Yield and Grain Quality of Common Wheat (Triticum aestivum L.) Depending on the Different Farming Systems (Organic vs. Integrated vs. Conventional)
Abstract
1. Introduction
2. Results and Discussion
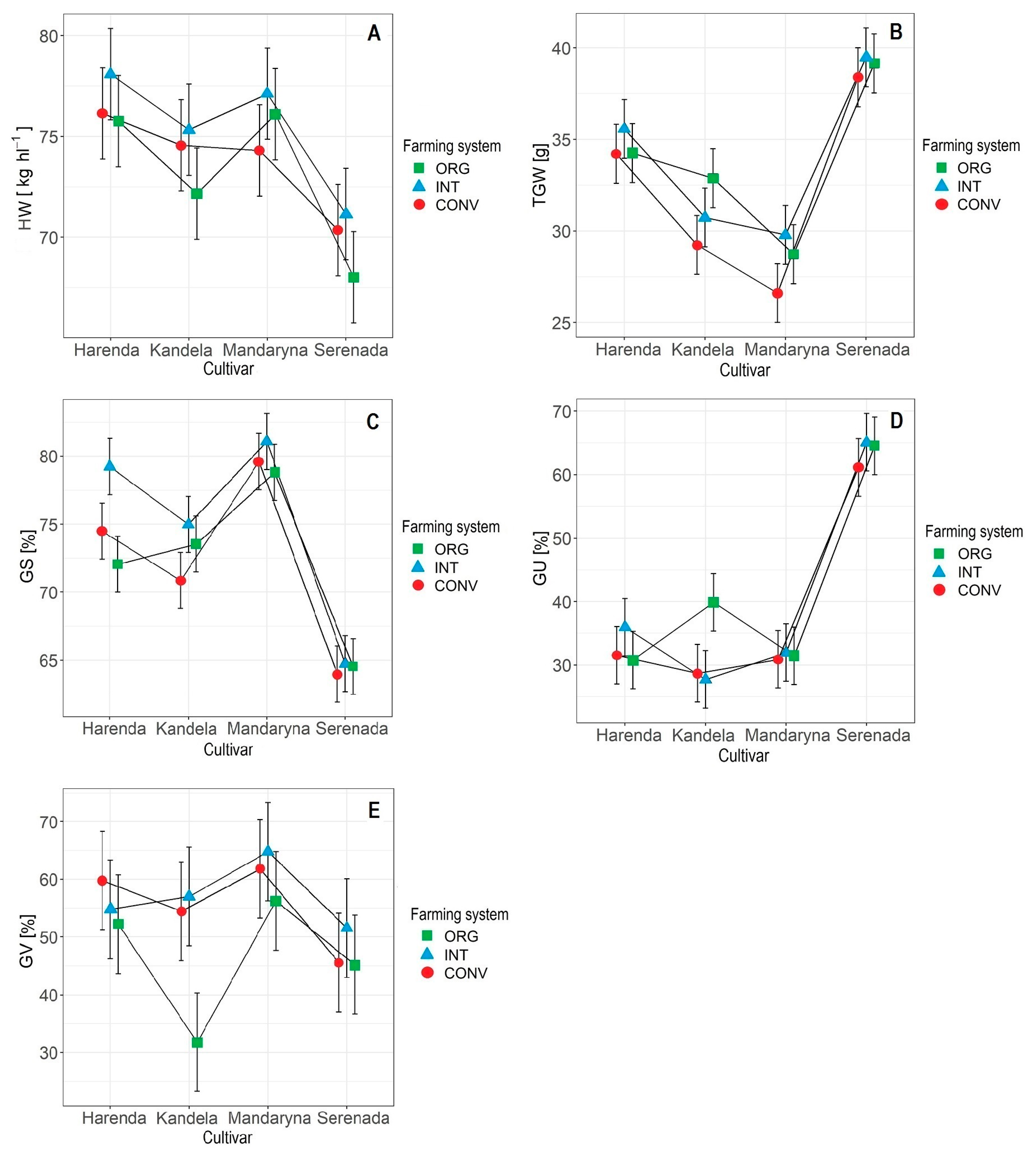
2.1. Grain Yield
2.2. Physical Properties
2.3. Chemical and Rheological Properties
2.4. PCA Analysis
3. Materials and Methods
3.1. Site Characteristics, Experimental Design, and Agronomic Practices
3.2. Meteorological Conditions
3.3. Yield Assessment
3.4. Grain Physical Properties
3.5. Grain Chemical and Rheological Properties
3.6. Statistical Analysis
4. Conclusions
Author Contributions
Funding
Institutional Review Board Statement
Informed Consent Statement
Data Availability Statement
Acknowledgments
Conflicts of Interest
Appendix A
| Farming System | Plant Protection Products | ||
|---|---|---|---|
| Herbicides | Fungicides | Insecticides | |
| 2019 | |||
| Organic | – | – | – |
| Integrated | – | Prosaro 250EC—0.8 l ha−1 | Fury 100EW—0.1 l·ha−1 |
| Conventional | Klinik Duo 360SL—5.0 l ha−1 | Capallo 337.5SE—1.5 l ha−1 | Fury 100EW—0.1 l·ha−1 |
| Mustang Forte 195SE—0.8 l ha−1 | Prosaro 250EC—0.8 l ha−1 | – | |
| 2020 | |||
| Organic | – | – | – |
| Integrated | – | Delaro 325SC—0.8 l ha−1 | Decis Mega—0.125 l ha−1 |
| Conventional | Zevio—4.0 l ha−1 | Delaro 325SC—0.8 l ha−1 | Titan 100EW—0.1 l ha−1 |
| Mustang Forte 195SE—0.8 l ha−1 | Prosaro 250EC—0.8 l ha−1 | – | |
| 2021 | |||
| Organic | – | – | – |
| Integrated | – | Input 460EC—1.0 l ha−1 | Sherpa 100EC—0.25 l ha−1 |
| Conventional | Zevio—4.0 l ha−1 | Input 460EC—1.0 l ha−1 | Sherpa 100EC—0.25 l ha−1 |
| Mustang Forte 195SE—0.8 l ha−1 | Priaxor—1.5 l ha−1 | – | |
References
