Rootstock and Crop Load Effects on ‘Honeycrisp’ Photosynthetic Performance and Carbohydrate Accumulation
Abstract
:1. Introduction
2. Results
2.1. Photosynthesis and Chlorophyll Content
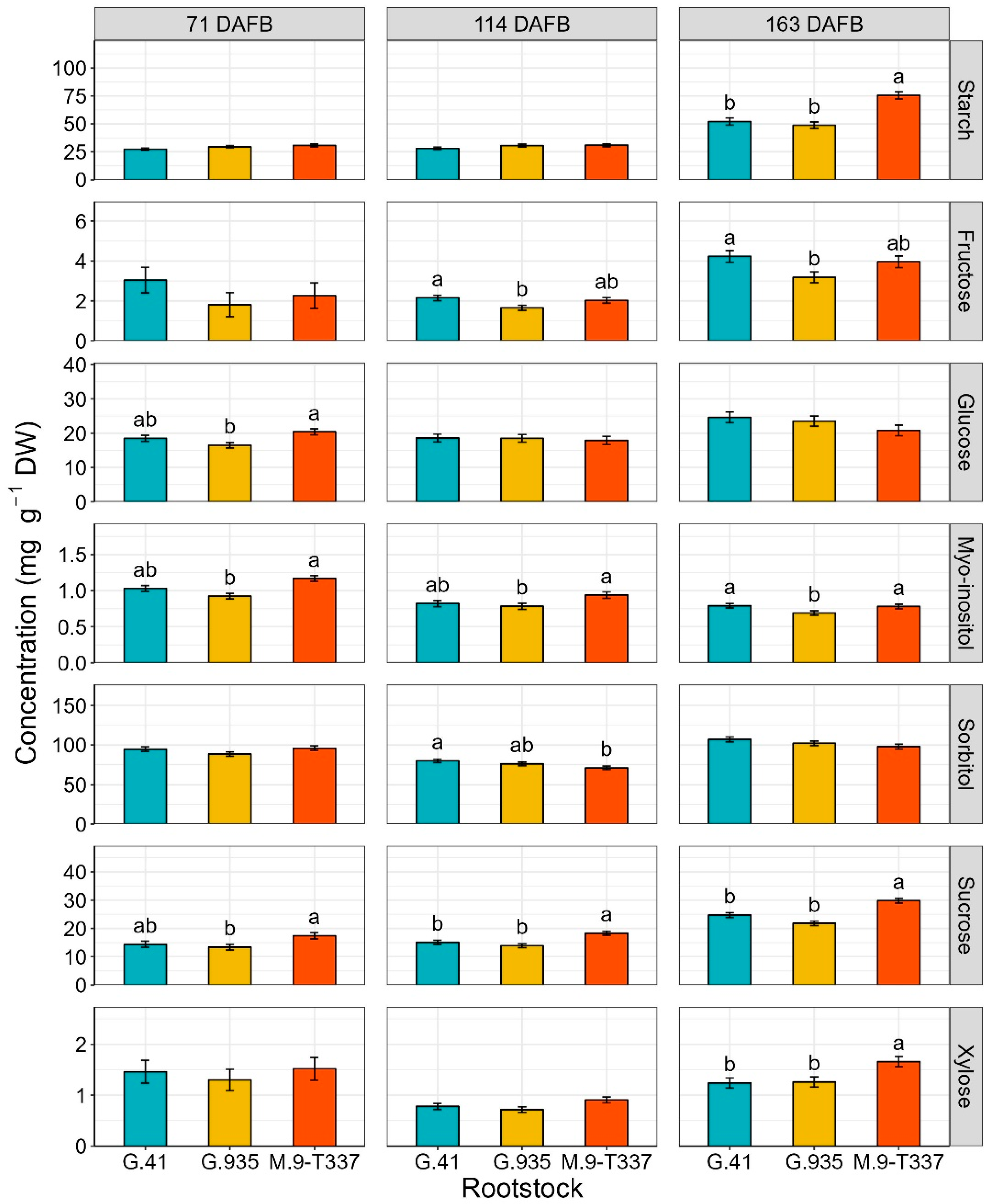
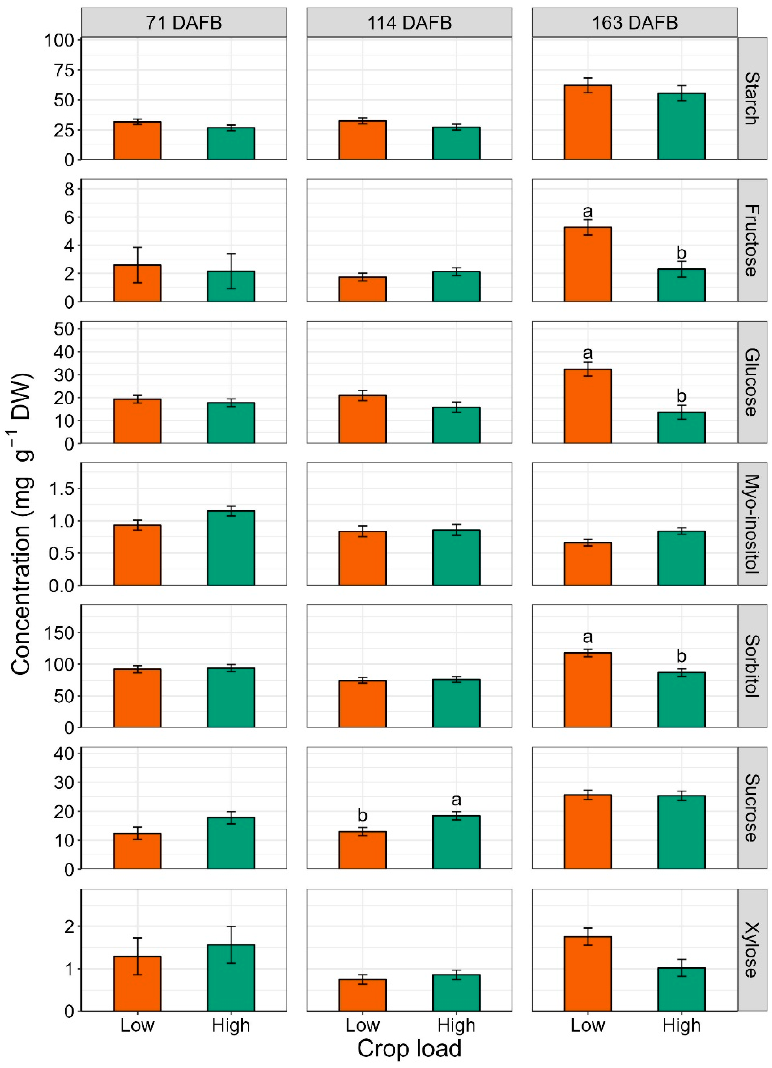
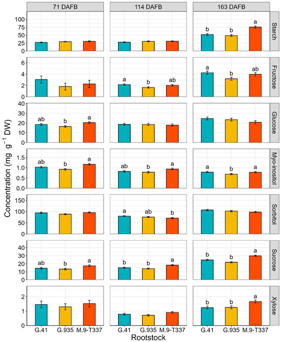
2.2. Leaf Non-Structural Carbohydrates
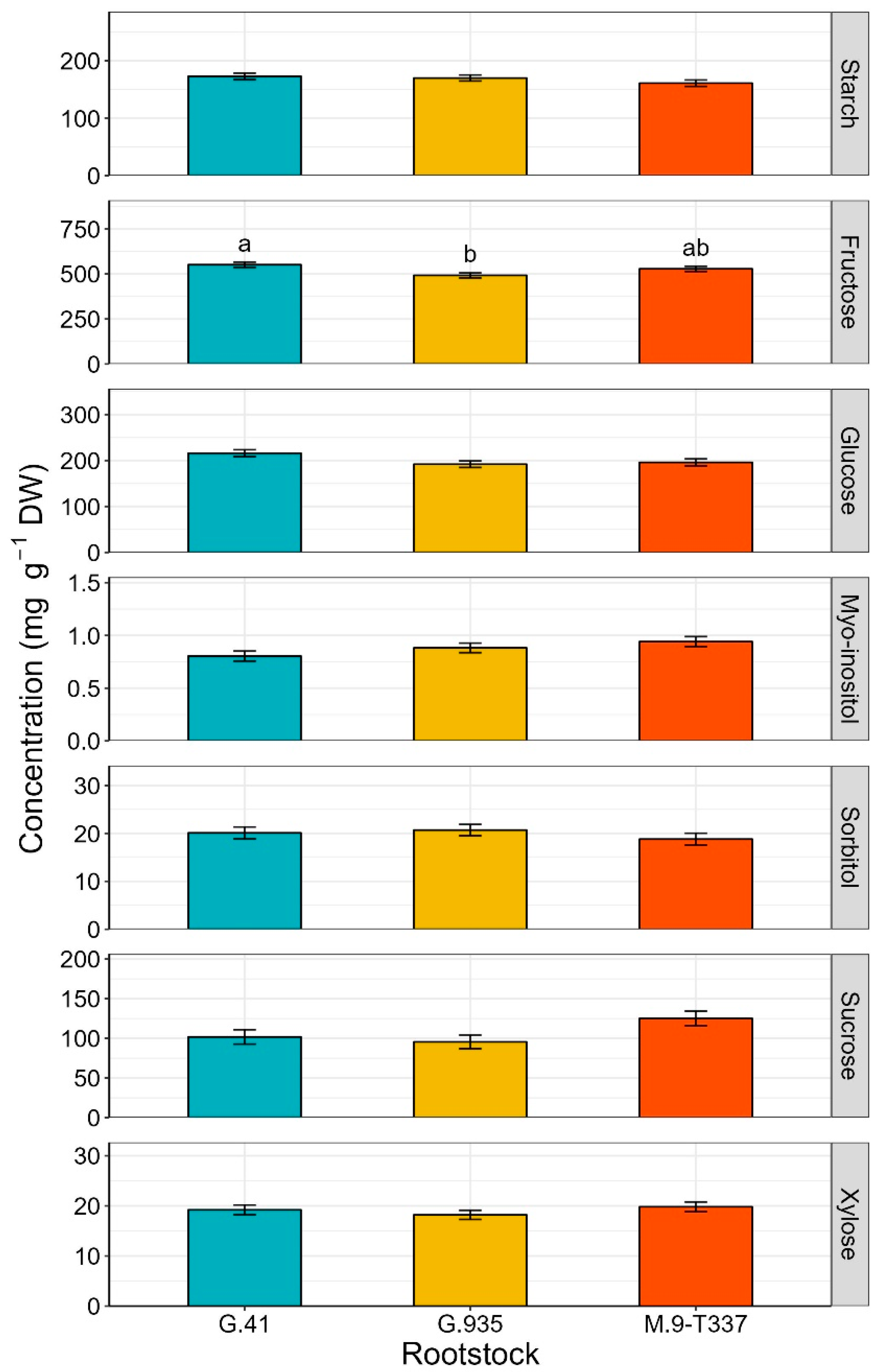
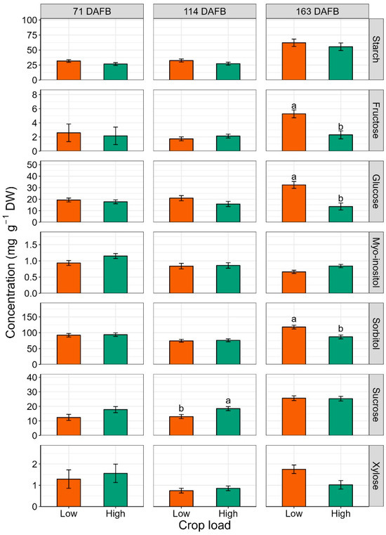
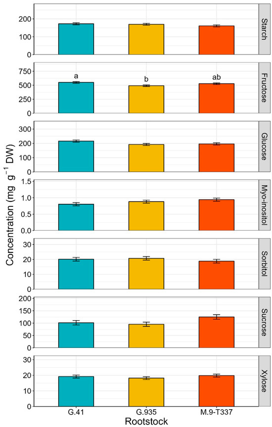
2.3. Fruit Non-Structural Carbohydrates
2.4. Soluble Solids Content (SSC) and Dry Matter (DM)
3. Discussion
3.1. Photosynthesis and Chlorophyll Content
3.2. Leaf Non-Structural Carbohydrates
3.3. Fruit Non-Structural Carbohydrates, Soluble Solids Content (SSC), and Dry Matter (DM)
4. Materials and Methods
4.1. Experimental Site and Tree Selection
4.2. Photosynthesis and Chlorophyll Content
Fv’/Fm’ = (Fm’ − F0)/Fm’
ΦPSII = (Fm’ − Fs)/Fm’
ETR = ΦPSII × PPFD × 0.5 × 0.87
JCO2 = Pn × 4
JNC = ETR − JCO2
efCO2 = JCO2/ETR
efNC = JNC/ETR
4.3. Non-Structural Leaf Carbohydrate Determination
4.4. Yield and Fruit Sorting
4.5. Non-Structural Apple Fruit Carbohydrate, Soluble Solids Content (SSC) and Dry Matter (DM) Determination
4.6. Statistical Analyses
5. Conclusions
Supplementary Materials
Author Contributions
Funding
Data Availability Statement
Acknowledgments
Conflicts of Interest
References
- IndexBox. World–Apple–Market Analysis, Forecast, Size, Trends and Insights; IndexBox, Inc.: Covina, CA, USA, 2020. [Google Scholar]
- USDA-NASS. Statistics of Fruits, Tree Nuts, and Horticultural Specialties. In Agricultural Statistics 2019; United States Government Printing Office: Washington, DC, USA, 2019. [Google Scholar]
- Chen, D.; Chen, H.W. Using the Köppen classification to quantify climate variation and change: An example for 1901–2010. Environ. Dev. 2013, 6, 69–79. [Google Scholar] [CrossRef]
- Mupambi, G.; Musacchi, S.; Serra, S.; Kalcsits, L.A.; Layne, D.R.; Schmidt, T. Protective Netting Improves Leaf-level Photosynthetic Light Use Efficiency in ‘Honeycrisp’ Apple Under Heat Stress. HortScience 2018, 53, 1416. [Google Scholar] [CrossRef]
- IPCC. IPCC Fifth Assessment Synthesis Report; Intergovernmental Panel on Climate Change: Geneva, Switzerland, 2014. [Google Scholar]
- Thompson, V.; Kennedy-Asser, A.T.; Vosper, E.; Lo, Y.T.E.; Huntingford, C.; Andrews, O.; Collins, M.; Hegerl, G.C.; Mitchell, D. The 2021 western North America heat wave among the most extreme events ever recorded globally. Sci. Adv. 2022, 8, eabm6860. [Google Scholar] [CrossRef] [PubMed]
- Bhattacharya, A. Effect of High Temperature on Carbohydrate Metabolism in Plants. In Effect of High Temperature on Crop Productivity and Metabolism of Macro Molecules; Elsevier Inc.: Amsterdam, The Netherlands, 2019; pp. 115–216. [Google Scholar]
- Xalxo, R.; Yadu, B.; Chandra, J.; Chandrakar, V.; Sahu, K. Alteration in Carbohydrate Metabolism Modulates Thermotolerance of Plant under Heat Stress. In Heat Stress Tolerance in Plants: Physiological, Molecular and Genetic Perspectives, 1st ed.; Wani, S.H., Kumar, V., Eds.; JohnWiley & Sons Ltd.: Hoboken, NJ, USA, 2020. [Google Scholar]
- Crafts-Brandner, S.J.; Salvucci, M.E. Sensitivity of photosynthesis in a C4 plant, maize, to heat stress. Plant Physiol. 2002, 129, 1773–1780. [Google Scholar] [CrossRef] [PubMed]
