Dermal Papilla Cell Proliferation of Phytochemicals Isolated from Chestnut Shells (Castanea crenata)
Abstract
1. Introduction
2. Results and Discussion
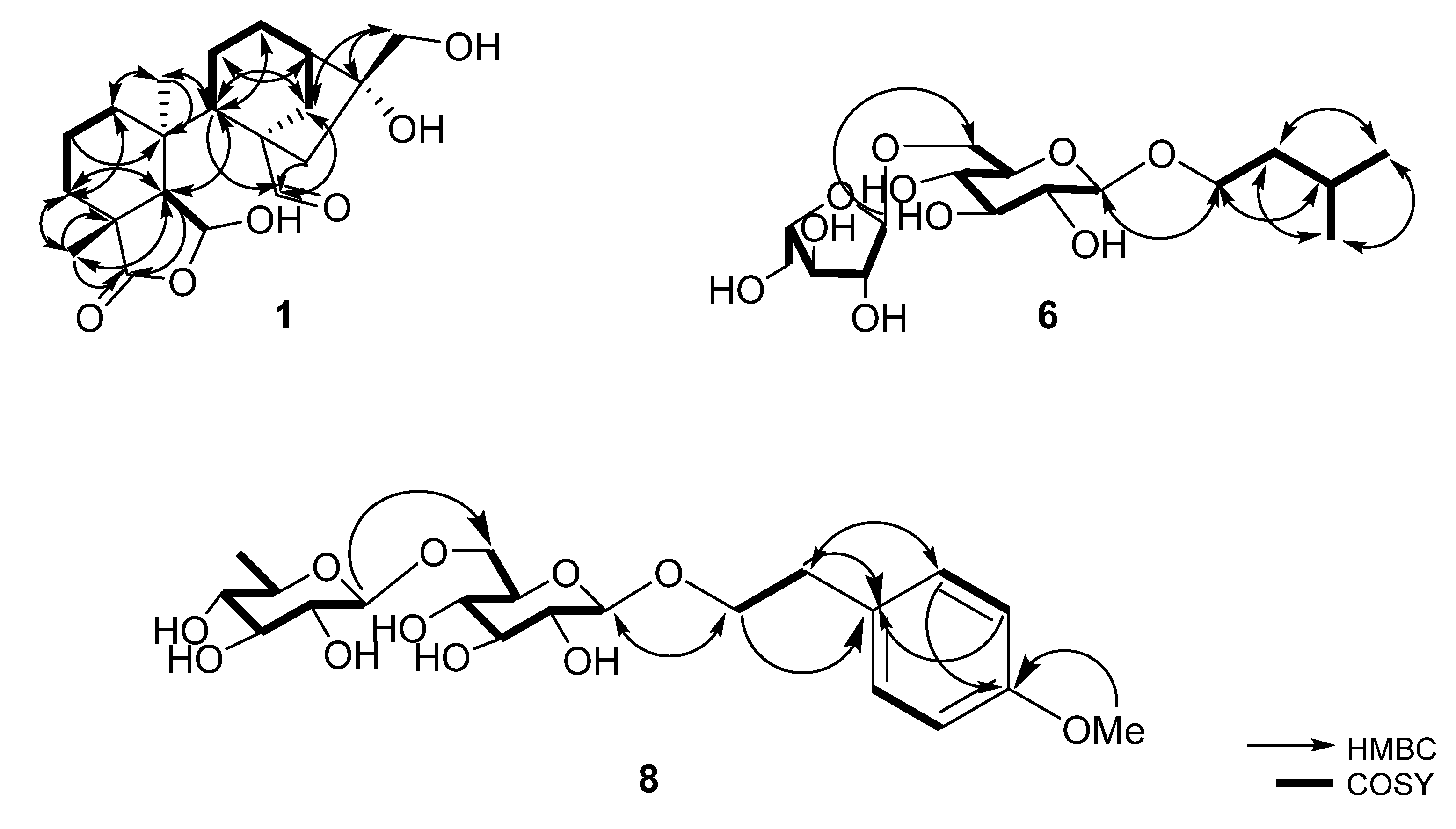
2.1. Phytochemical Isolation
2.2. Dermal Papilla Cell Proliferation
3. Materials and Methods
3.1. Plant Material
3.2. Extraction and Isolation
3.2.1. Prinsoside D (1)
3.2.2. Prinsoside E (2)
3.2.3. Isopentyl-α-L-arabinofuranosyl-(1→6)-β-D-glucopyranoside (6)
3.2.4. Isopentyl β-D-primeverose (7)
3.2.5. 2-(4-Methoxyphenyl)ethyl β-Rutinoside (8)
3.3. Cell Culture and Cell Proliferation Assay
3.4. Statistical Analysis
4. Conclusions
Supplementary Materials
Author Contributions
Funding
Institutional Review Board Statement
Informed Consent Statement
Data Availability Statement
Conflicts of Interest
References
- Hwang, J.-Y.; Hwang, I.-K.; Park, J.-B. Analysis of physicochemical factors related to the automatic pellicle removal in Korean chestnut (Castanea crenata). J. Agric. Food Chem. 2001, 49, 6045–6049. [Google Scholar] [CrossRef] [PubMed]
- Nam, M.; Yu, J.M.; Park, Y.R.; Kim, Y.S.; Kim, J.H.; Kim, M.S. Metabolic profiling of chestnut shell (Castanea crenata) cultivars using UPLC-QTOF-MS and their antioxidant capacity. Biomolecules 2022, 12, 1797. [Google Scholar] [CrossRef] [PubMed]
- Hu, M.; Yang, X.; Chang, X. Bioactive phenolic components and potential health effects of chestnut shell: A review. J. Food Biochem. 2021, 45, e13696. [Google Scholar] [CrossRef] [PubMed]
- Kim, N.; Park, S.; Nhiem, N.X.; Song, J.-H.; Ko, H.-J.; Kim, S.H. Cycloartane-type triterpenoid derivatives and a flavonoid glycoside from the burs of Castanea crenata. Phytochemistry 2019, 158, 135–141. [Google Scholar] [CrossRef] [PubMed]
- Zhu, T.; Shen, Q.; Xu, Y.; Li, C. Ionic liquid and ultrasound-assisted extraction of chestnut shell pigment with good hair dyeing capability. J. Clean. Prod. 2022, 335, 130195. [Google Scholar] [CrossRef]
- Madaan, A.; Verma, R.; Singh, A.T.; Jaggi, M. Review of hair follicle dermal papilla cells as in vitro screening model for hair growth. Int. J. Cosmet. Sci. 2018, 40, 429–450. [Google Scholar] [CrossRef] [PubMed]
