Hsp90 Gene Is Required for Mi-1-Mediated Resistance of Tomato to the Whitefly Bemisia tabaci
Abstract
1. Introduction
2. Results
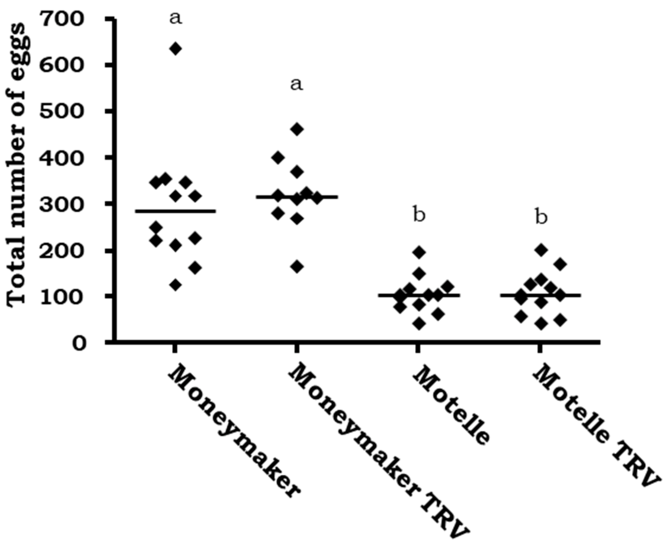
2.1. Evaluation of the Effects of Agroinfiltration with the Vector TRV
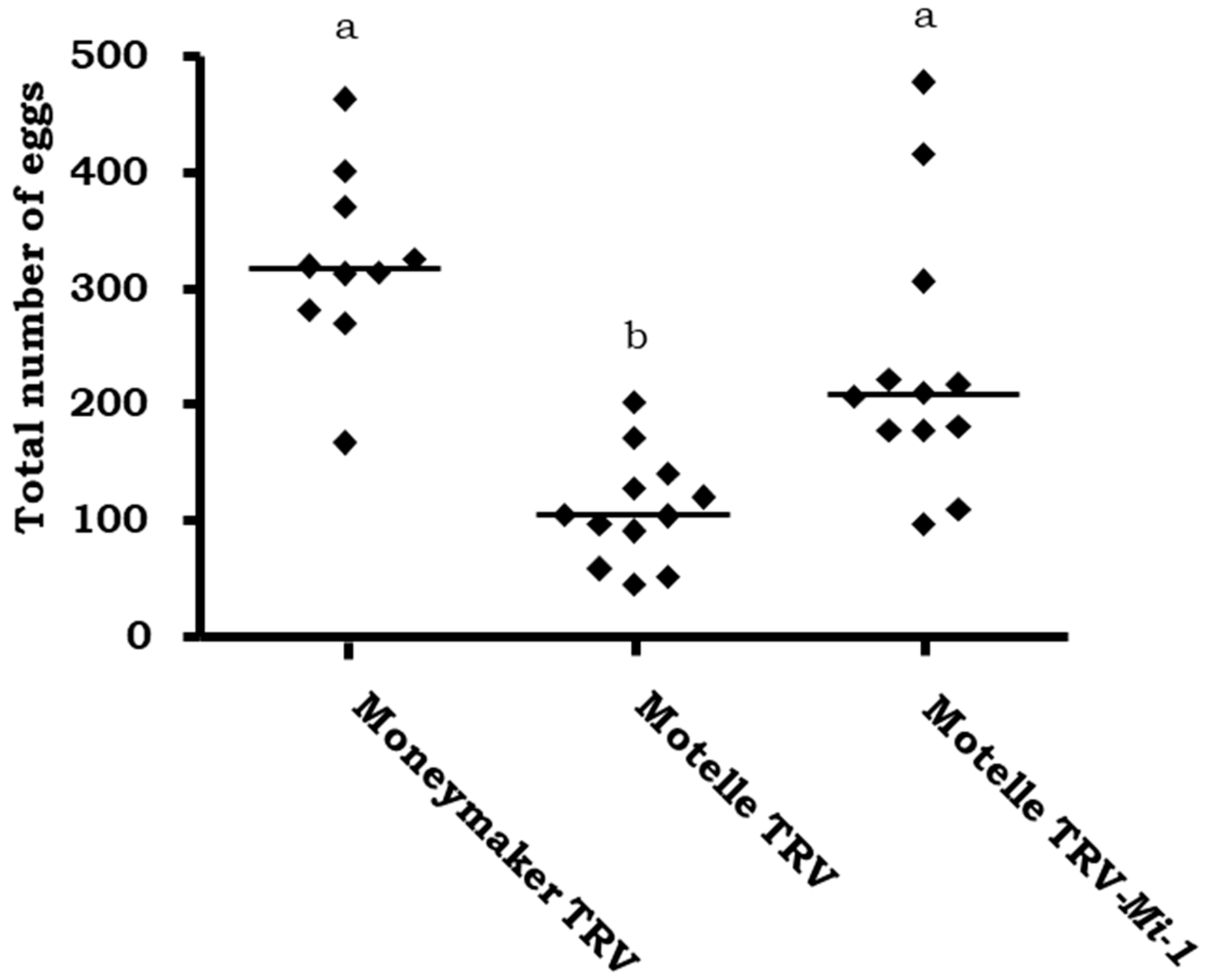
2.2. Mi-1 Gene Silencing in Tomato Plants
2.3. Hsp90-1 Gene Silencing in Tomato Plants
3. Discussion
3.1. Effects of Agroinfiltration with Empty TRV Vector and TRV-Mi
3.2. The Gene Hsp90-1 in the Mi-1-Mediated Resistance to B. tabaci
4. Materials and Methods
4.1. Plant Material and Growth Conditions
4.2. VIGS Constructs
4.3. Growth of Agroclones and Agroinfiltration
4.4. Bioassays with Plants Infested with B. tabaci
4.5. Genomic DNA (gDNA) Extraction and PCR Amplification
4.6. RNA Extraction and cDNA Synthesis and Amplification
Author Contributions
Funding
Data Availability Statement
Acknowledgments
Conflicts of Interest
References
- Fiallo-Olivé, E.; Navas-Castillo, J. Tomato chlorosis virus, an emergent plant virus still expanding its geographical and host ranges. Mol. Plant Pathol. 2019, 20, 1307–1320. [Google Scholar] [CrossRef] [PubMed]
- Horowitz, A.R.; Ghanim, M.; Roditakis, E.; Nauen, R.; Ishaaya, I. Insecticide resistance and its management in Bemisia tabaci species. J. Pest Sci. 2020, 93, 893–910. [Google Scholar] [CrossRef]
- Simmons, A.M.; Harrison, H.F.; Ling, K.-S. Forty-nine new host plant species for Bemisia tabaci (Hemiptera: Aleyrodidae). Entomol. Sci. 2008, 11, 385–390. [Google Scholar] [CrossRef]
- Paredes-Montero, J.R.; Haq, Q.M.I.; Mohamed, A.A.; Brown, J.K. Phylogeographic and SNPs analyses of Bemisia tabaci B mitotype populations reveal only two of eight haplotypes are invasive. Biology 2021, 10, 1048. [Google Scholar] [CrossRef] [PubMed]
- Perring, T.M. The Bemisia tabaci species complex. Crop Prot. 2001, 20, 725–737. [Google Scholar] [CrossRef]
- De Barro, P.J.; Liu, S.-S.; Boykin, L.M.; Dinsdale, A.B. Bemisia tabaci: A statement of species status. Annu. Rev. Entomol. 2011, 56, 1–19. [Google Scholar] [CrossRef] [PubMed]
- Horowitz, A.R.; Ishaaya, I. Dynamics of biotypes B and Q of the whitefly Bemisia tabaci and its impact on insecticide resistance: Dynamics of biotypes B and Q of the whitefly Bemisia tabaci. Pest Manag. Sci. 2014, 70, 1568–1572. [Google Scholar] [CrossRef] [PubMed]
- Pascual, S. Mechanisms in competition, under laboratory conditions, between spanish biotypes B and Q of Bemisia tabaci (Gennadius). Span. J. Agric. Res. 2006, 4, 351–354. [Google Scholar] [CrossRef]
