Xanthones: Biosynthesis and Trafficking in Plants, Fungi and Lichens
Abstract
1. Introduction
2. Classification
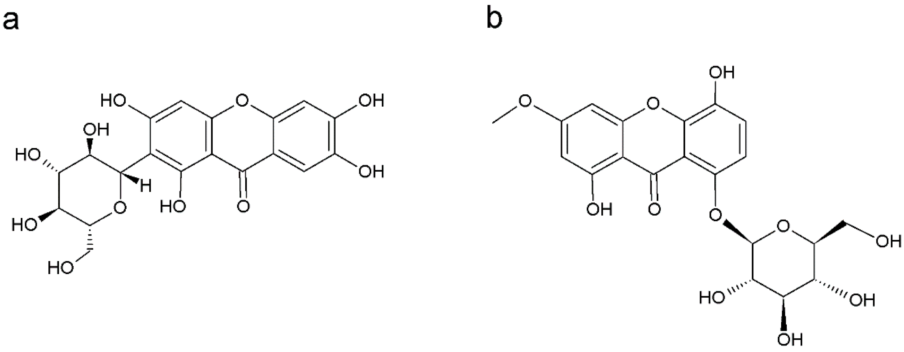
2.1. Oxygenated Xanthones
2.2. Xanthone Glycosides
2.3. Prenylated Xanthones
2.4. Bisxanthones
2.5. Xantholignoids
2.6. Miscellaneous Xanthones
3. Xanthone Biosynthesis
3.1. Xanthone Biosynthesis in Plants
3.1.1. Shikimate Pathway
3.1.2. Phenylalanine-Dependent Pathway
3.1.3. Phenylalanine-Independent Pathway
3.1.4. Xanthone Derivatives of 1,3,5-Trihydroxyxanthone
3.1.5. Xanthone Derivatives of 1,3,7-Trihydroxyxanthone
3.2. Xanthone Biosynthesis in Fungi and Lichens
4. Organ and Tissue Localization of Xanthones and Their Possible Functions in Plants
5. Recent Insight on Biological Activities of Xanthones
6. Conclusions
Author Contributions
Funding
Institutional Review Board Statement
Informed Consent Statement
Data Availability Statement
Conflicts of Interest
References
- Schmid, W. Ueber das Mangostin. Justus Liebigs Ann. Chem. 1855, 93, 83–88. [Google Scholar] [CrossRef]
- Le Pogam, P.; Boustie, J. Xanthones of Lichen Source: A 2016 Update. Molecules 2016, 21, 294. [Google Scholar] [CrossRef] [PubMed]
- Masters, K.S.; Bräse, S. Xanthones from fungi, lichens, and bacteria: The natural products and their synthesis. Chem. Rev. 2012, 112, 3717–3776. [Google Scholar] [CrossRef] [PubMed]
- Soares, J.X.; Loureiro, D.R.P.; Dias, A.L.; Reis, S.; Pinto, M.M.M.; Afonso, C.M.M. Bioactive Marine Xanthones: A Review. Mar. Drugs 2022, 20, 58. [Google Scholar] [CrossRef] [PubMed]
- Oldenburg, T.B.; Wilkes, H.; Horsfield, B.; Van Duin, A.C.; Stoddart, D.; Wilhelms, A. Xanthones—Novel aromatic oxygen-containing compounds in crude oils. Org. Geochem. 2002, 33, 595–609. [Google Scholar] [CrossRef]
- Henry, L.; Caventou, J.B. From root of Gentiana lutea L., Gentianaceae: Henry, Caventou. J. Pharm. Chim. 1821, 7, 178. [Google Scholar]
- Kamal, A.; Husain, S.A.; Noorani, R.; Murtaza, N.; Qureshi, I.H.; Qureshi, A.A. Studies in the biochemistry of microorganisms. XI. Isolation of tajixanthone, shamixanthone, ajamxanthone, shahenxanthone, najamxanthone, radixanthone and mannitol from mycelium of Aspergillus stellatus, Curzi. Pak. J. Sci. Indus. Res. 1970, 13, 251–255. [Google Scholar]
- Rawat, M.M.; Pant, G.; Renu, P. Xanthones from Swertia alternifolia. Indian J. Pharm. Sci. 2001, 63, 516. [Google Scholar]
- Zailan, A.A.D.; Karunakaran, T.; Abu Bakar, M.H.; Mian, V.J.Y. The Malaysian genus Calophyllum (Calophyllaceae): A review on its phytochemistry and pharmacological activities. Nat. Prod. Res. 2021, 36, 4569–4579. [Google Scholar] [CrossRef]
- Remali, J.; Sahidin, I.; Aizat, W.M. Xanthone Biosynthetic Pathway in Plants: A Review. Front. Plant Sci. 2022, 916, 809497. [Google Scholar] [CrossRef]
- Chen, L.G.; Yang, L.L.; Wang, C.C. Anti-inflammatory activity of mangostins from Garcinia mangostana. Food Chem. Toxicol. 2008, 46, 688–693. [Google Scholar] [CrossRef]
- Panda, S.S.; Chand, M.; Sakhuja, R.; Jain, S.C. Xanthones as potential antioxidants. Curr. Med. Chem. 2013, 20, 4481–4507. [Google Scholar] [CrossRef]
- Tocci, N.; Simonetti, G.; D’Auria, F.D.; Panella, S.; Palamara, A.T.; Ferrari, F.; Pasqua, G. Chemical composition and antifungal activity of Hypericum perforatum subsp. angustifolium roots from wild plants and plants grown under controlled conditions. Plant Biosyst. 2013, 147, 557–562. [Google Scholar] [CrossRef]
- Wölfle, U.; Seelinger, G.; Schempp, C.M. Topical application of St. John’s wort (Hypericum perforatum). Planta Med. 2014, 80, 109–120. [Google Scholar] [CrossRef]
- Zubrická, D.; Mišianiková, A.; Henzelyová, J.; Valletta, A.; De Angelis, G.; D’Auria, F.D.; Simonetti, G.; Pasqua, G.; Čellárová, E. Xanthones from roots, hairy roots and cell suspension cultures of selected Hypericum species and their antifungal activity against Candida albicans. Plant Cell Rep. 2015, 34, 1953–1962. [Google Scholar] [CrossRef]
- Ahmad, I. Recent insight into the biological activities of synthetic xanthone derivatives. Eur. J. Med. Chem. 2016, 116, 267–280. [Google Scholar]
- Klein-Júnior, L.C.; Campos, A.; Niero, R.; Corrêa, R.; Vander Heyden, Y.; Filho, V.C. Xanthones and cancer: From natural sources to mechanisms of action. Chem. Biodivers. 2020, 17, e1900499. [Google Scholar] [CrossRef]
- Badiali, C.; De Angelis, G.; Simonetti, G.; Brasili, E.; Tobaruela, E.D.C.; Purgatto, E.; Yin, H.; Valletta, A.; Pasqua, G. Chitosan oligosaccharides affect xanthone and VOC biosynthesis in Hypericum perforatum root cultures and enhance the antifungal activity of root extracts. Plant Cell Rep. 2018, 37, 1471–1484. [Google Scholar] [CrossRef]
- Wang, K.; Yu, L.; Shi, J.; Liu, W.; Sang, Z. Multifunctional indanone–chalcone hybrid compounds with anti-β-amyloid (Aβ) aggregation, monoamine oxidase B (MAO-B) inhibition and neuroprotective properties against Alzheimer’s disease. Med. Chem. Res. 2019, 28, 1912–1922. [Google Scholar] [CrossRef]
- Dias, A.C.; Seabra, R.M.; Andrade, P.B.; Ferreres, F.; Ferreira, M.F. Xanthone production in calli and suspended cells of Hypericum perforatum. J. Plant Physiol. 2001, 158, 821–827. [Google Scholar] [CrossRef]
- Tocci, N.; Ferrari, F.; Santamaria, A.R.; Valletta, A.; Rovardi, I.; Pasqua, G. Chitosan enhances xanthone production in Hypericum perforatum subsp. angustifolium cell cultures. Nat. Prod. Res. 2010, 24, 286–293. [Google Scholar] [CrossRef] [PubMed]
- Tocci, N.; Simonetti, G.; D’Auria, F.D.; Panella, S.; Palamara, A.T.; Valletta, A.; Pasqua, G. Root cultures of Hypericum perforatum subsp. angustifolium elicited with chitosan and production of xanthone-rich extracts with antifungal activity. Appl. Microbiol. Biotechnol. 2011, 91, 977–987. [Google Scholar] [CrossRef] [PubMed]
- Tusevski, O.; Stanoeva, J.P.; Stefova, M.; Kungulovski, D.; Pancevska, N.A.; Sekulovski, N.; Panov, S.; Simic, S.G. Hairy roots of Hypericum perforatum L.: A promising system for xanthone production. Cent. Eur. J. Biol. 2013, 8, 1010–1022. [Google Scholar] [CrossRef]
- Brasili, E.; Pratico, G.; Marini, F.; Valletta, A.; Capuani, G.; Sciubba, F.; Miccheli, A.; Pasqua, G. A non-targeted metabolomics approach to evaluate the effects of biomass growth and chitosan elicitation on primary and secondary metabolism of Hypericum perforatum in vitro roots. Metabolomics 2014, 10, 1186–1196. [Google Scholar] [CrossRef]
- Simonetti, G.; Tocci, N.; Valletta, A.; Brasili, E.; D’Auria, F.D.; Idoux, A.; Pasqua, G. In vitro antifungal activity of extracts obtained from Hypericum perforatum adventitious roots cultured in a mist bioreactor against planktonic cells and biofilm of Malassezia furfur. Nat. Prod. Res. 2016, 30, 544–550. [Google Scholar] [CrossRef]
- Valletta, A.; De Angelis, G.; Badiali, C.; Brasili, E.; Miccheli, A.; Di Cocco, M.E.; Pasqua, G. Acetic acid acts as an elicitor exerting a chitosan-like effect on xanthone biosynthesis in Hypericum perforatum L. root cultures. Plant Cell Rep. 2016, 35, 1009–1020. [Google Scholar] [CrossRef]
- Gaid, M.; Singh, P.; El-Awaad, I.; Nagia, M.; Beerhues, L. Biotechnological production of prenylated xanthones for pharmaceutical use. In Pharmaceutical Biocatalysis; Jenny Stanford Publishing: Dubai, United Arab Emirates, 2019; pp. 103–142. [Google Scholar]
- Kaur, P.; Gupta, R.C.; Dey, A.; Malik, T.; Pandey, D.K. Optimization of salicylic acid and chitosan treatment for bitter secoiridoid and xanthone glycosides production in shoot cultures of Swertia paniculata using response surface methodology and artificial neural network. BMC Plant Biol. 2020, 20, 225. [Google Scholar] [CrossRef]
- El-Seedi, H.R.; El-Ghorab, D.M.; El-Barbary, M.A.; Zayed, M.F.; Goransson, U.; Larsson, S.; Verpoorte, R. Naturally occurring xanthones; latest investigations: Isolation, structure elucidation and chemosystematic significance. Curr. Med. Chem. 2009, 16, 2581–2626. [Google Scholar] [CrossRef]
- Pinto, M.M.; Palmeira, A.; Fernandes, C.; Resende, D.I.; Sousa, E.; Cidade, H.; Tiritan, M.E.; Correia-da-Silva, M.; Cravo, S. From natural products to new synthetic small molecules: A journey through the world of xanthones. Molecules 2021, 26, 431. [Google Scholar] [CrossRef]
- Mandal, S.; Das, P.C.; Joshi, P.C. Naturally occuring xanthones from terrestrial flora. J. Indian Chem. Soc. 1992, 69, 611–636. [Google Scholar]
- Talamond, P.; Conejero, G.; Verdeil, J.L.; Poëssel, J.L. Isolation of C-glycosyl xanthones from Coffea pseudozanguebariae and their location. Nat. Prod. Commun. 2011, 6, 1934578X1100601223. [Google Scholar] [CrossRef]
- Sasaki, N.; Nemoto, K.; Nishizaki, Y.; Sugimoto, N.; Tasaki, K.; Watanabe, A.; Goto, F.; Higuchi, A.; Morgan, E.; Hikage, T.; et al. Identification and characterization of xanthone biosynthetic genes contributing to the vivid red coloration of red-flowered gentian. Plant J. 2021, 107, 1711–1723. [Google Scholar] [CrossRef]
- Dua, V.K.; Ojha, V.P.; Roy, R.; Joshi, B.C.; Valecha, N.; Devi, C.U.; Bhatnagar, M.C.; Sharma, V.P.; Subbarao, S.K. Anti-malarial activity of some xanthones isolated from the roots of Andrographis paniculata. J. Ethnopharmacol. 2004, 95, 247–251. [Google Scholar] [CrossRef]
- Panneerselvam, C.; Ponarulselvam, S.; Murugan, K. Potential anti-plasmodial activity of synthesized silver nanoparticle using Andrographis paniculata Nees (Acanthaceae). Arch. Appl. Sci. Res. 2011, 3, 208–217. [Google Scholar]
- Schieber, A.; Berardini, N.; Carle, R. Identification of flavonol and xanthone glycosides from mango (Mangifera indica L. Cv.“Tommy Atkins”) peels by high-performance liquid chromatography-electrospray ionization mass spectrometry. J. Agric. Food Chem. 2003, 51, 5006–5011. [Google Scholar] [CrossRef]
- Dineshkumar, B.; Mitra, A.; Manjunatha, M. Studies on the anti-diabetic and hypolipidemic potentials of mangiferin (xanthone glucoside) in streptozotocin-induced type 1 and type 2 diabetic model rats. Int. J. Adv. Pharm. 2010, 1, 75–85. [Google Scholar]
- Chalisa, S.; Thiendanai, S.; Pattara, S. Cholinesterase inhibitory activities of xanthones from Anaxagorea luzonensis A. Gray. J. Med. Plants Res. 2012, 6, 3781–3785. [Google Scholar]
- Cane, H.P.C.A.; Saidi, N.; Mustanir, M.; Darusman, D.; Idroes, R.; Musman, M. Evaluation of antibacterial and antioxidant activities of xanthone isolated from Orophea corymbosa leaf. Rasayan J. Chem. 2020, 13, 2215–2222. [Google Scholar] [CrossRef]
- Fujita, M.; Inoue, T. Biosynthesis of mangiferin in Anemarrhena asphodeloides Bunge. I. The origin of the xanthone nucleus. Chem. Pharm. Bull. 1980, 28, 2476–2481. [Google Scholar] [CrossRef]
