Community Profiling of Seed Endophytes from the Pb-Zn Hyperaccumulator Noccaea caerulescens and Their Plant Growth Promotion Potential
Abstract
1. Introduction
2. Results
2.1. Culturable Bacterial Identification through Sequencing and Alignment
2.2. Seed Germination and Primary Root Growth with Bacterial Inoculation
2.3. A. thaliana Response in the Presence of High Heavy Metal Concentrations and Bacterial Inoculation
3. Discussion
3.1. Bacterial Isolate Affect upon A. thaliana Seeds
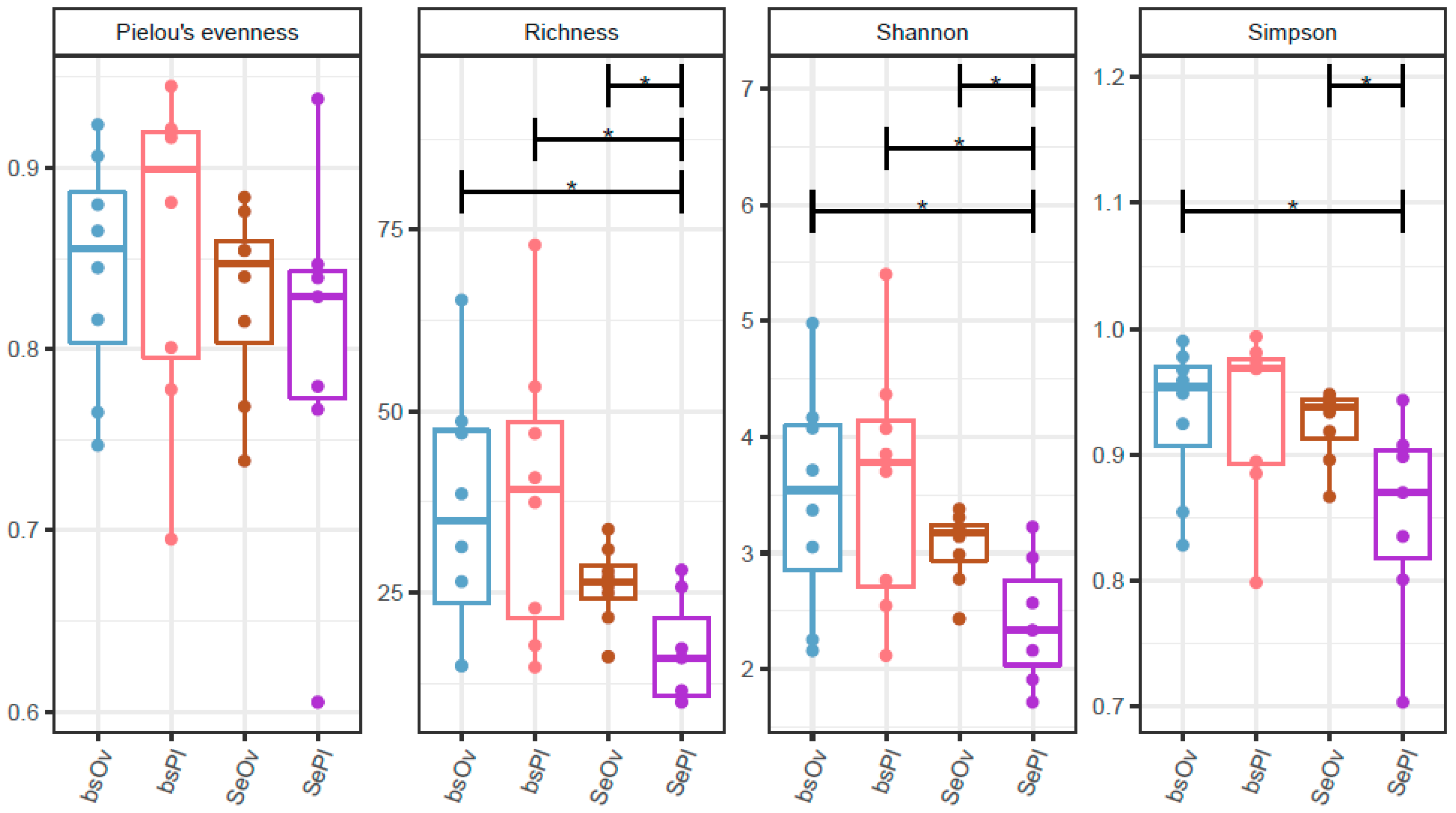
3.2. The Core Microbiome of N. caerulescens
4. Materials and Methods
4.1. Isolation and Cultivation of N. caerulescens Seed Endophytes
4.2. DNA Extraction, Sequencing, and Identification
4.3. Vertical Agar Plates (VAP) Primary Root Measurement and Seed Germination Count
4.4. A. thaliana Response in the Presence of Heavy Metal Contamination and Bacterial Inoculation
4.5. Endophytic Colony and Bulk Soil Colony Extraction for NGS
4.6. Library Preparation and Illumina Sequencing
4.7. Bioinformatic Processing of Reads
4.8. Data Visualization and Statistical Analyses
5. Conclusions
Author Contributions
Funding
Data Availability Statement
Acknowledgments
Conflicts of Interest
References
- Samreen, T.; Naveed, M.; Nazir, M.Z.; Asghar, H.N.; Khan, M.I.; Zahir, Z.A.; Kanwal, S.; Jeevan, B.; Sharma, D.; Meena, V.S.; et al. Seed associated bacterial and fungal endophytes: Diversity, life cycle, transmission, and application potential. Appl. Soil Ecol. 2021, 168, 104191. [Google Scholar] [CrossRef]
- Kandel, S.L.; Joubert, P.M.; Doty, S.L. Bacterial endophyte colonization and distribution within plants. Microorganisms 2017, 5, 77. [Google Scholar] [CrossRef] [PubMed]
- Rodriguez, R.; Baird, A.; Cho, S.; Gray, Z.; Groover, E.; Harto, R.; Hsieh, M.; Malmberg, K.; Manglona, R.; Mercer, M.; et al. Programming plants for climate resilience through symbiogenics. In Seed Endophytes; Springer: Cham, Switzerland, 2019; pp. 127–137. [Google Scholar]
- Mastretta, C.; Taghavi, S.; Van Der Lelie, D. International Journal of Phytoremediation endophytic bacteria from seeds of nicotiana tabacum can reduce. Int. J. 2010, 37–41. [Google Scholar]
- Shade, A.; Jacques, M.A.; Barret, M. Ecological patterns of seed microbiome diversity, transmission, and assembly. Curr. Opin. Microbiol. 2017, 37, 15–22. [Google Scholar] [CrossRef]