- Sun, D.-B.; Liu, Y.-Q.; Qin, L.; Xu, J.; Li, F.-F.; Liu, S.-S. Competitive displacement between two invasive whiteflies: Insecticide application and host plant effects. Bull. Entomol. Res. 2013, 103, 344–353. [Google Scholar] [CrossRef]
- Nombela, G.; Williamson, V.M.; Muñiz, M. The Root-Knot Nematode resistance gene Mi-1.2 of tomato is responsible for resistance against the whitefly Bemisia tabaci. MPMI 2003, 16, 645–649. [Google Scholar] [CrossRef]
- Casteel, C.L.; Walling, L.L.; Paine, T.D. Behavior and biology of the tomato psyllid, Bactericerca cockerelli, in response to the Mi-1.2 gene. Entomol. Exp. Appl. 2006, 121, 67–72. [Google Scholar] [CrossRef]
- Roberts, P.; Thomason, I. Variability in reproduction of isolates of Meloidogyne-incognita and Meloidogyne-javanica on resistant tomato genotypes. Plant Dis. 1986, 70, 547–551. [Google Scholar] [CrossRef]
- Rossi, M.; Goggin, F.; Milligan, S.; Kaloshian, I.; Ullman, D.; Williamson, V. The nematode resistance gene Mi of tomato confers resistance against the potato aphid. Proc. Natl. Acad. Sci. USA 1998, 95, 9750–9754. [Google Scholar] [CrossRef] [PubMed]
- Vos, P.; Simons, G.; Jesse, T.; Wijbrandi, J.; Heinen, L.; Hogers, R.; Frijters, A.; Groenendijk, J.; Diergaarde, P.; Reijans, M.; et al. The tomato Mi-1 gene confers resistance to both root-knot nematodes and potato aphids. Nat. Biotechnol. 1998, 16, 1365–1369. [Google Scholar] [CrossRef] [PubMed]
- Martinez de Ilarduya, O.; Xie, Q.; Kaloshian, I. Aphid-induced defense responses in Mi-1-mediated compatible and incompatible tomato interactions. Mol. Plant-Microbe Interact. 2003, 16, 699–708. [Google Scholar] [CrossRef]
- Jiang, Y.; Nombela, G.; Muniz, M. Analysis by DC-EPG of the resistance to Bemisia tabaci on an Mi-tomato line. Entomol. Exp. Appl. 2001, 99, 295–302. [Google Scholar] [CrossRef]
- Nombela, G.; Beitia, F.; Muñiz, M. Variation in tomato host response to Bemisia tabaci (Hemiptera: Aleyrodidae) in relation to acyl sugar content and presence of the nematode and potato aphid resistance gene Mi. Bull. Entomol. Res. 2000, 90, 161–167. [Google Scholar] [CrossRef]
- Smith, G.P. Embryo culture of a tomato species hybrid. J. Am. Soc. Hortic. Sci. 1944, 44, 413–416. [Google Scholar]
- Williamson, V. Root-knot nematode resistance genes in tomato and their potential for future use. Annu. Rev. Phytopathol. 1998, 36, 277–293. [Google Scholar] [CrossRef]
- Martin, G.; Bogdanove, A.; Sessa, G. Understanding the functions of plant disease resistance proteins. Annu. Rev. Plant Biol. 2003, 54, 23–61. [Google Scholar] [CrossRef]
