Phytochemical Statistical Mapping of Red Grape Varieties Cultivated in Romanian Organic and Conventional Vineyards
Abstract
:1. Introduction
| Grape Variety | Brief Description | Anatomical Part | ||
|---|---|---|---|---|
| Skin | Seed | Pulp | ||
| Feteasca Neagra #4120—vinifera-H-N ![]() | Grape bunches—14 cm long, cylindrical/conical-cylindrical, thick berries Grape berries—size of riped berry is 12–15 mm, must is colorless to slightly colored |
|
~ 1% of the total weight of grape
|
|
| Merlot #7657—vinifera-H-N ![]() | Grape bunches—cylindrical shape, 14–18 cm, average weight of 100–120 g Grape berries—dense, small (14 mm), spherical shape, black shade, juicy and slightly fragrant |
|
~ 1–2% of the total weight of grape |
|
| Pinot Noir #9279—vinifera-H-N ![]() | Grape bunches—cylindrical shape, length of 10–11 cm, average weight 90–100 g Grape berries—dense berries, even distribution on the stalks, spherical shape, crunchy, with size of 12–14 mm, black |
|
~ 1–2% of the total weight of grape
|
|
| Muscat Hamburg #8226—vinifera-H-N ![]() | Grape bunches—branched with length of 18–25 cm, and weight of 325 g Grape berries—sparse, large, spherical to oval, fleshy; average mass/grain of 4.5 g; crunchy, aromatic taste |
|
|
|
2. Results
2.1. Physicochemical Characterization
2.1.1. Infrared Spectroscopy Analysis
2.1.2. Ultraviolet-Visible (UV-VIS) Spectroscopy Analysis
2.1.3. Total Phenolic Content
2.1.4. Total Flavonoid Content
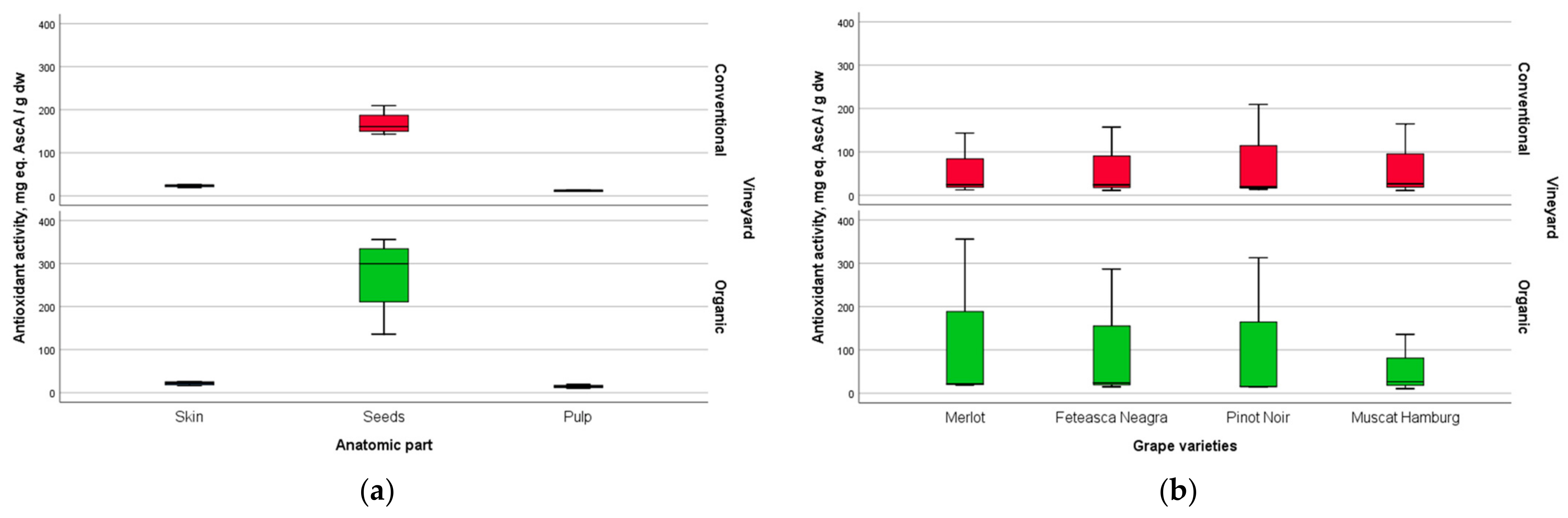
2.1.5. Antioxidant Activity
2.2. Statistical Data Analysis
2.3. Correlation between the Physicochemical Parameters and the Independent Factors Analyzed
3. Materials and Methods
3.1. Plant Material and Sample Preparation
3.2. Phytochemical Measurements
3.2.1. Total Phenolic Content (TPC)
3.2.2. Total Flavonoid Content (TFC)
3.2.3. Antioxidant Activity (AA)
3.3. Statistical Analysis
4. Conclusions
Author Contributions
Funding
Data Availability Statement
Conflicts of Interest
References
- Boeing, H.; Bechthold, A.; Bub, A.; Ellinger, S.; Haller, D.; Kroke, A.; Leschik-Bonnet, E.; Müller, M.J.; Oberritter, H.; Schulze, M.; et al. Critical review: Vegetables and fruit in the prevention of chronic diseases. Eur. J. Nutr. 2012, 51, 637–663. [Google Scholar] [CrossRef] [PubMed]