- Ji, D.; Huang, Z.Y.; Fei, C.H.; Xue, W.W.; Lu, T.L. Comprehensive profiling and characterization of chemical constituents of rhizome of Anemarrhena asphodeloides Bge. J. Chromatogr. B 2017, 1060, 355–366. [Google Scholar] [CrossRef]
- Hong, Y.F.; Han, G.Y.; Guo, X.M. Isolation and structure determination of xanthone glycosides of Anemarrhena asphodeloides. Acta Pharm. Sin. 1997, 32, 473–475. [Google Scholar]
- Mulholland, D.A.; Koorbanally, C.; Crouch, N.R.; Sandor, P. Xanthones from Drimiopsis maculata. J. Nat. Prod. 2004, 67, 1726–1728. [Google Scholar] [CrossRef] [PubMed]
- Mutanyatta, J.; Matapa, B.G.; Shushu, D.D.; Abegaz, B.M. Homoisoflavonoids and xanthones from the tubers of wild and in vitro regenerated Ledebouria graminifolia and cytotoxic activities of some of the homoisoflavonoids. Phytochemistry 2003, 62, 797–804. [Google Scholar] [CrossRef] [PubMed]
- Catalano, S.; Luschi, S.; Flamini, G.; Luigi, P.; Neri, E.M.; Morelli, I. A xanthone from Senecio mikanioides leaves. Phytochemistry 1996, 42, 1605. [Google Scholar] [CrossRef]
- Pauletti, P.M.; Castro-Gamboa, I.; Siqueira Silva, D.H.; Young, M.C.M.; Tomazela, D.M.; Eberlin, M.N.; da Silva Bolzani, V. New antioxidant C-glucosylxanthones from the stems of Arrabidaea samydoides. J. Nat. Prod. 2003, 66, 1384–1387. [Google Scholar] [CrossRef]
- Faizi, S.; Zikr-ur-Rehman, S.; Naz, A.; Versiani, M.A.; Dar, A.; Naqvi, S. Bioassay-guided studies on Bombax ceiba leaf extract: Isolation of shamimoside, a new antioxidant xanthone C-glucoside. Chem. Nat. Comp. 2012, 48, 774–779. [Google Scholar] [CrossRef]
- Joshi, K.R.; Devkota, H.P.; Yahara, S. Chemical analysis of flowers of Bombax ceiba from Nepal. Nat. Prod. Commun. 2013, 8, 1934578X1300800508. [Google Scholar] [CrossRef]
- Shahat, A.A.; Hassan, R.A.; Nazif, N.M.; Van Miert, S.; Pieters, L.; Hammuda, F.M.; Vlietinck, A.J. Isolation of mangiferin from Bombax malabaricum and structure revision of shamimin. Planta Med. 2003, 69, 1068–1070. [Google Scholar]
- de Oliveira, W.G.; Mesquita, A.A.; Kubitzki, K.; Gottlieb, O.R. Xanthones from Bonnetia dinizii. Phytochemistry 1990, 29, 1893–1894. [Google Scholar] [CrossRef]
- Iinuma, M.; Ito, T.; Tosa, H.; Tanaka, T.; Miyake, R.; Chelladurai, V. Prenylated xanthonoids from Calophyllum apetalum. Phytochemistry 1997, 46, 1423–1429. [Google Scholar] [CrossRef]
- Iinuma, M.; Tosa, H.; Toriyama, N.; Tanaka, T.; Ito, T.; Chelladurai, V. Six xanthones from Calophyllum austroindicum. Phytochemistry 1996, 43, 681–685. [Google Scholar] [CrossRef]
- Somanathan, R.; Sultanbawa, M.U.S. Chemical investigation of ceylonese plants. Part I. Extractives of Calophyllum calaba L. and Calophyllum bracteatum Thw. (Guttiferae). J. Chem. Soc. 1972, 1935–1943. [Google Scholar] [CrossRef]
- Ito, C.; Itoigawa, M.; Mishina, Y.; Filho, V.C.; Mukainaka, T.; Tokuda, H.; Nishino, H.; Furukawa, H. Chemical Constituents of Calophyllum brasiliensis: Structure Elucidation of Seven New Xanthones and Their Cancer Chemopreventive Activity. J. Nat. Prod. 2002, 65, 267–272. [Google Scholar] [CrossRef]
- Ito, C.; Itoigawa, M.; Mishina, Y.; Filho, V.C.; Enjo, F.; Tokuda, H.; Nishino, H.; Furukawa, H. Chemical constituents of Calophyllum brasiliense. 2. Structure of three new coumarins and cancer chemopreventive activity of 4-substituted coumarins. J. Nat. Prod. 2003, 66, 368–371. [Google Scholar] [CrossRef]
- Pretto, J.B.; Cechinel-Filho, V.; Noldin, V.F.; Sartori, M.R.; Isaias, D.E.; Cruz, A.B. Antimicrobial activity of fractions and compounds from Calophyllum brasiliense (Clusiaceae/Guttiferae). Z. Nat. C. 2004, 59, 657–662. [Google Scholar] [CrossRef]
- Isaias, D.E.B.; Niero, R.; Noldin, V.F.; de Campos-Buzzi, F.; Yunes, R.A.; Delle-Monache, F.; Cechinel-Filho, V. Pharmacological and phytochemical investigations of different parts of Calophyllum brasiliense (Clusiaceae). Die Pharmazie-An Int. J. Pharm. 2004, 59, 879–881. [Google Scholar]
- Reyes-Chilpa, R.; Jimenez-Estrada, M.; Estrada-Muñiz, E. Antifungal xanthones from Calophyllum brasiliensis heartwood. J. Chem. Ecol. 1997, 23, 1901–1911. [Google Scholar] [CrossRef]
- King, F.E.; King, T.J.; Manning, L.C. 804. The chemistry of extractives from hardwoods. Part XIV. The constitution of jacareubin, a pyranoxanthone from Calophyllum brasiliense. J. Chem. Soc. 1953, 804, 3932–3937. [Google Scholar] [CrossRef]
- Na Pattalung, P.; Thongtheeraparp, W.; Wiriyachitra, P.; Taylor, W.C. Xanthones of Garcinia cowa. Planta Med. 1994, 60, 365–368. [Google Scholar] [CrossRef]
- Kumar, V.; Sotheeswaran, S.; Surendrakumar, S.; Balasubramaniam, S. Calocalabaxanthone, the putative isoprenyl precursor of calabaxanthone from Calophyllum calaba. Phytochemistry 1982, 21, 807–809. [Google Scholar] [CrossRef]
- Carpenter, I.; Locksley, H.D.; Scheinmann, F. Extractives from Guttiferae. Part X. The isolation and structure of four xanthones from Calophyllum canum Hook f. J. Chem. Soc. Org. 1969, 486–488. [Google Scholar] [CrossRef]
- Morel, C.; Séraphin, D.; Oger, J.M.; Litaudon, M.; Sévenet, T.; Richomme, P.; Bruneton, J. New xanthones from Calophyllum caledonicum. J. Nat. Prod. 2000, 63, 1471–1474. [Google Scholar] [CrossRef] [PubMed]
- Hay, A.E.; Hélesbeux, J.J.; Duval, O.; Labaïed, M.; Grellier, P.; Richomme, P. Antimalarial xanthones from Calophyllum caledonicum and Garcinia vieillardii. Life Sci. 2004, 75, 3077–3085. [Google Scholar] [CrossRef] [PubMed]
- Morel, C.; Séraphin, D.; Teyrouz, A.; Larcher, G.; Bouchara, J.P.; Litaudon, M.; Richomme, P.; Bruneton, J. New and antifungal xanthones from Calophyllum caledonicum. Planta Med. 2002, 68, 41–44. [Google Scholar] [CrossRef] [PubMed]
- Morel, C.; Hay, A.E.; Litaudon, M.; Sévenet, T.; Séraphin, D.; Bruneton, J.; Richomme, P. Thirteen new xanthone derivatives from Calophyllum caledonicum (Clusiaceae). Molecules 2002, 7, 38–50. [Google Scholar] [CrossRef]
- Oger, J.M.; Morel, C.; Helesbeux, J.J.; Litaudon, M.; Séraphin, D.; Dartiguelongue, C.; Larcher, G.; Richomme, P.; Duval, O. First 2-hydroxy-3-methylbut-3-enyl substituted xanthones isolated from plants: Structure elucidation, synthesis and antifungal activity. Nat. Prod. Res. 2003, 17, 195–199. [Google Scholar] [CrossRef]
- Locksley, H.D.; Murray, I.G. Extractives from Guttiferae. Part XII. The isolation and structure of seven xanthones from Calophyllum fragrans Ridley. J. Chem. Soc. Org. 1969, 1567–1571. [Google Scholar] [CrossRef]
- Yimdjo, M.C.; Azebaze, A.G.; Nkengfack, A.E.; Meyer, A.M.; Bodo, B.; Fomum, Z.T. Antimicrobial and cytotoxic agents from Calophyllum inophyllum. Phytochemistry 2004, 65, 2789–2795. [Google Scholar] [CrossRef]
- Qin, J.; Lan, W.; Liu, Z.; Huang, J.; Tang, H.; Wang, H. Synthesis and biological evaluation of 1, 3-dihydroxyxanthone mannich base derivatives as anticholinesterase agents. Chem. Cent. J. 2013, 7, 78. [Google Scholar] [CrossRef]
- Iinuma, M.; Tosa, H.; Tanaka, T.; Ito, T.; Yonemori, S.; Chelladurai, V.; Aquil, M.; Takahashi, Y.; Naganawa, H. Occurrence of xanthonolignoids in Guttifereous plants. Heterocycles 1996, 7, 1521–1527. [Google Scholar] [CrossRef]
- Al-Jeboury, F.S.; Locksley, H.D. Xanthones in the heartwood of Calophyllum inophyllum: A geographical survey. Phytochemistry 1971, 10, 603–606. [Google Scholar] [CrossRef]
- Goh, S.H.; Jantan, I. A xanthone from Calophyllum inophyllum. Phytochemistry 1991, 30, 366–367. [Google Scholar] [CrossRef]
- Mah, S.H.; Ee, G.C.L.; Teh, S.S.; Sukari, M.A. Calophyllum inophyllum and Calophyllum soulattri source of anti-proliferative xanthones and their structure–activity relationships. Nat. Prod. Res. 2015, 29, 98–101. [Google Scholar] [CrossRef]
- Iinuma, M.; Tosa, H.; Tanaka, T.; Yonemori, S. Two xanthones from root bark of Calophyllum inophyllum. Phytochemistry 1994, 35, 527–532. [Google Scholar] [CrossRef]
- Su, X.H.; Zhang, M.L.; Li, L.G.; Huo, C.H.; Gu, Y.C.; Shi, Q.W. Chemical constituents of the plants of the genus Calophyllum. Chem. Biodivers. 2008, 5, 2579. [Google Scholar] [CrossRef]
- Jackson, B.; Locksley, H.D.; Scheinmann, F. The isolation of 6-desoxyjacareubin, 2-(3, 3-dimethylallyl)-1, 3, 5, 6-tetrahydroxyxanthone and jacareubin from Calophyllum inophyllum. Phytochemistry 1969, 8, 927–929. [Google Scholar] [CrossRef]
- Peres, V.; Nagem, T.J. Naturally occurring pentaoxygenated, hexaoxygenated and dimeric xanthones: A literature survey. Quím. Nova 1997, 20, 388–397. [Google Scholar] [CrossRef]
- Dharmaratne, H.R.W.; Wijesinghe, W.N.M. A trioxygenated diprenylated chromenxanthone from Calophyllum moonii. Phytochemistry 1997, 46, 1293–1295. [Google Scholar] [CrossRef]
- Scheinmann, F.; Sripong, N.A. Xanthones from the heartwood of Calophyllum neo-ebudicum: Comments, on the taxonomic value of jacareubin in Calophyllum species. Phytochemistry 1971, 10, 1331–1333. [Google Scholar] [CrossRef]
- Bhanu, S.; Scheinmann, F.; Jefferson, A. Xanthones from the heartwood of Calophyllum ramiflorum. Phytochemistry 1975, 14, 298–299. [Google Scholar] [CrossRef]
- Jackson, B.; Locksley, H.D.; Scheinmann, F. Extractives from Guttiferae. Part I. Extractives of Calophyllum sclerophyllum Vesq. J. Chem. Soc. C 1966, 178–181. [Google Scholar] [CrossRef]
- Jackson, B.; Locksley, H.D.; Scheinmann, F. Extractives from Guttiferae. Part VII. The isolation and structure of seven xanthones from Calophyllum scriblitifolium Henderson and Wyatt-Smith. J. Chem. Soc. C 1967, 2500–2507. [Google Scholar] [CrossRef]
- Tjahjandarie, T.S.; Saputri, R.D.; Tanjung, M. 5, 9, 11-Trihydroxy-2, 2-dimethyl-3-(2-methylbut-3-en-2-yl) pyrano [2, 3-a] xanthen-12 (2H)-one from the Stem Bark of Calophyllum tetrapterum Miq. Molbank 2017, 2017, M936. [Google Scholar] [CrossRef]
- Banerji, A.; Deshpande, A.D.; Prabhu, B.R.; Pradhan, P. Tomentonone, a new xanthonoid from the stem bark of Calophyllum tomentosum. J. Nat. Prod. 1994, 57, 396–399. [Google Scholar] [CrossRef]
- Karunanayake, S.; Sotheeswaran, S.; Uvais, M.; Sultanbawa, S.; Balasubramaniam, S. Xanthones and triterpenes of Calophyllum tomentosum. Phytochemistry 1981, 20, 1303–1304. [Google Scholar] [CrossRef]
- Gunasekera, S.P.; Sotheeswaran, S.; Sultanbawa, M.U.S. Two new xanthones, calozeyloxanthone and zeyloxanthonone, from Calophyllum zeylanicum (Guttiferae). J. Chem. Soc. 1981, 1831–1835. [Google Scholar] [CrossRef]
- Castelão Jr, J.F.; Gottlieb, O.R.; De Lima, R.A.; Mesquita, A.A.; Gottliebb, H.E.; Wenkert, E. Xanthonolignoids from Kielmeyera and Caraipa species—13C NMR spectroscopy of xanthones. Phytochemistry 1977, 16, 735–740. [Google Scholar] [CrossRef]