- Muhammad, I.; Shalmani, A.; Ali, M.; Yang, Q.H.; Ahmad, H.; Li, F.B. Mechanisms Regulating the Dynamics of Photosynthesis Under Abiotic Stresses. Front. Plant Sci. 2020, 11, 615942. [Google Scholar] [CrossRef]
- Breen, K.; Tustin, S.; Palmer, J.; Boldingh, H.; Close, D. Revisiting the role of carbohydrate reserves in fruit set and early-season growth of apple. Sci. Hortic. 2020, 261, 109034. [Google Scholar] [CrossRef]
- Li, M.; Li, P.; Ma, F.; Dandekar, A.M.; Cheng, L. Sugar metabolism and accumulation in the fruit of transgenic apple trees with decreased sorbitol synthesis. Hortic. Res. 2018, 5, 60. [Google Scholar] [CrossRef]
- Zhang, Y.; Li, P.; Cheng, L. Developmental changes of carbohydrates, organic acids, amino acids, and phenolic compounds in ‘Honeycrisp’ apple flesh. Food Chem. 2010, 123, 1013–1018. [Google Scholar] [CrossRef]
- Billy, L.; Mehinagic, E.; Royer, G.; Renard, C.M.G.C.; Arvisenet, G.; Prost, C.; Jourjon, F. Relationship between texture and pectin composition of two apple cultivars during storage. Postharvest. Biol. Technol. 2008, 47, 315–324. [Google Scholar] [CrossRef]
- Suni, M.; Nyman, M.; Eriksson, N.-A.; Bjork, L.; Björck, I. Carbohydrate composition and content of organic acids in fresh and stored apples. J. Sci. Food Agric. 2000, 80, 1538–1544. [Google Scholar] [CrossRef]
- Yamaki, S.; Ino, M. Alteration of Cellular Compartmentation and Membrane Permeability to Sugars in Immature and Mature Apple Fruit. J. Am. Soc. Hortic. Sci. 1992, 117, 951. [Google Scholar] [CrossRef]
- Robinson, T.; Aldwinckle, H.; Fazio, G.; Holleran, T. The Geneva series of apple rootstocks from Cornell: Performance, disease resistance, and commercialization. Acta Hortic. 2003, 622, 513–520. [Google Scholar] [CrossRef]
- Marini, R.P.; Fazio, G. Apple rootstocks: History, physiology, management, and breeding. In Horticultural Reviews, 1st ed.; Warrington, I., Ed.; John Wiley & Sons, Inc.: Hoboken, NJ, USA, 2018; Volume 45, pp. 197–312. [Google Scholar]
- Wünsche, J.N.; Ferguson, I.B. Crop Load Interactions in Apple. In Horticultural Reviews; Janick, J., Ed.; John Wiley & Sons, Ltd.: Hoboken, NJ, USA, 2004; pp. 231–290. [Google Scholar]
- Hayat, F.; Iqbal, S.; Coulibaly, D.; Razzaq, M.K.; Nawaz, M.A.; Jiang, W.; Shi, T.; Gao, Z. An insight into dwarfing mechanism: Contribution of scion-rootstock interactions toward fruit crop improvement. Fruit Res. 2021, 1, 3. [Google Scholar] [CrossRef]
- Yang, X.; Chen, L.-S.; Cheng, L. Leaf Photosynthesis and Carbon Metabolism Adapt to Crop Load in ‘Gala’ Apple Trees. Horticulturae 2021, 7, 47. [Google Scholar] [CrossRef]
- Fallahi, E.; Colt, W.M.; Fallahi, B.; Chun, I.-J. The Importance of Apple Rootstocks on Tree Growth, Yield, Fruit Quality, Leaf Nutrition, and Photosynthesis with an Emphasis on ‘Fuji’. HortTechnology 2002, 12, 38. [Google Scholar] [CrossRef]
- Zhou, Y.; Tian, X.; Yao, J.; Zhang, Z.; Wang, Y.; Zhang, X.; Li, W.; Wu, T.; Han, Z.; Xu, X.; et al. Morphological and photosynthetic responses differ among eight apple scion-rootstock combinations. Sci. Hortic. 2020, 261, 108981. [Google Scholar] [CrossRef]
- Hayat, F.; Asghar, S. Rootstock Induced Vigour is Associated with Physiological, Biochemical and Molecular Changes in ‘Red Fuji’ Apple. Int. J. Agric. Biol. 2020, 24, 1823–1834. [Google Scholar] [CrossRef]