- Park, S.; Nhiem, N.X.; Tai, B.H.; Le Tuan Anh, H.; Oh, S.H.; Sung, J.-H.; Kim, N.; Yoo, G.; Park, J.H.; Kwak, H.J.; et al. Proliferation effects on hair growth of compounds isolated from the bark of Dalbergia oliveri. Nat. Prod. Commun. 2017, 12, 1934578X1701201117. [Google Scholar] [CrossRef]
- Singh, D.K.; Kim, J.; Sung, J.-H.; Kim, I. Total syntheses of biologically active pterocarpan, isoflavan, and isoflavanone from Dalbergia oliveri. Bull. Korean Chem. Soc. 2018, 39, 239–243. [Google Scholar] [CrossRef]
- Tuyen, P.T.; Xuan, T.D.; Khang, D.T.; Ahmad, A.; Quan, N.V.; Tu Anh, T.T.; Anh, L.H.; Minh, T.N. Phenolic compositions and antioxidant properties in bark, flower, inner skin, kernel and leaf extracts of Castanea crenata Sieb. et Zucc. Antioxidants 2017, 6, 31. [Google Scholar] [CrossRef]
- Zhang, Q.; Liu, H.-X.; Tan, H.-B.; Qiu, S.-X. Novel highly oxygenated and B-ring-seco-ent-diterpene glucosides from the seeds of Prinsepia utilis. Tetrahedron 2015, 71, 9415–9419. [Google Scholar] [CrossRef]
- Gao, H.Y.; Wang, X.B.; Xi, R.G.; Sun, B.H.; Huang, J.; Wu, L.J. Structure and absolute configuration of a diterpenoid from Castanea mollissima. Nat. Prod. Commun. 2010, 5, 13–16. [Google Scholar] [CrossRef] [PubMed]
- Kim, K.H.; Choi, S.U.; Lee, K.R. Diterpene glycosides from the seeds of Pharbitis nil. J. Nat. Prod. 2009, 72, 1121–1127. [Google Scholar] [CrossRef] [PubMed]
- Voirin, S.p.; Baumes, R.; Bayonove, C.; M’Bairaroua, O.; Tapiero, C. Synthesis and n.m.r. spectral properties of grape monoterpenyl glycosides. Carbohydr. Res. 1990, 207, 39–56. [Google Scholar] [CrossRef]
- Kim, Y.S.; Cha, J.M.; Kim, D.H.; Lee, T.H.; Lee, K.R. A new steroidal glycoside from Allium macrostemon Bunge. Nat. Prod. Sci. 2018, 24, 54–58. [Google Scholar] [CrossRef]
- Li, X.C.; Elsohly, H.N.; Hufford, C.D.; Clark, A.M. NMR assignments of ellagic acid derivatives. Magn. Reson. Chem. 1999, 37, 856–859. [Google Scholar] [CrossRef]
- Khallouki, F.; Haubner, R.; Hull, W.; Erben, G.; Spiegelhalder, B.; Bartsch, H.; Owen, R. Isolation, purification and identification of ellagic acid derivatives, catechins, and procyanidins from the root bark of Anisophyllea dichostyla R. Br. Food Chem. Toxicol. 2007, 45, 472–485. [Google Scholar] [CrossRef] [PubMed]
