table 2 summarizes the ethnomedicinal uses of the Tylophora species found in different geographic locations and their local uses.

4. Chemotaxonomy of the Genus Tylophora, Phenanthroindolizidine, and Secophenanthroindolizidine Alkaloids

Chemotaxonomy, also known as chemosystematics, differentiates plant species based on chemical constituents with respect to their phenotypic category and specifications of biogenetically derived constituents, which are frequently of a secondary metabolic nature. This information has led to insights into the taxonomy of the plants, and has, in turn, has helped in metabolomics (metabolic profiling) understanding. In conjunction with morphological and cytological data, the array of chemical constituents of certain and defined structural features, found primarily in plant species within the genus, has intertwined the taxonomic classification and helped in plant identification and taxonomical classification. Genomics, transcriptomics, and proteomics relate the phenotype of a taxon to its genome, and this further strengthens the phenotypical characteristics to chemosystematics, thereby providing a foundation for the taxonomy and genomics. Chemogenomic systematics ignores the presence of small molecules in plants, which are frequently linked to environmental responses as well as biodiversity. From the perspective of chemical constituents, the presence of specific categories of compounds, and distinguishing secondary metabolic products, provide taxonomic factors, assist in testing their congruence with existing classifications to identify the chemotype, and at times predict the formation of inter-related secondary metabolites useful to human health and drug discovery.
As structured entities, phenanthroindolizidine alkaloids are composed of a dibenzo-[f,h]pyrrolo [1,2-b]isoquinoline ring as the core structural motif in various alkaloids from Tylophora species and have thus been classified as chemotaxonomic or chemosystematic markers for the genus. However, interconnected structures have been observed in several species of the plant family Moraceae [71,72]. These alkaloidal structures are the focus of added attention, in addition to their diverse range of bioactivities and traditional uses, due to their anti-leukemic and other anti-cancer properties.
Phenanthroindolizidine alkaloids presence has been recorded among almost all 300 species of the genus Tylophora, which is part of the Asclepiadaceae family. Phenanthroindolizidine alkaloids are abundant in several species from four other genera besides Tylophora, namely Pergularza, Cyanchum, Antitoxzcum, and the genus Vincetoxzcum [71]. However, the alkaloid type has only been reported in one species of the Moraceae family, Ficus [72]. Examples of different phenanthroindolizidine and seco-phenanthroindolizidine (seco, or broken ring and rearranged) alkaloids isolated from the genus are listed below (Table 3 and Table 4).

5. Biogenesis of Genus Tylophora Alkaloids

Phenanthroindolizidine alkaloids are a small group of naturally occurring compounds isolated from the genera Tylophora, Pergularia, and Cynanchum of the family Asclepiadaceae. A detailed biogenetic pathway is outlined in Figure 1. The biogenesis of these pentacyclic phenanthroindolizidine alkaloids, e.g., tylophorine, and other structurally inter-related compounds containing four to five ring units, is derived from different amino acid (AA)-based precursors, such as tyrosine, phenylalanine, and ornithine [85,86]. The later AA contains both α- and δ-amino groups, and the nitrogen of the previous group is involved with the carbon chain in the formation of the alkaloidal structure barring its carboxyl group. In this pathway, ornithine supplies a C4N structural block, basically a pyrrolidine ring, for advancing biogenesis of the alkaloid. The reactivity of ornithine is nearly matched by L-lysine, which manipulates a C5N unit containing its amino group towards the formation of the molecule [77]. Mechanistically, the pyrrolidine ring system is originally formed as a Δ1-pyrrolinium cation, and the putrescine, along with oxidative deamination by the action of a diamine oxidase, produces the required aldehyde. The Δ1-pyrrolinium cation is further transformed to imine, and in the presence of water, upon the involvement of cinnamic acid, it forms the emerging skeleton of the developing alkaloid. Ring B of an alkaloidal structure is formed by tyrosine, while ring A is formed by phenylalanine. Phenylalanine is consolidated through cinnamic, caffeic, and p-coumaric acids to produce the alkaloids’ structures. Owing to further modifications in the biogenetic pathways, a convenient hydroxylation pattern develops with the participation of p-coumaric, or caffeic acid. The important steps of oxidation and decarboxylation, and the condensation of 3-hydroxyphenylpyruvic acid followed by transformation of the carbinol amine, result in the formation of a diaryl-7-dehydroindolizidine intermediate, which is a seco structure. Finally, phenol oxidative coupling results in the formation of tylophorine and tylocrebrine structures via position 2 and 6 couplings, respectively. The involvement of methionine completes the methylation step(s) of the OH group(s) of the final alkaloid structure [85,86,87].

6. Biotechnical Production of Tylophorine

6.1. Production of Tylophorine and Agrobacterium-Mediated Transformation

Agrobacterium rhizogenes, a Gram-negative bacterium that is mainly located in the soil, causes infection in plants [88]. It transfers T-DNA, a 25-base pair oligonucleotide replication through a transformation procedure from roots, presenting plasmid (Ri) to the influenced plant’s genome [89]. During this transformation, hairy roots are produced at the spot of infection. This technique is considered one of the most effective pathways for manufacturing required secondary metabolic compounds, without causing any damage to the original plant, and with continuous production of the desired secondary metabolites within a short period of time. The transgenic root production technique has been standardized in T. indica after infection of its aerial parts and intact shoots by Agrobacterium rhizogenes (LBA 9402 and A4 strains). The roots and calli were prompted at different locations [90,91]. The response was a result of several underlying factors, such as the type of strains (Gram positive and Gram negative), and explants used, as well as the site of infection. The A4 strain was the only one that recorded a response inducing the transformation process. The maximum rate of transformation was reported to be around 60% with the intact shoots confirmed by PCR analysis. The production of tylophorine (its structure is shown in Figure 1) from different root clones was variable, and the maximum root biomass and tylophorine were obtained in about one month of suspension culture. The roots were dried, powdered, and subjected to defatting with a non-polar solvent for 24 h, followed by shaking with chloroform for a similar period of time. The extracts were pooled together, dried by evaporation, and the residue was re-extracted with chloroform three times, and separated by a separating funnel. The extracted portions were combined and dried, then filtered using a Millipore® filter (0.2 mm). An analysis using HPLC (High-Performance Liquid Chromatography) was performed to obtain the maximum tylophorine yield of 1.29 ± 0.5 mg/g DW (dry weight) [92].

6.2. Extraction from Suspension Cultures Callus, and Dried Leaves

A quantitative analysis using HPTLC (High-Performance Thin Layer Liquid Chromatography) technique was performed to quantify and extract tylophorine (its structure is shown in Figure 1) from Tylophora spp. dried ground leaves, callus, and suspension cultures [93]. The technique depended on extraction with methanol acidified with acetic acid, followed by EtOAc (ethyl acetate) extraction. By using the Rf values of test samples to compare with the Rf value of the reference standard sample, the material’s presence was quantified. Variability of tylophorine concentration in the three samples, obtained from leaves extract, leaf-based callus, and suspension extract was quantified. Leaf extract attained the maximum level of tylophorine in the sample, followed by the leaf callus, and the suspension extract, with 80, 24.46, and 28.30 μg/mL, respectively.
Another study was performed to determine the tylophorine contents in the leaves of T. indica [94]. Dried and powdered leaves were soaked with n-hexane to eliminate the non-polar constituents. After that, they were macerated with EtOAc at pH 3.5–4, adjusted by hydrochloric acid. The extract was diluted with distilled water, evaporated to 50% of its volume at 60 °C by an evaporator, and washed with dichloromethane three times. NaOH was used to adjust the pH between 11–13, and the extract was again concentrated, and HPTLC analysis was performed at a wavelength of 258 nm. The quantification of the tylophorine was calculated using the following formula:
C o n c e n t r a t i o n   μ g / m L =   A r e a   o f   p e a k   o f   s t a n d a r d   i n   t e s t   s a m p l e × C o n c e n t r a t i o n   o f   s t a n d a r d A r e a   o f   s t a n d a r d   p e a k

7. Biological Activities

7.1. Biological Activities of Genus Tylophora

Tylophora species are pharmacologically active. Several species of the genus Tylophora have been associated with diverse biological actions. The medicinal properties of some of the plants belonging to the genus Tylophora (Table 5 and Figure 2), and their bioactive constituents, are presented in Table 6.

7.2. Structure-Activity Relationship (SAR) of Tylophorine

Tylophorine (its structure is shown in Figure 1), the naturally abundant phenanthroindolizidine alkaloid, studied for its potential to inhibit cancer cell growth, has shed light on its structure-activity relationships (SAR) Previous studies on the phenanthroindolizidine alkaloids showed that a rigid phenanthrene ring is necessary for strong cytotoxicity. The absence of an indolizidine ring, or the presence of an OMe (ethereal methyl) group at position 2, results in a loss of cytotoxicity [132]. It was also believed to exert its anti-cancer effects through modulation of the vascular endothelial growth factor receptor (VEGFR2). VEGFR2 plays a crucial role in regulating cell growth, cell survival, cell proliferation, and the cells’ overactivation, which is a hallmark of many types of cancer. Tylophorine was thought to disrupt signaling pathways that cause cancer cell growth and survival by modulating VEGFR2 receptors, resulting in decreased cancer cell proliferation and increased cell death. Studies have shown that tylophorine binds to certain VEGFR2 receptors and modulates their activity, leading to the inhibition of cancer cell growth. The interaction between tylophorine and VEGFR2 was found to have a stable conformation based on in silico analysis. The results showed that hydrogen bonding and aromatic interactions were involved [129].