- Tworkoski, T.; Fazio, G. Physiological and morphological effects of size-controlling rootstocks on ‘Fuji’ apple scions. Acta Hortic. 2011, 903, 865–872. [Google Scholar] [CrossRef]
- Li, M.; Zhang, Z.; Guo, P.; Ji, G.; Zhang, X.; Qi, Q.; Xu, X.; Zhang, X.; Li, W.; Han, Z.; et al. Whole-Canopy Photosynthetic Characterization of Apple Tree and the Effects Induced by Grafting on Rootstocks with Different Vigor. Horticulturae 2022, 8, 816. [Google Scholar] [CrossRef]
- Foster, T.M.; McAtee, P.A.; Waite, C.N.; Boldingh, H.L.; McGhie, T.K. Apple dwarfing rootstocks exhibit an imbalance in carbohydrate allocation and reduced cell growth and metabolism. Hortic. Res. 2017, 4, 17009. [Google Scholar] [CrossRef]
- Samuolienė, G.; Viškelienė, A.; Sirtautas, R.; Kviklys, D. Relationships between apple tree rootstock, crop-load, plant nutritional status and yield. Sci. Hortic. 2016, 211, 167–173. [Google Scholar] [CrossRef]
- Wünsche, J.; Greer, D.; Laing, W.; Palmer, J. Physiological and biochemical leaf and tree responses to crop load in apple. Tree Physiol. 2005, 25, 1253–1263. [Google Scholar] [CrossRef] [PubMed]
- Pallas, B.; Bluy, S.; Ngao, J.; Martinez, S.; Clément-Vidal, A.; Kelner, J.-J.; Costes, E. Growth and carbon balance are differently regulated by tree and shoot fruiting contexts: An integrative study on apple genotypes with contrasted bearing patterns. Tree Physiol. 2018, 38, 1395–1408. [Google Scholar] [CrossRef] [PubMed]
- Ding, N.; Chen, Q.; Zhu, Z.; Peng, L.; Ge, S.; Jiang, Y. Effects of crop load on distribution and utilization of 13C and 15N and fruit quality for dwarf apple trees. Sci. Rep. 2017, 7, 14172. [Google Scholar] [CrossRef] [PubMed]
- Gonçalves, B.; Moutinho-Pereira, J.; Santos, A.; Silva, A.P.; Bacelar, E.; Correia, C.; Rosa, E. Scion-rootstock interaction affects the physiology and fruit quality of sweet cherry. Tree Physiol. 2006, 26, 93–104. [Google Scholar] [CrossRef] [PubMed]
- Bosa, K.; Jadczuk-Tobjasz, E.; Kalaji, M.H. Photosynthetic productivity of pear trees growing on different rootstocks. Ann. Di Bot. 2016, 6, 69–75. [Google Scholar] [CrossRef]
- Losciale, P.; Zibordi, M.; Manfrini, L.; Grappadelli, L. Effects of rootstock on pear photosynthetic efficiency. Acta Hortic. 2008, 800, 241–248. [Google Scholar] [CrossRef]
- Lordan, J.; Fazio, G.; Francescatto, P.; Robinson, T. Effects of apple (Malus × domestica) rootstocks on scion performance and hormone concentration. Sci. Hortic. 2017, 225, 96–105. [Google Scholar] [CrossRef]
- Fazio, G.; Aldwinckle, H.S.; Robinson, T.L.; Cummins, J. (315) Geneva® 935: A New Fire Blight Resistant, Semidwarfing Apple rootstock. HortScience 2005, 40, 1027B–1027. [Google Scholar] [CrossRef]
- Atkinson, C.J.; Else, M.A.; Taylor, L.; Dover, C.J. Root and stem hydraulic conductivity as determinants of growth potential in grafted trees of apple (Malus pumila Mill.). J. Exp. Bot. 2003, 54, 1221–1229. [Google Scholar] [CrossRef]
- Tominaga, J.; Shimada, H.; Kawamitsu, Y. Direct measurement of intercellular CO2 concentration in a gas-exchange system resolves overestimation using the standard method. J. Exp. Bot. 2018, 69, 1981–1991. [Google Scholar] [CrossRef]
- Medrano, H.; Escalona, J.M.; Bota, J.; Gulías, J.; Flexas, J. Regulation of Photosynthesis of C3 Plants in Response to Progressive Drought: Stomatal Conductance as a Reference Parameter. Ann. Bot. 2002, 89, 895–905. [Google Scholar] [CrossRef] [PubMed]