- Lourenço, S.C.; Moldão-Martins, M.; Alves, V.D. Antioxidants of natural plant origins: From sources to food industry applications. Molecules 2019, 24, 4132. [Google Scholar] [CrossRef] [PubMed]
- Radulescu, C.; Olteanu, R.L.; Stihi, C.; Florescu, M.; Stirbescu, R.M.; Stanescu, S.G.; Nicolescu, C.M.; Bumbac, M. Chemometrics-based vibrational spectroscopy for Juglandis semen extracts investigation. J. Chemom. 2020, 34, 3234. [Google Scholar] [CrossRef]
- Dumitrescu, C.; Olteanu, R.L.; Bumbac, M.; Gorghiu, L.M. Antioxidant effect of some flavonoids on organic substrate. Rev. Chim. 2009, 60, 329–331. [Google Scholar]
- OIV—International Organization of Vine and Wine. Distribution of the World’s Grapevine Varieties. Available online: https://www.oiv.int/public/medias/5888/en-distribution-of-the-worlds-grapevine-varieties.pdf (accessed on 25 October 2023).
- European Comission. Wine. Available online: https://agriculture.ec.europa.eu/farming/crop-productions-and-plant-based-products/wine_en (accessed on 24 October 2023).
- Romania—Grape Production. Available online: https://tradingeconomics.com/romania/grape-production-eurostat-data.html (accessed on 25 October 2023).
- Rivera, O.M.P.; Leos, M.D.S.; Solis, V.E.; Domínguez, J.M. Recent trends on the valorization of winemaking industry wastes. Curr. Opin. Green Sustain. Chem. 2021, 27, 100415. [Google Scholar] [CrossRef]
- Zhou, D.D.; Li, J.; Xiong, R.G.; Saimaiti, A.; Huang, S.Y.; Wu, S.X.; Yang, Z.J.; Shang, A.; Zhao, C.N.; Gan, R.Y.; et al. Bioactive compounds, health benefits and food applications of grape. Foods 2022, 11, 2755. [Google Scholar] [CrossRef]
- Mahanta, D.; Bisht, J.K.; Kant, L. Concept and global scenario of organic farming. In Advances in Organic Farming; Woodhead Publishing: Sawston, UK, 2021; pp. 1–16. [Google Scholar]
- Willer, H.; Schlatter, B.; Trávníček, J.; Research Institute of Organic Agriculture FiBL, IFOAM—Organics International. The World of Organic Agriculture Statistics and Emerging Trends. 2023. Available online: http://www.organic-world.net/yearbook/yearbook-2023.html (accessed on 25 October 2023).
