Species Delimitation in a Polyploid Group of Iberian Jasione (Campanulaceae) Unveils Coherence between Cryptic Speciation and Biogeographical Regionalization
Abstract
1. Introduction
2. Results
2.1. Species Delimitation with ASAP
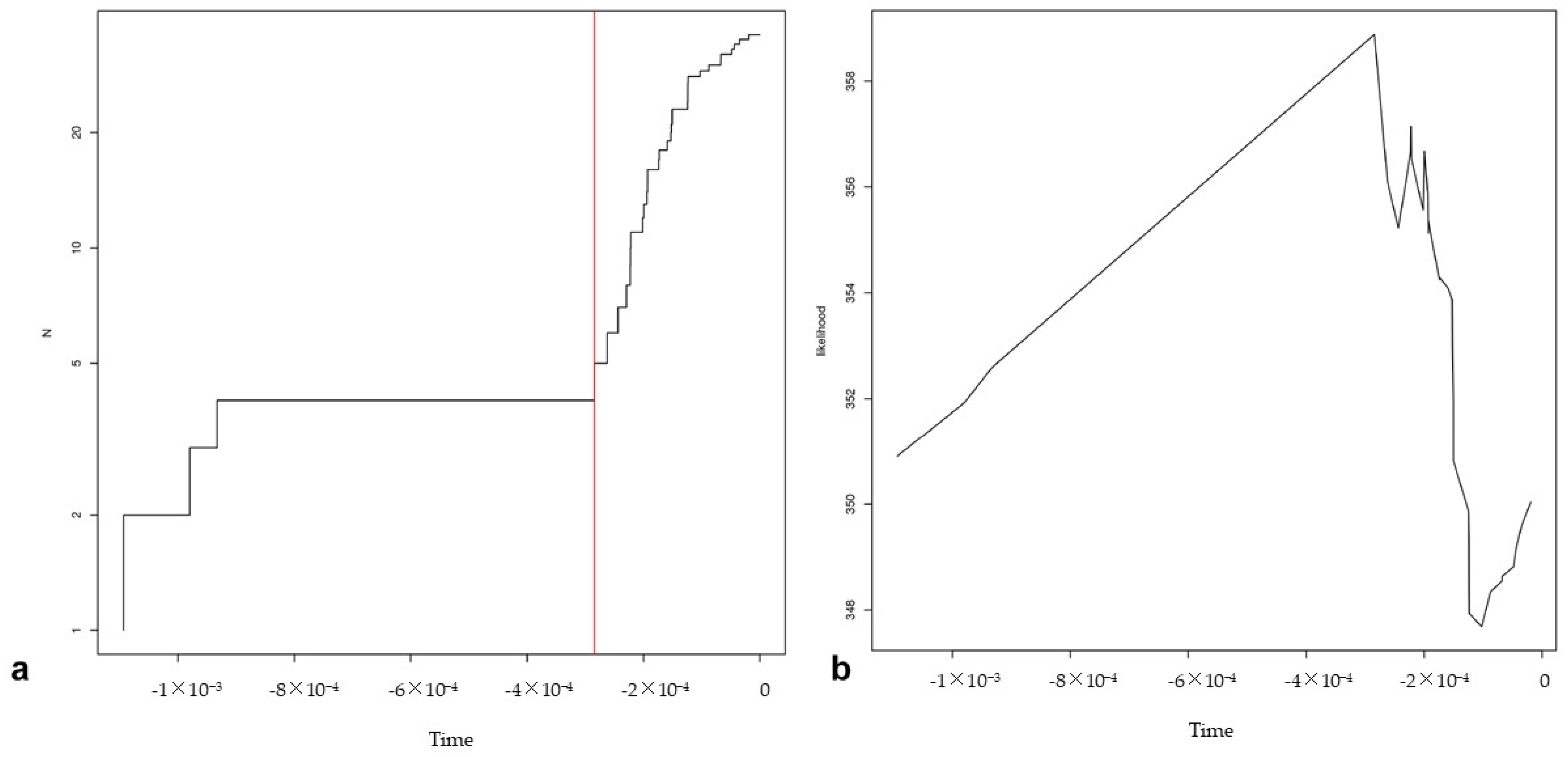
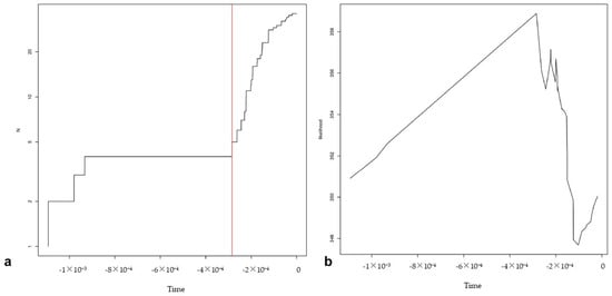
2.2. Species Delimitation with GMYC
2.3. Other Lines of Evidence: Ploidy Variation and Morphology
2.4. Consistency between Biogeographical Regionalization and Distributions of the Inferred Evolutionary Significant Units
3. Discussion
4. Materials and Methods
4.1. Plant Material
4.2. DNA Sequences and Phylogenetic Analysis
4.3. Ploidy Level Assessment
4.4. Species Delimitation with ASAP
4.5. Species Delimitation with GMYC
4.6. Other Lines of Evidence: Morphology
4.7. Biogeographical Regionalization a Species Delimitation
5. Conclusions
Supplementary Materials
Author Contributions
Funding
Data Availability Statement
Acknowledgments
Conflicts of Interest
References
- Hallmann, C.A.; Sorg, M.; Jongejans, E.; Siepel, H.; Hofland, N.; Schwan, H.; Stenmans, W.; Müller, A.; Sumser, H.; Hörren, T.; et al. More than 75 percent decline over 27 years in total flying insect biomass in protected areas. PLoS ONE 2017, 12, e0185809. [Google Scholar] [CrossRef]
- Richardson, D.M.; Whittaker, R.J. Conservation biogeography—Foundations, concepts and challenges. Divers. Distrib. 2010, 16, 313–320. [Google Scholar] [CrossRef]
- Barraclough, T.G. The Evolutionary Biology of Species; Oxford University Press: Oxford, UK, 2019. [Google Scholar]
- Bickford, D.; Lohman, D.J.; Sodhi, N.S.; Ng, P.K.L.; Meier, R.; Winker, K.; Ingram, K.K.; Das, I. Cryptic species as a window on diversity and conservation. Trends Ecol. Evol. 2007, 22, 148–155. [Google Scholar] [CrossRef]
- Fišer, C.; Robinson, C.T.; Malard, F. Cryptic species as a window into the paradigm shift of the species concept. Mol. Ecol. 2018, 27, 613–635. [Google Scholar] [CrossRef]
- Peterson, A.T.; Soberón, J.; Sánchez-Cordero, V. Conservatism of ecological niches in evolutionary time. Science 1999, 285, 1265–1267. [Google Scholar] [CrossRef]
- Wiens, J.J.; Graham, C.H. Niche conservatism: Integrating evolution, ecology, and conservation biology. Annu. Rev. Ecol. Evol. Syst. 2005, 36, 519–539. [Google Scholar] [CrossRef]
- Theodoridis, S.; Nogués-Bravo, D.; Conti, E. The role of cryptic diversity and its environmental correlates in global conservation status assessments: Insights from the threatened bird’s-eye primrose (Primula farinose L.). Divers. Distrib. 2019, 25, 1457–1471. [Google Scholar] [CrossRef]