- Yan, W.; Zhong, Y.; Shangguan, Z. A meta-analysis of leaf gas exchange and water status responses to drought. Sci. Rep. 2016, 6, 20917. [Google Scholar] [CrossRef] [PubMed]
- Fan, P.G.; Li, L.S.; Duan, W.; Li, W.D.; Li, S.H. Photosynthesis of young apple trees in response to low sink demand under different air temperatures. Tree Physiol. 2010, 30, 313–325. [Google Scholar] [CrossRef]
- Losciale, P.; Chow, W.S.; Corelli Grappadelli, L. Modulating the light environment with the peach ‘asymmetric orchard’: Effects on gas exchange performances, photoprotection, and photoinhibition. J. Exp. Bot. 2010, 61, 1177–1192. [Google Scholar] [CrossRef] [PubMed]
- Palmer, J.W.; Giuliani, R.; Adams, H.M. Effect of crop load on fruiting and leaf photosynthesis of ‘Braeburn’/M.26 apple trees. Tree Physiol. 1997, 17, 741–746. [Google Scholar] [CrossRef]
- Li, W.D.; Duan, W.; Fan, P.G.; Yan, S.T.; Li, S.H. Photosynthesis in response to sink-source activity and in relation to end products and activities of metabolic enzymes in peach trees. Tree Physiol. 2007, 27, 1307–1318. [Google Scholar] [CrossRef]
- Flexas, J.; Bota, J.; Escalona, J.M.; Sampol, B.; Medrano, H. Effects of drought on photosynthesis in grapevines under field conditions: An evaluation of stomatal and mesophyll limitations. Funct. Plant Biol. 2002, 29, 461–471. [Google Scholar] [CrossRef]
- Losciale, P.; Zibordi, M.; Manfrini, L.; Morandi, B.; Bastias, R.M.; Corelli Grappadelli, L. Light management and photoinactivation under drought stress in peach. Acta Hortic. 2011, 922, 341–347. [Google Scholar] [CrossRef]
- Brown, C.; Young, E.; Pharr, D.M. Rootstock and scion effects on the seasonal distribution of dry weight and carbohydrates in young apple trees. J. Am. Soc. Hortic. Sci. 1985, 110, 696–701. [Google Scholar] [CrossRef]
- Mesa, K.; Serra, S.; Masia, A.; Gagliardi, F.; Bucci, D.; Musacchi, S. Seasonal trends of starch and soluble carbohydrates in fruits and leaves of ‘Abbé Fétel’ pear trees and their relationship to fruit quality parameters. Sci. Hortic. 2016, 211, 60–69. [Google Scholar] [CrossRef]
- Rosenberger, D.; Schupp, J.; Watkins, C.; Iungerman, K.; Hoying, S.; Straub, D.; Cheng, L. Honeycrisp: Promising Profit Maker or Just Another Problem Child? N. Y. Fruit Q. 2001, 9, 1–8. [Google Scholar]
- Snyder-Leiby, T.E.; Wang, S. Role of Crop Load in Chloroplast Ultra-structure and Zonal Chlorosis, a Physiological Disorder in ‘Honeycrisp’ Apple Trees. HortScience 2008, 43, 1819. [Google Scholar] [CrossRef]
- Chen, L.-S.; Cheng, L. The acceptor side of photosystem II is damaged more severely than the donor side of photosystem II in ‘Honeycrisp’ apple leaves with zonal chlorosis. Acta Physiol. Plant. 2010, 32, 253–261. [Google Scholar] [CrossRef]
- Lenz, F. Fruit effects on photosynthesis, light and dark respiration. In Photosynthesis and Plant Development; Marcelle, R., Olljsters, H., Van Pouke, M., Eds.; Dr. W. Junk bv Publishers: The Hague, The Netherlands; Boston, MA, USA; London, UK, 1979; pp. 271–281. [Google Scholar]
- Naor, A.; Schneider, D.; Ben-Gal, A.; Zipori, I.; Dag, A.; Kerem, Z.; Birger, R.; Peres, M.; Gal, Y. The effects of crop load and irrigation rate in the oil accumulation stage on oil yield and water relations of ‘Koroneiki’ olives. Irrig. Sci. 2013, 31, 781–791. [Google Scholar] [CrossRef]