- Hardoim, P.R.; Van Overbeek, L.S.; Berg, G.; Pirttilä, A.M.; Compant, S.; Campisano, A.; Döring, M.; Sessitsch, A. The Hidden World within Plants: Ecological and Evolutionary Considerations for Defining Functioning of Microbial Endophytes. Microbiol. Mol. Biol. Rev. 2015, 79, 293–320. [Google Scholar] [CrossRef] [PubMed]
- A Durand, A.; Sterckeman, T.; Gonnelli, C.; Coppi, A.; Bacci, G.; Leglize, P.; Benizri, E. A core seed endophytic bacterial community in the hyperaccumulator Noccaea caerulescens across 14 sites in France. Plant Soil 2021, 459, 203–216. [Google Scholar] [CrossRef]
- González-Lamothe, R.; El Oirdi, M.; Brisson, N.; Bouarab, K. The Conjugated Auxin Indole-3-Acetic Acid-Aspartic Acid Promotes Plant Disease Development. Plant Cell 2012, 24, 762–777. [Google Scholar] [CrossRef] [PubMed]
- White, J.F.; Kingsley, K.L.; Butterworth, S.; Brindisi, L.; Gatei, J.W.; Elmore, M.T.; Verma, S.K.; Yao, X.; Kowalski, K.P. Seed-vectored microbes: Their roles in improving seedling fitness and competitor plant suppression. In Seed Endophytes: Biology and Biotechnology; Springer Nature: Cham, Switzerland, 2019. [Google Scholar]
- Ernst, W.H.; Nelissen, H.J.; Bookum, W.M.T. Combination toxicology of metal-enriched soils: Physiological responses of a Zn- and Cd-resistant ecotype of Silene vulgaris on polymetallic soils. Environ. Exp. Bot. 2000, 43, 55–71. [Google Scholar] [CrossRef]
- Mganga, N.; Manoko, M.; Rulangaranga, Z. Classification of Plants According to Their Heavy Metal Content around North Mara Gold Mine, Tanzania: Implication for Phytoremediation. Tanzania J. Sci. 2011, 37, 109–119. [Google Scholar]
- Thijs, S.; Langill, T.; Vangronsveld, J. The Bacterial and Fungal Microbiota of Hyperaccumulator Plants: Small Organisms, Large Influence. Adv. Bot. Res. 2017, 83, 43–86. [Google Scholar]
- Fones, H.N.; McCurrach, H.; Mithani, A.; Smith, J.A.C.; Preston, G.M. Local adaptation is associated with zinc tolerance in Pseudomonas endophytes of the metal-hyperaccumulator plant Noccaea caerulescens. Proc. R. Soc. B Biol. Sci. 2016, 283, 20160648. [Google Scholar] [CrossRef]
- Ryan, R.P.; Germaine, K.; Franks, A.; Ryan, D.J.; Dowling, D.N. Bacterial endophytes: Recent developments and applications. FEMS Microbiol. Lett. 2008, 278, 1–9. [Google Scholar] [CrossRef]
- Agostino, M. Introduction to the BLAST Suite and BLASTN. Pract. Bioinform. 2012, 26, 48. [Google Scholar]
- Schoch, C.L.; Ciufo, S.; Domrachev, M.; Hotton, C.L.; Kannan, S.; Khovanskaya, R.; Leipe, D.; Mcveigh, L.; O’Neill, K.; Robbertse, B.; et al. NCBI Taxonomy: A comprehensive update on curation, resources and tools. Database 2020, 2020, baaa062. [Google Scholar] [CrossRef]