- Scott, A.; Wrixon, A. Stereochemistry of olefins—IX: Correlation of Mills’ and Brewster’s rules with the Cotton effects of cyclic olefins. Tetrahedron 1971, 27, 4787–4819. [Google Scholar] [CrossRef]
- Park, S.; Lee, H.Y.; Nhiem, N.X.; Lee, T.H.; Kim, N.; Cho, S.H.; Kim, S.H. A new phenyl ethyl glycoside from the twigs of Acer tegmentosum. Nat. Prod. Commun. 2015, 10, 1934578X1501000729. [Google Scholar] [CrossRef]
- Otsuka, H.; Yu, Q.; Matsunami, K. Bumaldosides A, B and C from the leaves of Staphylea bumalda. Heterocycles 2010, 80, 339–348. [Google Scholar] [CrossRef]
- Morikawa, T.; Ninomiya, K.; Kuramoto, H.; Kamei, I.; Yoshikawa, M.; Muraoka, O. Phenylethanoid and phenylpropanoid glycosides with melanogenesis inhibitory activity from the flowers of Narcissus tazetta var. chinensis. J. Nat. Med. 2016, 70, 89–101. [Google Scholar] [CrossRef]
- Anh, H.L.T.; Dung, D.T.; Tuan, D.T.; Hung, T.Q.; Yen, P.T.H.; Quang, T.H.; Nhiem, N.X.; Van Minh, C.; Yen, D.T.H.; Van Kiem, P. Hepatoprotective effects of phenolic glycosides from the methanol extract of Physalis angulata. Vietnam. J. Sci. Technol. 2017, 55, 161. [Google Scholar]
- De Vasconcelos, M.D.C.B.M.; Bennett, R.N.; Rosa, E.A.; Cardoso, J.V.F. Primary and secondary metabolite composition of kernels from three cultivars of Portuguese chestnut (Castanea sativa Mill.) at different stages of industrial transformation. J. Agric. Food Chem. 2007, 55, 3508–3516. [Google Scholar] [CrossRef]
- Sanz, M.; Cadahia, E.; Esteruelas, E.; Muñoz, A.N.M.; Fernandez de Simon, B.; Hernandez, T.; Estrella, I. Phenolic compounds in chestnut (Castanea sativa Mill.) heartwood. Effect of toasting at cooperage. J. Agric. Food Chem. 2010, 58, 9631–9640. [Google Scholar] [CrossRef] [PubMed]
- Zhang, J.; Zhao, S.; Yin, P.; Yan, L.; Han, J.; Shi, L.; Zhou, X.; Liu, Y.; Ma, C. α-Glucosidase inhibitory activity of polyphenols from the burs of Castanea mollissima Blume. Molecules 2014, 19, 8373–8386. [Google Scholar] [CrossRef] [PubMed]