- Food and Agriculture Organization of the United Nations; World Trade Organization. Trade and Food Standards. 2017. Available online: https://www.wto.org/english/res_e/booksp_e/tradefoodfao17_e.pdf (accessed on 28 October 2023).
- Mylona, K.; Maragkoudakis, P.; Bock, A.-K.; Wollgast, J.; Caldeira, S.; Ulberth, F. Delivering on EU Food Safety and Nutrition in 2050—Future Challenges and Policy Preparedness; EUR27957 EN; Publications Office of the European Union: Luxembourg, 2016; ISBN 978-92-79-58916-4. [Google Scholar] [CrossRef]
- Sorrenti, V.; Burò, I.; Consoli, V.; Vanella, L. Recent advances in health benefits of bioactive compounds from food wastes and by-products: Biochemical aspects. Int. J. Mol. Sci. 2023, 24, 2019. [Google Scholar] [CrossRef] [PubMed]
- Tuárez-García, D.A.; Galván-Gámez, H.; Solórzano, C.Y.E.; Zambrano, C.E.; Rodríguez-Solana, R.; Pereira-Caro, G.; Sánchez-Parra, M.; Moreno-Rojas, J.M.; Ordóñez-Díaz, J.L. Effects of Different Heating Treatments on the Antioxidant Activity and Phenolic Compounds of Ecuadorian Red Dacca Banana. Plants 2023, 12, 2780. [Google Scholar] [CrossRef]
- Nacouzi, D.; Masry, R.; El Kayal, W. Quality and Phytochemical Composition of Sweet Cherry Cultivars Can Be Influenced by Altitude. Plants 2023, 12, 2254. [Google Scholar] [CrossRef]
- Sapkota, G.; Delgado, E.; VanLeeuwen, D.; Holguin, F.O.; Flores, N.; Yao, S. Preservation of phenols, antioxidant activity, and cyclic adenosine monophosphate in jujube (Ziziphus jujuba Mill.) fruits with different drying methods. Plants 2023, 12, 1804. [Google Scholar] [CrossRef]
- Wang, M.; Chen, T.; Wang, Q.; Shi, Y. Antioxidant, Bacteriostatic and Preservative Effects of Extractable Condensed Tannins Isolated from Longan Pericarps and Seeds. Plants 2023, 12, 512. [Google Scholar] [CrossRef] [PubMed]
- Altemimi, A.; Lakhssassi, N.; Baharlouei, A.; Watson, D.G.; Lightfoot, D.A. Phytochemicals: Extraction, isolation, and identification of bioactive compounds from plant extracts. Plants 2017, 6, 42. [Google Scholar] [CrossRef] [PubMed]
- Pizzorno, J.E.; Murray, M.T. Textbook of Natural Medicine-E-Book; Elsevier Health Sciences: Amsterdam, The Netherlands, 2020. [Google Scholar]
- Covaci, E.; Codrean, S.A. The bioactive compounds potential of grape waste. In Intelligent Valorisation of Agro-Food Industrial Wastes; European Union: Luxembourg, 2021; p. 11. [Google Scholar]
- Lipiński, K.; Mazur, M.; Antoszkiewicz, Z.; Purwin, C. Polyphenols in monogastric nutrition—A review. Ann. Anim. Sci. 2017, 17, 41–58. [Google Scholar] [CrossRef]
- Serra, V.; Salvatori, G.; Pastorelli, G. Dietary polyphenol supplementation in food producing animals: Effects on the quality of derived products. Animals 2021, 11, 401. [Google Scholar] [CrossRef] [PubMed]
- Costa, M.M.; Alfaia, C.M.; Lopes, P.A.; Pestana, J.M.; Prates, J.A.M. Grape by-products as feedstuff for pig and poultry production. Animals 2022, 12, 2239. [Google Scholar] [CrossRef] [PubMed]
- Bramley, R.; Ouzman, J.; Boss, P. Variation in vine vigour, grape yield and vineyard soils and topography as indicators of variation in the chemical composition of grapes, wine and wine sensory attributes. Aust. J. Grape Wine Res. 2011, 17, 217–229. [Google Scholar] [CrossRef]