- Shewry, P.R. Wheat. J. Exp. Bot. 2009, 60, 1537–1553. [Google Scholar] [CrossRef]
- FAOSTAT. Available online: https://www.fao.org/ (accessed on 29 November 2022).
- Łaba, S.; Cacak-Pietrzak, G.; Łaba, R.; Sułek, A.; Szczepański, K. Food Losses in Consumer Cereal Production in Poland in the Context of Food Security and Environmental Impact. Agriculture 2022, 12, 665. [Google Scholar] [CrossRef]
- Biel, W.; Kazimierska, K.; Bashutska, U. Nutritional value of wheat, triticale, barley and oat grains. Acta Sci. Pol. Zootech. 2020, 19, 19–28. (In Polish) [Google Scholar] [CrossRef]
- Cacak-Pietrzak, G. The use of wheat in various branches of the food industry—Technological requirements. Prz. Zboż. Młyn. 2008, 52, 11–13. (In Polish) [Google Scholar]
- Shewry, P.R.; Hey, S.J. The contribution of wheat to human diet and health. Food Energy Secur. 2015, 4, 178–202. [Google Scholar] [CrossRef] [PubMed]
- FAO. Plant Nutrition for Food Security: A Guide for Integrated Nutrient Management; FAO, Fertilizer and Plant Nutrition, Bulletin 16; FAO: Rome, Italy, 2018. [Google Scholar]
- Váňová, M.; Klem, K.; Míša, P.; Matušinsky, P.; Hajšlová, J.; Lancová, K. The content of Fusarium mycotoxins, grain yield and quality of winter wheat cultivars under organic and conventional cropping systems. Plant Soil Environ. 2008, 54, 395–402. [Google Scholar] [CrossRef]
- Dziki, D.; Cacak-Pietrzak, G.; Gawlik-Dziki, U.; Świeca, M.; Miś, A.; Różyło, R.; Jończyk, K. Physicochemical properties and milling characteristics of spring wheat from different farming systems. J. Agric. Sci. Technol. 2017, 19, 1253–1266. Available online: https://jast.modares.ac.ir/article-23-7491-en.html (accessed on 19 January 2023).