- Manse, Y.; Luo, F.; Kato, K.; Okazaki, A.; Okada-Nishida, E.; Yanagida, M.; Nakamura, S.; Morikawa, T. Ent-kaurane-type diterpenoids from Isodonis Herba activate human hair follicle dermal papilla cells proliferation via the Akt/GSK-3β/β-catenin transduction pathway. J. Nat. Med. 2021, 75, 326–338. [Google Scholar] [CrossRef] [PubMed]
- Chen, Q.; Sun, T.; Wang, J.; Jia, J.; Yi, Y.H.; Chen, Y.X.; Miao, Y.; Hu, Z.Q. Hydroxytyrosol prevents dermal papilla cells inflammation under oxidative stress by inducing autophagy. J. Biochem. Mol. Toxicol. 2019, 33, e22377. [Google Scholar] [CrossRef] [PubMed]
- Kang, J.-I.; Choi, Y.K.; Koh, Y.-S.; Hyun, J.-W.; Kang, J.-H.; Lee, K.S.; Lee, C.M.; Yoo, E.-S.; Kang, H.-K. Vanillic acid stimulates anagen signaling via the PI3K/Akt/β-catenin pathway in dermal papilla cells. Biomol. Ther. 2020, 28, 354. [Google Scholar] [CrossRef]
- Marimuthu, C.; Murugan, J.; Ravichandran, S.; Sukumar, S. Effects of oral supplementation of Trichovitals™ on human skin, hair and nail physiology. Res. J. Top. Cosmet. Sci. 2021, 12, 52–59. [Google Scholar]
- Kim, K.-S.; Han, S.H.; An, I.-S.; Ahn, K.J.; Kim, K.-S.; Han, S.H.; An, I.-S.; Ahn, K.J. Protective effects of ellagic acid against UVA-induced oxidative stress in human dermal papilla. Asian J. Beauty Cosmetol. 2016, 14, 191–200. [Google Scholar] [CrossRef]



| Pos | 1 | 2 | ||
|---|---|---|---|---|
| δCa,b | δHa,c (J in Hz) | δCa,b | δHa,c (J in Hz) | |
| 1 | 35.0 | 1.59 (m), 1.75 (m) | 35.1 | 1.55 (m) |
| 2 | 19.0 | 1.44 (m) | 19.1 | 1.44 (m) |
| 3 | 32.1 | 1.32 (m), 2.07 (m) | 32.2 | 1.27 (m), 2.07 (m) |
| 4 | 42.4 | - | 42.2 | - |
| 5 | 55.8 | 1.94 (m) | 56.2 | 1.86 (m) |
| 6 | 100.8 | 5.67 (s) | 100.9 | 5.33 (s) |
| 7 | 207.2 | 9.78 (s) | 182.3 | - |
| 8 | 59.6 | - | 54.1 | - |
| 9 | 48.9 | 2.09 (m) | 48.9 | 2.07 (m) |
| 10 | 40.5 | - | 39.7 | - |
| 11 | 20.7 | 1.83 (m) | 20.8 | 1.74 (m) |
| 12 | 26.4 | 1.70 (m) | 25.6 | 1.57 (m), 1.68 (m) |
| 13 | 46.1 | 2.25 (m) | 46.3 | 2.21 (m) |
| 14 | 32.2 | 1.70 (m), 2.42 (dd, 4.5, 12.0) | 33.2 | 1.66 (m), 2.53 (m) |
| 15 | 47.7 | 1.60 (m), 1.83 (m) | 51.9 | 1.75 (m), 2.03 (m) |
| 16 | 82.0 | - | 81.4 | - |
| 17 | 66.1 | 3.67 (d, 11.4), 3.75 (d, 11.4) | 74.2 | 3.55 (dd, 1.7, 10.3), 4.21 (dt, 1.7, 10.3) |