- Milligan, S.; Bodeau, J.; Yaghoobi, J.; Kaloshian, I.; Zabel, P.; Williamson, V. The root knot nematode resistance gene Mi from tomato is a member of the leucine zipper, nucleotide binding, leucine-rich repeat family of plant genes. Plant Cell 1998, 10, 1307–1319. [Google Scholar] [CrossRef]
- Rodriguez-Alvarez, C.I.; Lopez-Climent, M.F.; Gomez-Cadenas, A.; Kaloshian, I.; Nombela, G. Salicylic acid is required for Mi-1-mediated resistance of tomato to whitefly Bemisia tabaci, but not for basal defense to this insect Pest. Bull. Entomol. Res. 2015, 105, 574–582. [Google Scholar] [CrossRef] [PubMed]
- Rodriguez-Alvarez, C.I.; Lopez-Vidriero, I.; Franco-Zorrilla, J.M.; Nombela, G. Basal differences in the transcriptional profiles of tomato leaves associated with the presence/absence of the resistance gene Mi-1 and changes in these differences after infestation by the whitefly Bemisia tabaci. Bull. Entomol. Res. 2020, 110, 463–479. [Google Scholar] [CrossRef]
- Kempema, L.A.; Cui, X.; Holzer, F.M.; Walling, L.L. Arabidopsis transcriptome changes in response to phloem-feeding silverleaf whitefly nymphs. similarities and distinctions in responses to aphids. Plant Physiol. 2007, 143, 849–865. [Google Scholar] [CrossRef] [PubMed]
- Martínez de Ilarduya, O.; Nombela, G.; Hwang, C.; Williamson, V.; Muniz, M.; Kaloshian, I. Rme1 is necessary for Mi-1-mediated resistance and acts early in the resistance pathway. Mol. Plant-Microbe Interact. 2004, 17, 55–61. [Google Scholar] [CrossRef] [PubMed]
- Li, Q.; Xie, Q.-G.; Smith-Becker, J.; Navarre, D.A.; Kaloshian, I. Mi-1-Mediated aphid resistance involves salicylic acid and mitogen-activated protein kinase signaling cascades. Mol. Plant-Microbe Interact. 2006, 19, 655–664. [Google Scholar] [CrossRef]
- Mantelin, S.; Peng, H.-C.; Li, B.; Atamian, H.S.; Takken, F.L.W.; Kaloshian, I. The receptor-like kinase SlSERK1 is required for Mi-1-mediated resistance to potato aphids in tomato. Plant J. 2011, 67, 459–471. [Google Scholar] [CrossRef]
- Bhattarai, K.K.; Li, Q.; Liu, Y.; Dinesh-Kumar, S.P.; Kaloshian, I. The Mi-1-mediated pest resistance requires Hsp90 and Sgt1. Plant Physiol. 2007, 144, 312–323. [Google Scholar] [CrossRef]
- Martínez de Ilarduya, O.; Moore, A.; Kaloshian, I. The tomato Rme1 locus is required for Mi-1-mediated resistance to root-knot nematodes and the potato aphid. Plant J. 2001, 27, 417–425. [Google Scholar] [CrossRef]
- Zhou, J.; Xu, X.-C.; Cao, J.-J.; Yin, L.-L.; Xia, X.-J.; Shi, K.; Zhou, Y.-H.; Yu, J.-Q. Heat Shock Factor HsfA1a is essential for R gene-mediated nematode resistance and triggers H2O2 production. Plant Physiol. 2018, 176, 2456–2471. [Google Scholar] [CrossRef]