- Marzec, A.; Cacak-Pietrzak, G.; Gondek, E. Mechanical and acoustic properties of spring wheat versus its technological quality factors. J. Texture Stud. 2011, 42, 319–329. [Google Scholar] [CrossRef]
- Rozbicki, J.; Ceglińska, A.; Gozdowski, D.; Jakubczyk, M.; Cacak-Pietrzak, G.; Mądry, W.; Golba, J.; Piechociński, M.; Sobczyński, G.; Studnicki, M.; et al. Influence of the cultivar, environment and managment on the grain yield and bread-making quality in winter wheat. J. Cer. Sci. 2015, 61, 126–132. [Google Scholar] [CrossRef]
- Knapowski, T.; Kozera, W.; Chmielewski, J.; Gorczyca, D.; Wszelaczyńska, E.; Pobereżny, J. Mineral fertilization as a factor determining technological value of grain of Triticum aestivum ssp. spelta L. J. Exp. Agric. Int. 2016, 27, 8–13. [Google Scholar] [CrossRef]
- Mäder, P.; Hahn, D.; Dubois, D.; Gunst, L.; Alföldi, T.; Bergmann, H.; Oehme, M.; Amadò, R.; Schneider, H.; Graf, U. Wheat quality in organic and conventional farming: Results of 21-year field experiment. J. Sci. Food Agric. 2007, 87, 1826–1835. [Google Scholar] [CrossRef]
- Zargar, M.; Polityko, P.; Pakina, E.; Bayat, M.; Vandyshev, V.; Kavhiza, N.; Kiselev, E. Productivity, quality and economics of four spring wheat (Triticum aestivum L.) cultivars as affected by three cultivation technologies. Agron. Res. 2018, 16, 2254–2264. [Google Scholar] [CrossRef]
- Sułek, A.; Cacak-Pietrzak, G. The influence of production technology on yield selected quality parameters of spring wheat cultivars. Agric. Sci. Crop Sci. Animal Sci. Res. Rural Develop. 2018, 2, 42–48. [Google Scholar] [CrossRef]
- Sułek, A.; Cacak-Pietrzak, G.; Wyzinska, M.; Nieróbca, A. Influence of nitrogen fertilization on the yields and grain quality of winter wheat under different environmental conditions. Int. J. Agric. Biol. Eng. 2019, 13, 127–133. [Google Scholar]
- Minhas, W.A.; Mehboob, N.; Yahya, M.; Rehman, H.U.; Farooq, S.; Hussain, M. The Influence of Different Crop Mulches on Weed Infestation, Soil Properties and Productivity of Wheat under Conventional and Conservation Production Systems. Plants 2023, 12, 9. [Google Scholar] [CrossRef]
- Gawęda, D.; Haliniarz, M. Grain Yield and Quality of Winter Wheat Depending on Previous Crop and Tillage System. Agriculture 2021, 11, 133. [Google Scholar] [CrossRef]
- Yousefian, M.; Shahbazi, F.; Hamidian, K. Crop Yield and Physicochemical Properties of Wheat Grains as Affected by Tillage Systems. Sustainability 2021, 13, 4781. [Google Scholar] [CrossRef]
- Aula, L.; Easterly, A.C.; Creech, C.F. Winter Wheat Seeding Decisions for Improved Grain Yield and Yield Components. Agronomy 2022, 12, 3061. [Google Scholar] [CrossRef]
- Cristache, S.-E.; Vuță, M.; Marin, E.; Cioacă, S.-I.; Vuţă, M. Organic versus Conventional Farming—A Paradigm for the Sustainable Development of the European Countries. Sustainability 2018, 10, 4279. [Google Scholar] [CrossRef]
- Buráňová, S.; Černý, J.; Mitura, K.; Lipińska, K.K.; Kovářík, J.; Balík, J. Effect of organic and mineral fertilizers on yield parameters and quality of wheat grain. Sci. Agric. Bohem. 2016, 47, 47–53. [Google Scholar] [CrossRef]
- Krejčířová, L.; Capouchová, I.; Petr, J.; Bicanová, E.; Faměra, O. The effect of organic and conventional growing systems on quality and storage protein composition of winter wheat. Plant Soil Environ. 2007, 53, 499–505. [Google Scholar] [CrossRef]
- Durham, T.C.; Mizik, T. Comparative Economics of Conventional, Organic, and Alternative Agricultural Production Systems. Economies 2021, 9, 64. [Google Scholar] [CrossRef]
- McArthur, J.W.; McCord, G.C. Fertilizing growth: Agricultural inputs and their effects in economic development. J. Dev. Econ. 2017, 127, 133–152. [Google Scholar] [CrossRef]
- Michalczyk, J. Food security in the face of globalization. Ekonomia 2012, 1, 9–23. (In Polish) [Google Scholar]
- Fischer, R.A.; Byerlee, D.; Edmeades, G.O. Crop Yields and Global Food Security: Will Yield Increase Continue to Feed the World? ACIAR Monograph No. 158; Australian Centre for International Agricultural Research: Canberra, ACT, Australia, 2014; Volume XXII, 634p. [Google Scholar]
- UN, Summary of Results. World Population Prospects 2022. Available online: https://www.un.org/development/desa/pd/sites/www.un.org.development.desa.pd/files/wpp2022_summary_of_results.pdf (accessed on 26 December 2022).