- Perestrelo, R.; Silva, C.; Pereira, J.; Câmara, J.S. Healthy effects of bioactive metabolites from Vitis vinifera L. grapes: A review. In Grapes: Production, Phenolic Composition and Potential Biomedical Effects; Nova Science Publishers: Hauppauge, NY, USA, 2014; Volume 38. [Google Scholar]
- Alecu, G.C.; Olteanu, R.L.; Radulescu, C.; Stirbescu, R.M.; Necula, C.; Boboaca-Mihaescu, D.N. Characterization of red grapes skin extracts using vibrational spectroscopy and chemometrics. J. Sci. Arts 2020, 20, 475–490. [Google Scholar]
- Mateo, J.; Jiménez, M. Monoterpenes in grape juice and wines. J. Chromatogr. A 2000, 881, 557–567. [Google Scholar] [CrossRef]
- Ping, L.; Pizzi, A.; Guo, Z.D.; Brosse, N. Condensed tannins from grape pomace: Characterization by FTIR and MALDI TOF and production of environment friendly wood adhesive. Ind. Crops Prod. 2012, 40, 13–20. [Google Scholar] [CrossRef]
- Fiume, M.M.; Bergfeld, W.F.; Belsito, D.V.; Hill, R.A.; Klaassen, C.D.; Liebler, D.C.; Marks, J.G., Jr.; Shank, R.C.; Slaga, T.J.; Snyder, P.W.; et al. Safety assessment of Vitis vinifera (Grape)-derived ingredients as used in cosmetics. Int. J. Toxicol. 2014, 33 (Suppl. S3), 48S–83S. [Google Scholar] [CrossRef]
- Fontana, A.R.; Antoniolli, A.; Bottini, R. grape pomace as a sustainable source of bioactive compounds: Extraction, characterization, and biotechnological applications of phenolics. J. Agric. Food Chem. 2013, 61, 8987–9003. [Google Scholar] [CrossRef] [PubMed]
- Mokashi, A.A.; Bhatia, N.M. Bioactive Natural Products for Breast Cancer Chemoprevention and Treatment. Curr. Bioact. Compd. 2023, 19, 38–67. [Google Scholar] [CrossRef]
- Burcher, J.T.; DeLiberto, L.K.; Allen, A.M.; Kilpatrick, K.L.; Bishayee, A. Bioactive phytocompounds for oral cancer prevention and treatment: A comprehensive and critical evaluation. Med. Res. Rev. 2023, 43, 2025–2085. [Google Scholar] [CrossRef] [PubMed]
- Friedman, M. Antibacterial, antiviral, and antifungal properties of wines and winery byproducts in relation to their flavonoid content. J. Agric. Food Chem. 2014, 62, 6025–6042. [Google Scholar] [CrossRef] [PubMed]
- Ghavidel, F.; Hashemy, S.I.; Aliari, M.; Rajabian, A.; Tabrizi, M.H.; Atkin, S.L.; Jamialahmadi, T.; Hosseini, H.; Sahebkar, A. The Effects of Resveratrol Supplementation on the Metabolism of Lipids in Metabolic Disorders. Curr. Med. Chem. 2024, in press. [Google Scholar] [CrossRef]
- Heizer, R.T.; Dobromir, D.; Heizer, M.G. Case study: Romanian versus international grapevine varieties authorized in 2021 for pdo wines in west romania. Life Sci. Sustain. Dev. 2023, 4, 9–15. [Google Scholar]
- Crews, C.; Hough, P.; Godward, J.; Brereton, P.; Lees, M.; Guiet, S.; Winkelmann, W. Quantitation of the main constituents of some authentic grape-seed oils of different origin. J. Agric. Food Chem. 2006, 54, 6261–6265. [Google Scholar] [CrossRef]