- De Lima, R.A.; Gottlieb, O.R.; Mesquita, A.L. Xanthones from Caraipa densiflora. Phytochemistry 1972, 11, 2307–2309. [Google Scholar] [CrossRef]
- Nagem, T.J.; Da Silveira, J.C. Leiaxanthone, a 1,3,5,6-tetraoxygenated xanthone from Haploclathra leiantha. Phytochemistry 1986, 25, 503–504. [Google Scholar] [CrossRef]
- Nagem, T.J. Anthaxanthone, A 1,3,7,8-tetraoxygenated xanthone from Haploclathra leiantha. Phytochemistry 1988, 27, 646–647. [Google Scholar] [CrossRef]
- Nagem, T.J.; Da Silveira, J.C. A 1, 3, 7, 8-tetraoxygenated xanthone from Haploclathra paniculata. Phytochemistry 1986, 25, 2681–2682. [Google Scholar] [CrossRef]
- Nagem, T.J.; Da Silveira, J.C. Haploxanthone from Haploclathra species. Phytochemistry 1989, 28, 2211–2212. [Google Scholar] [CrossRef]
- Gottlieb, O.R.; Mesquita, A.L.; da Silva, E.M.; de Melo, M.T. Xanthones of Kielmeyera ferruginea. Phytochemistry 1969, 8, 665–666. [Google Scholar] [CrossRef]
- Duarte, A.P.; Corrêa, D.D.B.; Silva, L.G.F.; Janot, S.; Gottlieb, O.R. A química das Gutíferas brasileiras. XVI–Kielmeyera rupestris n. sp. An. Acad. Bras. Ciênc. 1968, 40, 307–311. [Google Scholar]
- Correa, D.; Silva, L.G. The chemistry of Brazilian Guttiferae XVIII. Quinone and xanthone constituents of Kielmeyera rupestris wood. Phytochemistry 1970, 9, 447–451. [Google Scholar] [CrossRef]
- de Barros Corrêa, D.; Fonseca, L.G.; Gottlieb, O.R.; Gonçalves, S.J. Quinone and xanthone constituents of Kielmeyera rupestris. Phytochemistry 1970, 9, 447–451. [Google Scholar] [CrossRef]
- Gottlieb, O.R.; Mesquita, A.L.; De Oliveira, G.G.; De Melo, M.T. Xanthones from Kielmeyera speciosa. Phytochemistry 1970, 9, 2537–2544. [Google Scholar] [CrossRef]
- Pinheiro, L.; Nakamura, C.V.; Dias Filho, B.P.; Ferreira, A.G.; Young, M.C.M.; Cortez, A.G. Antibacterial xanthones from Kielmeyera variabilis mart. (Clusiaceae). Mem. Inst. Oswaldo Cruz 2003, 98, 549–552. [Google Scholar] [CrossRef]
- Walia, S.; Mukerjee, S.K. Ferrxanthone, a 1,3,5,6-tetraoxygenated xanthone from Mesua ferrea. Phytochemistry 1984, 23, 1816–1817. [Google Scholar] [CrossRef]
- Noungoué Tchamo, D.; Cartier, G.; Dijoux-Franca, M.G.; Tsamo, E.; Mariotte, A.M. Xanthones and other constituents of Trema orientalis. Pharm. Biol. 2001, 39, 202–205. [Google Scholar] [CrossRef]
- Kazmi, S.N.U.H.; Ahmed, Z.; Malik, A. Vaccaxanthone, a novel xanthone acid from Saponaria vaccaria. Heterocycles 1989, 29, 1923–1927. [Google Scholar]
- Kazmi, S.N.U.H.; Ahmed, Z.; Malik, A. Sapxanthone, a pentasubstituted xanthone from Saponaria vaccaria. Phytochemistry 1989, 28, 3572–3574. [Google Scholar] [CrossRef]
- Yoshikawa, M.; Nishida, N.; Shimoda, H.; Takada, M.; Kawahara, Y.; Matsuda, H. Polyphenol constituents from Salacia species: Quantitative analysis of mangiferin with alpha-glucosidase and aldose reductase inhibitory activities. Yakugaku zasshi: J. Pharm. Soc. Jpn. 2001, 121, 371–378. [Google Scholar] [CrossRef] [PubMed]
- Nkengfack, A.E.; Azebaze, G.A.; Vardamides, J.C.; Fomum, Z.T.; van Heerden, F.R. A prenylated xanthone from Allanblackia floribunda. Phytochemistry 2002, 60, 381–384. [Google Scholar] [CrossRef] [PubMed]
- Locksley, H.D.; Murray, I.G. Extractives from Guttiferae. Part XIX. The isolation and structure of two benzophenones, six xanthones and two biflavonoids from the heartwood of Allanblackia floribunda Oliver. J. Chem. Soc. Org. 1971, 1332–1340. [Google Scholar] [CrossRef]
- Azebaze, A.G.; Meyer, M.; Bodo, B.; Nkengfack, A.E. Allanxanthone B, a polyisoprenylated xanthone from the stem bark of Allanblackia monticola Staner LC. Phytochemistry 2004, 65, 2561–2564. [Google Scholar] [CrossRef]
- Azebaze, A.G.B.; Menasria, F.; Noumi, L.G.; Nguemfo, E.L.; Tchamfo, M.F.; Nkengfack, A.E.; Kolb, J.P.; Meyer, M. Xanthones from the Seeds of Allanblackia monticola and Their Apoptotic and Antiproliferative Activities. Planta Med. 2009, 75, 243–248. [Google Scholar] [CrossRef]
- Likhitwitayawuid, K.; Phadungcharoen, T.; Mahidol, C.; Ruchirawat, S. 7-O-Methylgarcinone E from Garcinia cowa. Phytochemistry 1997, 45, 1299–1301. [Google Scholar] [CrossRef]
- Lee, H.H.; Chan, H.K. 1, 3, 6-Trihydroxy-7-methoxy-8-(3, 7-dimethyl-2, 6-octadienyl) xanthone from Garcinia cowa. Phytochemistry 1977, 16, 2038–2040. [Google Scholar] [CrossRef]
- Bandaranayake, W.M.; Selliah, S.S.; Sultanbawa, M.U.S.; Ollis, W.D. Biflavonoids and xanthones of Garcinia terpnophylla and G. echinocarpa. Phytochemistry 1975, 14, 1878–1880. [Google Scholar] [CrossRef]
- Harrison, L.J.; Leong, L.S.; Sai, G.L.; Sim, K.Y.; Tan, H.T.W. Xanthones from Garcinia forbesii. Phytochemistry 1993, 33, 727–728. [Google Scholar] [CrossRef]
- Huang, Y.L.; Chen, C.C.; Chen, Y.J.; Huang, R.L.; Shieh, B.J. Three xanthones and a benzophenone from Garcinia mangostana. J. Nat Prod. 2001, 64, 903–906. [Google Scholar] [CrossRef]
- Nilar, H.L.; Harrison, L.J. Xanthones from the heartwood of Garcinia mangostana. Phytochemistry 2002, 60, 541–548. [Google Scholar] [CrossRef]
- Fu, M.; Qiu, S.X.; Xu, Y.; Wu, J.; Chen, Y.; Yu, Y.; Xiao, G. A new xanthone from the pericarp of Garcinia mangostana. Nat. Prod. Commun. 2013, 8, 1934578X1300801219. [Google Scholar] [CrossRef]
- Suksamrarn, S.; Suwannapoch, N.; Ratananukul, P.; Aroonlerk, N.; Suksamrarn, A. Xanthones from the Green Fruit Hulls of Garcinia mangostana. J. Nat. Prod. 2002, 65, 761–763. [Google Scholar] [CrossRef]
- Kurniawan, Y.S.; Priyangga, K.T.A.; Pranowo, H.D.; Sholikhah, E.N.; Zulkarnain, A.K.; Fatimi, H.A.; Julianus, J. An update on the anticancer activity of xanthone derivatives: A review. Pharmaceuticals 2021, 14, 1144. [Google Scholar] [CrossRef]
- Asai, F.; Tosa, H.; Tanaka, T.; Linuma, M.A. Xanthone from pericarps of Garcinia mangostana. Phytochemistry 1995, 39, 943–944. [Google Scholar] [CrossRef]
- Balasubramanian, K.; Rajagopalan, K. Novel xanthones from Garcinia mangostana, structures of BR-xanthone-A and BR-xanthone-B. Phytochemistry 1988, 27, 1552–1554. [Google Scholar] [CrossRef]
- Govindachari, T.R.; Kalyanaraman, P.S.; Muthukumaraswamy, N.; Pai, B.R. Xanthones of Garcinia mangostana Linn. Tetrahedron 1971, 27, 3919–3926. [Google Scholar] [CrossRef]
- Holloway, D.M.; Scheinmann, F. Phenolic compounds from the heartwood of Garcinia mangostana. Phytochemistry 1975, 14, 2517–2518. [Google Scholar] [CrossRef]
- Parveen, M.; Khan, N.U.D. Two xanthones from Garcinia mangostana. Phytochemistry 1988, 27, 3694–3696. [Google Scholar] [CrossRef]
- Sen, A.K.; Sarkar, K.K.; Mazumder, P.C.; Banerji, N.; Uusvuori, R.; Haset, T.A. A xanthone from Garcinia mangostana. Phytochemistry 1980, 19, 2223–2225. [Google Scholar] [CrossRef]
- Kuete, V.; Sandjo, L.P.; Ouete, J.L.N.; Fouotsa, H.; Wiench, B.; Efferth, T. Cytotoxicity and modes of action of three naturally occurring xanthones (8-hydroxycudraxanthone G, morusignin I and cudraxanthone I) against sensitive and multidrug-resistant cancer cell lines. Phytomedicine 2014, 21, 315–322. [Google Scholar] [CrossRef] [PubMed]
- Goh, S.H.; Jantan, I.; Gray, A.I.; Waterman, P.G. Prenylated xanthones from Garcinia opaca. Phytochemistry 1992, 31, 1383–1386. [Google Scholar] [CrossRef]
- Waterman, P.G.; Crichton, E.G. Xanthones, benzophenones and triterpenes from the stem bark of Garcinia ovalifolia. Planta Med. 1980, 40, 351–355. [Google Scholar] [CrossRef]
- Rao, A.R.; Sarma, M.R.; Venkataraman, K.; Yemul, S.S. A benzophenone and xanthone with unusual hydroxylation patterns from the heartwood of Garcinia pedunculata. Phytochemistry 1974, 13, 1241–1244. [Google Scholar] [CrossRef]
- Waterman, P.G.; Hussain, R.A. Major xanthones from Garcinia quadrifaria and Garcinia staudtii stem barks. Phytochemistry 1982, 21, 2099–2101. [Google Scholar] [CrossRef]
- Hay, A.E.; Aumond, M.C.; Mallet, S.; Dumontet, V.; Litaudon, M.; Rondeau, D.; Richomme, P. Antioxidant xanthones from G. vieillardii. J. Nat Prod. 2004, 67, 707–709. [Google Scholar] [CrossRef]
- Nguyen, C.N.; Trinh, B.T.; Tran, T.B.; Nguyen, L.T.T.; Jäger, A.K.; Nguyen, L.H.D. Anti-diabetic xanthones from the bark of Garcinia xanthochymus. Bioorg. Med. Chem. Lett. 2017, 27, 3301–3304. [Google Scholar] [CrossRef]
- Wabo, H.K.; Kikuchi, H.; Katou, Y.; Tane, P.; Oshima, Y. Xanthones and a benzophenone from the roots of Pentadesma butyracea and their antiproliferative activity. Phytochem. Lett. 2010, 3, 104–107. [Google Scholar] [CrossRef]
- Lenta, B.N.; Ngouela, S.; Noungoue, D.T.; Tsamo, E.; Connolly, J.D. Symphonin: A new prenylated pyranoxanthone with antimicrobial activity from the seeds of Symphonia globulifera (Guttiferae). Bull. Chem. Soc. Ethiop. 2004, 18, 175–180. [Google Scholar] [CrossRef]
- Nkengfack, A.E.; Mkounga, P.; Meyer, M.; Fomum, Z.T.; Bodo, B. Globulixanthones C, D and E: Three prenylated xanthones with antimicrobial properties from the root bark of Symphonia globulifera. Phytochemistry 2002, 61, 181–187. [Google Scholar] [CrossRef]
- Santos, L.C.; Piacente, S.; De Riccardis, F.; Eletto, A.M.; Pizza, C.; Vilegas, W. Xanthones and flavonoids from Leiothrix curvifolia and Leiothrix flavescens. Phytochemistry 2001, 56, 853–856. [Google Scholar] [CrossRef]
- Kapingu, M.C.; Magadula, J.J. Prenylated xanthones and a benzophenone from Baphia kirkii. Nat. Prod. Commun. 2008, 3, 1934578X0800300921. [Google Scholar] [CrossRef]
- Joubert, E.; Otto, F.; Grüner, S.; Weinreich, B. Reversed-phase HPLC determination of mangiferin, isomangiferin and hesperidin in Cyclopia and the effect of harvesting date on the phenolic composition of C. genistoides. Eur. Food Res. Technol. 2003, 216, 270–273. [Google Scholar] [CrossRef]
- Janković, T.; Krstić, D.; Šavikin-Fodulović, K.; Menković, N.; Grubišić, D. Xanthones and secoiridoids from hairy root cultures of Centaurium erythraea and C. pulchellum. Planta Med. 2002, 68, 944–946. [Google Scholar] [CrossRef]
- Valentão, P.; Andrade, P.B.; Silva, E.; Vicente, A.; Santos, H.; Bastos, M.L.; Seabra, R.M. Methoxylated xanthones in the quality control of small centaury (Centaurium erythraea) flowering tops. J. Agric. Food Chem. 2002, 50, 460–463. [Google Scholar] [CrossRef]
- Valentão, P.; Areias, F.; Amaral, J.; Andrade, P.; Seabra, R. Tetraoxygenated xanthones from Centaurium erythraea. Nat. Prod. Lett. 2000, 14, 319–323. [Google Scholar] [CrossRef]
- Versluys, C.; Cortés, M.; López, J.T.; Sierra, J.R.; Razmilić, I. A novel xanthone as secondary metabolite from Centaurium cachanlahuen. Experientia 1982, 38, 771–772. [Google Scholar] [CrossRef]