- Ponti, T.D.; Rijk, B.; Ittersum, M.K. The crop yield gap between organic and conventional agriculture. Agric. Syst. 2012, 108, 1–9. [Google Scholar] [CrossRef]
- Billsborrow, B.; Tétard-Jones, C.; Średnicka-Tober, D.; Cooper, J. The effect of organic and conventional management on the yield and quality of wheat grown in a long-term field trial. Eur. J. Agron. 2013, 51, 71–80. [Google Scholar] [CrossRef]
- Mazzoncini, M.; Antichi, D.; Silvestri, N.; Ciantelli, G.; Sgherri, C. Organically vs conventionally grown winter wheat: Effects on grain yield, technological quality, and on phenolic composition and antioxidant properties of bran and refined flour. Food Chem. 2015, 175, 445–451. [Google Scholar] [CrossRef]
- Głodowska, M.; Gałązka, A. Unsustainable agriculture and its environmental consequences. Zesz. Probl. Post. Nauk Roln. 2018, 592, 3–13. (In Polish) [Google Scholar]
- Wrzaszcz, W.; Prandecki, K. Agriculture and the European Green Deal. Probl. Agric. Econ. 2020, 4, 156–179. [Google Scholar] [CrossRef]
- Ben Hassen, T.; El Bilali, H. Impacts of the Russia-Ukraine War on Global Food Security: Towards More Sustainable and Resilient Food Systems? Foods 2022, 11, 2301. [Google Scholar] [CrossRef]
- Linina, A.; Ruža, A. The influence of cultivar, weather conditions and nitrogen fertilizer on winter wheat grain yield. Agron. Res. 2008, 16, 147–156. [Google Scholar] [CrossRef]
- Holík, L.; Hlisnikovský, L.; Kunzová, E. The effect of mineral fertilizers and farmyard manure on winter wheat grain yield and grain quality. Plant Soil Environ. 2018, 64, 491–497. [Google Scholar] [CrossRef]
- Cesevičienė, J.; Leistrumaitė, A.; Paplauskienė, V. Grain yield and quality of winter wheat varieties in organic agriculture. Agron. Res. 2009, 7, 217–223. Available online: https://agronomy.emu.ee/vol07Spec1/p7sI12.pdf (accessed on 19 January 2023).