- Prada, C.; Hellberg, M.E. Long prereproductive selection and divergence by depth in a Caribbean candelabrum coral. Proc. Natl. Acad. Sci. USA 2013, 110, 3961–3966. [Google Scholar] [CrossRef] [PubMed]
- Michonneau, F. Cryptic and not-so-cryptic species in the complex “Holothuria (Thymiosycia) imaptiens” (Forsskål, 1775) (Echinodermata: Holothuroidea: Holothuriidae). bioRxiv 2015. [Google Scholar] [CrossRef]
- Moritz, C. Defining ‘Evolutionarily Significant Units’ for conservation. Trends Ecol. Evol. 1994, 9, 373–375. [Google Scholar] [CrossRef] [PubMed]
- Hutchinson, G.E. Concluding Remarks. Cold Spring Harb. Symp. Quant. Biol. 1957, 22, 415–427. [Google Scholar] [CrossRef]
- Tingley, R.; Vallinoto, M.; Sequeira, F.; Kearney, M.R. Realized niche shift during a global biological invasion. Proc. Natl. Acad. Sci. USA 2014, 111, 10233–10238. [Google Scholar] [CrossRef]
- Ebach, M.C.; Parenti, L.R. The dichotomy of the modern bioregionalization revival. J. Biogeogr. 2015, 42, 1801–1808. [Google Scholar] [CrossRef]
- Ferrari, A. Biogeographical units matter. Aust. Syst. Bot. 2018, 30, 391–402. [Google Scholar] [CrossRef]
- Morrone, J.J. The spectre of biogeographical regionalization. J. Biogeogr. 2018, 45, 282–288. [Google Scholar] [CrossRef]
- Rivas-Martínez, S.; Penas, Á.; Díaz González, T.E.; Cantó, P.; del Río, S.; Costa, J.C.; Herrero, L.; Molero, J. Biogeographic units of the Iberian Peninsula and Balearic Islands to district level. A concise synopsis. In The Vegetation of the Iberian Peninsula; Loidi, J., Ed.; Plant and Vegetation; Springer International Publishing: Cham, Switzerland, 2017; Volume 1, pp. 131–188. [Google Scholar]
- Hufford, K.M.; Mazer, S.J. Plant ecotypes: Genetic differentiation in the age of ecological restoration. Trends Ecol. Evol. 2003, 18, 147–155. [Google Scholar] [CrossRef]
- Skúlason, S.; Smith, T.B. Resource polymorphisms in vertebrates. Trends Ecol. Evol. 1995, 10, 366–370. [Google Scholar] [CrossRef] [PubMed]
- Harrison, R.G.; Larson, E.L. Hybridization, introgression, and the nature of species boundaries. J. Hered. 2014, 105, 795–809. [Google Scholar] [CrossRef] [PubMed]
- Jorna, J.; Linde, J.; Searle, P.; Jackson, A.; Nielsen, M.; Nate, M.; Saxton, N.; Grewe, F.; de los Angeles Herrera-Campos, M.; Spjut, R.; et al. Species boundaries in the messy middle—Testing the hypothesis of micro-endemism in a recently diverged lineage of coastal fog desert lichen fungi. Authorea Prepr. 2021. [Google Scholar] [CrossRef]
- Carstens, B.C.; Pelletier, T.A.; Reid, N.M.; Satler, J.D. How to fail at species delimitation. Mol. Ecol. 2013, 22, 4369–4383. [Google Scholar] [CrossRef]
- Hillis, D.M. Species delimitation in herpetology. J. Herpetol. 2019, 53, 3–12. [Google Scholar] [CrossRef] [PubMed]