8. Clinical Trials on Genus Tylophora and Its Compounds

In some clinical trials, Tylophora extracts, and/or their active compounds, e.g., tylophorine (its structure is shown in Figure 1), have been evaluated for their efficacy, and safety as a therapeutic agent. Double-blind studies were performed on Tylophora indica for the treatment of both asthma and allergic rhinitis. However, further investigation is needed to understand the potential benefits and limitations of Tylophora-based therapies. Prospective clinical trials with a larger sample size and well-designed protocols are required to validate the therapeutic efficacy of Tylophora [96,133,134].

9. Cultivation Potential of Tylophora indica

Tylophora cultivation on a commercial scale is becoming increasingly popular due to its abundant medicinal properties. However, its cultivation is still in its infancy and early stages, and is limited to only a few regions. The plant prefers well-drained soil, moderate to high humidity, and shade. It can be propagated from seeds or cuttings. Tylophora plants grow best in regions with a tropical or subtropical climate, but can also be grown in greenhouses. Adequate moisture, well-drained soil, and proper temperature control are crucial for its growth, propagation, and survival [13]. To promote the cultivation of Tylophora genus plants, further horticultural work is needed to improve the growth, propagation, and yield of the plants, which includes identifying and controlling the factors and conditions responsible for optimal growth, developing new cultivation techniques, and increasing the availability of high-quality planting materials.

10. Commercial Potential of Genus Tylophora

The industrial potential of Tylophora lies in high-yielding plant varieties, alkaloid extraction and isolation, and the efficient separation of bioactive compounds from extracts and enriched materials. Their use in the pharmaceutical and health food industries is important. Tylophorine (its structure is shown in Figure 1) is the major isolate in both Tylophora indica and Tylophora asthmatica plants, and has shown promise as a potential drug candidate in preclinical studies. The compound can be developed into a new drug to treat cancer types, and other diseases based on its pharmacologically confirmed and traditionally consistent and beneficial medicinal uses. In addition, the extracts of Tylophora species are used in cosmetic and personal care products for their moisturizing, anti-inflammatory, and antioxidant properties. The high demand for natural and safe cosmetic ingredients has created a market opportunity for Tylophora extracts as well. Nonetheless, Tylophora has significant potential as a source of bioactive compounds for the pharmaceutical, health, food, and cosmetic industries. Further product development efforts are needed to fully exploit its potential and bring its benefits to a wider public.
Tylophora indica powder, also known as Indian ipecacuanha, is used to treat allergies, asthma, congestion, constipation, cough, cancer, inflamed skin, diarrhea, bloody diarrhea, hemorrhoids, gas, gout, liver disorders, jaundice, joint pain, symptomatic relief for rheumatoid arthritis, and whooping cough, as well as to induce vomiting, and cause sweating. The herb is part of the ancient Indian system of medicine, Ayurveda, and the currently practiced Ayush system. The herb’s mother tincture as a homeopathic drug is also available on the market. The Tylophora indica herb’s fresh leaves are chewed and swallowed on daily basis for a week with water in the early morning for emptying the stomach. Its use also provides partial or full relief from asthma. The root powder of the herb is used for diarrhea, dysentery, and intermittent malarial fever. However, the user’s age and health conditions must be considered before any medicinal use of the herb [135,136].

11. Conclusions

Plants from the genus Tylophora are widely distributed in the tropical and subtropical regions of warm and wet climatic southern-hemisphere countries. The plants are medicinally viable species that have been documented in various anthropological societies for their traditional uses against various physiological and hormonal disorders. Activities such as anti-cancer, anti-tumor, broad-spectrum anti-microbial, anti-fungal, and anti-virus activities have been reported and pharmacologically established for plants of the genus. Other pharmacological activity confirmation though symptomatic treatment of physiological disorders is imperative. Molecular modeling-based activity predictions of the nearly forty-four phenanthroindolizidine alkaloids, which are abundant in eight plant species, are tasks for the future. There is still a pressing need to pursue extensive phytochemical screening and bioassay-guided activity confirmations using the extracts, and subsequent and designated fractions, as well as determining the biological activity of isolated pure constituents of known, novel, and new structures, especially of an alkaloidal nature, towards finding new bioactive chemical entities and molecular templates for oncological and other aspects of drug design and discovery.

Funding

The authors extend their appreciation to the Deanship of Scientific Research at Jouf University for funding this work through research grant No (DSR-2021-01-03108).

Institutional Review Board Statement

Not applicable.

Informed Consent Statement

Not applicable.

Data Availability Statement

Not applicable.

Acknowledgments

The authors extend their appreciation to the Deanship of Scientific Research at Jouf University for funding this work through research grant No (DSR-2021-01-03108).

Conflicts of Interest

The authors declare no conflict of interest.