- Neales, T.F.; Incoll, L.D. The control of leaf photosynthesis rate by the level of assimilate concentration in the leaf: A review of the hypothesis. Bot. Rev. 1968, 34, 107. [Google Scholar] [CrossRef]
- Araya, T.; Noguchi, K.; Terashima, I. Effects of Carbohydrate Accumulation on Photosynthesis Differ between Sink and Source Leaves of Phaseolus vulgaris L. Plant Cell Physiol. 2006, 47, 644–652. [Google Scholar] [CrossRef]
- Jang, J.C.; León, P.; Zhou, L.; Sheen, J. Hexokinase as a sugar sensor in higher plants. Plant Cell 1997, 9, 5–19. [Google Scholar] [CrossRef]
- Serra, S.; Leisso, R.; Giordani, L.; Kalcsits, L.; Musacchi, S. Crop Load Influences Fruit Quality, Nutritional Balance, and Return Bloom in ‘Honeycrisp’ Apple. HortScience 2016, 51, 236. [Google Scholar] [CrossRef]
- Anthony, B.; Serra, S.; Musacchi, S. Optimizing Crop Load for New Apple Cultivar: “WA38”. Agronomy 2019, 9, 107. [Google Scholar] [CrossRef]
- Ho, L.C. Metabolism and Compartmentation of Imported Sugars in Sink Organs in Relation to Sink Strength. Annu. Rev. Plant Physiol. Plant Mol. Biol. 1988, 39, 355–378. [Google Scholar] [CrossRef]
- Saei, A.; Tustin, D.S.; Zamani, Z.; Talaie, A.; Hall, A.J. Cropping effects on the loss of apple fruit firmness during storage: The relationship between texture retention and fruit dry matter concentration. Sci. Hortic. 2011, 130, 256–265. [Google Scholar] [CrossRef]
- Bound, S.A. Precision Crop Load Management of Apple (Malus × domestica Borkh.) without Chemicals. Horticulturae 2019, 5, 3. [Google Scholar] [CrossRef]
- Musacchi, S.; Serra, S. Apple fruit quality: Overview on pre-harvest factors. Sci. Hortic. 2018, 234, 409–430. [Google Scholar] [CrossRef]
- Tijero, V.; Girardi, F.; Botton, A. Fruit Development and Primary Metabolism in Apple. Agronomy 2021, 11, 1160. [Google Scholar] [CrossRef]
- Genty, B.; Briantais, J.-M.; Baker, N.R. The relationship between the quantum yield of photosynthetic electron transport and quenching of chlorophyll fluorescence. Biochim. Biophys. Acta (BBA)-Gen. Subj. 1989, 990, 87–92. [Google Scholar] [CrossRef]
- Losciale, P.; Hendrickson, L.; Grappadelli, L.C.; Chow, W.S. Quenching partitioning through light-modulated chlorophyll fluorescence: A quantitative analysis to assess the fate of the absorbed light in the field. Environ. Exp. Bot. 2011, 73, 73–79. [Google Scholar] [CrossRef]
- Murchie, E.H.; Lawson, T. Chlorophyll fluorescence analysis: A guide to good practice and understanding some new applications. J. Exp. Bot. 2013, 64, 3983–3998. [Google Scholar] [CrossRef]
- Lee, D.Y.; Fiehn, O. High quality metabolomic data for Chlamydomonas reinhardtii. Plant Methods 2008, 4, 7. [Google Scholar] [CrossRef]
- Attaran, E.; Berim, A.; Killiny, N.; Beyenal, H.; Gang, D.R.; Omsland, A. Controlled replication of ‘Candidatus Liberibacter asiaticus’ DNA in citrus leaf discs. Microb. Biotechnol. 2020, 13, 747–759. [Google Scholar] [CrossRef]
- Ziosi, V.; Noferini, M.; Fiori, G.; Tadiello, A.; Trainotti, L.; Casadoro, G.; Costa, G. A new index based on vis spectroscopy to characterize the progression of ripening in peach fruit. Postharvest. Biol. Technol. 2008, 49, 319–329. [Google Scholar] [CrossRef]