- Corigliano, M.G.; Clemente, M. The Role of Plant 90-KDa Heat shock proteins in plant immunity. In Heat Shock Proteins and Plants; Asea, A., Calderwood, S., Kaur, P., Eds.; Springer: Cham, Switzerland, 2016; Volume 10, pp. 149–167. ISBN 1877-1246. [Google Scholar]
- Picard, D. Heat-Shock Protein 90, a chaperone for folding and regulation. Cell Mol. Life Sci. 2002, 59, 1640–1648. [Google Scholar] [CrossRef] [PubMed]
- Pratt, W.; Toft, D. Regulation of signaling protein function and trafficking by the Hsp90/Hsp70-Based chaperone machinery. Exp. Biol. Med. 2003, 228, 111–133. [Google Scholar] [CrossRef]
- Xu, Z.-S.; Li, Z.-Y.; Chen, Y.; Chen, M.; Li, L.-C.; Ma, Y.-Z. Heat shock protein 90 in plants: Molecular mechanisms and roles in stress responses. Int. J. Mol. Sci. 2012, 13, 15706–15723. [Google Scholar] [CrossRef] [PubMed]
- Liu, Y.; Burch-Smith, T.; Schiff, M.; Feng, S.; Dinesh-Kumar, S. Molecular chaperone Hsp90 associates with resistance protein N and its signaling proteins SGT1 and Rar1 to modulate an innate immune response in plants. J. Biol. Chem. 2004, 279, 2101–2108. [Google Scholar] [CrossRef] [PubMed]
- Havko, N.E.; Das, M.R.; McClain, A.M.; Kapali, G.; Sharkey, T.D.; Howe, G.A. Insect herbivory antagonizes leaf cooling responses to elevated temperature in tomato. Proc. Natl. Acad. Sci. USA 2020, 117, 2211–2217. [Google Scholar] [CrossRef]
- Yadav, P.K.; Gupta, N.; Verma, V.; Gupta, A.K. Overexpression of SlHSP90.2 leads to altered root biomass and architecture in tomato (Solanum lycopersicum). Physiol. Mol. Biol. Plant 2021, 27, 713–725. [Google Scholar] [CrossRef]
- Shirasu, K.; Schulze-Lefert, P. Complex formation, promiscuity and multi-functionality: Protein interactions in disease-resistance pathways. Trends. Plant Sci. 2003, 8, 252–258. [Google Scholar] [CrossRef]
- Boter, M.; Amigues, B.; Peart, J.; Breuer, C.; Kadota, Y.; Casais, C.; Moore, G.; Kleanthous, C.; Ochsenbein, F.; Shirasu, K.; et al. Structural and functional analysis of SGT1 reveals that its interaction with HSP90 is required for the accumulation of Rx, an R protein involved in plant immunity. Plant Cell 2007, 19, 3791–3804. [Google Scholar] [CrossRef]
- Hubert, D.; Tornero, P.; Belkhadir, Y.; Krishna, P.; Takahashi, A.; Shirasu, K.; Dangl, J. Cytosolic HSP90 associates with and modulates the Arabidopsis RPM1 disease resistance protein. EMBO J. 2003, 22, 5679–5689. [Google Scholar] [CrossRef]