References

  1. Anwar, S.; Almatroudi, A.; Alsahli, M.A.; Khan, M.A.; Khan, A.A.; Rahmani, A.H. Natural Products: Implication in Cancer Prevention and Treatment through Modulating Various Biological Activities. Anti-Cancer Agents Med. Chem. 2020, 20, 2025–2040. [Google Scholar] [CrossRef] [PubMed]
  2. Mohammed, H.A. The Valuable Impacts of Halophytic Genus Suaeda; Nutritional, Chemical, and Biological Values. Med. Chem. 2020, 16, 1044–1057. [Google Scholar] [CrossRef]
  3. Amin, E.; Abdel-Bakky, M.S.; Mohammed, H.A.; Hassan, M.H.A. Chemical Profiling and Molecular Docking Study of Agathophora alopecuroides. Life 2022, 12, 1852. [Google Scholar] [CrossRef] [PubMed]
  4. Atanasov, A.G.; Zotchev, S.B.; Dirsch, V.M.; Supuran, C.T. Natural Products in Drug Discovery: Advances and Opportunities. Nat. Rev. Drug Discov. 2021, 20, 200–216. [Google Scholar] [CrossRef] [PubMed]
  5. Harvey, A.L. Natural Products in Drug Discovery. Drug Discov. Today 2008, 13, 894–901. [Google Scholar] [CrossRef]
  6. Mohammed, H.A.; Khan, R.A.; Abdel-Hafez, A.A.; Abdel-Aziz, M.; Ahmed, E.; Enany, S.; Mahgoub, S.; Al-Rugaie, O.; Alsharidah, M.; Aly, M.S.A. Phytochemical Profiling, in Vitro and in Silico Anti-Microbial and Anti-Cancer Activity Evaluations and Staph GyraseB and h-TOP-IIβ Receptor-Docking Studies of Major Constituents of Zygophyllum coccineum L. Aqueous-Ethanolic Extract and Its Subsequent Fra. Molecules 2021, 26, 577. [Google Scholar] [CrossRef]
  7. Mohammed, H.A.; Ali, H.M.; Qureshi, K.A.; Alsharidah, M.; Kandil, Y.I.; Said, R.; Mohammed, S.A.A.; Al-Omar, M.S.; Al Rugaie, O.; Abdellatif, A.A.H. Comparative Phytochemical Profile and Biological Activity of Four Major Medicinal Halophytes from Qassim Flora. Plants 2021, 10, 2208. [Google Scholar] [CrossRef]
  8. Al-Omar, M.S.; Mohammed, H.A.; Mohammed, S.A.A.; Abd-Elmoniem, E.; Kandil, Y.I.; Eldeeb, H.M.; Chigurupati, S.; Sulaiman, G.M.; Al-Khurayyif, H.K.; Almansour, B.S.; et al. Anti-Microbial, Anti-Oxidant, and α-Amylase Inhibitory Activity of Traditionally-Used Medicinal Herbs: A Comparative Analyses of Pharmacology, and Phytoconstituents of Regional Halophytic Plants’ Diaspora. Molecules 2020, 25, 5457. [Google Scholar] [CrossRef]
  9. Munir, S.; Shahid, A.; Aslam, B.; Ashfaq, U.A.; Akash, M.S.H.; Ali, M.A.; Almatroudi, A.; Allemailem, K.S.; Rajoka, M.S.R.; Khurshid, M. The Therapeutic Prospects of Naturally Occurring and Synthetic Indole Alkaloids for Depression and Anxiety Disorders. Evid.-Based Complement. Altern. Med. 2020, 2020, 8836983. [Google Scholar] [CrossRef]
  10. El-Sakka, M.A. Phytochemistry (3) Alkaloids; Al Azhar University, Faculty of Pharmacy, Department of Pharmacognosy: Cairo, Egypt, 2010. [Google Scholar]
  11. Rasingam, L.; Swamy, J.; Nagaraju, S. Notes on the Genus Tylophora R. Br. (Asclepiadaceae) of India. Bangladesh J. Plant Taxon. 2018, 25, 51–56. [Google Scholar] [CrossRef]
  12. Drew, R.A.I.; Hancock, D.L. Phylogeny of the Tribe dacini (Dacinae) Based on Morphological, Distributional, and Biological Data. In Fruit Flies (Tephritidae); CRC Press: Boca Raton, FL, USA, 1999; pp. 509–522. ISBN 0429124678. [Google Scholar]
  13. Ridley, H.N. The Flora of the Malay Peninsula: Polypetalae; L. Reeve & Company, Ltd.: London, UK, 1922; Volume 1. [Google Scholar]
  14. Rani, A.S.; Patnaik, S.; Sulakshanaand, G.; Saidulu, B. Review of Tylophora indica—An Antiasthmatic Plant. FS J. Res. Basic Appl. Sci. 2012, 1, 20–21. [Google Scholar]
  15. Maheshwari, M.; Vijayarengan, P. Phytochemical Screening and GC-MS Analysis of Tylophora indica. Int. J. Bot. Stud. 2020, 5, 255–275. [Google Scholar]
  16. Balasubramanian, B.; Dhanabal, M.; Perumal, A.; George, S. Studies on the Antibacterial Activity and Phytochemical Screening of Tylophora indica Linn on Opportunistic Bacterial Pathogens Coinfected with HIV. Drug Invent. Today 2010, 2, 402–404. [Google Scholar]
  17. Rajavel, L.; Stephan, R. Low Cost In Vitro Propagation of Tylophora indica (Burm f.) Merrill. Using Different Carbon Sources. J. Acad. Ind. Res. 2014, 3, 221–224. [Google Scholar]
  18. Silver, R.J. Ayurvedic 6 Principles and Practices. In Veterinary Herbal Medicine; Elsevier: St. Louis, MO, USA, 2006; pp. 59–83. [Google Scholar]
  19. Chaudhry, B. A Handbook of Common Medicinal Plants Used in Ayurveda; Kojo Press: New Delhi, India, 2019; ISBN 8193380576. [Google Scholar]
  20. Shahzad, A.; Upadhyay, A.; Sharma, S.; Saeed, T. Tylophora indica (Burm. f.) Merrill: Medicinal Uses, Propagation, and Replenishment. In Biotechnological Strategies for the Conservation of Medicinal and Ornamental Climbers; Springer: Berlin/Heidelberg, Germany, 2016; pp. 239–258. [Google Scholar]
  21. Vishal, R. Protective Role of Indian Medicinal Plants against Liver Damage. J. Phytopharm. 2013, 2, 1–3. [Google Scholar] [CrossRef]
  22. Gujrati, V.; Patel, N.; Rao, V.N.; Nandakumar, K.; Gouda, T.S.; Shalam, M.D.; Kumar, S.M.S. Hepatoprotective Activity of Alcoholic and Aqueous Extracts of Leaves of Tylophora indica (Linn.) in Rats. Indian J. Pharmacol. 2007, 39, 43–47. [Google Scholar]
  23. Jain, S.K.; Rajvaidy, S.; Desai, P.; Singh, G.K.; Nagori, B.P. Herbal Extract as Hepatoprotective-A Review. J. Pharmacogn. Phytochem. 2013, 2, 170–175. [Google Scholar]
  24. Nazar, S.; Hussain, M.A.; Khan, A.; Muhammad, G.; Bukhari, S.N.A. Alkaloid-Rich Plant Tylophora indica; Current Trends in Isolation Strategies, Chemical Profiling and Medicinal Applications. Arab. J. Chem. 2020, 13, 6348–6365. [Google Scholar] [CrossRef]
  25. Gururani, R.; Patel, S.; Yaduvanshi, N.; Dwivedi, J.; Paliwal, S.; Sharma, S. Tylophora indica (Burm. f.) Merr: An Insight into Phytochemistry and Pharmacology. J. Ethnopharmacol. 2020, 262, 113122. [Google Scholar] [CrossRef]
  26. Bach, D.-H.; Lee, S.K. The Potential Impacts of Tylophora Alkaloids and Their Derivatives in Modulating Inflammation, Viral Infections, and Cancer. Curr. Med. Chem. 2019, 26, 4709–4725. [Google Scholar] [CrossRef]
  27. Haranath, P.; Shyamalakumari, S. Experimental Study on Mode of Action of Tylophora. Indian J. Med. Res. 1975, 63, 661–670. [Google Scholar] [PubMed]
  28. Kaushik, A.; Gurnani, C.; Sunder, S.; Dhingra, A.; Chimpa, V. Biochemical Assessment of in Vitro and in Vivo Culture of Tylophora indica (Burm. f.) Merr. Kathmandu Univ. J. Sci. Eng. Technol. 2010, 6, 1–5. [Google Scholar]
  29. Nayak, C.; Singh, V.; Singh, K.; Chakraborty, P.S.; Kaushik, S.; Ray, R.K.; Yadav, R.P.; Rai, M.K. Tylophora indica—A Multicentric Clinical Verification Study. Indian J. Res. Homoeopath. 2010, 4, 12–18. [Google Scholar] [CrossRef]
  30. Sunila, K.; Priya, S. Tylophora indica an Indian Ipecacuahna: A Review. Int. J. Phytother. Res 2012, 2, 1–14. [Google Scholar]
  31. Joshi, G.S.; Trivedi, N.H.; Maurya, J.U.; Upadhyay, U.M. Tylophora indica—A review. Pharma Sci. Monit. 2012, 3, 49–108. [Google Scholar]
  32. Shyamjith, M.; Joy, A.E.; Thyagaraju, B.M.; Rao, S.N. Effect of Tylophora indica on Haloperidol Induced Catalepsy in Experimental Animal Models. Drug Invent. Today 2012, 4, 652–654. [Google Scholar]
  33. Govindachari, T.R. Tylophora Alkaloids. In The Alkaloids: Chemistry and Physiology; Elsevier: Amsterdam, The Netherlands, 1967; Volume 9, pp. 517–528. ISBN 1876-0813. [Google Scholar]
  34. Karnick, C.R. Phytochemical Investigations of Some Tylophora Species Found in India. Planta Med. 1975, 27, 333–336. [Google Scholar] [CrossRef]
  35. Chaturvedi, P.; Chowdhary, A. Enhancement of Antioxidant Compound in Tylophora indica (Asclepeadaceae) Callus. Adv. Appl. Sci. Res. 2013, 4, 325–330. [Google Scholar]
  36. Reddy, B.U. Antimicrobial Activity of Datura stramonium L. and Tylophora indica (Burm. F.) Merr. Pharmacologyonline 2009, 1, 1293–1300. [Google Scholar]
  37. Patel, S.R. Studies for Developing Shoot Cultures of Leptadenia reticulata (Retz.) Wight and Arn and Tylophora indica (Burm. F.) Merrill with Phytochemical Analysis. Ph.D. Thesis, Maharaja Sayajirao University of Baroda, Vadodara, India, 2021. [Google Scholar]
  38. Bhardwaj, S.; Kaur, A.; Kaur, M.; Singh, J.P.; Kaur, J.; Nammi, S. Evaluation of Anti-Inflammatory Activity of Tylophora asthmatica. Curr. Trends Biotechnol. Pharm. 2021, 15, 90–95. [Google Scholar]
  39. Gupta, R.; Datta, A.; Shri, R. Extraction Process Optimization of Tylophorine from Tylophora asthmatica Wight & Arn. Pharmacogn. J. 2012, 4, 19–23. [Google Scholar]