- Visioli, G.; D’Egidio, S.; Vamerali, T.; Mattarozzi, M.; Sanangelantoni, A.M. Culturable endophytic bacteria enhance Ni translocation in the hyperaccumulator Noccaea caerulescens. Chemosphere 2014, 117, 538–544. [Google Scholar] [CrossRef]
- Eevers, N.; Gielen, M.; Sánchez-López, A.; Jaspers, S.; White, J.C.; Vangronsveld, J.; Weyens, N. Optimization of isolation and cultivation of bacterial endophytes through addition of plant extract to nutrient media. Microb. Biotechnol. 2015, 8, 707–715. [Google Scholar] [CrossRef]
- Kremer, R.J. Deleterious rhizobacteria. Plant-Associated Bact. 2006, 335–357. [Google Scholar]
- Shirdashtzadeh, M. Deleterious rhizobacteria as weed biological control agent: Development and constraints. Asian J. Microbiol. Biotechnol. Environ. Sci. 2014, 16, 561–574. [Google Scholar]
- Zdor, R.E.; Alexander, C.M.; Kremer, R.J. Weed suppression by deleterious rhizobacteria is affected by formulation and soil properties. Commun. Soil Sci. Plant Anal. 2005, 36, 1289–1299. [Google Scholar] [CrossRef]
- Li, J.; Kremer, R.J. Growth response of weed and crop seedlings to deleterious rhizobacteria. Biol. Control 2006, 39, 58–65. [Google Scholar] [CrossRef]
- Truyens, S.; Beckers, B.; Thijs, S.; Weyens, N.; Cuypers, A.; Vangronsveld, J. The effects of the growth substrate on cultivable and total endophytic assemblages of Arabidopsis thaliana. Plant Soil 2016, 405, 325–336. [Google Scholar] [CrossRef]
- Truyens, S.; Weyens, N.; Cuypers, A.; Vangronsveld, J. Bacterial seed endophytes: Genera, vertical transmission and interaction with plants. Environ. Microbiol. Rep. 2015, 7, 40–50. [Google Scholar] [CrossRef]
- Young, S.K.; Young, J.L.; Kim, J.H. Metabolism of nitrodiphenyl ether herbicides by dioxin-degrading bacterium Sphingomonas wittichii RW1. J. Agric. Food Chem. 2008, 56, 9146–9151. [Google Scholar]
- Mujakić, I.; Piwosz, K.; Koblížek, M. Phylum Gemmatimonadota and Its Role in the Environment. Microorganisms 2022, 10, 151. [Google Scholar] [CrossRef]
- Ishida, A.; Furuya, T. Diversity and characteristics of culturable endophytic bacteria from Passiflora edulis seeds. Microbiologyopen 2021, 10, e1226. [Google Scholar] [CrossRef]
- Stevens, V.; Thijs, S.; Vangronsveld, J. Diversity and plant growth-promoting potential of (un)culturable bacteria in the Hedera helix phylloplane. BMC Microbiol. 2021, 21, 66. [Google Scholar] [CrossRef]