- Pinheiro, J.; Bates, D.; DebRoy, S.; Sarkar, D. _Nlme: Linear and Nonlinear Mixed Effects Models_. R Package Version 3.1-148. Available online: https://CRAN.R-project.org/package=nlme (accessed on 15 February 2021).
- Fox, J.; Weisberg, S. An R Companion to Applied Regression, 3rd ed.; SAGE Publications, Inc.: Thousand Oaks, CA, USA, 2019; p. 608. [Google Scholar]
- Lenth, R.V. Emmeans: Estimated Marginal Means, aka Least-Squares Means. R Package Version 1.5.3. Available online: https://CRAN.R-project.org/package=emmeans (accessed on 15 February 2021).







| DAFB | Experimental Factor | Gas Exchange Variable 1 | Fluorescence Variable 2 | SPAD 3 | |||||||||
|---|---|---|---|---|---|---|---|---|---|---|---|---|---|
| Pn | Ci | E | gs | JCO2 | efCO2 | Fv’/Fm’ | ΦPSII | ETR | JNC | efNC | |||
| 65 | Rootstock (R) | ||||||||||||
| G.41 | 5.6 | 266 | 2.42 | 0.084 | 22.2 | 0.205 | 0.406 | 0.122 | 110.0 | 87.4 | 0.795 | 46.1 b | |
| G.935 | 7.2 | 255 | 3.02 | 0.093 | 28.9 | 0.238 | 0.381 | 0.134 | 119.0 | 90.4 | 0.762 | 49.5 a | |
| M.9-T337 | 7.5 | 265 | 2.99 | 0.109 | 30.1 | 0.252 | 0.398 | 0.130 | 117.0 | 86.4 | 0.748 | 44.2 b | |
| p < 0.050 | 0.715 | 0.701 | 0.784 | 0.792 | 0.716 | 0.827 | 0.854 | 0.777 | 0.814 | 0.861 | 0.827 | <0.001 | |
| Crop load (C) | |||||||||||||
| Low | 4.5 | 253 | 1.81 | 0.054 | 18.0 | 0.219 | 0.359 | 0.024 | 77.9 | 56.2 a | 0.781 | 44.7 | |
| High | 9.1 | 271 | 3.80 | 0.136 | 36.2 | 0.245 | 0.431 | 0.172 | 152.4 | 119.8 b | 0.755 | 48.6 | |
| p < 0.050 | 0.499 | 0.100 | 0.430 | 0.391 | 0.499 | 0.894 | 0.559 | 0.060 | 0.069 | 0.001 | 0.894 | 0.111 | |
| R × C | |||||||||||||
| p < 0.050 | 0.282 | 0.055 | 0.763 | 0.713 | 0.282 | 0.158 | 0.063 | 0.406 | 0.411 | 0.296 | 0.158 | 0.161 | |
| 70 | Rootstock (R) | ||||||||||||
| G.41 | 4.4 | 292 a | 1.63 | 0.060 | 17.6 | 0.141 b | 0.340 | 0.109 | 99.8 | 82.2 | 0.859 a | 48.0 | |
| G.935 | 10.3 | 181 b | 2.42 | 0.090 | 41.2 | 0.340 a | 0.379 | 0.130 | 119.5 | 78.2 | 0.660 b | 45.0 | |
| M.9-T337 | 7.3 | 274 a | 2.65 | 0.099 | 29.0 | 0.228 ab | 0.439 | 0.120 | 111.3 | 82.3 | 0.772 ab | 47.0 | |
| p < 0.050 | 0.160 | <0.001 | 0.532 | 0.572 | 0.160 | 0.012 | 0.403 | 0.628 | 0.607 | 0.903 | 0.012 | 0.124 | |
| Crop load (C) | |||||||||||||
| Low | 5.6 | 222 | 1.09 | 0.039 | 22.3 | 0.232 | 0.278 | 0.087 | 80.5 | 58.2 | 0.768 | 47.2 | |
| High | 9.1 | 276 | 3.37 | 0.127 | 36.3 | 0.241 | 0.494 | 0.152 | 139.8 | 103.6 | 0.759 | 46.2 | |
| p < 0.050 | 0.669 | 0.442 | 0.350 | 0.373 | 0.669 | 0.959 | 0.244 | 0.254 | 0.255 | 0.093 | 0.959 | 0.805 | |
| R × C | |||||||||||||
| p < 0.050 | 0.424 | 0.133 | 0.565 | 0.596 | 0.425 | 0.197 | 0.918 | 0.520 | 0.460 | 0.585 | 0.197 | 0.527 | |
| 83 | Rootstock (R) | ||||||||||||
| G.41 | 14.3 | 238 b | 3.82 | 0.172 | 57.4 | 0.399 a | 0.444 | 0.177 | 143.0 | 85.3 b | 0.601 b | 48.6 | |
| G.935 | 13.7 | 258 a | 4.14 | 0.191 | 54.9 | 0.341 ab | 0.466 | 0.198 | 158.0 | 103.5 ab | 0.659 ab | 46.3 | |
| M.9-T337 | 12.0 | 265 a | 3.82 | 0.179 | 48.1 | 0.295 b | 0.489 | 0.201 | 162.0 | 113.5 a | 0.705 a | 48.0 | |
| p < 0.050 | 0.510 | <0.001 | 0.876 | 0.882 | 0.510 | 0.001 | 0.482 | 0.315 | 0.366 | 0.002 | 0.001 | 0.170 | |
| Crop load (C) | |||||||||||||
| Low | 9.0 | 225 b | 1.85 b | 0.087 | 36.1 | 0.295 | 0.403 | 0.156 | 125.0 | 88.6 | 0.705 | 47.9 | |