  40. Ying, Z.Y.; Shi, H.X.; De Quan, Y.U.; Shan, Y.U.S. Antitumor Alkaloids Isolated from Tylophora ovata. J. Integr. Plant Biol. 2002, 44, 349–353. [Google Scholar]
  41. Dhiman, M.; Khanna, A.; Manju, S. A New Phenanthroindolizidine Alkaloid from Tylophora indica. Chem. Pap. 2013, 67, 245–248. [Google Scholar] [CrossRef]
  42. Lee, Y.-Z.; Huang, C.-W.; Yang, C.-W.; Hsu, H.-Y.; Kang, I.-J.; Chao, Y.-S.; Chen, I.-S.; Chang, H.-Y.; Lee, S.-J. Isolation and Biological Activities of Phenanthroindolizidine and Septicine Alkaloids from the Formosan Tylophora ovata. Planta Med. 2011, 77, 1932–1938. [Google Scholar] [CrossRef]
  43. Meve, U.; Liede, S. Floristic Exchange between Mainland Africa and Madagascar: Case Studies in Apocynaceae–Asclepiadoideae. J. Biogeogr. 2002, 29, 865–873. [Google Scholar] [CrossRef]
  44. Vivean, P.R.; Kumar, V.; Manigandan, L.S.; Sasikala, M.; Parthibhan, P. Tylophora indica—A Mini Review. Int. J. Front. Sci. Technol. 2014, 2, 58–66. [Google Scholar]
  45. Forster, P.I. The Distribution and Synonymy of Tylophora biglandulosa (Asclepiadaceae). Kew Bull. 1991, 46, 563–567. [Google Scholar] [CrossRef]
  46. Sharma, O.P. Plant Taxonomy; Tata McGraw-Hill Education: New York, NY, USA, 1993; ISBN 0074603736. [Google Scholar]
  47. Gupta, M.; Singh, M.; Mukhtar, H.; Ahmad, S. Pharmacognostical Evaluation of Tylophora indica (Burm. F.) Merill. by Quality Control Parameters. Int. J. Pharmacogn. Phytochem. Res. 2010, 2, 64–69. [Google Scholar]
  48. Huft, M.J. The World Flora Online. 2021. Available online: http://www.worldfloraonline.org/ (accessed on 1 January 2023).
  49. Starlin, T.; Gopalakrishnan, V.K. Enzymatic and Non-Enzymatic Antioxidant Properties of Tylophora Pauciflora Wight and Arn.—An in Vitro Study. Asian J. Pharm. Clin. Res 2013, 6, 68–71. [Google Scholar]
  50. Faisal, M.; Singh, S.; Anis, M. In Vitro Regeneration and Plant Establishment of Tylophora indica (Burm. f.) Merrill: Petiole Callus Culture. Vitr. Cell. Dev. Biol. 2005, 41, 511–515. [Google Scholar] [CrossRef]
  51. Dahanukar, S.A.; Thatte, U.M. Therapeutic Approaches in Ayurveda Revisited. Poppular Prakashan Mumbai 1989, 582, 10–42. [Google Scholar]
  52. Ignacimuthu, S.; Ayyanar, M.; Sankarasivaraman, K. Ethnobotanical Study of Medicinal Plants Used by Paliyar Tribals in Theni District of Tamil Nadu, India. Fitoterapia 2008, 79, 562–568. [Google Scholar] [CrossRef] [PubMed]
  53. Reddy, B.K.; Balaji, M.; Reddy, P.U.; Sailaja, G.; Vaidyanath, K.; Narasimha, G. Antifeedant and Antimicrobial Activity of Tylophora indica. Afr. J. Biochem. Res. 2009, 3, 393–397. [Google Scholar]
  54. Udupa, A.L.; Udupa, S.L.; Guruswamy, M.N. The Possible Site of Anti-Asthmatic Action of Tylophora asthmatica on Pituitary-Adrenal Axis in Albino Rats. Planta Med. 1991, 57, 409–413. [Google Scholar] [CrossRef]
  55. Bashir, A.; Ali, N.; Bashir, S.; Choudhary, M. Biological Activities of Aerial Parts of Tylophora hirsuta Wall. Afr. J. Biotechnol. 2009, 8, 4627–4631. [Google Scholar]
  56. Ruyani, A.; Sinta, B.D.; Anansyah, F.; Putri, S.R.; Sundaryono, A. Preliminary Studies on Therapeutic Effect of Ethanolic Extract of Tylophora Villosa Leaves against Paracetamol-Induced Hepatotoxicity in Mice. J. Tradit. Complement. Med. 2019, 9, 285–296. [Google Scholar] [CrossRef]
  57. Kumar, K.; Fateh, V.; Verma, B.; Pandey, S. Some Herbal Drugs Used for Treatment of Diabetes. Int. J. Res. Dev. Pharm. Life Sci. 2014, 3, 1116–1120. [Google Scholar]
  58. Pande, P.C.; Tiwari, L.; Pande, H.C. Ethnoveterinary Plants of Uttaranchal—A Review. Indian J. Tradit. Knowl. 2007, 6, 444–458. [Google Scholar]
  59. Ahmad, M.; Qureshi, R.; Arshad, M.; Khan, M.A.; Zafar, M. Traditional Herbal Remedies Used for the Treatment of Diabetes from District Attock (Pakistan). Pak. J. Bot. 2009, 41, 2777–2782. [Google Scholar]
  60. Sathyabama, S.; Sankaranarayanan, S.; Bama, P.; Ramachandran, J.; Bhuvaneswari, N.; Jayasurya Kingsley, S. Antibacterial Activity of Medicinal Plants Used as Ethnomedicine by the Traditional Healers of Musiri Thaluk, Trichy District Tamil Nadu, India. J. Med. Plants Res 2013, 7, 1452–1460. [Google Scholar]
  61. MS, V.; More, V.S.; Zameer, F.; Muddapur, U.; More, S.S. Ethnomedicinal Plants and Isolated Compounds against Snake Venom Activity: A Review. Indian J. Nat. Prod. Resour. 2022, 12, 491–505. [Google Scholar]
  62. Panda, T.; Padhy, R.N. Ethnomedicinal Plants Used by Tribes of Kalahandi District, Orissa. Indian J. Tradit. Knowl. 2008, 7, 242–249. [Google Scholar]
  63. Hasan, M.N.; Azam, N.K.; Ahmed, M.N.; Hirashima, A. A Randomized Ethnomedicinal Survey of Snakebite Treatment in Southwestern Parts of Bangladesh. J. Tradit. Complement. Med. 2016, 6, 337–342. [Google Scholar] [CrossRef]
  64. Rahman, M.A.; Begum, K.; Rashid, M.E.; Rashid, H. Medicinal Plant Diversity in the Flora of Bangladesh and Their Conservation: 2. A Report on Ten Angiosperm Families. Plant Arch. 2012, 12, 1023–1035. [Google Scholar]
  65. Chen, C.-Y.; Bai, L.-P.; Ke, Z.-F.; Liu, Y.; Wang, J.-R.; Jiang, Z.-H. G-Quadruplex DNA-Binding Quaternary Alkaloids from Tylophora atrofolliculata. RSC Adv. 2016, 6, 114135–114142. [Google Scholar] [CrossRef]
  66. Huang, X.; Gao, S.; Fan, L.; Yu, S.; Liang, X. Cytotoxic Alkaloids from the Roots of Tylophora atrofolliculata. Planta Med. 2004, 70, 441–445. [Google Scholar]
  67. Huang, A.-C.; Chen, C.-Y.; Wang, J.-R.; Jiang, Z.-H. Three New C21 Steroidal Glycosides from Tylophora atrofolliculata. Phytochem. Lett. 2020, 36, 111–114. [Google Scholar] [CrossRef]
  68. Chen, C.-Y.; Zhu, G.-Y.; Xie, T.-G.; Jiang, P.-C.; Wang, J.-R.; Jiang, Z.-H. A Phenanthroindolizidine Glycoside with HIF-1 Inhibitory Activity from Tylophora atrofolliculata. Phytochem. Lett. 2019, 31, 39–42. [Google Scholar] [CrossRef]
  69. Kong, Y.C.; Jing-Xi, X.; But, P.P.-H. Fertility Regulating Agents from Traditional Chinese Medicines. J. Ethnopharmacol. 1986, 15, 1–44. [Google Scholar] [CrossRef]
  70. Phillipson, J.D.; Tezcan, I.; Hylands, P.J. Alkaloids of Tylophora Species from Sri Lanka. Planta Med. 1974, 25, 301–309. [Google Scholar] [CrossRef]
  71. Gellert, E. The Indolizidine Alkaloids. J. Nat. Prod. 1982, 45, 50–73. [Google Scholar] [CrossRef]
  72. Russel, J.H. Alkaloids of Ficus Species. Occurrence of Indolizidine Alkaloids in Ficus Septica. Naturwissenschaften 1963, 50, 443–444. [Google Scholar] [CrossRef]
  73. Abe, F.; Hirokawa, M.; Yamauchi, T.; Honda, K.; Hayashi, N.; Ishil, M.; Imagawa, S.; Iwahana, M. Further Investigation of Phenanthroindolizidine Alkalodis from Tylophora tanakae. Chem. Pharm. Bull. 1998, 46, 767–769. [Google Scholar] [CrossRef] [PubMed]
  74. Abe, F.; Iwase, Y.; Yamauchi, T.; Honda, K.; Hayashi, N. Phenanthroindolizidine Alkaloids from Tylophora tanakae. Phytochemistry 1995, 39, 695–699. [Google Scholar] [CrossRef]
  75. Mostafa, E.M.; Mohammed, H.A.; Musa, A.; Abdelgawad, M.A.; Al-Sanea, M.M.; Almahmoud, S.A.; Ghoneim, M.M.; Gomaa, H.A.M.; Rahman, F.E.-Z.S.A.; Shalaby, K. In Vitro Anti-Proliferative, and Kinase Inhibitory Activity of Phenanthroindolizidine Alkaloids Isolated from Tylophora indica. Plants 2022, 11, 1295. [Google Scholar] [CrossRef]
  76. Gellert, E.; Rudzats, R.; Craig, J.C.; Roy, S.K.; Woodard, R.W. The Absolute Configuration of Cryptopleurine and Tylocrebrine. Aust. J. Chem. 1978, 31, 2095–2097. [Google Scholar] [CrossRef]
  77. Bhakuni, D.S.; Mangla, V.K. Biosynthesis of Tylophorine and Tylophorinine. Tetrahedron 1981, 37, 401–407. [Google Scholar] [CrossRef]
  78. Ali, M.; Bhutani, K.K. Alkaloids from Tylophora indica. Phytochemistry 1989, 28, 3513–3517. [Google Scholar] [CrossRef]
  79. Gao, W.; Chen, A.P.-C.; Leung, C.-H.; Gullen, E.A.; Fürstner, A.; Shi, Q.; Wei, L.; Lee, K.-H.; Cheng, Y.-C. Structural Analogs of Tylophora Alkaloids May Not Be Functional Analogs. Bioorg. Med. Chem. Lett. 2008, 18, 704–709. [Google Scholar] [CrossRef]
  80. Ali, M.; Bhutani, K.K. Minor Alkaloids of Tylophora hirsuta. Phytochemistry 1987, 26, 2089–2092. [Google Scholar] [CrossRef]
  81. Bhutani, K.K.; Ali, M.; Atal, C.K. 13a-Hydroxytylophorine from Tylophora hirsuta. Phytochemistry 1985, 24, 2778–2780. [Google Scholar] [CrossRef]