- Burbrink, F.T.; Ruane, S. Contemporary philosophy and methods for studying speciation and delimiting species. Ichthyol. Herpetol. 2021, 109, 874–894. [Google Scholar] [CrossRef]
- Hörandl, E. Novel approaches for species concepts and delimitation in polyploids and hybrids. Plants 2022, 11, 204. [Google Scholar] [CrossRef] [PubMed]
- Hillis, D.M.; Chambers, E.A.; Devitt, T.J. Contemporary methods and evidence for species delimitation. Ichthyol. Herpetol. 2021, 109, 895–903. [Google Scholar] [CrossRef]
- Stojanov, N. Über den Formenkreis von Jasione supina (Sieb.) DC. Notizbl. Bot. Gart. Berlin-Dahlem 1926, 9, 545–560. [Google Scholar] [CrossRef]
- Kovanda, M. Cytotaxonomic studies in the genus Jasione L. I. Jasione montana L. Folia Geobot. Phytotax. 1968, 3, 193–199. [Google Scholar] [CrossRef]
- Sales, F.; Hedge, I.C. Jasione L. In Flora Iberica: Plantas vasculares de la Península Ibérica e Islas Baleares; Paiva, J., Sales, F., Hedge, I.C., Aedo, C., Aldasoro, J.J., Castroviejo, S., Herrero, A., Velayos, M., Eds.; Real Jardín Botánico: Madrid, Spain, 2001; Volume 14, pp. 153–170. [Google Scholar]
- Pérez Chiscano, J.L. Las subespecies de Jasione crispa (Pourret) Samp. (Campanulaceae) en la provincia corológica Luso-Extremadurense. Stud. Bot. 1987, 6, 53–66. [Google Scholar]
- Sales, F.; Hedge, I.C. Notulae taxonomicae, chorologicae, nomenclaturales, bibliographicae aut philologicae in opus “Flora Iberica” intendentes. An. Jard. Bot. Madr. 2001, 59, 163–172. [Google Scholar]
- Puillandre, N.; Brouillet, S.; Achaz, G. ASAP: Assemble species by automatic partitioning. Mol. Ecol. Resour. 2021, 21, 609–620. [Google Scholar] [CrossRef]
- Magoga, G.; Fontaneto, D.; Montagna, M. Factors affecting the efficiency of molecular species delimitation in a species-rich insect family. Mol. Ecol. Resour. 2021, 21, 1475–1489. [Google Scholar] [CrossRef]
- Bokhari, M.H.; Sales, F. Jasione anatomy in the Iberian Peninsula and its taxonomic significance. Edinb. J. Bot. 2001, 58, 405–422. [Google Scholar] [CrossRef]
- Vila-Vicosa, C.; Gonçalves, J.; Honrado, J.; Lomba, Â.; Almeida, R.S.; Vázquez, F.M.; Garcia, C. Late Quaternary range shifts of marcescent oaks unveil the dynamics of a major biogeographic transition in southern Europe. Sci. Rep. 2020, 10, 21598. [Google Scholar] [CrossRef]
- Rivas-Martínez, S.; Penas, Á.; del Río, S.; Díaz González, T.E.; Rivas-Sáenz, S. Bioclimatology of the Iberian Peninsula and the Balearic Islands. In The Vegetation of the Iberian Peninsula; Loidi, J., Ed.; Plant and Vegetation; Springer International Publishing: Cham, Switzerland, 2017; Volume 1, pp. 29–80. [Google Scholar]