- Pavani, P.; Kumar, K.; Rani, A.; Venkatesu, P.; Lee, M.J. The influence of sodium phosphate buffer on the stability of various proteins: Insights into protein-buffer interactions. J. Mol. Liq. 2021, 331, 115753. [Google Scholar] [CrossRef]
- Lindsey, B.E.; Rivero, L.; Calhoun, C.S.; Grotewold, E.; Brkljacic, J. Standardized method for high-throughput sterilization of Arabidopsis seeds. J. Vis. Exp. 2017, e56587. [Google Scholar] [CrossRef]
- Sofie, T.; Michiel, O.D.B.; Bram, B.; Sascha, T.; Vincent, S.; Van, H.J.D.; Nele, W.; Jaco, V. Comparative evaluation of four bacteria-specific primer pairs for 16S rRNA gene surveys. Front. Microbiol. 2017, 8, 494. [Google Scholar]
- Callahan, B.J.; McMurdie, P.J.; Rosen, M.J.; Han, A.W.; Johnson, A.J.A.; Holmes, S.P. DADA2: High-resolution sample inference from Illumina amplicon data. Nat. Methods 2016, 13, 581–583. [Google Scholar] [CrossRef]
- McMurdie, P.J.; Holmes, S. Phyloseq: An R Package for Reproducible Interactive Analysis and Graphics of Microbiome Census Data. PLoS ONE 2013, 8, e61217. [Google Scholar] [CrossRef] [PubMed]






| Isolate nr | Closest NCBI Database Match | Identity (%) |
|---|---|---|
| 1 | Mucilaginibacter sp. 1042 | 94.81 |
| 2 | Methylobacterium sp. | 97.38 |
| 3 | Mucilaginibacter sp. | 94.78 |
| 4 | Noviherbaspirillum soli | 97.24 |
| 5 | Sphingomonas vulcanisoli | 95.46 |
| 6 | Sphingomonas sp. AP4-R1 | 96.41 |
| 7 | Sphingomonas wittichii | 92.84 |
| 8 | Mesorhizobium ciceri | 97.85 |
| 9 | Paenibacillus sp. | 96.47 |
| 10 | Sphingomonas yunnanensis | 98.09 |
| 11 | Alphaproteobact. (uncult.) | 93.26 |
| Phyla | Class | Order | Genus |
|---|---|---|---|
| Proteobacteria | Alphaproteobacteria Betaproteobacteria | Rhizobiales Sphingomonadeles Burkholderiales | Methylobacterium sp. Mesorhizobium ciceri Sphingomonas vulcanisoli Sphingomonas sp. AP4-R1 Sphingomonas wittichii Sphingomonas yunnanensis Alphaproteobacteria bacterium (uncultured) Noviherbaspirillum soli |
| Bacteroidetes | Sphingobacteriia | Sphingobacteriales | Mucilaginibacter sp. 1042 Mucilaginibacter sp. |
| Firmicutes | Bacilli | Bacillales | Paenibacillus sp. |
| Plombières | Overpelt | |
|---|---|---|
| Location | Plombières | Overpelt |
| roadside, calamine area | tallud next to road | |
| Point ID | waste tallud | waste tallud |
| Latitude | 50.734 | 51.234 |
| Longitude | 5.964 | 5.386 |
| Sampling date | 18 June 2019 | 7 July 2019 |