  82. Mulchandani, N.B.; Venkatachalam, S.R. Tylophorinicine, a Phenanthroindolizidine Alkaloid from Tylophora asthmatica and Pergularia Pallida. Phytochemistry 1984, 23, 1206. [Google Scholar] [CrossRef]
  83. Ali, M.; Ansari, S.H.; Qadry, J.S. Rare Phenanthroindolizidine Alkaloids and a Substituted Phenanthrene, Tyloindane, from Tylophora indica. J. Nat. Prod. 1991, 54, 1271–1278. [Google Scholar] [CrossRef]
  84. Bhutani, K.K.; Ali, M.; Atal, C.K. Alkaloids from Tylophora hirsuta. Phytochemistry 1984, 23, 1765–1769. [Google Scholar] [CrossRef]
  85. Mulchandani, N.B.; Iyer, S.S.; Badheka, L.P. Incorporation of Tyrosine-2-14C into Tylophorine. Phytochemistry 1969, 8, 1931–1935. [Google Scholar] [CrossRef]
  86. Mulchandani, N.B.; Iyer, S.S.; Badheka, L.P. Incorporation of Phenylalanine-2-14C into Tylophorine. Phytochemistry 1971, 10, 1047–1050. [Google Scholar] [CrossRef]
  87. Mulchandani, N.B.; Iyer, S.S.; Badheka, L.P. Incorporation of Cinnamic Acid-2-[14C] into Tylophorine. Phytochemistry 1976, 15, 1697–1699. [Google Scholar] [CrossRef]
  88. Chandra, S. Natural Plant Genetic Engineer Agrobacterium Rhizogenes: Role of T-DNA in Plant Secondary Metabolism. Biotechnol. Lett. 2012, 34, 407–415. [Google Scholar] [CrossRef]
  89. Supriya, R.; Kala, R.G.; Thulaseedharan, A. Hairy Root Culture: Secondary Metabolite Production in a Biotechnological Perspective. In Plant Metabolites: Methods, Applications and Prospects; Springer: Berlin/Heidelberg, Germany, 2020; pp. 89–110. [Google Scholar]
  90. Chaudhuri, K.N.; Ghosh, B.; Jha, S. The Root: A Potential New Source of Competent Cells for High-Frequency Regeneration in Tylophora indica. Plant Cell Rep. 2004, 22, 731–740. [Google Scholar]
  91. Chaudhuri, K.N.; Ghosh, B.; Tepfer, D.; Jha, S. Genetic Transformation of Tylophora indica with Agrobacterium Rhizogenes A4: Growth and Tylophorine Productivity in Different Transformed Root Clones. Plant Cell Rep. 2005, 24, 25–35. [Google Scholar] [CrossRef]
  92. Cyriac, A.; Thomas, T.; Thomas, T.D. Tylophorine: Sources, Properties, Applications and Biotechnological Production. In Plant-Derived Bioactives; Springer: Berlin/Heidelberg, Germany, 2020; pp. 167–176. [Google Scholar]
  93. Anand, M.; Kaur, H.; Goyal, D. A Micropropagation System for Tylophora indica and Extraction and Purification of Tylophorine from Cultures and in Vitro Regenerated Plants. Proc. Int. Conf. Environ. Biomed. Biotechnol. IPCBEE 2012, 41, 14–17. [Google Scholar]
  94. Harmanjit, K.; Manju, A.; Dinesh, G. Extraction of Tylophorine from in Vitro Raised Plants of Tylophora indica. J. Med. Plants Res. 2011, 5, 729–734. [Google Scholar]
  95. Gopalakrishnan, C.; Shankaranarayanan, D.; Nazimudeen, S.K.; Kameswaran, L. Effect of Tylophorine, a Major Alkaloid of Tylophora indica, on Immunopathological and Inflammatory Reactions. Indian J. Med. Res. 1980, 71, 940–948. [Google Scholar] [PubMed]
  96. Gupta, S.; George, P.; Gupta, V.; Tandon, V.R.; Sundaram, K.R. Tylophora indica in Bronchial Asthma—A Double Blind Study. Indian J. Med. Res. 1979, 69, 981–989. [Google Scholar]
  97. Ganguly, T.; Sainis, K.B. Inhibition of Cellular Immune Responses by Tylophora indica in Experimental Models. Phytomedicine 2001, 8, 348–355. [Google Scholar] [CrossRef]
  98. Yamaguchi, H. Immunomodulation by Medicinal Plants. Microb. Infect. 1992, 319, 287–297. [Google Scholar]
  99. Samy, R.P.; Thwin, M.M.; Gopalakrishnakone, P.; Ignacimuthu, S. Ethnobotanical Survey of Folk Plants for the Treatment of Snakebites in Southern Part of Tamilnadu, India. J. Ethnopharmacol. 2008, 115, 302–312. [Google Scholar] [CrossRef]
  100. Balasubramanian, G.; Sarathi, M.; Kumar, S.R.; Hameed, A.S.S. Screening the Antiviral Activity of Indian Medicinal Plants against White Spot Syndrome Virus in Shrimp. Aquaculture 2007, 263, 15–19. [Google Scholar] [CrossRef]
  101. Pratheesh, K.V.; Shine, V.J.; Emima, J.; Renju, G.L.; Rajesh, R. Study on the Anti-Cancer Activity of Tylophora indica Leaf Extracts on Human Colorectal Cancer Cells. Int. J. Pharmacogn. Phytochem. Res. 2014, 6, 355–361. [Google Scholar]
  102. Rao, K.V.; Wilson, R.A.; Cummings, B. Alkaloids of Tylophora III: New Alkaloids of Tylophora indica (Burm) Merrill and Tylophora dalzellii Hook. F. J. Pharm. Sci. 1971, 60, 1725–1726. [Google Scholar] [CrossRef]
  103. Kathuria, V.; Kaushik, N. Feeding Inhibition of Helicoverpa armigera (Hübner) by Eucalyptus camaldulensis and Tylophora indica Extracts. Insect Sci. 2005, 12, 249–254. [Google Scholar] [CrossRef]
  104. Arulmozhi, S.; Mazumder, P.M.; Ashok, P.; Narayanan, L.S. Pharmacological Activities of Alstonia scholaris Linn.(Apocynaceae)—A Review. Pharmacogn. Rev. 2007, 1, 163–170. [Google Scholar]
  105. Gupta, M.; Mukhtar, H.M.; Ahmad, S. In-vitro evaluation of antioxidant activity and total phenolic content of Tylophora indica (burm f.) Merill. Int. J. Pharm. Sci. Res. 2011, 2, 121–126. [Google Scholar]
  106. Dhiman, M.; Naik, V.; Kshirsagar, R.; Chandrakant, D.D.; Manju, S.L. Antioxidant Activity of Hydrochloride Salt of Tylophorinidine and Tylophorinine Isolated from Aerial Parts of Tylophora indica. Int. J. Res. Ayurveda Pharm. 2012, 3, 121–124. [Google Scholar]
  107. Mujeeb, M.; Aeri, V.; Bagri, P.; Khan, S.A. Hepatoprotective Activity of the Methanolic Extract of Tylophora indica (Burm. f.) Merill. Leaves. Int. J. Green Pharm. 2009, 3, 125–127. [Google Scholar] [CrossRef]
  108. Jahas, J.; Ranjita, K.; Manikkoth, S.; Rao, S.N. Protective Role of Tylophora indica Ethanolic Extract on Artesunate Induced Liver Toxicity. Int. J. App. Bio. Pharma. Tech. 2014, 5, 206–210. [Google Scholar]
  109. Shyamjith, M.; Rao, S.N. Effect of Ethanolic Extract of Phyllanthus Amarus and Tylophora indica on Isoniazid Induced Hepatic Injury in Wistar Albino Rats. Int. J. App. Biol. Pharma. Tech. 2013, 4, 141–149. [Google Scholar]
  110. Patel, N.; Gujrati, V.; Gouda, T.S.; VenkatRao, N.; Nandakumar, K.; Shalam, M.; Kumar, S.M.S. Hepatoprotective Effect of Root Extracts of Tylophora indica (Wight & Arn) against Ethanol Induced Liver Damage in Rats. Toxicol. Int. 2007, 14, 57–62. [Google Scholar]
  111. Shrivijayakirubha, T.; Nagavalli, D.; Hemalatha, S. Evaluation of Hepatoprotective Activity of Leaves of Tylophora indica Linn. Hamdard Med. 2009, 52, 102–107. [Google Scholar]
  112. Parekh, J.; Chanda, S. Antibacterial Activities of Aqueous and Alcoholic Extracts of 34 Indian Medicinal Plants against Some Staphylococcus Species. Turk. J. Biol. 2008, 32, 63–71. [Google Scholar]
  113. Vanitha, A.; Vijayakumar, S.; Ranjitha, V.; Kalimuthu, K. Phytochemical Screening and Antimicrobial Activity of Wild and Tissue Cultured Plant Extracts of Tylophora indica. Asian J. Pharm. Pharmacol. 2019, 5, 21–32. [Google Scholar] [CrossRef]
  114. Kaur, H.; Singh, K. A Brief Phytopharmacological Overview of Tylophora indica—An Endangered Medicinal Plant. Int. J. Pharm. Sci. Res. 2012, 3, 4073–4076. [Google Scholar]
  115. Ranemma, M.; Nagendram, E.; Niranjan, S.; Reddy, A.N.; Mohan, C.H. Phytochemical Analysis, Antibacterial and Antioxidant Activity of Tylophora indica. Int. J. Curr. Microbiol. App. Sci 2017, 6, 487–493. [Google Scholar] [CrossRef]
  116. Mahishi, P.; Srinivasa, B.H.; Shivanna, M.B. Medicinal Plant Wealth of Local Communities in Some Villages in Shimoga District of Karnataka, India. J. Ethnopharmacol. 2005, 98, 307–312. [Google Scholar] [CrossRef]
  117. Samy, R.P.; Pushparaj, P.N.; Gopalakrishnakone, P. A Compilation of Bioactive Compounds from Ayurveda. Bioinformation 2008, 3, 100–110. [Google Scholar] [CrossRef] [PubMed]
  118. Savithramma, N.; Sulochana, C.; Rao, K.N. Ethnobotanical Survey of Plants Used to Treat Asthma in Andhra Pradesh, India. J. Ethnopharmacol. 2007, 113, 54–61. [Google Scholar] [CrossRef]
  119. Goun, E.; Cunningham, G.; Chu, D.; Nguyen, C.; Miles, D. Antibacterial and Antifungal Activity of Indonesian Ethnomedical Plants. Fitoterapia 2003, 74, 592–596. [Google Scholar] [CrossRef]
  120. Uniyal, M.R.; Billora, K. V Tylophora Hirsute Wight—An Indigenous Drug for Inducing Abortion. J. Res. Indian Med. 1973, 8, 95–96. [Google Scholar]
  121. Duke, J.A.; Ayensu, E.S. Medicinal Plants of China; Reference Publications: Algonac, MI, USA, 1985; Volume 4, ISBN 0917256204. [Google Scholar]