- Parra, M.; Seoane, E.; Tortajada, A. Additional new xanthones isolated from Centaurium linarifolium. J. Nat. Prod. 1984, 47, 868–871. [Google Scholar] [CrossRef]
- Stout, G.H.; Balkenhol, W.J. Xanthones of the Gentianaceae-I Frasera caroliniensis Walt. Tetrahedron 1969, 25, 1947–1960. [Google Scholar] [CrossRef]
- Plouvier, V.; Massicot, J.; Rivaille, P. On gentiacauleine, a new tetra-substituted xanthone, aglycone of gentiacauloside of Gentiana acaulis L. Comptes Rendus Hebd. Seances L’academie Sci. Ser. D Sci. Nat. 1967, 264, 1219–1222. [Google Scholar]
- Menković, N.; Šavikin-Fodulović, K.; Savin, K. Chemical composition and seasonal variations in the amount of secondary compounds in Gentiana lutea leaves and flowers. Planta Med. 2000, 66, 178–180. [Google Scholar] [CrossRef] [PubMed]
- Gupta, P.; Lewis, J.R. Biogenesis of xanthones in Gentiana lutea. J. Chem. Soc. C 1971, 629–631. [Google Scholar] [CrossRef]
- Mudrić, J.; Janković, T.; Šavikin, K.; Bigović, D.; Đukić-Ćosić, D.; Ibrić, S.; Đuriš, J. Optimization and modelling of gentiopicroside, isogentisin and total phenolics extraction from Gentiana lutea L. roots. Ind. Crops Prod. 2020, 155, 112767. [Google Scholar] [CrossRef]
- Chen, Y.; Wang, G.K.; Wu, C.; Qin, M.J. Chemical constituents of Gentiana rhodantha. China J. Chin. Mater. Med. 2013, 38, 362–365. [Google Scholar]
- Zhang, L.; Zou, D.Z.; Bai, S.; Li, Z.H.; Zhang, C.H.; Li, M.H. Chemical constituents from Gentianella turkestanorum (Gentianaceae). Biochem. Syst. Ecol. 2016, 65, 89–92. [Google Scholar] [CrossRef]
- Moon, U.R.; Mitra, A. A mechanistic insight into hydrogen peroxide-mediated elicitation of bioactive xanthones in Hoppea fastigiata shoot cultures. Planta 2016, 244, 259–274. [Google Scholar] [CrossRef]
- Banerjee, S.; Sur, T.K.; Mandal, S.; Das, P.C.; Sikdar, S. Assessment of the anti-inflammatory effects of Swertia chirata in acute and chronic experimental models in male albino rats. Indian J. Pharmacol. 2000, 32, 21–24. [Google Scholar]
- Wang, C.Z.; Maier, U.H.; Keil, M.; Zenk, M.H.; Bacher, A.; Rohdich, F.; Eisenreich, W. Phenylalanine-independent biosynthesis of 1,3,5,8-tetrahydroxyxanthone: A retrobiosynthetic NMR study with root cultures of Swertia chirata. Eur. J. Biochem. 2003, 270, 2950–2958. [Google Scholar] [CrossRef]
- Zhou, Y.; Di, Y.T.; Gesang, S.; Peng, S.L.; Ding, L.S. Secoiridoid glycosides from Swertia mileensis. Helv. Chim. Acta 2006, 89, 94–102. [Google Scholar] [CrossRef]
- Tan, P.; Hou, C.Y.; Liu, Y.L.; Lin, L.J.; Cordell, G.A. Swertipunicoside. The First Bisxanthone C-Glycoside. J. Org. Chem. 1991, 56, 7130–7133. [Google Scholar] [CrossRef]
- Huang, Q.; Wang, Y.; Wu, H.; Yuan, M.; Zheng, C.; Xu, H. Xanthone glucosides: Isolation, bioactivity and synthesis. Molecules 2021, 26, 5575. [Google Scholar] [CrossRef]
- Ghosal, S.; Sharma, P.V.; Chaudhuri, R.K. Chemical constituents of Gentianaceae X: Xanthone-O-glucosides of Swertia purpurascens Wall. J. Pharm. Sci. 1974, 63, 1286–1290. [Google Scholar] [CrossRef]
- Tomimori, T.; Komatsu, M. Studies on the Constituents of Swertia japonica. VI. on the Flavonoid and Xanthone Constituents of Swertia randaiensis. HAYATA and S. swertopsis MAKINO. Yakugaku Zasshi 1969, 89, 1276–1282. [Google Scholar] [CrossRef]
- Zeng, G.Y.; Tan, G.S.; Xu, K.P.; Xu, X.P.; Li, F.S.; Tan, J.B.; Hu, G.Y. Water-soluble chemical constituents of Swertia davidii Franch. Acta Pharm. Sin. 2004, 39, 351–353. [Google Scholar]
- Mahabusarakam, W.; Nuangnaowarat, W.; Taylor, W.C. Xanthone derivatives from Cratoxylum cochinchinense roots. Phytochemistry 2006, 67, 470–474. [Google Scholar] [CrossRef]
- Iinuma, M.; Tosa, H.; Ito, T.; Tanaka, T.; Madulid, D.A. Two xanthones from roots of Cratoxylum formosanum. Phytochemistry 1996, 42, 1195–1198. [Google Scholar] [CrossRef]
- Boonsri, S.; Karalai, C.; Ponglimanont, C.; Kanjana-Opas, A.; Chantrapromma, K. Antibacterial and cytotoxic xanthones from the roots of Cratoxylum formosum. Phytochemistry 2006, 67, 723–727. [Google Scholar] [CrossRef]
- Kitanov, G.M.; Assenov, I. Flavonols and xanthones from Cratoxylum pruniflorum Kurz. (Guttiferae). Pharmazie 1998, 43, 879–880. [Google Scholar]
- Nielsen, H.; Arends, P. Xanthone constituents of Hypericum androsaemum. J. Nat. Prod. 1979, 42, 301–304. [Google Scholar] [CrossRef]
- Cardona, M.L.; Fernández, M.I.; Pedro, J.R.; Seoane, E.; Vidal, R. Additional new xanthones and xanthonolignoids from Hypericum canariensis. J. Nat. Prod. 1986, 49, 95–100. [Google Scholar] [CrossRef]
- Chung, M.I.; Weng, J.R.; Wang, J.P.; Teng, C.M.; Lin, C.N. Antiplatelet and anti-inflammatory constituents and new oxygenated xanthones from Hypericum geminiflorum. Planta Med. 2002, 68, 25–29. [Google Scholar] [CrossRef] [PubMed]
- Ishiguro, K.; Nagata, S.; Oku, H.; Yamaki, M. Bisxanthones from Hypericum japonicum: Inhibitors of PAF-induced hypotension. Planta Med. 2002, 68, 258–261. [Google Scholar] [CrossRef] [PubMed]
- Arends, P. Maculatoxanthone, a new pyranoxanthone prom Hypericum maculatum. Tetrahedron Lett. 1969, 10, 4893–4896. [Google Scholar] [CrossRef]
- Feng, Z.; Lu, X.; Gan, L.; Zhang, Q.; Lin, L. Xanthones, a promising anti-inflammatory scaffold: Structure, activity, and drug likeness analysis. Molecules 2020, 25, 598. [Google Scholar] [CrossRef]
- Ishiguro, K.; Nakajima, M.; Fukumoto, H.; Isoi, K. A xanthone substituted with an irregular monoterpene in cell suspension cultures of Hypericum patulum. Phytochemistry 1995, 39, 903–905. [Google Scholar] [CrossRef]
- Ishiguro, K.; Nakajima, M.; Fukumoto, H.; Isoi, K. Co-occurrence of prenylated xanthones and their cyclization products in cell suspension cultures of Hypericum patulum. Phytochemistry 1995, 38, 867–869. [Google Scholar] [CrossRef]
- Ishiguro, K.; Fukumoto, H.; Suitani, A.; Nakajima, M.; Isoi, K. Prenylated xanthones from cell suspension cultures of Hypericum patulum. Phytochemistry 1996, 42, 435–437. [Google Scholar] [CrossRef]
- Ishiguro, K.; Nagareya, N.; Suitani, A.; Fukumoto, H. A prenylated xanthone from cell suspension cultures of Hypericum patulum. Phytochemistry 1997, 44, 1065–1066. [Google Scholar] [CrossRef]
- Tocci, N.; Gaid, M.; Kaftan, F.; Belkheir, A.K.; Belhadj, I.; Liu, B.; Svatoš, A.; Hänsch, R.; Pasqua, G.; Beerhues, L. Exodermis and endodermis are the sites of xanthone biosynthesis in Hypericum perforatum roots. New Phytol. 2018, 217, 1099–1112. [Google Scholar] [CrossRef]
- Cardona, M.L.; Fernández, I.; Pedro, J.R.; Serrano, A. Xanthones from Hypericum reflexum. Phytochemistry 1990, 29, 3003–3006. [Google Scholar] [CrossRef]
- Tala, M.F.; Tchakam, P.D.; Wabo, H.K.; Talontsi, F.M.; Tane, P.; Kuiate, J.R.; Laatsch, H. Chemical constituents, antimicrobial and cytotoxic activities of Hypericum riparium (Guttiferae). Rec. Nat. Prod. 2013, 7, 65. [Google Scholar]
- Rath, G.; Potterat, O.; Mavi, S.; Hostettmann, K. Xanthones from Hypericum roeperanum. Phytochemistry 1996, 43, 513–520. [Google Scholar] [CrossRef]
- Hong, D.; Yin, F.; Hu, L.H.; Lu, P. Sulfonated xanthones from Hypericum sampsonii. Phytochemistry 2004, 65, 2595–2598. [Google Scholar] [CrossRef]
- Don, M.J.; Huang, Y.J.; Huang, R.L.; Lin, Y.L. New phenolic principles from Hypericum sampsonii. Chem. Pharm. Bull. 2004, 52, 866–869. [Google Scholar] [CrossRef]
- Huang, L.; Wang, H.; Ye, H.; Du, Z.; Zhang, Y.; Beerhues, L.; Liu, B. Differential expression of benzophenone synthase and chalcone synthase in Hypericum sampsonii. Nat. Prod. Commun. 2012, 7, 1615–1618. [Google Scholar] [CrossRef]
- Chen, M.T.; Kuoh, Y.P.; Wang, C.H.; Chen, C.M.; Kuoh, C.S. Additional constituents of Hypericum subalatum. J. Chin. Chem. Soc. 1989, 36, 165–168. [Google Scholar] [CrossRef]
- Maurice, T.; Wache Blandine Marlyse, O.; Jean Robert, N.; Pierre, M.; Victor, K.; Sterner, O.; Augustin Ephrem, N. Antimicrobial prenylated xanthones and anthraquinones from barks and fruits of Psorospermum adamauense (Engl). Nat. Prod. J. 2013, 3, 60–65. [Google Scholar] [CrossRef]
- Delle Monache, F.; Mac-Quhae, M.M.; Delle Monache, G.; Bettolo, G.M.; De Lima, R.A. Xanthones, xanthonolignoids and other constituents of the roots of Vismia guaramirangae. Phytochemistry 1983, 22, 227–232. [Google Scholar] [CrossRef]
- Bukvicki, D.; Novakovic, M.; Ab Ghani, N.; Marin, P.D.; Asakawa, Y. Secondary metabolites from endemic species Iris adriatica Trinajstic ex Mitic (Iridaceae). Nat. Prod. Res. 2018, 32, 1849–1852. [Google Scholar] [CrossRef] [PubMed]
- Abdel-Mageed, W.M.; Al-Wahaibi, L.H.; Al-Saleem, M.S.M.; Gouda, Y.G.; Abdel-Kader, M.S.; Ibraheim, Z.Z. Phytochemical and chemotaxonomic study on Iris albicans Lange leaves. Biochem. Syst. Ecol. 2018, 76, 32–34. [Google Scholar] [CrossRef]
- Fujita, M.; Inoue, T. Studies on the Constituents of Iris florentina L. II. C-Glucosides of Xanthones and Flavones from the Leaves. Chem. Pharm. Bull. 1982, 30, 2342–2348. [Google Scholar] [CrossRef]
- Xie, G.Y.; Chen, Y.J.; Wen, R.; Xu, J.Y.; Wu, S.S.; Qin, M.J. Chemical constituents from rhizomes of Iris germanica. China J. Chin. Mater. Med. 2014, 39, 846–850. [Google Scholar]
- Alkhalil, S.; Tosa, H.; Iinuma, M. A xanthone C-glycoside from Iris nigricans. Phytochemistry 1995, 38, 729–731. [Google Scholar] [CrossRef]
- Wang, D.Y.; Xu, S.Y. Two new xanthones from Premna microphylla. Nat. Prod. Res. 2003, 17, 75–77. [Google Scholar] [CrossRef]
- Pettit, G.R.; Zhang, Q.; Pinilla, V.; Herald, D.L.; Doubek, D.L.; Duke, J.A. Isolation and Structure of Gustastatin from the Brazilian Nut Tree Gustavia hexapetala, 1. J. Nat Prod. 2004, 67, 983–985. [Google Scholar] [CrossRef]
- Fukai, T.; Yonekawa, M.; Hou, A.J.; Nomura, T.; Sun, H.D.; Uno, J. Antifungal agents from the roots of Cudrania cochinchinensis against candida, cryptococcus, and aspergillus species. J. Nat. Prod. 2003, 66, 1118–1120. [Google Scholar] [CrossRef]
- Marques, V.L.L.; De Oliveira, F.M.; Conserva, L.M.; Brito, R.G.L.; Guilhon, G.M.S. Dichromenoxanthones from Tovomita brasiliensis. Phytochemistry 2000, 55, 815–818. [Google Scholar] [CrossRef]
- Pu, X.; Li, J.; Guo, Z.; Wang, M.; Lei, M.; Yang, S.; Huang, Q. Structure-based identification and pathway elucidation of flavonoids in Camptotheca acuminate. Synth. Syst. Biotechnol. 2022, 7, 824–836. [Google Scholar] [CrossRef]
- Fenner, M.; Lee, W.G.; Duncan, S.J. Chemical features of Chionochloa species in relation to grazing by ruminants in South Island, New Zealand. N. Z. J. Ecol. 1993, 17, 35–40. [Google Scholar]