- Polityko, P.; Rebouh, N.Y.; Kucher, D.; Vvedenskiy, V.; Kapranov, V.; Atmachian, G.; Behzad, A.; Urazova, E.; Khomenets, N.; Pakina, E.; et al. Productivity and grain quality of three spring wheat (Triticum aestivum L.) cultivars under three cultivation technologies. EurAsian J. BioSciences 2020, 14, 2089–2095. [Google Scholar]
- Kuś, J.; Jończyk, K.; Stalenga, J.; Feledyn-Szewczyk, B.; Mróz, A. Yields of the selected spring wheat varieties cultivated in organic and conventional crop production systems. J. Agric. Eng. 2011, 56, 18–23. (In Polish) [Google Scholar]
- Feledyn-Szewczyk, B.; Cacak-Pietrzak, G.; Lenc, L.; Stalenga, J. Rating of Spring Wheat Varieties (Triticum aestivum L.) According to Their Suitability for Organic Agriculture. Agronomy 2020, 10, 1900. [Google Scholar] [CrossRef]
- Chmura, K.; Chylinska, E.; Dmowski, Z.; Nowak, L. Role of the water factor in yield formation of chosen field crops. Infrastruct. Ecol. Rural. Areas 2009, 9, 33–44. [Google Scholar]
- Fowler, D.B. Crop Nitrogen Demand and Grain Protein Concentration of Spring and Winter Wheat. Agron. J. 2003, 95, 260–265. [Google Scholar] [CrossRef]
- Koppel, R.; Ingver, A. A comparison of the yield and quality traits of winter and spring wheat. Latv. J. Agron. 2008, 11, 83–89. Available online: https://agris.fao.org/agris-search/search.do?recordID=LV2009000049 (accessed on 19 January 2023).
- Studnicki, M.; Wijata, M.; Sobczyński, G.; Samborski, S.; Rozbicki, J. Assessing grain yield and quality traits stability of spring wheat cultivars at different crop management levels. Cereal Res. Commun. 2018, 46, 180–190. [Google Scholar] [CrossRef]
- Kołodziejczyk, M.; Szmigiel, A.; Oleksy, A. Influence of cultivation intensity on yielding of selected varieties of spring wheat. Acta Sci. Pol. Agric. 2007, 6, 5–14. (In Polish) [Google Scholar]
- Szymona, J. Evaluation of spring wheat varieties in the aspect of organic production’s usefulness. J. Agric. Eng. Res. 2011, 56, 148–151. (In Polish) [Google Scholar]
- Švančárková, M.; Žák, S. The grain quality of winter wheat in organic and conventional farming. Acta Fytotech. Zootech. 2015, 8, 22–24. [Google Scholar] [CrossRef]
- Cacak-Pietrzak, G. Studies on the Effect of Ecological and Conventional System of Plant Production on the Technological Value of Selected Varieties of Winter Wheat, Treatises and Monographs; Publications of Warsaw University of Life Sciences—SGGW: Warsaw, Poland, 2011; pp. 1–83. (In Polish) [Google Scholar]
- Sobolewska, M.; Stankowski, S. The influence of farming systems on the technological quality of grain and flour cultivars of winter wheat. Folia Pomer. Univ. Technol. Stetin. Agric. Aliment. Pisc. Zootech. 2017, 3321, 73–82. [Google Scholar] [CrossRef]
- PN-R-74107; Cereal Grain—Common Wheat. Polish Committee for Standardization: Warsaw, Poland, 1997; pp. 1–5. (In Polish)
- Dziki, D.; Cacak-Pietrzak, G.; Miś, A.; Jończyk, K.; Gawlik-Dziki, U. Influence of wheat kernel physical properties on the pulverizing process. J. Food Sci. Technol. 2014, 51, 2648–2655. [Google Scholar] [CrossRef]
- Feledyn-Szewczyk, B.; Cacak-Pietrzak, G.; Lenc, L.; Gromadzka, K.; Dziki, D. Milling and Baking Quality of Spring Wheat (Triticum aestivum L.) from Organic Farming. Agriculture 2021, 11, 765. [Google Scholar] [CrossRef]
- Nazarenko, M.; Mykolenko, S. Variation in grain productivity and quality of modern winter wheat varieties in northern Ukrainian Steppe. Ukr. J. Ecol. 2020, 10, 102–108. [Google Scholar] [CrossRef]
- Mazurkiewicz, J. Comparison of the technological quality of wheat and rye grown in conventional and organic farm conditions. Acta Agrophysica 2005, 6, 729–741. (In Polish) [Google Scholar] [CrossRef]
- Kwiatkowski, C.; Wesołowski, M.; Harasim, E.; Kubecki, J. Yield and grain quality of winter wheat cultivars depending on the level of agricultural technology. Pam Puławski 2006, 142, 277–286. (In Polish) [Google Scholar]
- Brankovic, G.; Dodig, D.; Zorić, M.; Surlan-Momirovic, G.; Dragicevic, V.; Djuric, N. Effects of climatic factors on grain vitreousness stability and heritability in durum wheat. Turk. J. Agric. For. 2014, 38, 429–440. [Google Scholar] [CrossRef]
- Mazzoncini, M.; Belloni, P.; Risaliti, R.; Antichi, D. Organic Vs Conventional Winter Wheat Quality and Organoleptic Bread Test. In Proceedings of the 3rd QLIF Congress, Hohenheim, Germany, 20–23 March 2007. [Google Scholar]
- Kihlberg, I.; Öström, Å.; Johannson, L.; Risvik, E. Sensory qualities of plain white pan bread: Influence of farming system, year of harvest and baking technique. J. Cer. Sci. 2006, 43, 15–30. [Google Scholar] [CrossRef]
- COBORU. Available online: https://coboru.gov.pl/PlikiWynikow/48_2021_WPDO_7_PSZJ.pdf (accessed on 25 December 2022).