  122. Gao, W.; Bussom, S.; Grill, S.P.; Gullen, E.A.; Hu, Y.-C.; Huang, X.; Zhong, S.; Kaczmarek, C.; Gutierrez, J.; Francis, S. Structure–Activity Studies of Phenanthroindolizidine Alkaloids as Potential Antitumor Agents. Bioorg. Med. Chem. Lett. 2007, 17, 4338–4342. [Google Scholar] [CrossRef]
  123. Gao, W.; Lam, W.; Zhong, S.; Kaczmarek, C.; Baker, D.C.; Cheng, Y.-C. Novel Mode of Action of Tylophorine Analogs as Antitumor Compounds. Cancer Res. 2004, 64, 678–688. [Google Scholar] [CrossRef]
  124. Mostafa, E.M. Insecticidal Plant Constituents: Isolation, Structure Elucidation, and Biological Testing. Ph.D. Thesis, Al-Azhar University, Cairo, Egypt, 2009. [Google Scholar]
  125. Wang, K.; Hu, Y.; Liu, Y.; Mi, N.; Fan, Z.; Liu, Y.; Wang, Q. Design, Synthesis, and Antiviral Evaluation of Phenanthrene-Based Tylophorine Derivatives as Potential Antiviral Agents. J. Agric. Food Chem. 2010, 58, 12337–12342. [Google Scholar] [CrossRef]
  126. Yang, C.-W.; Lee, Y.-Z.; Kang, I.-J.; Barnard, D.L.; Jan, J.-T.; Lin, D.; Huang, C.-W.; Yeh, T.-K.; Chao, Y.-S.; Lee, S.-J. Identification of Phenanthroindolizines and Phenanthroquinolizidines as Novel Potent Anti-Coronaviral Agents for Porcine Enteropathogenic Coronavirus Transmissible Gastroenteritis Virus and Human Severe Acute Respiratory Syndrome Coronavirus. Antiviral Res. 2010, 88, 160–168. [Google Scholar] [CrossRef]
  127. Wang, Y.; Lee, S.; Ha, Y.; Lam, W.; Chen, S.-R.; Dutschman, G.E.; Gullen, E.A.; Grill, S.P.; Cheng, Y.; Fürstner, A. Tylophorine Analogs Allosterically Regulates Heat Shock Cognate Protein 70 and Inhibits Hepatitis C Virus Replication. Sci. Rep. 2017, 7, 1–11. [Google Scholar] [CrossRef]
  128. Nayampalli, S.S.; Sheth, U.K. Evaluation of Anti-Allergic Activity of Tylophora indica Using Rat Lung Perfusion. Indian J. Pharmacol. 1979, 11, 229–232. [Google Scholar]
  129. Saraswati, S.; Kanaujia, P.K.; Kumar, S.; Kumar, R.; Alhaider, A.A. Tylophorine, a Phenanthraindolizidine Alkaloid Isolated from Tylophora indica Exerts Antiangiogenic and Antitumor Activity by Targeting Vascular Endothelial Growth Factor Receptor 2–Mediated Angiogenesis. Mol. Cancer 2013, 12, 1–16. [Google Scholar] [CrossRef]
  130. Meera, R.; Devi, P.; Muthumani, P.; Kameswari, B.; Eswarapriya, B. Evaluation of Diuretic Activity from Tylophora indica Leaves Extracts. J. Pharm. Sci. Res. 2009, 1, 112–116. [Google Scholar]
  131. You, X.; Pan, M.; Gao, W.; Shiah, H.; Tao, J.; Zhang, D.; Koumpouras, F.; Wang, S.; Zhao, H.; Madri, J.A. Effects of a Novel Tylophorine Analog on Collagen-induced Arthritis through Inhibition of the Innate Immune Response. Arthritis Rheum. 2006, 54, 877–886. [Google Scholar] [CrossRef]
  132. Mendie, L.E.; Hemalatha, S. Molecular Docking of Phytochemicals Targeting GFRs as Therapeutic Sites for Cancer: An In Silico Study. Appl. Biochem. Biotechnol. 2022, 194, 215–231. [Google Scholar] [CrossRef]
  133. Shivpuri, D.N.; Menon, M.P.S.; Prakash, D. A Crossover Double-Blind Study on Tylophora indica in the Treatment of Asthma and Allergic Rhinitis. J. Allergy 1969, 43, 145–150. [Google Scholar] [CrossRef]
  134. Shivpuri, D.N.; Singhal, S.C.; Parkash, D. Treatment of Asthma with an Alcoholic Extract of Tylophora indica: A Cross-over, Double-Blind Study. Ann. Allergy 1972, 30, 407–412. [Google Scholar]
  135. Herbpthay. Uses-and-Benefits-of-Tylophora-Indica. Available online: https://herbpathy.com/Uses-and-Benefits-of-Tylophora-Indica-Cid1640 (accessed on 8 February 2023).
  136. WebMD. Tylophora—Uses, Side Effects, and More. Available online: https://www.webmd.com/vitamins/ai/ingredientmono-1524/tylophora (accessed on 8 February 2023).
Figure 1. Biogenetic outline of the genus Tylophora alkaloid.
Figure 1. Biogenetic outline of the genus Tylophora alkaloid.
Plants 12 01143 g001
Figure 2. Important biological activities of the genus Tylophora (The plant picture is for T. indica).
Figure 2. Important biological activities of the genus Tylophora (The plant picture is for T. indica).
Plants 12 01143 g002
Table 1. List of accepted species in the genus Tylophora and their synonyms.
Table 1. List of accepted species in the genus Tylophora and their synonyms.
Plant SpeciesSynonym
Tylophora anomala (NE Br.)
Tylophora anthopotamica (Hand-Mazz.)
Tylophora apiculata (Schum K.)
Tylophora arachnoidea (Goyder)
Tylophora arenicola (Merr.)
Tylophora astephanoides (Tsiang-PT Li)
Tylophora asthmatica (Wight Lf)
Tylophora augustiniana W Craib (Hemsl.)
Tylophora auriculata (Makino) Vincetoxicum sublanceolatum vr. auriculata (Franch.-Sav)
Tylophora badia (E. Mey.) Schltr. Tylophora badia vr. badia
Tylophora brevipes (Turcz.) Fern.-Vill.
Tylophora brownii (Hayata)Tylophora ovata vr. brownii Tsiang & P.T. Li (Hayata)
Tylophora cameroonica (NE Br.)
Tylophora chingtungensis (Tsiang-PT Li)
Tylophora cinerascens P Forst (R. Br.)Marsdenia cinerascens (R Br)
Pergularia cinerascens Spreng (R Br)
Tylophora coddii (Bulloc)
Tylophora congoensis (Schltr)
Tylophora congolana (Baill, Bulloc)
Tylophora conspicua (NE Br.)
Tylophora cordata (Druce)Tylophora syringaefolia (E Mey)
Tylophora costantiniana MG. Gilbert, WD. Stevens (Tsiang)
Tylophora cycleoides (Tsiang)
Tylophora dahomensis (K Schum)
Tylophora dickinsii Makino (Franch. & Sav.)Vincetoxicum sublanceolatum var. dickinsii Franch. & Sav.
Tylophora erubescens (Meve & Liede)
Tylophora flanaganii (Schltr)
Tylophora fleckii (Schltr, NE Br.)Tylophoropsis fleckii (Schltr)
Tylophora flexuosa RBr. Hoya flexuosa (R. Br.) Spreng., Tylophora carnosa (Wal ex Wight.), Tylophora tenuissima (Roxb, Wight-Arn), Tylophora tetrapetala (Dennst-Suresh), Vincetoxicum flexuosum (R. Br-Kuntze), Tylophora dielsii (H Lév Hu.), Tylophora tenuis (Blume)
Tylophora floribunda (Miq) Tylophora chungii (Merr), Vincetoxicum floribundum (Miq; Franch, Sav), Tylophora shikokiana (Matsumone)
Tylophora forrestii ME. (Gilbert-PT-Li)
Tylophora gilletii (Wild)
Tylophora glabra (Costantin) Tylophora renchangii (Tsiang), Tylophora renchangii (Tsiang)
Tylophora glabriflora (Warb, Schltr)
Tylophora glauca (Bullock)
Tylophora govanii (Wight-Arn) Decne.
Tylophora gracilenta (Tsiang-PT Li)
Tylophora gracilis (Wild)
Tylophora gracillima (Mark.)
Tylophora henryi (Warb)
Tylophora heterophylla (Rich A.)
Tylophora hirsuta (Wight) Diplolepis apiculata (Lindl)
Tylophora hui (Tsiang)
Tylophora indica (Burm.f.-Merr.)
Tylophora inhambanensis (Schltr)
Tylophora insulana (Tsiang-PT Li)
Tylophora iringensis (Goyder-Markgr) Pentarrhinum iringense (Markgr)
Tylophora javanica (Boerl-Hassk)Hybanthera javanica (Hassk)
Tylophora kerrii (Craib WG)Tylophora balansae (Costantin)
Tylophora koi (Mer) Tylophora taiwanensis (Hatus), Tylophora sootepensis (Craib WG)
Tylophora leptantha (Tsiang)
Tylophora longifolia (Wight)
Tylophora longipedunculata (Schweinfurth-Hoehnel, Schltr) Gymnema longepedunculatum Schweinfurth-Hoehnel, Sphaerocodon longipedunculatum (Schweinfurth-Hoehnel) K. Schum.
Tylophora lugardae (Bullock)
Tylophora lycioides (Decne, E Mey.)
Tylophora membranacea (Tsiang-PT Li)
Tylophora merrillii (Schltr)
Tylophora multiflora (Alston, Wight-Arn) Iphisia multiflora Wight & Arn.
Tylophora nana (Schneid CK)Tylophora nana vr. gansuensis (Wang LC-Sun XG)
Tylophora nikoensis Matsum (Franch-Sav) Vincetoxicum nikoense (Franch-Sav)
Tylophora oblonga NE Br. Tylophora liberica NE Br., Tylophora anfracta NE.Br.
Tylophora obtusula (Tanaka ex Franchet & Savatier) Makino Vincetoxicum sublanceolatum vr. obtusulum (Tanaka)
Tylophora oculata NE Br.
Tylophora oligophylla (Tsiang-Gilbert MG., Stevens WD.)
Tylophora oshimae (Hayata)
Tylophora ovata (Hook-Lindl.) Tylophora atrofolliculata F.P. Metcalf, Tylophora hispida vr. (brownie-Hayata), Tylophora jacquemontii (Decne), Tylophora lanyuensis Lu & Liu, Tylophora hispida (Decne), Tylophora mollissima (Wall), Tylophora panzhutenga (Zhu ZY), Tylophora ovata vr. ovata
Tylophora picta Tsiang
Tylophora plagiopetala (Schum K. & Schltr)
Tylophora rockii (PT Li & Gilbert MG)
Tylophora rotundifolia (Ham-Buch.) Tylophora trichophylla (Tsiang)
Tylophora secamonoides (Tsiang)
Tylophora silvestrii (Tsiang-PT Li, Pamp.)Henrya silvestrii (Pamp.)
Henryastrum silvestrii (Happ-Pamp.)
Tylophora simiana (Schltr)
Tylophora stenoloba (NE Br.-Schum K)
Tylophora subnuda (Sm. AC-Gray A)
Tylophora sylvatica (Decne) Tylophora bojeriana (Decne)
Vincetoxicum sylvaticum (Kuntze, Decne)