- Lin, L.L.; Huang, F.; Chen, S.B.; Yang, D.J.; Chen, S.L.; Yang, J.S.; Xiao, P.G. Xanthones from the roots of Polygala caudata and their antioxidation and vasodilatation activities in vitro. Planta Med. 2005, 71, 372–375. [Google Scholar] [CrossRef]
- Miyase, T.; Noguchi, H.; Chen, X.M. Sucrose Esters and Xanthone C-Glycosides from the Roots of Polygala sibirica. J. Nat. Prod. 1999, 62, 993–996. [Google Scholar] [CrossRef]
- Jiang, Y.; Zhang, W.; Tu, P.F.; Xu, X.J. Xanthone Glycosides from Polygala tenuifolia and Their Conformational Analyses. J. Nat. Prod. 2005, 68, 875–879. [Google Scholar] [CrossRef]
- Dall’Acqua, S.; Innocenti, G.; Viola, G.; Piovan, A.; Caniato, R.; Cappelletti, E.M. Cytotoxic compounds from Polygala vulgaris. Chem. Pharm. Bull. 2002, 50, 1499–1501. [Google Scholar] [CrossRef]
- Talamond, P.; Mondolot, L.; Gargadennec, A.; de Kochko, A.; Hamon, S.; Fruchier, A.; Campa, C. First report on mangiferin (C-glucosyl-xanthone) isolated from leaves of a wild coffee plant, Coffea pseudozanguebariae (Rubiaceae). Acta Bot. Gall. 2008, 155, 513–519. [Google Scholar] [CrossRef]
- Ferrari, J.; Terreaux, C.; Sahpaz, S.; Msonthi, J.D.; Wolfender, J.L.; Hostettmann, K. Benzophenone glycosides from Gnidia involucrata. Phytochemistry 2000, 54, 883–889. [Google Scholar] [CrossRef]
- Carvalho, M.J.; Carvalho, L.M.; Ferreira, A.M.; Silva, A.M. A new xanthone from Hedychium gardnerianum. Nat. Prod. Res. 2003, 17, 445–449. [Google Scholar] [CrossRef]
- Malet-Cascon, L.; Romero, F.; Espliego-Vazquez, F.; Gravalos, D.; Fernandez-Puentes, J.L. IB-00208, a new cytotoxic polycyclic xanthone produced by a marine-derived Actinomadura I. Isolation of the strain, taxonomy and biological activites. J. Antibiot. 2003, 56, 219–225. [Google Scholar] [CrossRef]
- Ullmann, F.; Panchaud, L. Synthese des Euxanthons. Justus Liebigs Ann. Chem. 1906, 350, 108–117. [Google Scholar] [CrossRef]
- Ignatushchenko, M.V.; Winter, R.W.; Bächinger, H.P.; Hinrichs, D.J.; Riscoe, M.K. Xanthones as antimalarial agents; studies of a possible mode of action. FEBS Lett. 1997, 409, 67–73. [Google Scholar] [CrossRef] [PubMed]
- Minto, R.E.; Townsend, C.A. Enzymology and molecular biology of aflatoxin biosynthesis. Chem. Rev. 1997, 97, 2537–2556. [Google Scholar] [CrossRef] [PubMed]
- Pinto, M.M.; Castanheiro, R.A.; Kijjoa, A. Xanthones from Marine-Derived Microorganisms: Isolation, Structure Elucidation and Biological Activities. Encycl. Anal. Chem. Appl. Theory Instrum. 2006, 1–21. [Google Scholar]
- Essery, J.M.; O’Herron, F.A.; McGregor, D.N.; Bradner, W.T. Preparation and antitumor activities of some derivatives of 5-methoxysterigmatocystin. J. Med. Chem. 1976, 19, 1339–1342. [Google Scholar] [CrossRef] [PubMed]
- Kamal, A.; Haider, Y.; Khan, Y.A.; Qureshi, I.H.; Qureshi, A.A. Studies in the biochemistry of microorganisms. X. Isolation, structure and stereochemistry of yasimin and other metabolic products of Aspergillus unguis Emile-Weil and Gaudin. Pakistan J. Sci. Indus. Res. 1970, 13, 251. [Google Scholar]
- Chexal, K.K.; Holker, J.S.; Simpson, T.J. The biosynthesis of fungal metabolites. Part VI. Structures and biosynthesis of some minor metabolites from variant strains of Aspergillus variecolor. J. Chem. Soc. Perkin Trans. 1 1975, 6, 549–554. [Google Scholar] [CrossRef]
- Ishida, M.; Hamasaki, T.; Hatsuda, Y. Biosynthesis of shamixanthone. Agric. Biol. Chem. 1978, 42, 465–466. [Google Scholar]
- Valdomir, G.; Tietze, L.F. Chromanone Lactones: A Neglected Group of Natural Products–Isolation, Structure Elucidation, Bioactivity, and Synthesis. Eur. J. Org. Chem. 2022, 20, e202200201. [Google Scholar] [CrossRef]
- Wu, Z.J.; Ouyang, M.A.; Tan, Q.W. New asperxanthone and asperbiphenyl from the marine fungus Aspergillus sp. Pest Manag. Sci. 2009, 65, 60–65. [Google Scholar] [CrossRef]
- Marks, K.M.; Park, E.S.; Arefolov, A.; Russo, K.; Ishihara, K.; Ring, J.E.; Clardy, J.; Clarke, A.S.; Pelish, H.E. The selectivity of austocystin D arises from cell-line-specific drug activation by cytochrome P450 enzymes. J. Nat. Prod. 2011, 74, 567–573. [Google Scholar] [CrossRef]
- Fredimoses, M.; Zhou, X.; Ai, W.; Tian, X.; Yang, B.; Lin, X.; Liu, J.; Liu, Y. Emerixanthone E, a new xanthone derivative from deep sea fungus Emericella sp SCSIO 05240. Nat. Prod. Res. 2019, 33, 2088–2094. [Google Scholar] [CrossRef]
- Kjaer, D.; Kjaer, A.; Pedersen, C.; Bu’Lock, J.D.; Smith, J.R. Bikaverin and norbikaverin, benzoxanthentrione pigments of Gibberella fujikuroi. J. Chem. Soc. C 1971, 16, 2792–2797. [Google Scholar] [CrossRef]
- Peres, V.; Nagem, T.; Faustino de Oliviera, F.; Peres, V.; Nagem, T.J.; de Oliveira, F.F. Tetraoxygenated naturally occurring xanthones. Phytochemistry 2000, 55, 683–710. [Google Scholar] [CrossRef]
- Gnerre, C.; Thull, U.; Gaillard, P.; Carrupt, P.A.; Testa, B.; Fernandes, E.; Silva, F.; Pinto, M.; Pinto, M.M.M.; Wolfender, J.L.; et al. Natural and synthetic xanthones as monoamine oxidase inhibitors: Biological assay and 3D-QSAR. Helv. Chim. Acta 2001, 84, 552–570. [Google Scholar] [CrossRef]
- Michael, A. On the Action of Aldehydes on Phenols I. Am. Chem. J. 1883, 5, 338–349. [Google Scholar]
- Casillas, L.K.; Townsend, C.A. Total synthesis of O-methylsterigmatocystin using N-alkylnitrilium salts and carbonyl− alkene interconversion in a new xanthone synthesis. J. Org. Chem. 1999, 64, 4050–4059. [Google Scholar] [CrossRef]
- El-Seedi, H.R.; El-Barbary, M.A.; El-Ghorab, D.M.H.; Bohlin, L.; Borg-Karlson, A.K.; Goransson, U.; Verpoorte, R. Recent insights into the biosynthesis and biological activities of natural xanthones. Curr. Med. Chem. 2010, 17, 854–901. [Google Scholar] [CrossRef]
- Xie, F.; Pan, X.; Lin, S.; Hu, Y. A base-promoted desalicyloylative dimerization of 3-(1-alkynyl) chromones: An unusual approach to 2-alkynyl xanthones. Org. Biomol. Chem. 2010, 8, 1378–1381. [Google Scholar] [CrossRef]
- Elix, J.; Ovstedal, D.O. Lichen phytochemistry II: Some species of Calopadia. Australas. Lichenol. 2009, 65, 7–9. [Google Scholar]
- Millot, M.; Tomasi, S.; Studzinska, E.; Rouaud, I.; Boustie, J. Cytotoxic constituents of the lichen Diploicia canescens. J. Nat. Prod. 2009, 72, 2177–2180. [Google Scholar] [CrossRef]
- Leuckert, C.; Ahmadjian, V.; Culberson, C.F.; Johnson, A. Xanthones and depsidones of the lichen Lecanora dispersa in nature and of its mycobiont in culture. Mycologia 1990, 82, 370–378. [Google Scholar] [CrossRef]
- Bertrand, M.; Monnat, J.Y.; Lohézic-Le Dévéhat, F. Myriolecis massei, a new species of Lecanoraceae from the coasts of the Armorican Massif in Western Europe. Bryologist 2018, 121, 253–263. [Google Scholar] [CrossRef]
- Veríssimo, A.C.; Pinto, D.C.; Silva, A.M. Marine-Derived Xanthone from 2010 to 2021: Isolation, Bioactivities and Total Synthesis. Mar. Drugs 2022, 20, 347. [Google Scholar] [CrossRef] [PubMed]
- Gartman, J.A.; Tambar, U.K. Recent total syntheses of anthraquinone-based natural products. Tetrahedron 2021, 105, 132501. [Google Scholar] [CrossRef] [PubMed]
- Perez-Vargas, I.; Hernandez-Padron, C.; Etayo, J. New species of Pertusaria (lichenized Ascomycota: Pertusariaceae) from the Canary Islands. Lichenologist 2010, 42, 35–41. [Google Scholar] [CrossRef]
- Elix, J. Five new species of Phyllopsora (lichenized Ascomycota) from Australia; ANU Research Publications: Australia, 1328; ISSN 1328-4401. [Google Scholar]
- Holker, J.S.; Lapper, R.D.; Simpson, T.J. The biosynthesis of fungal metabolites. Part IV. Tajixanthone: 13 C nuclear magnetic resonance spectrum and feedings with [1-13 C]-and [2-13 C]-acetate. J. Chem. Soc. Perkin Trans. 1 1974, 2135–2140. [Google Scholar] [CrossRef]
- Tanahashi, T.; Takenaka, Y.; Ikuta, Y.; Tani, K.; Nagakura, N.; Hamada, N. Xanthones from the cultured lichen mycobionts of Pyrenula japonica and Pyrenula pseudobufonia. Phytochemistry 1999, 52, 401–405. [Google Scholar] [CrossRef]
- Sérusiaux, E.; Lücking, R.; Lumbsch, T. Sporopodium isidiatum (Pilocarpaceae), new from Papua New Guinea and Sri Lanka, with a key to the world’s Sporopodium species. Mycotaxon 2008, 103, 255–262. [Google Scholar]
- Santesson, J. Chemical studies on lichens. 21. Two novel chlorinated lichen xanthones. J. Ark. Kemi 1969, 31, 121–124. [Google Scholar]
- Vieira, L.M.M.; Kijjoa, A. Naturally-occurring xanthones: Recent developments. Curr. Med. Chem. 2005, 12, 2413–2446. [Google Scholar] [CrossRef]
- Sultanbawa, M.U.S. Xanthonoids of tropical plants. Tetrahedron 1980, 36, 1465–1506. [Google Scholar] [CrossRef]
- Sousa, M.E.; Pinto, M.M.M. Synthesis of Xanthones: An Overview. Curr. Med. Chem. 2005, 12, 2447–2479. [Google Scholar] [CrossRef]
- Ahmad, V.U.; Khana, M.A.; Arfan, M.; Siddiqui, M.T. A xanthone dixylopyranoside from Swertia thomsonii. Z. Naturforsch. B 2002, 57, 122–126. [Google Scholar] [CrossRef]
- Iseda, S. On mangiferin, the coloring matter of mango (Mangifera indica Linn.). IV. Isolation of 1, 3, 6, 7-tetrahydroxyxanthone and the skeletal structure of mangiferin. Bull. Chem. Soc. Jpn. 1957, 30, 625–629. [Google Scholar] [CrossRef]
- Wagenaar, M.M.; Clardy, J. Dicerandrols, new antibiotic and cytotoxic dimers produced by the fungus Phomopsis longicolla Isolated from an endangered mint. J. Nat. Prod. 2001, 64, 1006–1009. [Google Scholar] [CrossRef]
- Kumagai, K.; Hosotani, N.; Kikuchi, K.; Kimura, T.; Saji, I. Xanthofulvin, a novel semaphorin inhibitor produced by a strain of Penicillium. J. Antibiot. 2003, 56, 610–616. [Google Scholar] [CrossRef]
- Resende, D.I.; Durães, F.; Maia, M.; Sousa, E.; Pinto, M.M. Recent advances in the synthesis of xanthones and azaxanthones. Org. Chem. Front. 2020, 7, 3027–3066. [Google Scholar] [CrossRef]
- Leuschner, C.; Schultz, G. Non-light-dependent Shikimate Pathway in Plastids from Pea Roots. Bot. Acta 1991, 104, 240–244. [Google Scholar] [CrossRef]
- De Schepper, V.; De Swaef, T.; Bauweraerts, I.; Steppe, K. Phloem transport: A review of mechanisms and controls. J. Exp. Bot. 2013, 64, 4839–4850. [Google Scholar] [CrossRef]
- Franklin, G.; Conceição, L.F.; Kombrink, E.; Dias, A.C. Xanthone biosynthesis in Hypericum perforatum cells provides antioxidant and antimicrobial protection upon biotic stress. Phytochemistry 2009, 70, 60–68. [Google Scholar] [CrossRef]
- El-Mawla, A.; Abd, M.A.; Schmidt, W.; Beerhues, L. Cinnamic acid is a precursor of benzoic acids in cell cultures of Hypericum androsaemum L. but not in cell cultures of Centaurium erythraea RAFN. Planta 2001, 212, 288–293. [Google Scholar] [CrossRef] [PubMed]