| High | 17.7 | 282 a | 6.00 a | 0.275 | 70.8 | 0.395 | 0.530 | 0.228 | 184.0 | 113 | 0.605 | 47.4 | |
| p < 0.05 | 0.092 | 0.002 | 0.032 | 0.055 | 0.092 | 0.139 | 0.174 | 0.109 | 0.108 | 0.238 | 0.139 | 0.904 | |
| R × C | |||||||||||||
| p < 0.050 | 0.541 | 0.894 | 0.830 | 0.889 | 0.541 | 0.377 | 0.551 | 0.712 | 0.744 | 0.940 | 0.377 | 0.106 | |
| 98 | Rootstock (R) | ||||||||||||
| G.41 | 2.3 b | 308 | 1.92 | 0.054 | 9.3 b | 0.084 b | 0.302 | 0.149 | 107.0 | 98.0 | 0.917 a | 48.3 | |
| G.935 | 6.7 a | 223 | 2.53 | 0.070 | 26.6 a | 0.205 a | 0.348 | 0.179 | 128.0 | 101.5 | 0.795 b | 48.9 | |
| M.9-T337 | 3.2 ab | 292 | 1.77 | 0.051 | 12.9 ab | 0.123 ab | 0.313 | 0.144 | 103.0 | 90.4 | 0.877 ab | 48.0 | |
| p < 0.050 | 0.005 | 0.506 | 0.494 | 0.596 | 0.005 | 0.004 | 0.500 | 0.345 | 0.365 | 0.788 | 0.004 | 0.849 | |
| Crop load (C) | |||||||||||||
| Low | 0.3 b | 280 | 0.51 | 0.011 | 1.3 b | 0.061 | 0.259 | 0.108 | 80.7 | 79.8 | 0.939 | 48.2 | |
| High | 7.8 a | 268 | 3.64 | 0.106 | 31.2 a | 0.213 | 0.383 | 0.206 | 145.0 | 113.5 | 0.787 | 48.6 | |
| p < 0.050 | 0.041 | 0.951 | 0.075 | 0.064 | 0.041 | 0.107 | 0.251 | 0.145 | 0.189 | 0.416 | 0.107 | 0.922 | |
| R × C | |||||||||||||
| p < 0.050 | 0.788 | 0.946 | 0.701 | 0.708 | 0.788 | 0.287 | 0.500 | 0.575 | 0.641 | 0.475 | 0.287 | 0.215 | |
| 115 | Rootstock (R) | ||||||||||||
| G.41 | 10.2 b | 280 ab | 2.50 | 0.160 | 40.7 b | 0.284 b | 0.529 | 0.269 | 144.0 | 103.3 | 0.716 a | 47.4 | |
| G.935 | 12.8 a | 260 b | 2.85 | 0.175 | 51.4 a | 0.370 a | 0.581 | 0.266 | 143.0 | 91.4 | 0.630 b | 48.2 | |
| M.9-T337 | 9.7 b | 293 a | 2.53 | 0.179 | 38.8 b | 0.293 b | 0.562 | 0.255 | 137.0 | 98.5 | 0.707 a | 47.1 | |
| p < 0.050 | < 0.001 | < 0.001 | 0.489 | 0.714 | < 0.001 | 0.002 | 0.160 | 0.735 | 0.794 | 0.357 | 0.002 | 0.805 | |
| Crop load (C) | |||||||||||||
| Low | 6.7 b | 261 | 1.19 b | 0.080 b | 26.8 b | 0.283 | 0.519 | 0.205 b | 111.0 b | 84.0 | 0.717 | 46.8 | |
| High | 15.1 a | 294 | 4.06 a | 0.263 a | 60.5 a | 0.348 | 0.595 | 0.322 a | 172.0 a | 111.0 | 0.652 | 48.4 | |
| p < 0.050 | < 0.001 | 0.102 | 0.001 | 0.004 | < 0.001 | 0.341 | 0.295 | 0.016 | 0.019 | 0.216 | 0.341 | 0.698 | |
| R × C | |||||||||||||
| p < 0.050 | 0.003 | 0.469 | 0.036 | 0.073 | 0.002 | 0.003 | 0.092 | 0.375 | 0.418 | 0.077 | 0.003 | 0.324 | |
| 129 | Rootstock (R) | ||||||||||||
| G.41 | 7.8 b | 303 a | 2.76 | 0.154 | 31.2 b | 0.268 ab | 0.500 | 0.151 | 118.0 | 86.7 | 0.732 ab | 47.3 | |
| G.935 | 12.3 a | 256 b | 3.08 | 0.171 | 49.3 a | 0.344 a | 0.498 | 0.183 | 141.0 | 91.8 | 0.656 b | 47.2 | |
| M.9-T337 | 8.3 b | 293 a | 2.48 | 0.159 | 33.4 b | 0.265 b | 0.573 | 0.166 | 129.0 | 95.1 | 0.735 a | 49.0 | |
| p < 0.050 | < 0.001 | < 0.001 | 0.412 | 0.840 | < 0.001 | 0.019 | 0.058 | 0.062 | 0.082 | 0.604 | 0.022 | 0.429 | |
| Crop load (C) | |||||||||||||
| Low | 4.5 b | 243 b | 0.28 b | 0.010 b | 18.2 b | 0.256 | 0.459 | 0.114 b | 89.1 b | 70.9 | 0.744 | 47.0 | |
| High | 14.5 a | 325 a | 5.27 a | 0.312 a | 57.5 a | 0.329 | 0.588 | 0.219 a | 169.3 a | 111.6 | 0.671 | 48.7 | |
| p < 0.050 | < 0.001 | 0.002 | < 0.001 | < 0.001 | < 0.001 | 0.330 | 0.154 | 0.003 | 0.004 | 0.059 | 0.385 | 0.658 | |
| R × C | |||||||||||||
| p < 0.050 | 0.818 | 0.142 | 0.291 | 0.351 | 0.818 | 0.839 | 0.583 | 0.957 | 0.943 | 0.986 | 0.805 | 0.767 | |