- Toader, M.; Georgescu, E.; Nastase, P.I.; Ionescu, A.M. Some aspects of bakery industry quality for organic and conventional wheat. Sci. Pap. Ser. A. Agron. 2019, LXII, 450–455. [Google Scholar]
- Woźniak, A.; Rachoń, L.; Stępniewska, A. Spring wheat grain quality in relations to a cropping system. J. Elem. 2017, 23, 1295–1306. [Google Scholar] [CrossRef]
- Łysoń, E.; Biel, W.; Sobolewska, M. Estimation of the selected winter wheat (Triticum aestivum L.) varieties cultivated in organic and conventional crop production systems. Folia Pomer. Univ. Technol. Stetin. Agric. Aliment. Pisc. Zootech. 2015, 3203, 59–68. Available online: https://hdl.handle.net/20.500.12539/860 (accessed on 19 January 2023).
- Oleksy, A.; Szmigiel, A.; Kołodziejczyk, M. Influence of cultivation intensity on protein content and yield of winter wheat cultivars. Acta Sci. Pol. Agric. 2008, 7, 47–57. (In Polish) [Google Scholar]
- Keres, I.; Alaru, M.; Koppel, R.; Altosaar, I.; Tosens, T.; Loit, E. The Combined Effect of Nitrogen Treatment and Weather Conditions on Wheat Protein-Starch Interaction and Dough Quality. Agriculture 2021, 11, 1232. [Google Scholar] [CrossRef]
- Ingver, A.; Tamm, I.; Tamm, Ü. Effect of Organic and Conventional Production on Yield and the Quality of Spring Cereals. Latv. J. Agron. 2008, 11, 61–67. [Google Scholar]
- Biel, W.; Maciorowski, R. Evaluation of the nutritional value of selected wheat varieties. Food Sci. Technol. Qual. 2012, 19, 45–55. (In Polish) [Google Scholar]
- Linina, A.; Ruža, A. Impact of agroecological conditions on the Hagberg falling number of winter wheat grain. In Proceedings of the Annual 21st International Scientific conference: Research for Rural Development, Jelgava, Latvia, 13–15 May 2015. [Google Scholar]
- Skowera, B. Changes in hydrothermal conditions in Poland (1971−2010). Fragm. Agron. 2014, 31, 74–87. (In Polish) [Google Scholar]
- ISO 7971-3:2019; Cereals: Determination of Bulk Density, Called Mass Per Hectoliter—Part 3: Routine Method. ISO: Geneva, Switzerland, 2019.