- Bennett, G.J.; Lee, H.H.; Das, N.P. Biosynthesis of mangostin. Part 1. The origin of the xanthone skeleton. J. Chem. Soc. Perkin. Trans. 1990, 1, 2671–2676. [Google Scholar] [CrossRef]
- Beerhues, L.; Berger, U. Differential accumulation of xanthones in methyl-jasmonate-and yeast-extract-treated cell cultures of Centaurium erythraea and Centaurium littorale. Planta 1995, 197, 608–612. [Google Scholar] [CrossRef]
- Beerhues, L. Benzophenone synthase from cultured cells of Centaurium erythraea. FEBS Lett. 1996, 383, 264–266. [Google Scholar] [CrossRef] [PubMed]
- Adams, Z.P.; Ehlting, J.; Edwards, R. The regulatory role of shikimate in plant phenylalanine metabolism. J. Theor. Biol. 2019, 462, 158–170. [Google Scholar] [CrossRef]
- Perez de Souza, L.; Garbowicz, K.; Brotman, Y.; Tohge, T.; Fernie, A.R. The acetate pathway supports flavonoid and lipid biosynthesis in Arabidopsis. Plant Physiol. 2020, 182, 857–869. [Google Scholar] [CrossRef]
- Qian, Y.; Lynch, J.H.; Guo, L.; Rhodes, D.; Morgan, J.A.; Dudareva, N. Completion of the cytosolic post-chorismate phenylalanine biosynthetic pathway in plants. Nat. Commun. 2019, 10, 15. [Google Scholar] [CrossRef]
- Valera, M.J.; Boido, E.; Ramos, J.C.; Manta, E.; Radi, R.; Dellacassa, E.; Carrau, F. The Mandelate pathway, an alternative to the phenylalanine ammonia lyase pathway for the synthesis of benzenoids in ascomycete yeasts. Appl. Environ. Microbiol. 2020, 86, e00701-20. [Google Scholar] [CrossRef]
- Cho, M.H.; Corea, O.R.; Yang, H.; Bedgar, D.L.; Laskar, D.D.; Anterola, A.M.; Moog-Anterola, F.A.; Hood, R.L.; Kohalmi, S.E.; Bernards, M.A.; et al. Phenylalanine biosynthesis in Arabidopsis thaliana: Identification and characterization of arogenate dehydratases. J. Biol. Chem. 2007, 282, 30827–30835. [Google Scholar] [CrossRef]
- Rippert, P.; Puyaubert, J.; Grisollet, D.; Derrier, L.; Matringe, M. Tyrosine and phenylalanine are synthesized within the plastids in Arabidopsis. Plant Physiol. 2009, 149, 1251–1260. [Google Scholar] [CrossRef]
- Yoo, H.; Widhalm, J.R.; Qian, Y.; Maeda, H.; Cooper, B.R.; Jannasch, A.S.; Gonda, I.; Lewinsohn, E.; Rhodes, D.; Dudareva, N. An alternative pathway contributes to phenylalanine biosynthesis in plants via a cytosolic tyrosine: Phenylpyruvate aminotransferase. Nat. Commun. 2013, 4, 2833. [Google Scholar] [CrossRef]
- Singh, P.; Preu, L.; Beuerle, T.; Kaufholdt, D.; Hänsch, R.; Beerhues, L.; Gaid, M. A promiscuous coenzyme A ligase provides benzoyl-coenzyme A for xanthone biosynthesis in Hypericum. Plant J. 2020, 104, 1472–1490. [Google Scholar] [CrossRef]
- El-Mawla, A.; Ahmed, M.; Beerhues, L. Benzoic acid biosynthesis in cell cultures of Hypericum androsaemum. Planta 2002, 214, 727–733. [Google Scholar] [CrossRef]
- Peters, S.; Schmidt, W.; Beerhues, L. Regioselective oxidative phenol couplings of 2,3′,4,6-tetrahydroxybenzophenone in cell cultures of Centaurium erythraea RAFN and Hypericum androsaemum L. Planta 1997, 204, 64–69. [Google Scholar] [CrossRef]
- Beerhues, L.; Liu, B. Biosynthesis of biphenyls and benzophenones–evolution of benzoic acid-specific type III polyketide synthases in plants. Phytochemistry 2009, 70, 1719–1727. [Google Scholar] [CrossRef]
- El-Awaad, I.; Bocola, M.; Beuerle, T.; Liu, B.; Beerhues, L. Bifunctional CYP81AA proteins catalyse identical hydroxylations but alternative regioselective phenol couplings in plant xanthone biosynthesis. Nat. Commun. 2016, 7, 11472. [Google Scholar] [CrossRef]
- Khattab, A.R.; Farag, M.A. Current status and perspectives of xanthones production using cultured plant biocatalyst models aided by in-silico tools for its optimization. Crit. Rev. Biotechnol. 2020, 40, 415–431. [Google Scholar] [CrossRef]
- Kitanov, G.M.; Nedialkov, P.T. Benzophenone O-glucoside, a biogenic precursor of 1,3,7-trioxygenated xanthones in Hypericum annulatum. Phytochemistry 2001, 57, 1237–1243. [Google Scholar] [CrossRef]
- Barillas, W.; Beerhues, L. 3-Hydroxybenzoate: Coenzyme A ligase and 4-coumarate: Coenzyme A ligase from cultured cells of Centaurium erythraea. Planta 1997, 202, 112–116. [Google Scholar] [CrossRef]
- Schmidt, W.; Abd El-Mawla, A.M.; Wolfender, J.L.; Hostettmann, K.; Beerhues, L. Xanthones in cell cultures of Hypericum androsaemum. Planta Med. 2000, 66, 380–381. [Google Scholar] [CrossRef]
- Velíšek, J.; Davidek, J.; Cejpek, K. Biosynthesis of food constituents: Natural pigments. Part 2—A review. Czech J. Food Sci. 2008, 26, 73. [Google Scholar] [CrossRef]
- Barillas, W.; Beerhues, L. 3-Hydroxybenzoate: Coenzyme A ligase from cell cultures of Centaurium erythraea: Isolation and characterization. Biol. Chem. 2000, 381, 155–160. [Google Scholar] [CrossRef] [PubMed]
- Schmidt, W.; Peters, S.; Beerhues, L. Xanthone 6-hydroxylase from cell cultures of Centaurium erythraea RAFN and Hypericum androsaemum L. Phytochemistry 2000, 53, 427–431. [Google Scholar] [CrossRef] [PubMed]
- Jantan, I.; Pisar, M.M.; Idris, M.S.; Taher, M.; Ali, R.M. In vitro inhibitory effect of rubraxanthone isolated from Garcinia parvifolia on plateletactivating factor receptor binding. Planta Med. 2002, 68, 1133–1134. [Google Scholar] [CrossRef] [PubMed]
- Susanti, M.; Lena, D.I.; Dachriyanus, D. Development and validation of a HPLC method for determination and quantification of rubraxanthone in stem bark extract of mangosteen. Indones. J. Pharm. 2014, 25, 237–244. [Google Scholar] [CrossRef]
- Daud, S.; Karunakaran, T.; Santhanam, R.; Nagaratnam, S.R.; Jong, V.Y.M.; Ee, G.C.L. Cytotoxicity and nitric oxide inhibitory activities of xanthones isolated from Calophyllum hosei Ridl. Nat. Prod. Res. 2021, 35, 6067–6072. [Google Scholar] [CrossRef]
- Gómez-Verjan, J.C.; Rodríguez-Hernández, K.D.; Reyes-Chilpa, R. Bioactive Coumarins and Xanthones from Calophyllum genus and analysis of their Druglikeness and toxicological properties. Stud. Nat. Prod. 2017, 53, 277–307. [Google Scholar]
- Rukachaisirikul, V.; Phainuphong, P.; Sukpondma, Y.; Phongpaichit, S.; Taylor, W.C. Antibacterial caged-tetraprenylated xanthones from the stem bark of Garcinia scortechinii. Planta Med. 2005, 71, 165–170. [Google Scholar] [CrossRef]
- Araújo, J.; Fernandes, C.; Pinto, M.; Tiritan, M.E. Chiral derivatives of xanthones with antimicrobial activity. Molecules 2019, 24, 314. [Google Scholar] [CrossRef]
- Atkinson, J.; Gupta, P.; Lewis, J. Benzophenone participation in xanthone biosynthesis (Gentianaceae). Chem. Commun. 1968, 1386–1387. [Google Scholar] [CrossRef]
- Nualkaew, N.; Morita, H.; Shimokawa, Y.; Kinjo, K.; Kushiro, T.; De-Eknamkul, W.; Ebizuka, Y.; Abe, I. Benzophenone synthase from Garcinia mangostana L. pericarps. Phytochemistry 2012, 77, 60–69. [Google Scholar] [CrossRef]
- Mazimba, O.; Nana, F.; Kuete, V.; Singh, G.S. Xanthones and anthranoids from the medicinal plants of Africa. Med. Plant Res. Africa 2013, 393–434. [Google Scholar]
- Fiesel, T.; Gaid, M.; Müller, A.; Bartels, J.; El-Awaad, I.; Beuerle, T.; Ernst, L.; Behrends, S.; Beerhues, L. Molecular cloning and characterization of a xanthone prenyltransferase from Hypericum calycinum cell cultures. Molecules 2015, 20, 15616–15630. [Google Scholar] [CrossRef]
- Nagia, M.; Gaid, M.; Biedermann, E.; Fiesel, T.; El-Awaad, I.; Hänsch, R.; Wittstock, U.; Beerhues, L. Sequential regiospecific gem-diprenylation of tetrahydroxyxanthone by prenyltransferases from Hypericum sp. New Phytol. 2019, 222, 318–334. [Google Scholar] [CrossRef]
- Chen, D.; Chen, R.; Wang, R.; Li, J.; Xie, K.; Bian, C.; Sun, L.; Zhang, X.; Liu, J.; Yang, L.; et al. Probing the catalytic promiscuity of a regio-and stereospecific C-glycosyltransferase from Mangifera indica. Angew. Chem. 2015, 127, 12869–12873. [Google Scholar] [CrossRef]
- Ehianeta, T.S.; Laval, S.; Yu, B. Bio-and chemical syntheses of mangiferin and congeners. BioFactors 2016, 42, 445–458. [Google Scholar] [CrossRef]
- Birch, A.J.; Donovan, F.W. Studies in relation to biosynthesis. I. Some possible routes to derivatives of orcinol and phloroglucinol. Aust. J. Chem. 1953, 6, 360–368. [Google Scholar] [CrossRef]
- Roberts, J.C. Naturally Occurring Xanthones. Chem. Rev. 1961, 61, 591–605. [Google Scholar] [CrossRef]
- Khattab, A.R.; Farag, M.A. Marine and terrestrial endophytic fungi: A mine of bioactive xanthone compounds, recent progress, limitations, and novel applications. Crit. Rev. Biotechnol. 2022, 42, 403–430. [Google Scholar] [CrossRef]
- Chexal, K.K.; Fouweather, C.; Holker, J.S.; Simpson, T.J.; Young, K. The biosynthesis of fungal metabolites. Part III. Structure of shamixanthone and tajixanthone, metabolites of Aspergillus variecolor. J. Chem. Soc. Perkin. Trans. 1974, 1, 1584–1593. [Google Scholar] [CrossRef]
- Ishida, M.; Hamasaki, T.; Hatsuda, Y.; Fukuyama, K.; Tsukihara, T.; Katsube, Y. Epishamixanthone, a new metabolite from Aspergillus rugulosus. Agric. Biol. Chem. 1976, 40, 1051–1052. [Google Scholar] [CrossRef]
- Szwalbe, A.J.; Williams, K.; Song, Z.; de Mattos-Shipley, K.; Vincent, J.L.; Bailey, A.M.; Simpson, T.J. Characterisation of the biosynthetic pathway to agnestins A and B reveals the reductive route to chrysophanol in fungi. Chem Sci. 2019, 10, 233–238. [Google Scholar] [CrossRef] [PubMed]
- Anderson, J.A.; Lin, B.K.; Williams, H.J.; Scott, A.I. Deoxygenation of phenolic natural products. Enzymic conversion of emodin to chrysophanol. J. Am. Chem. Soc. 1988, 110, 1623–1624. [Google Scholar] [CrossRef]
- Anderson, J.A.; Lin, B.-K.; Shan, S.W. Purification and properties of emodin deoxygenase from Pyrenochaeta terrestris. Phytochemistry 1990, 29, 2415–2418. [Google Scholar] [CrossRef]
- Henry, K.M.; Townsend, C.A. Ordering the reductive and cytochrome P450 oxidative steps in demethylsterigmatocystin formation yields general insights into the biosynthesis of aflatoxin and related fungal metabolites. J. Am. Chem. Soc. 2005, 127, 3724–3733. [Google Scholar] [CrossRef]
- Brunauer, G.; Hager, A.; Krautgartner, W.D.; Tuerk, R.; Stocker-Wörgötter, E. Experimental studies on (L.) Zahlbr.: Chemical and microscopical investigations of the mycobiont and re-synthesis stages. Lichenologist 2006, 38, 577–585. [Google Scholar] [CrossRef]
- Belkheir, A.K.; Gaid, M.; Liu, B.; Hänsch, R.; Beerhues, L. Benzophenone synthase and chalcone synthase accumulate in the mesophyll of Hypericum perforatum leaves at different developmental stages. Front. Plant Sci. 2016, 7, 921. [Google Scholar] [CrossRef]
- Winkel-Shirley, B. Flavonoid biosynthesis. A colorful model for genetics, biochemistry, cell biology, and biotechnology. Plant Physiol. 2001, 126, 485–493. [Google Scholar] [CrossRef]