- Maier, T.; Schieber, A.; Kammerer, D.R.; Carle, R. Residues of grape (Vitis vinifera L.) seed oil production as a valuable source of phenolic antioxidants. Food Chem. 2009, 112, 551–559. [Google Scholar] [CrossRef]
- Rombaut, N.; Savoire, R.; Thomasset, B.; Castello, J.; Van Hecke, E.; Lanoisellé, J.-L. Optimization of oil yield and oil total phenolic content during grape seed cold screw pressing. Ind. Crops Prod. 2015, 63, 26–33. [Google Scholar] [CrossRef]
- Guerra, B.; Steenwerth, K. Influence of floor management technique on grapevine growth, disease pressure, and juice and wine composition: A review. Am. J. Enol. Vitic. 2012, 63, 149–164. [Google Scholar] [CrossRef]
- Reynolds, A.G. Viticultural and vineyard management practices and their effects on grape and wine quality. In Managing Wine Quality; Woodhead Publishing: Sawston, UK, 2022; pp. 443–539. [Google Scholar]
- Aubert, C.; Chalot, G. Chemical composition, bioactive compounds, and volatiles of six table grape varieties (Vitis vinifera L.). Food Chem. 2018, 240, 524–533. [Google Scholar] [CrossRef] [PubMed]
- Zeb, A. Concept, mechanism, and applications of phenolic antioxidants in foods. J. Food Biochem. 2020, 44, e13394. [Google Scholar] [CrossRef]
- Zeb, A. Concept of Antioxidants in Foods. In Phenolic Antioxidants in Foods: Chemistry, Biochemistry and Analysis; Springer: Cham, Switzerland, 2021. [Google Scholar]
- Vo, G.T.; Liu, Z.; Chou, O.; Zhong, B.; Barrow, C.J.; Dunshea, F.R.; Suleria, H.A. Screening of phenolic compounds in australian grown grapes and their potential antioxidant activities. Food Biosci. 2022, 47, 101644. [Google Scholar] [CrossRef]
- Ozkan, K.; Karadag, A.; Sagdic, O. The effects of different drying methods on the in vitro bioaccessibility of phenolics, antioxidant capacity, minerals and morphology of black ‘Isabel’ grape. LWT 2022, 158, 113185. [Google Scholar] [CrossRef]
- Elejalde, E.; Villarán, M.C.; Lopez-De-Armentia, I.; Ramón, D.; Murillo, R.; Alonso, R.M. Study of unpicked grapes valorization: A natural source of polyphenolic compounds and evaluation of their antioxidant capacity. Resources 2022, 11, 33. [Google Scholar] [CrossRef]
- Teixeira, A.; Baenas, N.; Dominguez-Perles, R.; Barros, A.; Rosa, E.; Moreno, D.A.; Garcia-Viguera, C. Natural bioactive compounds from winery by-products as health promoters: A review. Int. J. Mol. Sci. 2014, 15, 15638–15678. [Google Scholar] [CrossRef]
- Rockenbach, I.I.; Gonzaga, L.V.; Rizelio, V.M.; Gonçalves, A.E.d.S.S.; Genovese, M.I.; Fett, R. Phenolic compounds and antioxidant activity of seed and skin extracts of red grape (Vitis vinifera and Vitis labrusca) pomace from Brazilian winemaking. Food Res. Int. 2011, 44, 897–901. [Google Scholar] [CrossRef]
- Fernández-Fernández, A.M.; Iriondo-DeHond, A.; Nardin, T.; Larcher, R.; Dellacassa, E.; Medrano-Fernandez, A.; del Castillo, M.D. In Vitro bioaccessibility of extractable compounds from tannat grape skin possessing health promoting properties with potential to reduce the risk of diabetes. Foods 2020, 9, 1575. [Google Scholar] [CrossRef]