| 162 (postharvest) | Rootstock (R) | ||||||||||||
| G.41 | 5.7 | 292 ab | 1.46 ab | 0.098 ab | 22.8 | 0.239 | 0.595 | 0.145 | 88.8 | 66.0 | 0.761 | 49.4 | |
| G.935 | 4.5 | 241 b | 0.99 b | 0.056 b | 18.0 | 0.222 | 0.580 | 0.142 | 86.9 | 68.9 | 0.778 | 48.5 | |
| M.9-T337 | 3.3 | 337 a | 1.88 a | 0.121 a | 13.2 | 0.135 | 0.537 | 0.161 | 98.0 | 84.8 | 0.865 | 49.4 | |
| p < 0.050 | 0.427 | 0.012 | 0.015 | 0.013 | 0.428 | 0.254 | 0.275 | 0.697 | 0.719 | 0.256 | 0.254 | 0.683 | |
| Crop load (C) | |||||||||||||
| Low | 0.0 b | 313 | 0.68 | 0.048 | 0.0 b | 0.000 b | 0.493 | 0.159 | 84.5 | 98.2 | 1.064 a | 46.8 | |
| High | 9.1 a | 267 | 2.21 | 0.136 | 36.2 a | 0.461 a | 0.649 | 0.140 | 97.9 | 48.3 | 0.539 b | 51.4 | |
| p < 0.050 | 0.036 | 0.579 | 0.053 | 0.126 | 0.036 | 0.002 | 0.099 | 0.745 | 0.716 | 0.105 | 0.002 | 0.122 | |
| R × C | |||||||||||||
| p < 0.050 | 0.600 | 0.446 | 0.558 | 0.624 | 0.600 | 0.478 | 0.088 | 0.969 | 0.936 | 0.955 | 0.478 | 0.812 | |
| DAFB | Experimental Factor | Gas Exchange Variable 1 | Fluorescence Variable 2 | |||
|---|---|---|---|---|---|---|
| Pn | E | JCO2 | efCO2 | efNC | ||
| 115 | R × C | |||||
| M.9-T337 × Low | 6.4 cd | 1.34 ab | 25.7 cd | 0.316 ab | 0.684 ab | |
| G.41 × Low | 6.4 d | 1.31 b | 25.7 d | 0.259 ab | 0.741 ab | |
| G.935 × Low | 7.2 bcd | 0.93 b | 28.9 bcd | 0.438 a | 0.699 ab | |
| M.9-T337 × High | 13.0 cd | 3.73 ab | 51.9 cd | 0.273 b | 0.727 a | |
| G.41 × High | 13.9 b | 3.69 ab | 55.7 b | 0.307 ab | 0.693 ab | |
| G.935 × High | 18.5 a | 4.76 a | 73.8 a | 0.301 ab | 0.562 b | |
| p < 0.050 | 0.003 | 0.036 | 0.002 | 0.003 | 0.003 | |
Disclaimer/Publisher’s Note: The statements, opinions and data contained in all publications are solely those of the individual author(s) and contributor(s) and not of MDPI and/or the editor(s). MDPI and/or the editor(s) disclaim responsibility for any injury to people or property resulting from any ideas, methods, instructions or products referred to in the content. |
© 2023 by the authors. Licensee MDPI, Basel, Switzerland. This article is an open access article distributed under the terms and conditions of the Creative Commons Attribution (CC BY) license (https://creativecommons.org/licenses/by/4.0/).
Share and Cite
Baldassi, C.; Berim, A.; Roeder, S.; Losciale, P.; Serra, S.; Gang, D.R.; Musacchi, S. Rootstock and Crop Load Effects on ‘Honeycrisp’ Photosynthetic Performance and Carbohydrate Accumulation. Plants 2023, 12, 4035. https://doi.org/10.3390/plants12234035
Baldassi C, Berim A, Roeder S, Losciale P, Serra S, Gang DR, Musacchi S. Rootstock and Crop Load Effects on ‘Honeycrisp’ Photosynthetic Performance and Carbohydrate Accumulation. Plants. 2023; 12(23):4035. https://doi.org/10.3390/plants12234035
Chicago/Turabian StyleBaldassi, Claudia, Anna Berim, Stefan Roeder, Pasquale Losciale, Sara Serra, David R. Gang, and Stefano Musacchi. 2023. "Rootstock and Crop Load Effects on ‘Honeycrisp’ Photosynthetic Performance and Carbohydrate Accumulation" Plants 12, no. 23: 4035. https://doi.org/10.3390/plants12234035
APA StyleBaldassi, C., Berim, A., Roeder, S., Losciale, P., Serra, S., Gang, D. R., & Musacchi, S. (2023). Rootstock and Crop Load Effects on ‘Honeycrisp’ Photosynthetic Performance and Carbohydrate Accumulation. Plants, 12(23), 4035. https://doi.org/10.3390/plants12234035