Tylophora tenerrima (Wight)
Tylophora tengii (Tsiang)
Tylophora tenuipedunculata (Schum K.)
Tylophora tsiangii (PT Li & Gilbert MG)Vincetoxicum tsiangii (PT Li)
Tylophora tuberculata (PT Li & Gilbert MG)
Tylophora umbellata (Schltr)
Tylophora uncinata (PT Li & Gilbert MG)
Tylophora urceolata (Meve)
Tylophora velutina G. Don (R Br.)Pergularia velutina (R Br.) Spreng, Marsdenia velutina R Br.
Tylophora yunnanensis (Schltr)
Tylophora zenkeri (Schltr)
Table 2. Ethno-medicinal uses of genus Tylophora species.
Table 2. Ethno-medicinal uses of genus Tylophora species.
Tylophora Species Ethno-Medicinal Applications LocationReference
T. asthinaticaTreatment of bronchial asthma and allergyIndia, Pakistan, and Indonesia[54,55]
T. villosaTreatment of liver disorders Indonesia [56]
T. hirsutaTreatment of diabetes, treatment of eye diseases in veterinary medicine India and Pakistan[57,58,59]
T. indicaTreatment of asthma, dermatitis, constipation (flower part), dysentery, cough, snake poison, and rheumatic conditions. The plant is also used as an expectorant, diaphoretic, and emetic agent. Bangladesh, India (Orissa state)[60,61,62,63,64]
T. fasciculataTreatment of fever and body painOrissa[62]
T. atrofolliculataTreatment of rheumatoid arthritisChina [65,66,67,68]
T. ovataTreatment of rheumatism, asthma, and traumatic injuryChina, and Taiwan[42]
T. floribundaTreatments of irregular mensesChania and Hong Kong [69]
T. barbataTreatments of inflammation Australia [69]
T. perrottetianaTreatments of woundsSri Lanka[70]
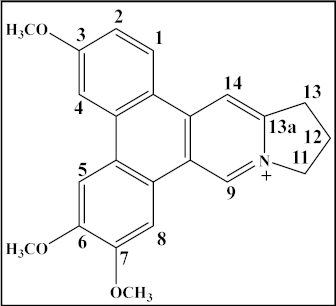
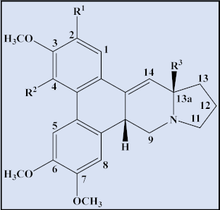
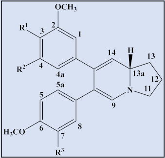
Table 3. Phenanthroindolizidine alkaloids isolated from the genus Tylophora.
Table 3. Phenanthroindolizidine alkaloids isolated from the genus Tylophora.
Plants 12 01143 i001
CpdTrivial NamePlant NameR1R2R3R4R5R6R7R813aReference
1IsotylocrebrineT. tanakae
T. indica
HOCH3OCH3HOCH3OCH3--S[73,74,75]
2TylophorineT. tanaka,
T. indica
T. crebriflora
OCH3OCH3HHOCH3OCH3--R[73,74,75,76]
33-dimethyl isotylocrebrineT.tanakaeHOHOCH3HOCH3OCH3--S[73,74]
43-demethyl tylophorinidineT. atrofolliculataHOHHHOHOCH3-α-OHS[65]
53-demethyl-14α-hydroxy isotylocrebrineT. tanakaeHOHOCH3HOCH3OCH3-α-OHS[73,74]
6Isotylocrebrine N-OxideT. tanakaeHOCH3OCH3HOCH3OCH3O-S[73,74]
714α-hydroxy isotylocrebrine N-OxideT. tanakaeHOCH3OCH3HOCH3OCH3Oα-OHS[73,74]
83-demethyl-14α-hydroxy isotylocrebrine N-OxideT. tanakaeHOHOCH3HOCH3OCH3Oα-OHS[73,74]
96-demethyltylocrebrineT. tanakaeOCH3OCH3HOCH3OHH--S[73,74]
10TylophorinineT. indica and
T. asthmatica
HOCH3HHOCH3OCH3-α-OHS[75,77,78]
11Tylophorinine N-OxideT. tanakae and
T. atrofolliculata
HOCH3HHOCH3OCH3Oα-OHS[66,73,74]
127-demethyltylophorineT. tanakaeOCH3OCH3HHOCH3OH--R[73,74]
13Tylophorine N-OxideT. tanakaeOCH3OCH3HHOCH3OCH3O-R[73,74]
147-demethyltylophorine-N-OxideT. tanakaeOCH3OCH3HHOCH3OHO-R[73,74]
15AntofineT. crebrifloraOCH3OCH3HHOCH3H--R[76,79]
1614α-hydroxy isotylocrebrineT. indica and
T. hirsuta
HOCH3OCH3HOCH3OCH3-α-OHS[78,80]
174-demethyl isotylocrebrineT. hirsutaHOCH3OHHOCH3OCH3--S[80]
183,6 Didemethyl isotylocrebrineT. tanakaeHOHOCH3HOHOCH3--α-OH[73]
1914-α-Hydroxy 3,6 didemethyl isotylocrebrineT. tanakaeHOHOCH3HOHOCH3-α-OHα-OH[73]
20TylocrebrineT. indica and
T crebriflora
OCH3OCH3HOCH3OCH3H--S[75,76]
21TylophorinidineT. indica and
T. atrofolliculata
HOCH3HHOHOCH3-α-OHS[66,75]
225-hydroxy-O-methyltylophorinidineT. indica and
T. hirsuta
HOCH3HOHOCH3OCH3-α-OHS[78,80]
23Tylophorinidine N-OxideT. atrofolliculataHOCH3HHOHOCH3Oα-OHS[66]
2413 α-HydroxytylophorineT. hirsutaOCH3OCH3HHOCH3OCH3--R[81]
256-demethyltylophorineT.indicaOCH3OCH3HHOHOCH3--R[78]
264&6-desmethyl isotylocrebrineT.indicaHOCH3OHHOHOCH3--S[78]
27Tyloindicine AT.indicaHOCH3OCH3OCH3OCH3H--S[78]
28Tyloindicine DT.indicaHOCH3OCH3OHOCH3OCH3--S[78]
29Tyloindicine ET.indicaHOCH3HHOHOCH3--S[78]
30CryptopleurineT. crebrifloraOCH3OCH3HHOCH3H--R[76]
31TylophorinicineT.asthmaticaOCH3OCH3HHOCH3OCH3-β-OHR[82]
Plants 12 01143 i002
CompoundTrivial namePlant nameR1R2R3Reference
32Tyloindicine GT.indicaOCH3HOH[83]
33Tyloindicine HT.indicaHOHH[83]
Plants 12 01143 i003
CompoundTrivial namePlant nameR1R2Reference
34TylohirsutinineT. hirsutaOCH3H[84]
35TylohirsutinidineT. hirsutaOHαOH[84]
Plants 12 01143 i004
CompoundTrivial namePlant nameR1R2R3R4R5Reference
36Tyloindicine CT. indicaOCH3OHOHOCH3-[78]
3713a-MethyltlohirsutineT. hirsutaOCH3OCH3OCH3OCH3-[84]
3813a-Methyltyl-ohirsutinidineT. hirsutaOCH3OHOCH3OCH3α-OH[84]
Plants 12 01143 i005Tylophoridicine DT. atrofolliculata [66]
Plants 12 01143 i006TyloindaneT. indica [83]
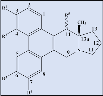
Table 4. Secophenanthroindolizidine alkaloids isolated from the genus Tylophora.
Table 4. Secophenanthroindolizidine alkaloids isolated from the genus Tylophora.
Plants 12 01143 i007
CompoundTrivial NamePlant NameR1R2R3Reference
1Tyloindicine IT. indicaOCH3OHOCH3[83]
2Tyloindicine JT. indicaHHOCOCH3[83]
Plants 12 01143 i008
CompoundTrivial namePlant nameRReference
3SepticineT. Tanakae and
T. indica
H[73,75]
413a-HydroxysepticineT. hirsutaOH[84]
Plants 12 01143 i009
CompoundTrivial namePlant nameR1R2Reference
5TylohirsuticineT. hirsutaOCH3OCH3[80]
6Tyloindicine BT. indicaHOCOCH3[78]
Plants 12 01143 i010Tyloindicine FT. indica [83]
Table 5. Uses and biological activities of various Tylophora species.
Table 5. Uses and biological activities of various Tylophora species.
Plant SpeciesUses/Biological PropertiesReference(s)
Tylophora indicaAsthma[82,83,84,85,86,87,95,96]
Anti-inflammatory, and anti-arthritic[95]
Suppress cellular immune responses[97,98]
Anti-snake-bite[99]
Anti-viral[100]
Antitumor[14,25,101,102]
Insecticide[103]
Free radical scavenging activity[32,104,105,106]
Hepato-protective activity[22,107,108,109,110,111]
Anti-bacterial[36,53,112,113,114,115]
Tylophora asthmaticaAsthma and dry cough[116,117]
Anti-snake-bite[118]
Jaundice/Liver protective[116]
Anti-bacterial and Anti-fungal activity[119]
Tylophora hirsuteAbortifacients (abortion inducer)[120]
Tylophora floribundaAnti-cancer[121]
Tylophora tanakaeCytotoxic, Insecticide[72,73]
Tylophora dalzelliiAnti-tumor[102]
Tylophora atrofolliculataAnti-tumor[122]
Tylophora paucifloraAnti-tumor, anti-viral, anti-fungal, anti-bacterial, anti-amoebic activities, anti-inflammatory, and antibiotic; insecticidal[49,123]
Table 6. Biological activities of alkaloidal constituents isolated from plants of the genus Tylophora.
Table 6. Biological activities of alkaloidal constituents isolated from plants of the genus Tylophora.
Active ConstituentTylophora SpeciesUsesReference
Tylophorine
(its structure is shown in Figure 1)
Tylophora indicaCytotoxic activity[124]
Insecticidal activity[124]
Anti-inflammatory[42]
Stimulant to adrenal Cortex[54]
Anti-feedant activity[53]
Anti-viral activities[125,126,127]
Anti-bacterial[53]
Anti-amoebic[81]
Anti-fungal[53]
Hepato-protective activity[22]
Anti-allergic activity[97,128]
Anti-angiogenic[129]
Diuretic activity[130]
Inhibition of cellular immune responses[97]
Arthritis[131]
Tylophora asthmaticaAsthma[116,117]
TylophorinicineTylophora indicaCytotoxic activity
Insecticidal activity
[116,117,130,131]
Tylophora asthmaticaAsthma
TylophorinineTylophora indicaCytotoxic activity
Insecticidal activity
[124]
Tylophora atrofolliculataCytotoxic activity on HCT-8 cell[66]
Tylophorinine-N-OxideTylophora indicaCytotoxic activity
Insecticidal activity
[124]
TylophorinidineTylophora indicaCytotoxic activity
Insecticidal activity
[124]
Tylophora atrofolliculataCytotoxic activity on HCT-8 cell[66]
Tylophorinidine-N-OxideTylophora indicaCytotoxic activity
Insecticidal activity
[124]
3-Demethyltylophorinidine
SepticineTylophora indica
3,6-Didemethyl isotylocrebrineTylophora tanakaeCytotoxic activity[73]
14-α-Hydroxy 3,6 didemethyl isotylocrebrine
Tylophoridicines C-FTylophora atrofolliculataCytotoxic activity on HCT-8 cell[66]
R-(+)-DeoxytylophorinidineTylophora atrofolliculata
Disclaimer/Publisher’s Note: The statements, opinions and data contained in all publications are solely those of the individual author(s) and contributor(s) and not of MDPI and/or the editor(s). MDPI and/or the editor(s) disclaim responsibility for any injury to people or property resulting from any ideas, methods, instructions or products referred to in the content.