- Ribeiro, L.F.; Ribani, R.H.; Francisco, T.M.G.; Soares, A.A.; Pontarolo, R.; Haminiuk, C.W.I. Profile of bioactive compounds from grape pomace (Vitis vinifera and Vitis labrusca) by spectrophotometric, chromatographic and spectral analyses. J. Chromatogr. B 2015, 1007, 72–80. [Google Scholar] [CrossRef]
- Doshi, P.; Adsule, P.; Banerjee, K.; Oulkar, D. Phenolic compounds, antioxidant activity and insulinotropic effect of extracts prepared from grape (Vitis vinifera L.) byproducts. J. Food Sci. Technol. 2015, 52, 181–190. [Google Scholar] [CrossRef]
- Spinei, M.; Oroian, M. The potential of grape pomace varieties as a dietary source of pectic substances. Foods 2021, 10, 867. [Google Scholar] [CrossRef] [PubMed]
- Yang, J.; Martinson, T.E.; Liu, R.H. Phytochemical profiles and antioxidant activities of wine grapes. Food Chem. 2009, 116, 332–339. [Google Scholar] [CrossRef]
- De Campos, L.M.; Leimann, F.V.; Pedrosa, R.C.; Ferreira, S.R. Free radical scavenging of grape pomace extracts from Cabernet sauvingnon (Vitis vinifera). Bioresour. Technol. 2008, 99, 8413–8420. [Google Scholar] [CrossRef] [PubMed]
- Karaman, S.; Karasu, S.; Tornuk, F.; Toker, O.S.; Geçgel, Ü.; Sagdic, O.; Ozcan, N.; Gül, O. Recovery potential of cold press byproducts obtained from the edible oil industry: Physicochemical, bioactive, and antimicrobial properties. J. Agric. Food Chem. 2015, 63, 2305–2313. [Google Scholar] [CrossRef] [PubMed]
- Pastrana-Bonilla, E.; Akoh, C.C.; Sellappan, S.; Krewer, G. Phenolic content and antioxidant capacity of muscadine grapes. J. Agric. Food Chem. 2003, 51, 5497–5503. [Google Scholar] [CrossRef] [PubMed]
- Tița, O.; Lengyel, E.; Stegăruș, D.I.; Săvescu, P.; Ciubara, A.B.; Constantinescu, M.A.; Tița, M.A.; Rață, D.; Ciubara, A. Identification and quantification of valuable compounds in red grape seeds. Appl. Sci. 2021, 11, 5124. [Google Scholar] [CrossRef]
- Xu, C.; Yagiz, Y.; Marshall, S.; Li, Z.; Simonne, A.; Lu, J.; Marshall, M.R. Application of muscadine grape (Vitis rotundifolia Michx.) pomace extract to reduce carcinogenic acrylamide. Food Chem. 2015, 182, 200–208. [Google Scholar] [CrossRef]
- Hanganu, A.; Todaşcă, M.C.; Chira, N.A.; Maganu, M.; Roşca, S. The compositional characterisation of Romanian grape seed oils using spectroscopic methods. Food Chem. 2012, 134, 2453–2458. [Google Scholar] [CrossRef]
- Maurer, L.H.; Cazarin, C.B.B.; Quatrin, A.; Minuzzi, N.M.; Costa, E.L.; Morari, J.; Velloso, L.A.; Leal, R.F.; Rodrigues, E.; Bochi, V.C.; et al. Grape peel powder promotes intestinal barrier homeostasis in acute TNBS-colitis: A major role for dietary fiber and fiber-bound polyphenols. Food Res. Int. 2019, 123, 425–439. [Google Scholar] [CrossRef]
- Giacco, R.; Costabile, G.; Fatati, G.; Frittitta, L.; Maiorino, M.I.; Marelli, G.; Parillo, M.; Pistis, D.; Tubili, C.; Vetrani, C.; et al. Effects of polyphenols on cardio-metabolic risk factors and risk of type 2 diabetes. A joint position statement of the Diabetes and Nutrition Study Group of the Italian Society of Diabetology (SID), the Italian Association of Dietetics and Clinical Nutrition (ADI) and the Italian Association of Medical Diabetologists (AMD). Nutr. Metab. Cardiovasc. Dis. 2020, 30, 355–367. [Google Scholar]