- Lu, R.; Malcuit, I.; Moffett, P.; Ruiz, M.; Peart, J.; Wu, A.; Rathjen, J.; Bendahmane, A.; Day, L.; Baulcombe, D. High Throughput virus-induced gene silencing implicates heat shock protein 90 in plant disease resistance. EMBO J. 2003, 22, 5690–5699. [Google Scholar] [CrossRef]
- Takahashi, A.; Casais, C.; Ichimura, K.; Shirasu, K. HSP90 interacts with RAR1 and SGT1 and is essential for RPS2-mediated disease resistance in Arabidopsis. Proc. Natl. Acad. Sci. USA 2003, 100, 11777–11782. [Google Scholar] [CrossRef] [PubMed]
- Wang, G.-F.; Fan, R.; Wang, X.; Wang, D.; Zhang, X. TaRAR1 and TaSGT1 Associate with TaHsp90 to function in bread wheat (Triticum aestivum L.) seedling growth and stripe rust resistance. Plant Mol. Biol 2015, 87, 577–589. [Google Scholar] [CrossRef] [PubMed]
- Wang, H.; Zhang, Y.; Luan, H.; Chen, A.; Liu, J.; Lu, J.; Tang, W.; Li, C. Nuclear localization and the C-Terminus region of PiAVR3b from Phytophthora infestans are required for recognition by the resistance protein RPI-R3b. Eur. J. Plant Pathol. 2022, 163, 483–493. [Google Scholar] [CrossRef]
- Wei, Y.; Zeng, H.; Liu, W.; Cheng, X.; Zhu, B.; Guo, J.; Shi, H. Autophagy-related genes serve as heat shock protein 90 co-chaperones in disease resistance against cassava bacterial blight. Plant J. 2021, 107, 925–937. [Google Scholar] [CrossRef] [PubMed]
- de la Fuente van Bentem, S.; Vossen, J.; de Vries, K.; van Wees, S.; Tameling, W.; Dekker, H.; de Koster, C.; Haring, M.; Takken, F.; Cornelissen, B. Heat shock protein 90 and its co-chaperone protein phosphatase 5 interact with distinct regions of the tomato I-2 disease resistance protein. Plant J. 2005, 43, 284–298. [Google Scholar] [CrossRef] [PubMed]
- Chen, L.; Hamada, S.; Fujiwara, M.; Zhu, T.; Thao, N.; Wong, H.; Krishna, P.; Ueda, T.; Kaku, H.; Shibuya, N.; et al. The Hop/Sti1-Hsp90 chaperone complex facilitates the maturation and transport of a PAMP receptor in rice innate immunity. Cell Host Microbe 2010, 7, 185–196. [Google Scholar] [CrossRef]
- Zhang, Z.; Quick, M.; Kanelakis, K.; Gijzen, M.; Krishna, P. Characterization of a plant homolog of Hop, a cochaperone of Hsp90. Plant Physiol. 2003, 131, 525–535. [Google Scholar] [CrossRef]
- Hein, I.; Pacak, M.; Hrubikova, K.; Williamson, S.; Dinesen, M.; Soenderby, I.; Sundar, S.; Jarmolowski, A.; Shirasu, K.; Lacomme, C. Virus-induced gene silencing-based functional characterization of genes associated with powdery mildew resistance in barley. Plant Physiol. 2005, 138, 2155–2164. [Google Scholar] [CrossRef]
