Response to Waterlogging Stress in Wild and Domesticated Accessions of Timothy (Phleum pratense) and Its Relatives P. alpinum and P. nodosum
Abstract
:1. Introduction
2. Results
2.1. Plant Morphology and Growth among Phleum Species in NWL
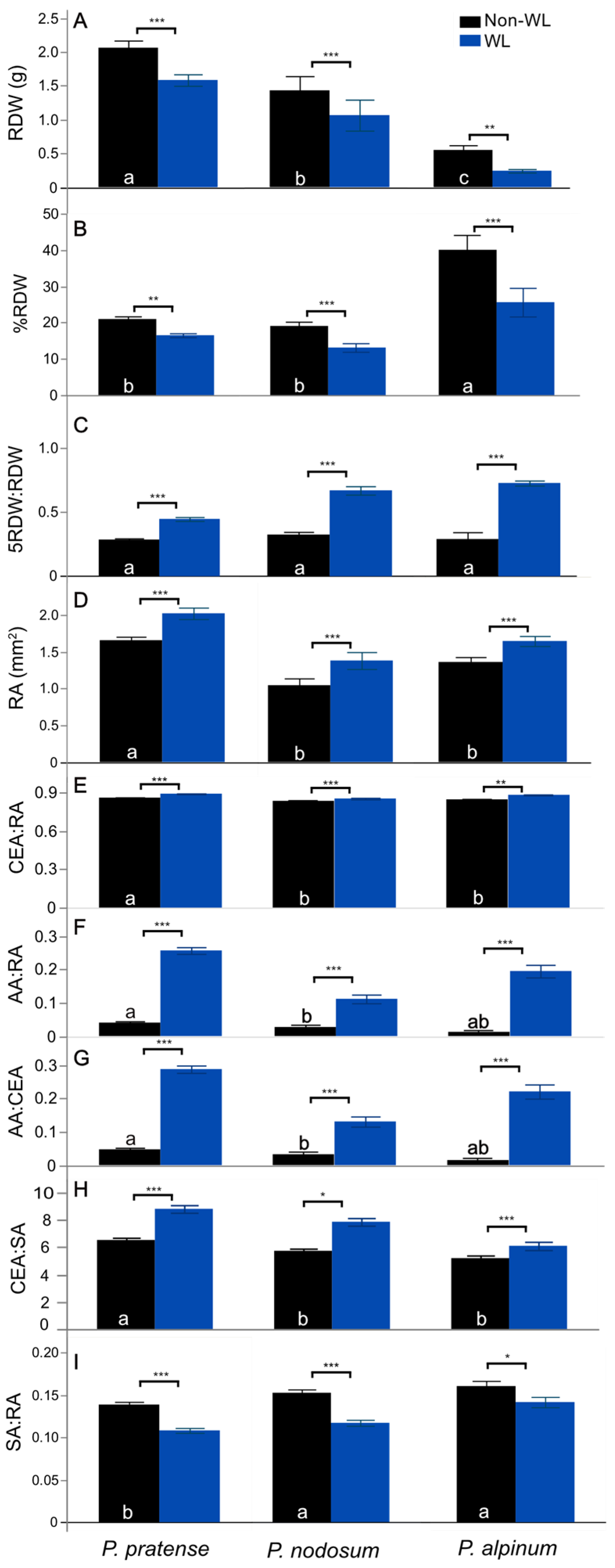
2.2. Effects of WL on Growth Traits
2.2.1. Comparisons at the Species Level
2.2.2. P. pratense Accessions
2.2.3. P. nodosum Accessions
2.2.4. P. alpinum Accessions
2.3. Effects of WL on Root Anatomy
2.3.1. Comparisons at the Species Level
2.3.2. P. pratense Accessions
2.3.3. P. nodosum Accessions
2.3.4. P. alpinum Accessions
2.4. Relations of Root Anatomy and Growth Traits
3. Discussion
4. Materials and Methods
4.1. Plant Material
4.2. Pre-Cultivation
4.3. WL Experiment
4.4. Studied and Calculated Traits
4.5. Analysis of Phenotypic Responses to WL
4.6. Statistical Analysis
5. Conclusions
Supplementary Materials
Author Contributions
Funding
Data Availability Statement
Acknowledgments
Conflicts of Interest
References
- Jing, Q.; Bélanger, G.; Qian, B.; Baron, V. Timothy Yield and Nutritive Value under Climate Change in Canada. Agron. J. 2013, 105, 1683–1694. [Google Scholar] [CrossRef]
- Becker, T.; Isselstein, J.; Jürschik, R.; Benke, M.; Kayser, M. Performance of Modern Varieties of Festuca arundinacea and Phleum pratense as an Alternative to Lolium perenne in Intensively Managed Sown Grasslands. Agron. J. 2020, 10, 540. [Google Scholar] [CrossRef]
- Radkowski, A.; Bocianowski, J.; Nowosad, K.; Piwowarczyk, E.; Bakinowska, E.; Radkowska, I.; Wolski, K. Comparison of the Yield and Chemical Composition of Eleven Timothy (Phleum pratense L.) Genotypes under Three Locations in Poland. Agronomy 2020, 10, 1743. [Google Scholar] [CrossRef]
- Jordbruksmarkens Användning 2023. In Preliminär Statistik, rapport JO0104; Swedish Board of Agriculture: Landskrona, Sweden, 2023.