- Klundt, T.; Bocola, M.; Lütge, M.; Beuerle, T.; Liu, B.; Beerhues, L. A single amino acid substitution converts benzophenone synthase into phenylpyrone synthase. J. Biol. Chem. 2009, 284, 30957–30964. [Google Scholar] [CrossRef]
- Pasqua, G.; Avato, P.; Monacelli, B.; Santamaria, A.R.; Argentieri, M.P. Metabolites in cell suspension cultures, calli, and in vitro regenerated organs of Hypericum perforatum cv. Topas. Plant Sci. 2003, 165, 977–982. [Google Scholar] [CrossRef]
- Hose, E.; Clarkson, D.T.; Steudle, E.; Schreiber, L.; Hartung, W. The exodermis: A variable apoplastic barrier. J. Exp. Bot. 2001, 52, 2245–2264. [Google Scholar] [CrossRef]
- Barberon, M. The endodermis as a checkpoint for nutrients. New Phytol. 2017, 213, 1604–1610. [Google Scholar] [CrossRef]
- Brasili, E.; Miccheli, A.; Marini, F.; Pratico, G.; Sciubba, F.; Di Cocco, M.E.; Pasqua, G. Metabolic profile and root development of Hypericum perforatum L. in vitro roots under stress conditions due to chitosan treatment and culture time. Front. Plant Sci. 2016, 7, 507. [Google Scholar] [CrossRef]
- Huang, C.Y.; Chang, T.C.; Wu, Y.J.; Chen, Y.; Chen, J.J. Benzophenone and benzoylphloroglucinol derivatives from Hypericum sampsonii with anti-inflammatory mechanism of otogirinin A. Molecules 2020, 25, 4463. [Google Scholar] [CrossRef]
- Crockett, S.L.; Poller, B.; Tabanca, N.; Pferschy-Wenzig, E.M.; Kunert, O.; Wedge, D.E.; Bucar, F. Bioactive xanthones from the roots of Hypericum perforatum (common St John’s wort). J. Sci. Food Agric. 2011, 91, 428–434. [Google Scholar] [CrossRef]
- Iinuma, M.; Tosa, H.; Tanaka, T.; Yonemori, S. Two xanthones from roots of Calophyllum inophyllum. Phytochemistry 1995, 38, 725–728. [Google Scholar] [CrossRef]
- Campa, C.; Mondolot, L.; Rakotondravao, A.; Bidel, L.P.; Gargadennec, A.; Couturon, E.; La Fisca, P.; Rakotomalala, J.; Jay-Allemand, C.; Davis, A.P. A survey of mangiferin and hydroxycinnamic acid ester accumulation in coffee (Coffea) leaves: Biological implications and uses. Ann. Bot. 2012, 110, 595–613. [Google Scholar] [CrossRef]
- Pinto, M.M.M.; Sousa, E.P. Natural and synthetic xanthonolignoids: Chemistry and biological activities. Curr. Med. Chem. 2003, 10, 1–12. [Google Scholar] [CrossRef]
- Foti, M.C.; Sharma, S.K.; Shakya, G.; Prasad, A.K.; Nicolosi, G.; Bovicelli, P.; Ghosh, B.; Raj, H.G.; Rastogi, R.C.; Parmar, V.S. Biopolyphenolics as antioxidants: Studies under an Indo-Italian CSIR-CNR project. Pure Appl. Chem. 2005, 77, 91–101. [Google Scholar] [CrossRef]
- Boudet, A.M. Evolution and current status of research in phenolic compounds. Phytochemistry 2007, 68, 2722–2735. [Google Scholar] [CrossRef]
- Varache-Lembège, M.; Moreau, S.; Larrouture, S.; Montaudon, D.; Robert, J.; Nuhrich, A. Synthesis and antiproliferative activity of aryl-and heteroaryl-hydrazones derived from xanthone carbaldehydes. Eur. J. Med. Chem. 2008, 43, 1336–1343. [Google Scholar] [CrossRef] [PubMed]
- Castanheiro, R.A.; Silva, A.M.; Campos, N.A.; Nascimento, M.S.; Pinto, M.M. Antitumor activity of some prenylated xanthones. Pharmaceuticals 2009, 2, 33–43. [Google Scholar] [CrossRef] [PubMed]
- Fernandes, C.; Masawang, K.; Tiritan, M.E.; Sousa, E.; de Lima, V.; Afonso, C.; Bousbaa, H.; Sudprasert, W.; Pedro, M.; Pinto, M.M. New chiral derivatives of xanthones: Synthesis and investigation of enantioselectivity as inhibitors of growth of human tumor cell lines. Bioorg. Med. Chem. 2014, 22, 1049–1062. [Google Scholar] [CrossRef] [PubMed]
- Wong, K.W.; Mah, S.H. A review on xanthone derivatives with antiinflammatory effects and their structure–activity relationship. Stud. Nat. Prod. Chem. 2021, 68, 393–433. [Google Scholar]
- Palmeira, A.; Paiva, A.; Sousa, E.; Seca, H.; Almeida, G.M.; Lima, R.T.; Fernandes, M.X.; Pinto, M.; Vasconcelos, M.H. Insights into the in vitro antitumor mechanism of action of a new pyranoxanthone. Chem. Biol. Drug Des. 2010, 76, 43–58. [Google Scholar] [CrossRef]
- Lemos, A.; Leão, M.; Soares, J.; Palmeira, A.; Pinto, M.; Saraiva, L.; Sousa, M.E. Medicinal Chemistry Strategies to Disrupt the p53–MDM2/MDMX Interaction. Med. Chem. Res. 2016, 36, 789–844. [Google Scholar] [CrossRef]
- Leão, M.; Gomes, S.; Pedraza-Chaverri, J.; Machado, N.; Sousa, E.; Pinto, M.; Inga, A.; Pereira, C.; Saraiva, L. α-Mangostin and Gambogic Acid as Potential Inhibitors of the p53–MDM2 Interaction Revealed by a Yeast Approach. J. Nat. Prod. 2013, 76, 774–778. [Google Scholar] [CrossRef]
- Barua, A.; Choudhury, P.; Mandal, S.; Panda, C.K.; Saha, P. Therapeutic potential of xanthones from Swertia chirata in breast cancer cells. Indian J Med. Res. 2020, 152, 285. [Google Scholar]
- Zheng, X.Y.; Yang, Y.F.; Li, W.; Zhao, X.; Sun, Y.; Sun, H.; Pu, X.P. Two xanthones from Swertia punicea with hepatoprotective activities in vitro and in vivo. J. Ethnopharmacol. 2014, 153, 854–863. [Google Scholar] [CrossRef]
- Pinto, E.; Afonso, C.; Duarte, S.; Vale-Silva, L.; Costa, E.; Sousa, E.; Pinto, M. Antifungal Activity of Xanthones: Evaluation of their Effect on Ergosterol Biosynthesis by High-performance Liquid Chromatography. Chem. Biol. Drug Des. 2011, 77, 212–222. [Google Scholar] [CrossRef]
- Resende, D.I.S.P.; Pereira-Terra, P.; Moreira, J.; Freitas-Silva, J.; Lemos, A.; Gales, L.; Pinto, E.; De Sousa, M.E.; Da Costa, P.M.; Pinto, M.M.M. Synthesis of a Small Library of Nature-Inspired Xanthones and Study of Their Antimicrobial Activity. Molecules 2020, 25, 2405. [Google Scholar] [CrossRef]
- Urbatzka, R.; Freitas, S.; Palmeira, A.; Almeida, T.; Moreira, J.; Azevedo, C.; Afonso, C.; Correia-da-Silva, M.; Sousa, E.; Pinto, M.; et al. Lipid reducing activity and toxicity profiles of a library of polyphenol derivatives. Eur. J. Med. Chem. 2018, 151, 272–284. [Google Scholar] [CrossRef]
- Deeb, O.; Alfalah, S.; Clare, B.W. QSAR of aromatic substances: MAO inhibitory activity of xanthone derivatives. J. Enzyme Inhib. Med. Chem. 2007, 22, 277–286. [Google Scholar] [CrossRef]
- Martins, E.; Silva, V.; Lemos, A.; Palmeira, A.; Puthongking, P.; Sousa, E.; Rocha-Pereira, C.; Ghanem, C.I.; Carmo, H.; Remião, F.; et al. Newly Synthesized Oxygenated Xanthones as Potential P-Glycoprotein Activators: In Vitro, Ex Vivo, and In Silico Studies. Molecules 2019, 24, 707. [Google Scholar] [CrossRef]
- Saraiva, L.; Fresco, P.; Pinto, E.; Sousa, E.; Pinto, M.; Gonçalves, J. Inhibition of protein kinase C by synthetic xanthone derivatives. Bioorg. Med. Chem. 2003, 11, 1215–1225. [Google Scholar] [CrossRef]
- Rosa, G.P.; Palmeira, A.; Resende, D.I.S.P.; Almeida, I.F.; Kane-Pagès, A.; Barreto, M.C.; Sousa, E.; Pinto, M.M.M. Xanthones for melanogenesis inhibition: Molecular docking and QSAR studies to understand their anti-tyrosinase activity. Bioorg. Med. Chem. 2021, 29, 115873. [Google Scholar] [CrossRef]
- Pedro, M.; Cerqueira, F.; Sousa, M.E.; Nascimento, M.S.J.; Pinto, M. Xanthones as inhibitors of growth of human cancer cell lines and their effects on the proliferation of human lymphocytes in vitro. Bioorg. Med. Chem. 2002, 10, 3725–3730. [Google Scholar] [CrossRef]
- Cidade, H.; Rocha, V.; Palmeira, A.; Marques, C.; Tiritan, M.E.; Ferreira, H.; Lobo, J.S.; Almeida, I.F.; Sousa, M.E.; Pinto, M. In silico and in vitro antioxidant and cytotoxicity evaluation of oxygenated xanthone derivatives. Arab. J. Chem. 2020, 13, 17–26. [Google Scholar] [CrossRef]
- Silva, V.; Cerqueira, F.; Nazareth, N.; Medeiros, R.; Sarmento, A.; Sousa, E.; Pinto, M. 1,2-Dihydroxyxanthone: Effect on A375-C5 Melanoma Cell Growth Associated with Interference with THP-1 Human Macrophage Activity. Pharmaceuticals 2019, 12, 85. [Google Scholar] [CrossRef]
- Saraiva, L.; Fresco, P.; Pinto, E.; Sousa, E.; Pinto, M.; Gonçalves, J. Synthesis and in vivo modulatory activity of protein kinase C of xanthone derivatives. Bioorg. Med. Chem. 2002, 10, 3219–3227. [Google Scholar] [CrossRef]
- Gomes, S.; Raimundo, L.; Soares, J.; Loureiro, J.B.; Leão, M.; Ramos, H.; Monteiro, M.N.; Lemos, A.; Moreira, J.; Pinto, M.; et al. New inhibitor of the TAp73 interaction with MDM2 and mutant p53 with promising antitumor activity against neuroblastoma. Cancer Lett. 2019, 446, 90–102. [Google Scholar] [CrossRef] [PubMed]
- Baell, J.; Walters, M.A. Chemistry: Chemical con artists foil drug discovery. Nature 2014, 513, 481–483. [Google Scholar] [CrossRef] [PubMed]
- Omolo, J.J.; Johnson, M.M.; Van Vuuren, S.F.; De Koning, C.B. The synthesis of xanthones, xanthenediones, and spirobenzofurans: Their antibacterial and antifungal activity. Bioorg. Med. Chem. Lett. 2011, 21, 7085–7088. [Google Scholar] [CrossRef] [PubMed]
- Tocci, N.; D’Auria, F.D.; Simonetti, G.; Panella, S.; Palamara, A.T.; Debrassi, A.; Rodrigues, A.A.; Cechinel, V.F.; Sciubba, F.; Pasqua, G. Bioassay-guided fractionation of extracts from Hypericum perforatum in vitro roots treated with carboxymethylchitosans and determination of antifungal activity against human fungal pathogens. Plant Physiol. Biochem. 2013, 70, 342–347. [Google Scholar] [CrossRef]
- Winter, R.W.; Ignatushchenko, M.; Ogundahunsi, O.A.; Cornell, K.A.; Oduola, A.M.; Hinrichs, D.J.; Riscoe, M.K. Potentiation of an antimalarial oxidant drug. Antimicrob. Agents Chemother. 1997, 41, 1449–1454. [Google Scholar] [CrossRef]
- Lopez, S.; Bastida, J.; Viladomat, F.; Codina, C. Acetylcholinesterase inhibitory activity of some Amaryllidaceae alkaloids and Narcissus extracts. Life Sci. 2002, 71, 2521–2529. [Google Scholar] [CrossRef]
- Urbain, A.; Marston, A.; Queiroz, E.F.; Ndjoko, K.; Hostettmann, K. Xanthones from Gentiana campestris as new acetylcholinesterase inhibitors. Planta Med. 2004, 70, 1011–1014. [Google Scholar] [CrossRef]
- Reutrakul, V.; Chanakul, W.; Pohmakotr, M.; Jaipetch, T.; Yoosook, C.; Kasisit, J.; Napaswat, C.; Santisuk, T.; Prabpai, S.; Kongsaeree, P.; et al. Anti-HIV-1 constituents from leaves and twigs of Cratoxylum arborescens. Planta Med. 2006, 72, 1433–1435. [Google Scholar] [CrossRef]
- Reutrakul, V.; Anantachoke, N.; Pohmakotr, M.; Jaipetch, T.; Sophasan, S.; Yoosook, C.; Kasisit, J.; Napaswat, C.; Santisuk, T.; Tuchinda, P. Cytotoxic and anti-HIV-1 caged xanthones from the resin and fruits of Garcinia hanburyi. Planta Med. 2007, 73, 33–40. [Google Scholar] [CrossRef]
- Jiang, D.J.; Dai, Z.; Li, Y.J. Pharmacological effects of xanthones as cardiovascular protective agents. Cardiovas. Drug. Rev. 2004, 22, 91–102. [Google Scholar]