- Kanzaki, H.; Saitoh, H.; Ito, A.; Fujisawa, S.; Kamoun, S.; Katou, S.; Yoshioka, H.; Terauchi, R. Cytosolic HSP90 and HSP70 are essential components of INF1-mediated hypersensitive response and non-host resistance to Pseudomonas cichorii in Nicotiana benthamiana. Mol. Plant Pathol. 2003, 4, 383–391. [Google Scholar] [CrossRef]
- Scofield, S.; Huang, L.; Brandt, A.; Gill, B. Development of a virus-induced gene-silencing system for hexaploid wheat and its use in functional analysis of the Lr21-mediated leaf rust resistance pathway. Plant Physiol. 2005, 138, 2165–2173. [Google Scholar] [CrossRef]
- Wang, G.; Wei, X.; Fan, R.; Zhou, H.; Wang, X.; Yu, C.; Dong, L.; Dong, Z.; Wang, X.; Kang, Z.; et al. Molecular analysis of common wheat genes encoding three types of cytosolic heat shock protein 90 (Hsp90): Functional involvement of cytosolic Hsp90s in the control of wheat seedling growth and disease resistance. New Phytol. 2011, 191, 418–431. [Google Scholar] [CrossRef] [PubMed]
- Zhou, H.; Li, S.; Deng, Z.; Wang, X.; Chen, T.; Zhang, J.; Chen, S.; Ling, H.; Zhang, A.; Wang, D.; et al. Molecular analysis of three new receptor-like kinase genes from hexaploid wheat and evidence for their participation in the wheat hypersensitive response to stripe rust fungus infection. Plant J. 2007, 52, 420–434. [Google Scholar] [CrossRef] [PubMed]
- Senthil-Kumar, M.; Mysore, K.S. Tobacco rattle virus-based virus-induced gene silencing in Nicotiana benthamiana. Nat. Protoc. 2014, 9, 1549–1562. [Google Scholar] [CrossRef] [PubMed]
- Shi, G.; Hao, M.; Tian, B.; Cao, G.; Wei, F.; Xie, Z. A Methodological advance of tobacco rattle virus-induced gene silencing for functional genomics in plants. Front. Plant Sci. 2021, 12, 671091. [Google Scholar] [CrossRef] [PubMed]
- Singh, A.K.; Ghosh, D.; Chakraborty, S. Optimization of Tobacco Rattle Virus (TRV)-based virus-induced gene silencing (VIGS) in tomato. Method Mol. Biol. 2022, 2408, 133–145. [Google Scholar] [CrossRef]
- Ratcliff, F.; Martin-Hernandez, A.; Baulcombe, D. Tobacco rattle virus as a vector for analysis of gene function by silencing. Plant J. 2001, 25, 237–245. [Google Scholar] [CrossRef]
- Liu, Y.; Schiff, M.; Marathe, R.; Dinesh-Kumar, S. Tobacco Rar1, EDS1 and NPR1/NIM1 like genes are required for N-mediated resistance to tobacco mosaic virus. Plant J. 2002, 30, 415–429. [Google Scholar] [CrossRef]
- Zhou, X.; Liu, J.; Bao, S.; Yang, Y.; Zhuang, Y. Molecular cloning and characterization of a wild eggplant Solanum aculeatissimum NBS-LRR gene, involved in plant resistance to Meloidogyne incognita. Int. J. Mol. Sci. 2018, 19, 583. [Google Scholar] [CrossRef]