- Amigo, J.; Rodríguez-Guitián, M.A.; Pradinho Honrado, J.J.; Alves, P. The lowlands and midlands of northwestern Atlantic Iberia. In The vegetation of the Iberian Peninsula; Loidi, J., Ed.; Springer: Cham, Switzerland, 2017; pp. 191–250. [Google Scholar]
- Olivares, I.; Tusso, S.; Sanín, M.J.; Kessler, M.; Shimizu, K.K. Hyper-cryptic radiation of a tropical montane plant lineage. Mol. Phylogenet. Evol. 2023, 190, 107954. [Google Scholar] [CrossRef]
- Struck, T.H.; Feder, J.L.; Bendiksby, M.; Birkeland, S.; Cerca, J.; Gusarov, V.I.; Kistenich, S.; Larsson, K.H.; Liow, L.H.; Nowak, M.D.; et al. Finding evolutionary processes hidden in cryptic species. Trends Ecol. Evol. 2018, 33, 153–163. [Google Scholar] [CrossRef]
- Mateo Sanz, G.; Crespo, M.B. Novedades taxonómicas y nomenclaturales para la flora valenciana. Flora Montiberica 2008, 40, 60–70. [Google Scholar]
- Levin, D.A. Minority cytotype exclusion in local plant populations. Taxon 1975, 24, 35–43. [Google Scholar] [CrossRef]
- Husband, B.C. Constraints on polyploid evolution: A test of the minority cytotype exclusion principle. Proc. R. Soc. Lond. B Biol. Sci. 2000, 267, 217–223. [Google Scholar] [CrossRef]
- Castro, M.; Loureiro, J.; Serrano, M.; Tavares, D.; Husband, B.C.; Siopa, C.; Castro, S. Mosaic distribution of cytotypes in a mixed-ploidy plant species, Jasione montana: Nested environmental niches but low geographical overlap. Bot. J. Linn. Soc. 2019, 190, 51–66. [Google Scholar] [CrossRef]
- Castro, M.; Loureiro, J.; Figueiredo, A.; Serrano, M.; Husband, B.C.; Castro, S. Different patterns of ecological divergence between two tetraploids and their diploid counterpart in a parapatric linear coastal distribution polyploid complex. Front. Plant Sci. 2020, 11, 315. [Google Scholar] [CrossRef] [PubMed]
- Rešetnik, I.; Frajman, B.; Bogdanović, S.; Ehrendorfer, F.; Schönswetter, P. Disentangling relationships among the diploid members of the intricate genus Knautia (Caprifoliaceae, Dipsacoideae). Mol. Phylogenet. Evol. 2014, 74, 97–110. [Google Scholar] [CrossRef] [PubMed]
- Frajman, B.; Rešetnik, I.; Niketić, M.; Ehrendorfer, F.; Schönswetter, P. Patterns of rapiddiversification in heteroploid Knautia sect. Trichera (Caprifoliaceae, Dipsacoideae), one of the mostintricate taxa of the European flora. BMC Evol. Biol. 2016, 16, 204. [Google Scholar]
- Hadly, E.A.; Spaeth, P.A.; Li, C. Niche conservatism above the species level. Proc. Natl. Acad. Sci. USA 2009, 106, 19707–19714. [Google Scholar] [CrossRef]
- Wheeler, D. Factors governing sunshine in south-west Iberia: A review of Western Europe’s sunniest region. Weather 2001, 56, 189–197. [Google Scholar] [CrossRef]