| 18 | 30.6 | 1.44 (s) | 30.9 | 1.41 (s) |
| 19 | 184.3 | - | 184.6 | - |
| 20 | 22.6 | 0.72 (s) | 18.5 | 0.90 (s) |
| 1′ | 105.2 | 4.29 (dt, 1.6, 7.8) | ||
| 2′ | 78.1 | 3.27 * | ||
| 3′ | 75.3 | 3.22 (ddd, 1.6, 7.6, 9.3) | ||
| 4′ | 71.7 | 3.27 * | ||
| 5′ | 77.9 | 3.36 * | ||
| 6′ | 62.8 | 3.67 *, 3.88 (dd, 1.3, 11.7) | ||
| Pos | 6 | 7 | 8 | |||
|---|---|---|---|---|---|---|
| δCa,b | δHa,c (J in Hz) | δCa,b | δHa,c (J in Hz) | δCa,b | δHa,c (J in Hz) | |
| 1 | 69.4 | 3.59 (m), 3.93 (m) | 69.4 | 3.56 (dt, 6.9, 9.6), 3.92 (dt, 6.9, 9.6) | 131.9 | - |
| 2 | 39.6 | 1.53 (q, 6.9) | 39.6 | 1.51 (dt, 6.9, 8.2), | 130.9 | 7.19 (d, 8.3) |
| 3 | 26.0 | 1.77 (dt, 6.7, 13.4) | 26.0 | 1.75 (dt, 6.8, 13.4) | 114.8 | 6.82 (d, 8.3) |
| 4 | 23.0 | 0.94 (dd, 1.0, 6.6) | 23.0 | 0.92 (d, 6.8) | 159.6 | - |
| 5 | 23.1 | 0.94 (dd, 1.0, 6.6) | 23.1 | 0.92 (d, 6.8) | 114.8 | 6.82 (d, 8.3) |
| 6 | 130.9 | 7.19 (d, 8.3) | ||||
| 7 | 36.4 | 2.87 (td, 4.7, 7.3) | ||||
| 8 | 72.1 | 3.71 (dd, 7.7, 9.8), 3.98 (dd, 7.7, 9.8) | ||||
| OMe | 55.6 | 3.45 (s) | ||||
| 1′ | 104.4 | 4.27 (d, 7.9) | 104.4 | 4.24 (d, 7.9) | 104.5 | 4.28 (d, 7.7) |
| 2′ | 75.1 | 3.18 (dd, 7.9, 9.3) | 75.1 | 3.17 (m) | 75.1 | 3.16 (m) |
| 3′ | 78.0 | 3.36 * | 78.0 | 3.34 (m) | 78.0 | 3.33 * |
| 4′ | 72.0 | 3.30 * | 72.0 | 3.32 (m) | 71.6 | 3.27 * |
| 5′ | 76.6 | 3.45 * | 76.6 | 3.43 (m) | 77.1 | 3.38 * |
| 6′ | 68.1 | 3.61 *, 3.96 (dd, 2.4, 11.2) | 69.7 | 3.74 (dd, 6.0, 11.5), 4.08 (dd, 2.2, 11.5) | 68.1 | 3.61 (dd, 6.2, 11.3), 3.96 * |
| 1″ | 109.9 | 4.98 (d, 1.5) | 105.5 | 4.32 (d, 7.5) | 102.4 | 4.74 (d, 1.6) |
| 2″ | 83.2 | 4.01 (dd, 1.5, 3.3) | 74.8 | 3.21 (dd, 7.5, 9.0) | 72.2 | 3.82 * |
| 3″ | 78.9 | 3.84 (dd, 3.2, 11.9) | 77.6 | 3.31 (m) | 72.4 | 3.65 * |
| 4″ | 85.9 | 3.99 (m) | 71.1 | 3.48 (m) | 74.0 | 3.36 * |
| 5″ | 63.1 | 3.66 *, 3.76 (dd, 3.2, 11.9) | 66.9 | 3.19 (dd, 3.2, 11.9), 3.87 (dd, 3.2, 11.9) | 69.7 | 3.66 * |
| 6″ | 18.1 | 1.25 (d, 6.2) | ||||
| Isolated Compounds | Proliferation (%) |
|---|---|
| Prinsoside D (1) | 90 ± 3.15 |
| Prinsoside E (2) | 133 ± 1.99 b |
| Prinsoside C (3) | 105 ± 2.53 |
| Mollissin (4) | 87 ± 2.40 |