- Liu, Y.; Schiff, M.; Dinesh-Kumar, S. Virus-induced gene silencing in tomato. Plant J. 2002, 31, 777–786. [Google Scholar] [CrossRef]
- Qian, L.; Zhao, J.; Du, Y.; Zhao, X.; Han, M.; Liu, Y. Hsp90 interacts with Tm-22 and is essential for Tm-22-mediated resistance to Tobacco mosaic virus. Front. Plant Sci. 2018, 9, 411. [Google Scholar] [CrossRef]
- Zhu, X.; Xiao, K.; Cui, H.; Hu, J. Overexpression of the Prunus sogdiana NBS-LRR subgroup gene PsoRPM2 promotes resistance to the root-knot nematode Meloidogyne incognita in tobacco. Front. Microbiol. 2017, 8, 2113. [Google Scholar] [CrossRef] [PubMed]
- Peng, H.-C.; Kaloshian, I. The tomato leucine-rich repeat receptor-like kinases SlSERK3A and SlSERK3B have overlapping functions in bacterial and nematode innate immunity. PLoS ONE 2014, 9, e93302. [Google Scholar] [CrossRef]
- Goggin, F.; Shah, G.; Williamson, V.; Ullman, D. Developmental regulation of Mi-mediated aphid resistance is independent of Mi-1.2 transcript levels. Mol. Plant-Microbe Interact. 2004, 17, 532–536. [Google Scholar] [CrossRef]
- de Ilarduya, O.M.; Kaloshian, I. Mi-1.2 Transcripts accumulate ubiquitously in resistant Lycopersicon esculentum. J. Nematol. 2001, 33, 116–120. [Google Scholar] [PubMed]
- Gorovits, R.; Akad, F.; Beery, H.; Vidavsky, F.; Mahadav, A.; Czosnek, H. Expression of stress-response proteins upon whitefly-mediated inoculation of tomato yellow leaf curl virus in susceptible and resistant tomato plants. Mol. Plant-Microbe Interact. 2007, 20, 1376–1383. [Google Scholar] [CrossRef]
- Sangster, T.; Queitsch, C. The HSP90 chaperone complex, an emerging force in plant development and phenotypic plasticity. Curr. Opin. Plant Biol. 2005, 8, 86–92. [Google Scholar] [CrossRef] [PubMed]
- van der Biezen, E.; Jones, J. Plant disease-resistance proteins and the gene-for-gene concept. Trends. Biochem. Sci. 1998, 23, 454–456. [Google Scholar] [CrossRef]
- Laterrot, H. Near isogenic tomato lines in moneymaker type with different genes for disease resistances. Rep. Tomato Genet. Coop. 1987, 37, 91. [Google Scholar]
- Ho, J.; Weide, R.; Ma, H.; Vanwoedragen, M.; Lambert, K.; Koornneef, M.; Zabel, P.; Williamson, V. The Root-Knot nematode resistance gene (Mi) in tomato—Construction of a molecular linkage map and identification of dominant cDNA markers in resistant genotypes. Plant J. 1992, 2, 971–982. [Google Scholar] [PubMed]
- Rodriguez-Alvarez, C.I.; Muniz, M.; Nombela, G. Effect of plant development (age and size) on the Mi-1-mediated resistance of tomato to whitefly Bemisia tabaci. Bull. Entomol. Res. 2017, 107, 768–776. [Google Scholar] [CrossRef]