- Vila-Viçosa, C. Natural History, Biogeography and Evolution of the Iberian White Oak Syngameon (Quercus L. sect. Quercus). Ph.D. Thesis, University of Porto, Porto, Portugal, 2023. [Google Scholar]
- Vieira, M.; Zetter, R.; Grímsson, F.; Denk, T. Niche evolution versus niche conservatism and habitat loss determine persistence and extirpation in late Neogene European Fagaceae. Quat. Sci. Rev. 2023, 300, 107896. [Google Scholar] [CrossRef]
- Nieto-Feliner, G. Patterns and processes in plant phylogeography in the Mediterranean Basin. A review. Perspect. Plant Ecol. Evol. Syst. 2014, 16, 265–278. [Google Scholar] [CrossRef]
- Doyle, J.J.; Doyle, J.L. Isolation of plant DNA from fresh tissue. Focus 1990, 12, 13–15. [Google Scholar]
- Shaw, J.; Lickey, E.B. Comparison of whole chloroplast genome sequences to choose noncoding regions for phylogenetic studies in angiosperms: The tortoise and the hare III. Am. J. Bot. 2007, 94, 275–288. [Google Scholar] [CrossRef] [PubMed]
- Cosner, M.E.; Raubeson, L.A.; Jansen, R.K. Chloroplast DNA rearrangements in Campanulaceae: Phylogenetic utility of highly rearranged genomes. BMC Evol. Biol. 2004, 4, 27. [Google Scholar] [CrossRef] [PubMed]
- Kallersjo, M.; Bergqvist, G.; Anderberg, A.A. Generic realignment in primuloid families of the Ericales s.l.: A phylogenetic analysis based on DNA sequences from three chloroplast genes and morphology. Am. J. Bot. 2000, 87, 1325–1341. [Google Scholar] [CrossRef] [PubMed]
- Taberlet, P.; Gielly, L.; Pautou, G.; Bouvet, J. Universal primers for amplification of three non-coding regions of chloroplast DNA. Plant Mol. Biol. 1991, 17, 1105–1109. [Google Scholar] [CrossRef]
- Sang, T.; Crawford, D.J.; Stuessy, T.F. Chloroplast DNA phylogeny, reticulate evolution, and biogeography of Paeonia (Paeoniaceae). Am. J. Bot. 1997, 84, 1120–1136. [Google Scholar] [CrossRef]
- Norman, P.E.; Tongoona, P.; Shanahan, P.E. Diversity in chromosome number and raphide morphology of yam (Dioscorea spp.) genotypes from Sierra Leone. Afr. J. Plant Sci. 2012, 6, 157–160. [Google Scholar]
- Fujisawa, T.; Barraclough, T.G. Delimiting species using single-locus data and the Generalized Mixed Yule Coalescent approach: A revised method and evaluation on simulated data sets. Syst. Biol. 2013, 62, 707–724. [Google Scholar] [CrossRef] [PubMed]
- Jukes, T.H.; Cantor, C.R. Evolution of Protein Molecules. In Mammalian Protein Metabolism; Munro, H.N., Ed.; Academic Press: New York, NY, USA, 1969; pp. 21–132. [Google Scholar]