| Soil type | Organic/sand | organic |
| pH (KCl) | 6.02 | 5.24 |
| pH (H2O) | 6.92 | 6.57 |
| OC (% dry soil) | 4.91 | 33.5 |
| Conductivity (µS/cm) | 129 | 108 |
| NO3-N (mg/kg) | 34 | 30 |
| NH4-N (mg/kg) | 3.4 | 7.2 |
| N total (%/lds) | 0.278 | 0.64 |
| Fe (mg/100 g) | 58.4 | 48.6 |
| K (mg/100 g) | 23 | 16 |
| Mg (mg/100 g) | 15 | 9.8 |
| Ca (mg/100 g) | 137 | 115 |
| Mn (mg/100 g) | 9.77 | 10.16 |
| Na (mg/100 g) | <1.92 | <1.92 |
| p (mg/100 g) | 11.4 | 6.6 |
| C/N | 17.7 | 52.4 |
| K/Mg | 1.5 | 1.6 |
| Ca/Mg | 9.1 | 11.7 |
| Zinc (Zn) (mg/kg) | 496 | 325 |
| Cadmium (Cd) (mg/kg) | 2.8 | 8.54 |
| Lead (Pb) (mg/kg) | 13,304 | 209 |
Disclaimer/Publisher’s Note: The statements, opinions and data contained in all publications are solely those of the individual author(s) and contributor(s) and not of MDPI and/or the editor(s). MDPI and/or the editor(s) disclaim responsibility for any injury to people or property resulting from any ideas, methods, instructions or products referred to in the content. |
© 2023 by the authors. Licensee MDPI, Basel, Switzerland. This article is an open access article distributed under the terms and conditions of the Creative Commons Attribution (CC BY) license (https://creativecommons.org/licenses/by/4.0/).
Share and Cite
Langill, T.; Jorissen, L.-P.; Oleńska, E.; Wójcik, M.; Vangronsveld, J.; Thijs, S. Community Profiling of Seed Endophytes from the Pb-Zn Hyperaccumulator Noccaea caerulescens and Their Plant Growth Promotion Potential. Plants 2023, 12, 643. https://doi.org/10.3390/plants12030643
Langill T, Jorissen L-P, Oleńska E, Wójcik M, Vangronsveld J, Thijs S. Community Profiling of Seed Endophytes from the Pb-Zn Hyperaccumulator Noccaea caerulescens and Their Plant Growth Promotion Potential. Plants. 2023; 12(3):643. https://doi.org/10.3390/plants12030643
Chicago/Turabian StyleLangill, Tori, Lambert-Paul Jorissen, Ewa Oleńska, Małgorzata Wójcik, Jaco Vangronsveld, and Sofie Thijs. 2023. "Community Profiling of Seed Endophytes from the Pb-Zn Hyperaccumulator Noccaea caerulescens and Their Plant Growth Promotion Potential" Plants 12, no. 3: 643. https://doi.org/10.3390/plants12030643
APA StyleLangill, T., Jorissen, L.-P., Oleńska, E., Wójcik, M., Vangronsveld, J., & Thijs, S. (2023). Community Profiling of Seed Endophytes from the Pb-Zn Hyperaccumulator Noccaea caerulescens and Their Plant Growth Promotion Potential. Plants, 12(3), 643. https://doi.org/10.3390/plants12030643