- Peterson, D.; Boehm, K.; Stack, S. Isolation of milligram quantities of nuclear DNA from tomato (Lycopersicon esculentum), a plant containing high levels of polyphenolic compounds. Plant Mol. Biol. Rep. 1997, 15, 148–153. [Google Scholar] [CrossRef]
- El Mehrach, K.; Hatimi, A.; Chouchane, S.; Salus, M.; Martin, C.; Maxwell, D.; Mejia, L.; Williamson, V.; Vidavski, F. PCR-based methods for tagging the Mi-1 locus for resistance to root-knot nematode in begomovirus-resistant tomato germplasm. Acta Hortic. 2005, 695, 263–270. [Google Scholar] [CrossRef]











| Gene | Primer name | Sequence |
|---|---|---|
| Mi-1 | Mi-RT-F | 5′-AGAGGAGGGAACGATCTTCAGA-3′ |
| Mi-RT-R | 5′-AAGCAAAGTTCAACCAAAATGCT-3′ | |
| Hsp90-1 | HSP90-RT-F | 5′-TAGCCTTGATGAGCCAAACACA-3′ |
| HSP90-RT-R | 5′-CGATACTCAGACCAAGCTTCAGC-3′ | |
| Ubi3 | Ubi3-RT-F | 5′-TGTGGGCTCACCTACGTTTACA-3′ |
| Ubi3-RT-R | 5′-CTGATAGAGCATTGCTAAACATTAAAATC-3′ |
Disclaimer/Publisher’s Note: The statements, opinions and data contained in all publications are solely those of the individual author(s) and contributor(s) and not of MDPI and/or the editor(s). MDPI and/or the editor(s) disclaim responsibility for any injury to people or property resulting from any ideas, methods, instructions or products referred to in the content. |
© 2023 by the authors. Licensee MDPI, Basel, Switzerland. This article is an open access article distributed under the terms and conditions of the Creative Commons Attribution (CC BY) license (https://creativecommons.org/licenses/by/4.0/).
Share and Cite
Pascual, S.; Rodríguez-Álvarez, C.I.; Kaloshian, I.; Nombela, G. Hsp90 Gene Is Required for Mi-1-Mediated Resistance of Tomato to the Whitefly Bemisia tabaci. Plants 2023, 12, 641. https://doi.org/10.3390/plants12030641
Pascual S, Rodríguez-Álvarez CI, Kaloshian I, Nombela G. Hsp90 Gene Is Required for Mi-1-Mediated Resistance of Tomato to the Whitefly Bemisia tabaci. Plants. 2023; 12(3):641. https://doi.org/10.3390/plants12030641
Chicago/Turabian StylePascual, Susana, Clara I. Rodríguez-Álvarez, Isgouhi Kaloshian, and Gloria Nombela. 2023. "Hsp90 Gene Is Required for Mi-1-Mediated Resistance of Tomato to the Whitefly Bemisia tabaci" Plants 12, no. 3: 641. https://doi.org/10.3390/plants12030641
APA StylePascual, S., Rodríguez-Álvarez, C. I., Kaloshian, I., & Nombela, G. (2023). Hsp90 Gene Is Required for Mi-1-Mediated Resistance of Tomato to the Whitefly Bemisia tabaci. Plants, 12(3), 641. https://doi.org/10.3390/plants12030641