- Bouriche, H.; Kada, S.; Senator, A.; Demirtas, I.; Ozen, T.; Toptanci, B.; Kizil, G.; Kizil, M. Phenolic content and biomolecule oxidation protective activity of Globularia alypum extracts. Braz. Arch. Biol. Technol. 2017, 60, e17160409. [Google Scholar] [CrossRef]
- Santana, Á.L.; Macedo, G.A. Challenges on the processing of plant-based neuronutraceuticals and functional foods with emerging technologies: Extraction, encapsulation and therapeutic applications. Trends Food Sci. Technol. 2019, 91, 518–529. [Google Scholar] [CrossRef]
- García-Lomillo, J.; González-SanJosé, M.L. Applications of wine pomace in the food industry: Approaches and functions. Compr. Rev. Food Sci. Food Saf. 2017, 16, 3–22. [Google Scholar] [CrossRef] [PubMed]
- Ibourki, M.; Bouzid, H.A.; Bijla, L.; Aissa, R.; Sakar, E.H.; Ainane, T.; Gharby, S.; Hammadi, A.E. Physical fruit traits, proximate composition, fatty acid and elemental profiling of almond [Prunus dulcis Mill. DA Webb] kernels from ten genotypes grown in southern Morocco. Oilseeds Fats Crops Lipids 2023, 29, 1–13. [Google Scholar] [CrossRef]
- Bouzid, H.A.; Sakar, E.H.; Bijla, L.; Ibourki, M.; Zeroual, A.; Gagour, J.; Koubachi, J.; Majourhat, K.; Gharby, S. Physical Fruit Traits, Proximate Composition, Antioxidant Activity, and Profiling of Fatty Acids and Minerals of Wild Jujube (Ziziphus lotus L. (Desf.)) Fruits from Eleven Moroccan Origins. J. Food Qual. 2022, 2022, 9362366. [Google Scholar] [CrossRef]
- Ainsworth, E.A.; Gillespie, K.M. Estimation of total phenolic content and other oxidation substrates in plant tissues using Folin–Ciocalteu reagent. Nat. Protoc. 2007, 2, 875–877. [Google Scholar] [CrossRef]
- Shraim, A.M.; Ahmed, T.A.; Rahman, M.; Hijji, Y.M. Determination of total flavonoid content by aluminum chloride assay: A critical evaluation. LWT 2021, 150, 111932. [Google Scholar] [CrossRef]
- Prieto, P.; Pineda, M.; Aguilar, M. Spectrophotometric quantitation of antioxidant capacity through the formation of a phosphomolybdenum complex: Specific application to the determination of vitamin E. Anal. Biochem. 1999, 269, 337–341. [Google Scholar] [CrossRef]
- Nicolescu, C.M.; Bumbac, M.; Radulescu, C.; Buruleanu, L.C.; Olteanu, R.L.; Gorghiu, L.M.; Teodorescu, G.; Holban, C.G. Romanian organic and conventional red grapes vineyards as potential sources of high value-added products, in a circular economy approach. In Grapes and Wine; IntechOpen: London, UK, 2022; Volume 107. [Google Scholar]















| Pairs | p-Values |
|---|---|
| M_C_Sk–M_O_Sk | 0.590 |
| M_C_Sd–M_O_Sd | 0.127 |
| M_C_P–M_O_P | 0.309 |
| FN_C_Sk–FN_O_Sk | 0.186 |
| FN_C_Sd–FN_O_Sd | 0.086 |
| FN_C_P–FN_O_P | 0.144 |
| PN_C_Sk–PN_O_Sk | 0.324 |
| PN_C_Sd–PN_O_Sd | 0.102 |
| PN_C_P–PN_O_P | 0.313 |
| MH_C_Sk–MH_O_Sk | 0.356 |
| MH_C_Sd–MH_O_Sd | 0.085 |
| MH_C_P–MH_O_P | 0.282 |
| Vineyard | Grape Variety | Anatomical Part | |
|---|---|---|---|
| Antioxidant activity | 0.441 | 0.948 | 0.000 |
| Total phenolic content | 0.131 | 0.837 | 0.000 |
| Total flavonoid content | 0.379 | 0.917 | 0.000 |