- Wang, Y.; Shi, J.-G.; Wang, M.-Z.; Che, C.-T.; Yeung, J.H.K. Mechanisms of the vasorelaxant effect of 1-hydroxy-2,3,5- trimethoxy-xanthone, isolated from a Tibetan herb, Halenia elliptica, on rat coronary artery. Life Sci. 2007, 81, 1016–1023. [Google Scholar] [CrossRef]










| Plants | Xanthone | Organ/Tissue | References |
|---|---|---|---|
| Acanthaceae | Oxygenated xanthones | Root | |
| Andrographis paniculata (Burm.f.)Nees | [34,35] | ||
| Anacardiaceae | Xanthone glycosides | Fruit peel | |
| Mangifera indica L. | [36,37] | ||
| Annonaceae | Oxygenated xanthones Prenylated xanthones Xantholignoids | Fruit, resin, leaf, heartwood | |
| Anaxagorea luzonensis A.Gray | [38] | ||
| Orophea corymbosa Miq. | [39] | ||
| Asparagaceae | Xanthone glycosides, oxygenated xanthones Xantholignoids | Rootstock, apical part, bulb, tuber | |
| Anemarrhena asphodeloides Bunge | [40,41,42] | ||
| Drimiopsis maculata Lindl. & Paxton | [43] | ||
| Ledebouria graminifolia (Baker) Jessop | [44] | ||
| Asteraceae | Oxygenated xanthones Xantholignoids | Leaf | |
| Senecio mikanioides Otto ex Harv. | [45] | ||
| Bignoniaceae | Xanthone glycosides | Apical part | |
| Arrabidaea samydoides (Cham.) Sandwith | [46] | ||
| Bombacaceae | Xanthone glycosides | Leaf, flower | |
| Bombax ceiba L. | [47,48] | ||
| B. malabaricum DC. | [49] | ||
| Bonnetiaceae | Xanthone glycosides | Apical part | |
| Bonnetia dinizii Huber | [50] | ||
| Calophyllaceae Calophyllum apetalum Willd. | Oxygenated xanthones Xantholignoids | Heartwood stem bark, seed, root, wood | [51] |
| C. austroindicum Kosterm. ex P.F.Stevens | [52] | ||
| C. bracteatum Thwaites | [53] | ||
| C. brasiliense Vesque | [53,54,55,56,57,58,59,60] | ||
| C. calaba L. | [53,61] | ||
| C. canum Hook.f. ex T.Anderson | [62] | ||
| C. caledonicum Vieill. ex Planch. & Triana | [63,64,65,66,67] | ||
| C. castaneum P.F.Stevens | [9] | ||
| C. fragrans Ridl. | [68] | ||
| C. inophyllum L. | [69,70,71,72,73,74,75,76,77,78] | ||
| C. moonii Wight | [79] | ||
| C. neo-ebudicum Guillaumin | [80] | ||
| C. ramiflorum O.Schwarz | [81] | ||
| C. sclerophyllum Vesque | [82] | ||
| C. scriblitifolium M.R.Hend. & Wyatt-Sm. | [83] | ||
| C. tetrapterum Miq. | [84] | ||
| C. tomentosum Wight | [85,86] | ||
| C. zeylanicum Kosterm. | [87] | ||
| Caraipa densiflora Kubitzki | [88,89] | ||
| Haploclathra leiantha Benth. | [90,91] | ||
| H. paniculata Benth. | [92,93] | ||
| Kielmeyera coriacea Mart. & Zucc. | [88] | ||
| K. ferruginea A.P.B.Santos & Trad | [94] | ||
| K. rupestris Duarte | [95,96,97] | ||
| K. speciosa A.St.-Hil., A.Juss. & Cambess. | [98] | ||
| K. variabilis Mart. & Zucc. | [99] | ||
| Mesua ferrea L. | [78,100] | ||
| Cannabaceae | Bisxanthones | Bark | |
| Trema orientalis (L.) Blume | [101] | ||
| Caryophyllaceae | Oxygenated xanthones | Apical part | |
| Saponaria vaccaria L. | [102,103] | ||
| Celastraceae | Xanthone glycoside | Root | |
| Salacia reticulata Wight | [104] | ||
| Clusiaceae | Prenylated xanthones Xantholignoids Bisxanthones Oxygenated xanthones | Heartwood, stem bark, fruit, seeds, leaf, root | |
| Allanblackia floribunda Oliv. | [105,106] | ||
| A. monticola Mildbr. ex Engl. | [107,108] | ||
| Garcinia cowa Roxb. | [109,110] | ||
| G. echinocarpa Thwaites | [111] | ||
| G. forbesii King | [112] | ||
| G. mangostana L. | [113,114,115,116,117,118,119,120,121,122,123] | ||
| G. nobilis Engl. | [124] | ||
| G. opaca King | [125] | ||
| G. ovalifolia Oliv. | [126] | ||
| G. paucinervis Chun & F.C.How | [117] | ||
| G. pedunculata Roxb. ex Buch.-Ham. | [127] | ||
| G. quadrifaria Baill. ex Pierre | [128] | ||
| G. staudtii Engl. | [128] | ||
| G. terpnophylla Thwaites | [113] | ||
| G. vieillardii Pierre | [129] | ||
| G. xanthochymus Hook.f. | [130] | ||
| Pentadesma butyracea Sabine | [131] | ||
| Symphonia globulifera L.f. | [132,133] | ||
| Eriocaulaceae | Oxygenated xanthones | Apical part | |
| Leiothrix curvifolia (Bong.) Ruhland | [134] | ||
| L. flavescens (Bong.) Ruhland | [134] | ||
| Fabaceae | Xanthone glycosides Prenylated xanthones | Shoot | |
| Baphia kirkii Baker | [135] | ||
| Cyclopia genistoides (L.) R.Br. | [136] | ||
| C. intermedia E.Mey. | [136] | ||
| C. maculata (Andrews) Kies | [136] | ||
| C. sessiliflora Eckl. & Zeyh. | [136] | ||
| Gentianaceae | Oxygenated xanthones Xanthone glycosides | Seed, root, leaf, rhizome | |
| Canscora decussata Schult. | [78] | ||
| Centaurium erythraea Raf. | [137,138,139] | ||
| C. cachanlahuen B.L.Rob. | [140] | ||
| C. linarifolium (Lamark) G. Beck Frasera caroliniensis Walter | [78,141] [142] | ||
| Gentiana acaulis L. | [143] | ||
| G. lutea L. G. rhodantha Franch. | [144,145,146] [147] | ||
| Gentianella turkestanorum (Gand.) Holub Hoppea fastigiata Griseb. | [148] [149] | ||
| Swertia chirata Buch.-Ham. ex Wall. | [150,151] | ||
| S. mileensis T.N.Ho & W.L.Shih | [152] | ||
| S. punicea Hemsl. | [153,154] | ||
| S. purpurascens Wall. | [155] | ||
| S. randaiensis Hayata | [156] | ||
| S. japonica Makino | [156] | ||
| S. swertopsis Makino | [156] | ||
| S. davidii Franch. | [154,157] | ||
| Hypericaceae | Prenylated xanthones Oxygenated xanthones Xantholignoids Miscellaneous xanthones | Fruit, stem bark, root, leaf | |
| Cratoxylum cochinchinense (Lour.) Blume | [158,159] | ||
| C. formosum (Jack) Benth. & Hook.f. ex Dyer | [117,159,160] | ||
| C. pruniflorum Kurz | [161] | ||
| Harungana madagascariensis Lam. ex Poir. | [71] | ||
| Hypericum androsaemum L. | [162] | ||
| H. canariensis L. | [163] | ||
| H. geminiflorum Hemsl. H. japonicum Thunb | [164] [165] | ||
| H. maculatum Crantz | [166] | ||
| H. oblongifolium Choisy H. patulum Thunb. | [167] [168,169,170,171] | ||
| H. perforatum L. | [13,172] | ||
| H. reflexum L.f. | [173] | ||
| H. riparium A.Chev. | [174] | ||
| H. roeperianum G.W.Schimp. ex A.Rich. H. sampsonii Hance | [175] [176,177,178] | ||
| H. subalatum Hayata | [179] | ||
| Psorospermum adamauense Engl. Vismia guaramirangae Huber | [180] [181] | ||
| Iridaceae | Xanthone glycosides | Apical part | |
| Iris adriatica Trinajstić ex Mitić | [182] | ||
| I. albicans Lange | [183] | ||
| I. florentina L. | [184] | ||
| I. germanica L. | [185] | ||
| I. nigricans Dinsm. | [186] | ||
| Lamiaceae | Oxygenated xanthones | Roots | |
| Premna microphylla Turcz. | [187] | ||
| Lecythidaceae | Oxygenated xanthones | Wood, bark | |
| Gustavia hexapetala (Aubl.) Sm. | [188] | ||
| Moraceae | Oxygenated xanthones Prenylated xanthones Xantholignoids Xanthone glycoside | Root, twig, bark | |
| Cudrania cochinchinensis (Lour.) Yakuro Kudo & Masam. Monnina obtusifolia Kunth Tovomita brasiliensis Mart. | [189] [78,117] [190] | ||
| Nyssaceae | Oxygenated xanthones | Flower, fruit, stem, leaf | |
| Camptotheca acuminata Decne. | [191] | ||
| Poaceae | Xantholignoids | Apical part | |
| Chionochloa flavicans Zotov | [192] | ||
| Polygalaceae Polygala caudata Rehder & E.H.Wilson | Oxygenated xanthones | Root | [193] |
| P. sibirica L. | [194] | ||
| P. tenuifolia Willd. | [195] | ||
| P. vulgaris L. | [196] | ||
| Polypodiaceae | Xanthone glycoside | Whole plant | |
| Pyrrosia sheareri (Baker) Ching | [154] | ||
| Rubiaceae | Xanthone glycoside | Leaf | |
| Coffea pseudozanguebariae Bridson | [32,197] | ||
| Thymeleaceae | Xanthone glycoside | Leaf, stem | |
| Gnidia involucrata Steud. ex A.Rich. | [198] | ||
| Zingiberaceae | Prenylated xanthones | Rhizome | |
| Hedychium gardnerianum Sheppard ex Ker Gawl. | [199] |
| Fungi (Genus) | Xanthones | References |
|---|---|---|
| Actinomadura | Oxygenated xanthones Prenylated xanthones | [200,201] |
| Apiospora | Oxygenated xanthones | [202] |
| Aspergillus | Oxygenated xanthones | [3,203,204,205,206,207,208,209,210,211] |
| Chaetomium | Miscellaneous xanthones | [204] |
| Emericella | Oxygenated xanthones Prenylated xanthones Miscellaneous xanthones | [204,208,212] |
| Gibberella | Oxygenated xanthones | [213] |
| Guanomyces | Oxygenated xanthones | [214] |
| Humicola | Oxygenated xanthones | [215] |
| Monodictys | Oxygenated xanthones Miscellaneous xanthones | [204] |
| Paecilomyces | Prenylated xanthones | [204] |
| Penicillium | Oxygenated xanthones Miscellaneous xanthones | [204,205,216] |
| Phomopsis | Oxygenated xanthones | [217,218] |
| Phoma | Oxygenated xanthones | [204] |
| Wardomyces | Oxygenated xanthones Miscellaneous xanthones | [204,219] |
| Xylaria | Oxygenated xanthones Miscellaneous xanthones | [219] |
| Lichens (Genus) | Xanthones | References |
|---|---|---|
| Calopadia | Miscellaneous xanthones | [220] |
| Diploicia | Bixanthones | [221] |
| Lecanora | Oxygenated xanthones Miscellaneous xanthones | [209,222,223,224] |
| Lecidella | Oxygenated xanthones | [224] |
| Myriolecis | Oxygenated xanthones Miscellaneous xanthones | [223] |
| Micarea | Oxygenated xanthones | [10,209,224,225] |
| Pertusaria | Miscellaneous xanthones | [226] |
| Phyllopsora | Miscellaneous xanthones | [227] |
| Pseudoparmelia | Oxygenated xanthones Miscellaneous xanthones | [228] |
| Pyrenula | Oxygenated xanthones | [229] |
| Sporopodium | Miscellaneous xanthones | [230] |
| Teloschistale | Bixanthones | [2] |
| Umbilicaria | Xanthone glycosides | [231] |
Disclaimer/Publisher’s Note: The statements, opinions and data contained in all publications are solely those of the individual author(s) and contributor(s) and not of MDPI and/or the editor(s). MDPI and/or the editor(s) disclaim responsibility for any injury to people or property resulting from any ideas, methods, instructions or products referred to in the content. |
© 2023 by the authors. Licensee MDPI, Basel, Switzerland. This article is an open access article distributed under the terms and conditions of the Creative Commons Attribution (CC BY) license (https://creativecommons.org/licenses/by/4.0/).
Share and Cite
Badiali, C.; Petruccelli, V.; Brasili, E.; Pasqua, G. Xanthones: Biosynthesis and Trafficking in Plants, Fungi and Lichens. Plants 2023, 12, 694. https://doi.org/10.3390/plants12040694
Badiali C, Petruccelli V, Brasili E, Pasqua G. Xanthones: Biosynthesis and Trafficking in Plants, Fungi and Lichens. Plants. 2023; 12(4):694. https://doi.org/10.3390/plants12040694
Chicago/Turabian StyleBadiali, Camilla, Valerio Petruccelli, Elisa Brasili, and Gabriella Pasqua. 2023. "Xanthones: Biosynthesis and Trafficking in Plants, Fungi and Lichens" Plants 12, no. 4: 694. https://doi.org/10.3390/plants12040694
APA StyleBadiali, C., Petruccelli, V., Brasili, E., & Pasqua, G. (2023). Xanthones: Biosynthesis and Trafficking in Plants, Fungi and Lichens. Plants, 12(4), 694. https://doi.org/10.3390/plants12040694