- Kimura, M. A simple method for estimating evolutionary rates of base substitutions through comparative studies of nucleotide sequences. J. Mol. Evol. 1980, 16, 111–120. [Google Scholar] [CrossRef] [PubMed]
- Pons, J.; Barraclough, T.G.; Gomez-Zurita, J.; Cardoso, A.; Duran, D.P.; Hazell, S.; Kamoun, S.; Sumlin, W.D.; Vogler, A.P. Sequencebased species delimitation for the DNA taxonomy of undescribed insects. Syst. Biol. 2006, 55, 595–609. [Google Scholar] [CrossRef] [PubMed]
- Monaghan, M.T.; Wild, R.; Elliot, M.; Fujisawa, T.; Balke, M.; Inward, D.J.G.; Lees, D.C.; Ranaivosolo, R.; Eggleton, P.; Barraclough, T.G.; et al. Accelerated species inventory on Madagascar using coalescent-based models of species delineation. Syst. Biol. 2009, 58, 298–311. [Google Scholar] [CrossRef] [PubMed]
- Kekkonen, M.; Hebert, P.D.N. DNA barcode-based delineation of putative species: Efficient start for taxonomic workflows. Mol. Ecol. Resour. 2014, 14, 706–715. [Google Scholar] [CrossRef]
- Bergsten, J.; Bilton, D.T.; Fujisawa, T.; Elliot, M.; Monaghan, M.T.; Balke, M.; Hendrich, L.; Geijer, J.; Herrmann, J.; Foster, G.N.; et al. The effect of geographical scale of sampling on DNA barcoding. Syst. Biol. 2012, 61, 851–869. [Google Scholar] [CrossRef] [PubMed]
- Papadopoulou, A.; Bergsten, J.; Fujisawa, T.; Monaghan, M.T.; Barraclough, T.G.; Vogler, A.P. Speciation and DNA barcodes: Testing the effects of dispersal on the formation of discrete sequence clusters. Philos. Trans. R. Soc. Lond. B Biol. Sci. 2008, 363, 2987–2996. [Google Scholar] [CrossRef][Green Version]
- Lohse, K. Can mtDNA barcodes be used to delimit species? A response to Pons et al. (2006). Syst. Biol. 2009, 58, 439–442. [Google Scholar] [CrossRef]
- Talavera, G.; Dincă, V.E.; Vila, R. Factors affecting species delimitations with the GMYC model: Insights from a butterfly survey. Methods Ecol. Evol. 2013, 4, 1101–1110. [Google Scholar] [CrossRef]
- Jia, F.; Lo, N.; Ho, S.Y.W. The impact of modelling rate heterogeneity among sites on phylogenetic estimates of intraspecific evolutionary rates and timescales. PLoS ONE 2014, 9, e95722. [Google Scholar] [CrossRef]
- Yule, G. A mathematical theory of evolution, based on the conclusions of Dr. JC Willis, FRS. Philos. Trans. R. Soc. Lond. B Biol. Sci. Contain. Pap. A Biol. Character 1925, 213, 21–87. [Google Scholar]
- Griffiths, R.C.; Tavaré, S. Sampling theory for neutral alleles in a varying environment. Philos. Trans. R. Soc. Lond. B Biol. Sci. 1994, 344, 403–410. [Google Scholar] [PubMed]
- Ezard, T.; Fujisawa, T.; Barraclough, T.G. SPLITS: Species’ Limits by Threshold Statistics, R Package Version 1.0-18/r45; 2009. Available online: http://R-Forge.R-project.org/projects/splits (accessed on 12 December 2023).