| Association | Pearson Coefficient/Type of Association | Type of Association | Level of Significance |
|---|---|---|---|
| Antioxidant activity * Total phenolics | 0.916/strong | direct proportional | p = 0.01 |
| Antioxidant activity * Total flavonoids | 0.867/strong | direct proportional | p = 0.01 |
| Total phenolics * Total flavonoids | 0.888/strong | direct proportional | p = 0.01 |
| Association | Spearman’s Coefficient | Type of Association | Level of Significance |
|---|---|---|---|
| Antioxidant activity * Anatomical part of grapes | 0.457 | indirect | p = 0.05 |
| Total phenolics * Anatomical part of grapes | 0.509 | indirect | p = 0.05 |
| Total flavonoids * Anatomical part of grapes | 0.472 | indirect | p = 0.05 |
| Factor | Eigenvalue | Cumulative Variance (%) | Antioxidant Activity | Phenolics | Flavonoids | Grape Varieties | Vineyard Type | Anatomical Part |
|---|---|---|---|---|---|---|---|---|
| Factor 1 | 2.91 | 48.45 | 0.937 | 0.980 | 0.940 | −0.071 | 0.359 | −0.229 |
| Factor 2 | 1.01 | 65.32 | 0.078 | −0.058 | −0.062 | 0.000 | 0.499 | 0.866 |
| Factor 3 | 1.00 | 82.16 | −0.094 | −0.045 | 0.044 | 0.970 | 0.208 | −0.118 |
Disclaimer/Publisher’s Note: The statements, opinions and data contained in all publications are solely those of the individual author(s) and contributor(s) and not of MDPI and/or the editor(s). MDPI and/or the editor(s) disclaim responsibility for any injury to people or property resulting from any ideas, methods, instructions or products referred to in the content. |
© 2023 by the authors. Licensee MDPI, Basel, Switzerland. This article is an open access article distributed under the terms and conditions of the Creative Commons Attribution (CC BY) license (https://creativecommons.org/licenses/by/4.0/).
Share and Cite
Nicolescu, C.M.; Bumbac, M.; Radulescu, C.; Buruleanu, C.L.; Olteanu, R.L.; Stanescu, S.G.; Gorghiu, L.M.; Serban, B.C.; Buiu, O. Phytochemical Statistical Mapping of Red Grape Varieties Cultivated in Romanian Organic and Conventional Vineyards. Plants 2023, 12, 4179. https://doi.org/10.3390/plants12244179
Nicolescu CM, Bumbac M, Radulescu C, Buruleanu CL, Olteanu RL, Stanescu SG, Gorghiu LM, Serban BC, Buiu O. Phytochemical Statistical Mapping of Red Grape Varieties Cultivated in Romanian Organic and Conventional Vineyards. Plants. 2023; 12(24):4179. https://doi.org/10.3390/plants12244179
Chicago/Turabian StyleNicolescu, Cristina Mihaela, Marius Bumbac, Cristiana Radulescu, Claudia Lavinia Buruleanu, Radu Lucian Olteanu, Sorina Geanina Stanescu, Laura Monica Gorghiu, Bogdan Catalin Serban, and Octavian Buiu. 2023. "Phytochemical Statistical Mapping of Red Grape Varieties Cultivated in Romanian Organic and Conventional Vineyards" Plants 12, no. 24: 4179. https://doi.org/10.3390/plants12244179
APA StyleNicolescu, C. M., Bumbac, M., Radulescu, C., Buruleanu, C. L., Olteanu, R. L., Stanescu, S. G., Gorghiu, L. M., Serban, B. C., & Buiu, O. (2023). Phytochemical Statistical Mapping of Red Grape Varieties Cultivated in Romanian Organic and Conventional Vineyards. Plants, 12(24), 4179. https://doi.org/10.3390/plants12244179