- AACC. Method 08-01.01: Total ash., Method 46-11.02: Crude Protein—Improved Kjeldahl Method, Method 38-12.02: Wet gluten and Gluten Index, Method 56-81.03: Determination of Falling Number. In Official Methods of the American Association of Cereal Chemists, 11th ed.; AACC: St. Paul, MN, USA, 2010. [Google Scholar]







| Source of Variation | HW [kg hl−1] | TGW [g] | GS [%] | GU [%] | GV [%] |
|---|---|---|---|---|---|
| Year | ** | n.s. | n.s. | n.s. | ** |
| 2019 | 77.9 ± 2.99 c | 33.3 ± 4.32 | 40.0 ± 15.6 | 72.3 ± 7.79 | 54 ± 13.46 b |
| 2020 | 73.4 ± 2.30 b | 33.2 ± 6.33 | 37.7 ± 16.55 | 73.3 ± 5.22 | 63 ± 7.96 c |
| 2021 | 71.0 ± 4.36 a | 33.2 ± 3.29 | 42.2 ± 13.24 | 73.9 ± 7.15 | 41 ± 14.27 a |
| Cultivar | ** | ** | ** | ** | ** |
| Harenda | 76.7 ± 3.15 c | 34.7 ± 2.08 c | 32.7 ± 11.60 a | 75.3 ± 5.06 c | 56 ± 15.63 b |
| Kandela | 74.0 ± 2.99 b | 31.0 ± 2.56 b | 36.1 ± 7.99 b | 73.1 ± 4.87 b | 48 ± 16.68 a |
| Mandaryna | 75.8 ± 3.41 bc | 28.4 ± 2.42 a | 31.4 ± 1.96 a | 79.8 ± 2.06 d | 61 ± 12.25 b |
| Serenada | 69.8 ± 4.38 a | 39.0 ± 3.20 d | 64.4 ± 4.22 c | 64.4 ± 2.30 a | 47 ± 11.13 a |
| Farming system | ** | n.s. | ** | ** | ** |
| ORG | 73.0 ± 4.99 a | 33.8 ± 4.60 | 41.6 ± 15.05 b | 72.2 ± 5.84 a | 46 ± 19.91 a |
| INT | 75.6 ± 4.02 b | 33.9 ± 4.35 | 40.2 ± 16.26 b | 75.0 ± 6.74 b | 57 ± 10.28 b |
| CONV | 73.8 ± 3.67 a | 32.1 ± 5.24 | 38.1± 15.53 a | 72.2 ± 7.45 a | 55 ± 10.98 b |
| Source of Variation | AC [% d.m.]. | PC [% d.m.]. | WG [%] | GI [-] | FN [s] |
|---|---|---|---|---|---|
| Year | n.s. | ** | n.s. | ** | ** |
| 2019 | 1.97 ± 0.12 | 14.0 ± 1.76 a | 28.9 ± 5.23 | 91 ± 5.43 b | 243 ± 80.47 a |
| 2020 | 2.11 ± 0.07 | 13.8 ± 1.23 a | 30.7 ± 5.40 | 86 ± 6.49 a | 414 ± 40.50 b |
| 2021 | 2.00 ± 0.11 | 15.2 ± 1.37 b | 30.6 ± 5.06 | 91 ± 7.18 b | 239± 46.44 a |
| Cultivar | ** | ** | ** | ** | ** |
| Harenda | 2.03 ± 0.09 b | 14.1 ± 3.59 a | 28.8± 5.62 a | 95 ± 3.36 c | 270 ± 102.79 a |
| Kandela | 2.03 ± 0.16 b | 14.0 ± 1.49 a | 28.2 ± 4.25 a | 85 ± 30.16 a | 281± 107.50 a |
| Mandaryna | 1.97 ± 0.11 a | 14.0 ± 1.91 a | 29.3 ± 4.99 a | 88 ± 5.87 ab | 321± 112.41 b |
| Serenada | 2.08 ± 0.08 c | 15.2 ± 1.28 b | 34.0 ± 4.14 b | 89 ± 6.14 b | 323 ± 64.92 b |
| Farming system | n.s. | ** | ** | ** | ** |
| ORG | 2.03 ± 0.14 | 13.2 ± 1.23 a | 27.5 ± 5.90 a | 91 ± 5.72 b | 265 ± 106.84 a |
| INT | 2.02 ± 0.09 | 14.3 ± 1.44 b | 29.4 ± 4.35 b | 91 ± 6.40 b | 303 ± 92.55 b |
| CONV | 2.04 ± 6.31 | 15.5 ± 1.07 c | 33.4 ± 3.40 c | 87 ± 7.89 a | 324 ± 95.16 c |
| Wheat Cultivars | Abbreviation | Country of Origin | Breeding Company |
|---|---|---|---|
| Harenda | H | Poland | MHR Małopolska Hodowla Roślin sp. z o.o. |
| Kandela | K | DANKO Hodowla Roślin sp. z o.o. | |
| Mandaryna | M | ||
| Serenada | S | Hodowla Roślin Strzelce sp. z o.o. IHAR Group |
| Specification | Farming System | ||
|---|---|---|---|
| ORG | INT | CONV | |
| Soil properties: | |||
| pH KCl | 5.65 | 5.90 | 5.75 |
| C org (g kg−1 of soil) | 9.9 | 8.1 | 8.1 |
| P Egner (mg kg−1 of soil) | 40.3 | 84.8 | 85.4 |