- Tison, J.-M.; de Foucault, B. Flora Gallica: Flore de France; Biotope: Mèze, France, 2014. [Google Scholar]
- Gu, Z.; Eils, R.; Schlesner, M. Complex heatmaps reveal patterns and correlations in multidimensional genomic data. Bioinformatics 2016, 32, 2847–2849. [Google Scholar] [CrossRef] [PubMed]
- Karger, D.N.; Conrad, O.; Böhner, J.; Kawohl, T.; Kreft, H.; Soria-Auza, R.W.; Zimmermann, N.E.; Linder, H.P.; Kessler, M. Climatologies at high resolution for the earth’s land surface areas. Sci. Data 2017, 4, 170122. [Google Scholar] [CrossRef] [PubMed]









| Species Number | Substitution Model | asap-Score | p-Value | W Rank | Threshold Dist. |
|---|---|---|---|---|---|
| 4 * | JC69 | 2.0 | 7.23 × 10−1 | 4.69 × 10−5 | 0.000681 |
| K80 | 2.0 | 6.89 × 10−1 | |||
| p-distances | 2.5 | 6.07 × 10−1 | |||
| 6 | JC69 | 2.0 | 7.37 × 10−1 | 6.48 × 10−5 | 0.000454 |
| K80 | 2.0 | 7.09 × 10−1 | |||
| p-distances | 2.0 | 7.47 × 10−1 |
| Species Number | Substitution Model | asap-Score | p-Value | W Rank | Threshold Dist. |
|---|---|---|---|---|---|
| 4 * | JC69 | 2.00 | 5.45 × 10−1 | 6.21 × 10−6 | 0.000681 |
| K80 | 2.00 | 5.31 × 10−1 | |||
| p-distances | 2.00 | 5.37 × 10−1 | |||
| 6 | JC69 | 2.00 | 6.37 × 10−1 | 1.02 × 10−5 | 0.000454 |
| K80 | 2.00 | 6.87 × 10−1 | |||
| p-distances | 2.00 | 6.51 × 10−1 |
| Dataset Type | Haplotypes | Populations | ||
|---|---|---|---|---|
| Priors | Yule, constant clock | Yule, relaxed clock | Coalescent constant clock | Coalescent constant clock |
| Species number | 4 | 2 | 4 | 4 |
| LRT result | 0.8815751 n.s. | 0.9209454 n.s. | 0.1572022 n.s. | 0.0003451632 *** |
| ML entities, confidence interval | 1–13 | 1–13 | 1–7 | 4–9 |
| GMYC support (1) | 0.44 | 0.24 | 0.60 | 0.86 |
| DNA Region | Primer Name | Sequence | Reference |
|---|---|---|---|
| ndhF | 5bF | 5′ GGAGCTACTTTAGCTCTTG 3′ | [55] |
| 10bR | 5′ CCTACTCCATTTGGAATTCCATC 3′ | ||
| trnL-trnF | E | 5′ GGTTCAAGTCCCTCTATCCC 3′ | [56] |
| F | 5′ ATTTGAACTGGTGACACGAG 3′ | ||
| trnH-psbA | psbA-F | 5′ GTTATGCATGAACGTAATGCTC 3′ | [57] |
| trnH-R | 5′ CGCGCATGGTGGATTCACAAATC 3′ | ||
| trnT(UGU)-trnQ | trnQ-novo | 5′ GCGTAGCCAAGYGGTAAGGC 3′ | Designed here |
| Jasi-trnQ-R | 5′ TTTGGTCCCGGAAGTCGAAG 3′ |
Disclaimer/Publisher’s Note: The statements, opinions and data contained in all publications are solely those of the individual author(s) and contributor(s) and not of MDPI and/or the editor(s). MDPI and/or the editor(s) disclaim responsibility for any injury to people or property resulting from any ideas, methods, instructions or products referred to in the content. |
© 2023 by the authors. Licensee MDPI, Basel, Switzerland. This article is an open access article distributed under the terms and conditions of the Creative Commons Attribution (CC BY) license (https://creativecommons.org/licenses/by/4.0/).
Share and Cite
Serrano, M.; Ortiz, S. Species Delimitation in a Polyploid Group of Iberian Jasione (Campanulaceae) Unveils Coherence between Cryptic Speciation and Biogeographical Regionalization. Plants 2023, 12, 4176. https://doi.org/10.3390/plants12244176
Serrano M, Ortiz S. Species Delimitation in a Polyploid Group of Iberian Jasione (Campanulaceae) Unveils Coherence between Cryptic Speciation and Biogeographical Regionalization. Plants. 2023; 12(24):4176. https://doi.org/10.3390/plants12244176
Chicago/Turabian StyleSerrano, Miguel, and Santiago Ortiz. 2023. "Species Delimitation in a Polyploid Group of Iberian Jasione (Campanulaceae) Unveils Coherence between Cryptic Speciation and Biogeographical Regionalization" Plants 12, no. 24: 4176. https://doi.org/10.3390/plants12244176
APA StyleSerrano, M., & Ortiz, S. (2023). Species Delimitation in a Polyploid Group of Iberian Jasione (Campanulaceae) Unveils Coherence between Cryptic Speciation and Biogeographical Regionalization. Plants, 12(24), 4176. https://doi.org/10.3390/plants12244176