| 6β,7β,16α,17-Tetrahydroxy-ent-kauranoic acid (5) | 138 ± 2.54 c |
| Isopentyl-α-L-arabinofuranosyl-(1→6)-β-D-glucopyranoside (6) | 138 ± 4.41 c |
| Isopentyl β-D-primeverose (7) | 117 ± 5.08 a |
| 2-(4-Methoxyphenyl)ethyl β-rutinoside (8) | 123 ± 5.27 a |
| 2-Phenylethyl 6-O-α-L-arabinofuranosyl-β-D-glucopyranoside (9) | 118 ± 2.10 a |
| 2-Phenylethyl β-rutinoside (10) | 99 ± 2.68 |
| Ellagic acid (11) | 137 ± 2.29 c |
| 3,3′-Di-O-methylellagic acid (12) | 60 ± 1.50 |
| Minoxidil * | 121 ± 5.85 a |
Disclaimer/Publisher’s Note: The statements, opinions and data contained in all publications are solely those of the individual author(s) and contributor(s) and not of MDPI and/or the editor(s). MDPI and/or the editor(s) disclaim responsibility for any injury to people or property resulting from any ideas, methods, instructions or products referred to in the content. |
© 2023 by the authors. Licensee MDPI, Basel, Switzerland. This article is an open access article distributed under the terms and conditions of the Creative Commons Attribution (CC BY) license (https://creativecommons.org/licenses/by/4.0/).
Share and Cite
Park, S.; Choi, N.; Trang, L.N.H.; Oh, M.; Oh, Y.; Sung, J.-H.; Kim, S.H. Dermal Papilla Cell Proliferation of Phytochemicals Isolated from Chestnut Shells (Castanea crenata). Plants 2023, 12, 1018. https://doi.org/10.3390/plants12051018
Park S, Choi N, Trang LNH, Oh M, Oh Y, Sung J-H, Kim SH. Dermal Papilla Cell Proliferation of Phytochemicals Isolated from Chestnut Shells (Castanea crenata). Plants. 2023; 12(5):1018. https://doi.org/10.3390/plants12051018
Chicago/Turabian StylePark, SeonJu, Nahyun Choi, Le Nu Huyen Trang, Mira Oh, Youngse Oh, Jong-Hyuk Sung, and Seung Hyun Kim. 2023. "Dermal Papilla Cell Proliferation of Phytochemicals Isolated from Chestnut Shells (Castanea crenata)" Plants 12, no. 5: 1018. https://doi.org/10.3390/plants12051018
APA StylePark, S., Choi, N., Trang, L. N. H., Oh, M., Oh, Y., Sung, J.-H., & Kim, S. H. (2023). Dermal Papilla Cell Proliferation of Phytochemicals Isolated from Chestnut Shells (Castanea crenata). Plants, 12(5), 1018. https://doi.org/10.3390/plants12051018