| K Egner (mg kg−1 of soil) | 64.0 | 164.0 | 134.1 |
| Mg (mg kg−1 of soil) | 69.3 | 50.1 | 41.9 |
| Soil tillage | Mouldboard ploughing | ||
| Crop rotation | Potato, spring wheat + grass clover undersown, two * grass clover, winter wheat | Potato, spring wheat + clover, clover, winter wheat | Winter oilseed rape, winter wheat, spring wheat |
| Organic fertilisation | Compost (30 t ha−1) for potato+ catch crop | Compost (30 tha−1) for potato + two * catch crop | Rape straw, winter wheat straw |
| Mineral fertilisation (kg ha−1) | According to the crop requirements, natural P + K fertilisers (42 + 60) | N (85) + P (55) + K (75) | N (140) + P (60) + K (80) |
| Herbicides | 0 * | 1 * | 2 * |
| Fungicides | 0 * | 1 * | 2 * |
| Insecticides | 0 * | 1 * | 1 * |
| The growth regulator | 0 * | 1 * | 1 * |
| Harrowing | 0 * | 0 * | 1 * |
| Month | Year | ||
|---|---|---|---|
| 2019 | 2020 | 2021 | |
| III | optimal | quite wet | wet |
| IV | quite dry | very dry | very wet |
| V | wet | extremely wet | quite dry |
| VI | very dry | extremely wet | quite dry |
| VII | very dry | dry | optimal |
| VIII | optimal | quite dry | extremely wet |
Disclaimer/Publisher’s Note: The statements, opinions and data contained in all publications are solely those of the individual author(s) and contributor(s) and not of MDPI and/or the editor(s). MDPI and/or the editor(s) disclaim responsibility for any injury to people or property resulting from any ideas, methods, instructions or products referred to in the content. |
© 2023 by the authors. Licensee MDPI, Basel, Switzerland. This article is an open access article distributed under the terms and conditions of the Creative Commons Attribution (CC BY) license (https://creativecommons.org/licenses/by/4.0/).
Share and Cite
Mitura, K.; Cacak-Pietrzak, G.; Feledyn-Szewczyk, B.; Szablewski, T.; Studnicki, M. Yield and Grain Quality of Common Wheat (Triticum aestivum L.) Depending on the Different Farming Systems (Organic vs. Integrated vs. Conventional). Plants 2023, 12, 1022. https://doi.org/10.3390/plants12051022
Mitura K, Cacak-Pietrzak G, Feledyn-Szewczyk B, Szablewski T, Studnicki M. Yield and Grain Quality of Common Wheat (Triticum aestivum L.) Depending on the Different Farming Systems (Organic vs. Integrated vs. Conventional). Plants. 2023; 12(5):1022. https://doi.org/10.3390/plants12051022
Chicago/Turabian StyleMitura, Katarzyna, Grażyna Cacak-Pietrzak, Beata Feledyn-Szewczyk, Tomasz Szablewski, and Marcin Studnicki. 2023. "Yield and Grain Quality of Common Wheat (Triticum aestivum L.) Depending on the Different Farming Systems (Organic vs. Integrated vs. Conventional)" Plants 12, no. 5: 1022. https://doi.org/10.3390/plants12051022
APA StyleMitura, K., Cacak-Pietrzak, G., Feledyn-Szewczyk, B., Szablewski, T., & Studnicki, M. (2023). Yield and Grain Quality of Common Wheat (Triticum aestivum L.) Depending on the Different Farming Systems (Organic vs. Integrated vs. Conventional). Plants, 12(5), 1022. https://doi.org/10.3390/plants12051022