Share and Cite

MDPI and ACS Style

Mostafa, E.M.; Musa, A.; Mohammed, H.A.; Alzarea, A.I.; Abdelgawad, M.A.; Al-Sanea, M.M.; Ismail, A.; Zafar, A.; Elmowafy, M.; Selim, S.; et al. Phenanthroindolizidine Alkaloids Secondary Metabolites Diversity in Medicinally Viable Plants of the Genus Tylophora. Plants 2023, 12, 1143. https://doi.org/10.3390/plants12051143

AMA Style

Mostafa EM, Musa A, Mohammed HA, Alzarea AI, Abdelgawad MA, Al-Sanea MM, Ismail A, Zafar A, Elmowafy M, Selim S, et al. Phenanthroindolizidine Alkaloids Secondary Metabolites Diversity in Medicinally Viable Plants of the Genus Tylophora. Plants. 2023; 12(5):1143. https://doi.org/10.3390/plants12051143

Chicago/Turabian Style

Mostafa, Ehab M., Arafa Musa, Hamdoon A. Mohammed, Abdulaziz Ibrahim Alzarea, Mohamed A. Abdelgawad, Mohammad M. Al-Sanea, Ahmed Ismail, Ameeduzzafar Zafar, Mohammed Elmowafy, Samy Selim, and et al. 2023. "Phenanthroindolizidine Alkaloids Secondary Metabolites Diversity in Medicinally Viable Plants of the Genus Tylophora" Plants 12, no. 5: 1143. https://doi.org/10.3390/plants12051143

APA Style

Mostafa, E. M., Musa, A., Mohammed, H. A., Alzarea, A. I., Abdelgawad, M. A., Al-Sanea, M. M., Ismail, A., Zafar, A., Elmowafy, M., Selim, S., & Khan, R. A. (2023). Phenanthroindolizidine Alkaloids Secondary Metabolites Diversity in Medicinally Viable Plants of the Genus Tylophora. Plants, 12(5), 1143. https://doi.org/10.3390/plants12051143

Note that from the first issue of 2016, this journal uses article numbers instead of page numbers. See further details here.

Article Metrics

Back to TopTop