- Tanhuanpää, P.; Manninen, O. High SSR diversity but little differentiation between accessions of Nordic timothy (Phleum pratense L.). Hereditas 2012, 149, 114–152. [Google Scholar] [CrossRef]
- Bertrand, A.; Tremblay, G.F.; Pelletier, S.; Cast, Y. Yield and nutritive value of timothy as affected by temperature; photoperiod and time of harvest. Grass Forage Sci. 2008, 63, 421–432. [Google Scholar] [CrossRef]
- Staniak, M.; Kocoń, A. Forage grasses under drought stress in conditions of Poland. Acta Physiol. Plant. 2015, 116, 1–10. [Google Scholar] [CrossRef]
- Pomerleau-Lacasse, F.; Seguin, P.; Tremblay, G.F.; Bélanger, G.; Lajeunesse, J.; Charbonneau, É. Alternatives to Timothy Grown in Mixture with Alfalfa in Eastern Canada. Agron. J. 2019, 111, 314–327. [Google Scholar] [CrossRef]
- Juhola, S.; Klein, N.; Kayhk, J.; Schmid Neset, T.S. Climate change transformations in Nordic agriculture? J. Rural Stud. 2017, 51, 28–36. [Google Scholar] [CrossRef]
- Grusson, Y.; Wesstrom, I.; Svedberg, E.; Joel, A. Influence of climate change on water partitioning in agricultural watersheds: Examples from Sweden. Agric. Water Manag. 2021, 249, 106766. [Google Scholar] [CrossRef]
- Grusson, Y.; Wesstrom, I.; Joel, A. Impact of climate change on Swedish agriculture: Growing season rain deficit and irrigation need. Agric. Water Manag. 2021, 251, 106858. [Google Scholar] [CrossRef]
- Eftekhari, M.S. Impacts of Climate Change on Agriculture and Horticulture. In Climate Change: The Social and Scientific Construct; Bandh, S.A., Ed.; Springer: Berlin/Heidelberg, Germany, 2022; pp. 117–131. [Google Scholar]
- Visser, E.; Voesnek, L. Acclimation to soil flooding—Sensing and signal-transduction. Plant Soil 2005, 274, 197–214. [Google Scholar] [CrossRef]
- Jiménez, J.C.; Kotula, L.; Veneklaas, E.; Colmer, T. Root-zone hypoxia reduces growth of the tropical forage grass Urochloa humidicola in high-nutrient but not low-nutrient conditions. Ann. Bot. 2019, 124, 1019–1032. [Google Scholar] [CrossRef]
- Di Bella, C.E.; Grimoldi, A.; Striker, G. A quantitative revision of the waterlogging tolerance of perennial forage grasses. Crop Pasture Sci. 2022, 73, 1200–1212. [Google Scholar] [CrossRef]
- Marcar, N.; Crawford, D.; Saunders, A.; Matheson, A.; Arnold, R. Genetic variation among and within provenances and families of Eucalyptus grandis W. Hill and E. globulus Labill. subsp. globulus seedlings in response to salinity and waterlogging. For. Ecol. Manag. 2002, 162, 231–249. [Google Scholar] [CrossRef]
- Araki, H.; Hamada, A.; Hossain, M.A.; Takahashi, T. Waterlogging at jointing and/or after anthesis in wheat induces early leaf senescence and impairs grain filling. Field Crops Res. 2012, 137, 27–36. [Google Scholar] [CrossRef]
- Hörtensteiner, S. Chlorophyll degradation during senescence. Annu. Rev. Plant Biol. 2006, 1, 55–77. [Google Scholar] [CrossRef]
- Wegner, L.H. Oxygen transport in waterlogged plants. In Waterlogging Signaling and Tolerance in Plants; Mancuso, S., Shabala, S., Eds.; Springer: Berlin/Heidelberg, Germany, 2010. [Google Scholar]
- Drew, M.; He, C.; Morgon, P. Programmed cell death and aerenchyma formation in roots. Trend Plant Sci. 2000, 5, 123–127. [Google Scholar] [CrossRef]
- Yamauchi, T.; Shimamura, S.; Nakazono, M.; Mochizuki, T. Aerenchyma formation in crop species: A review. Field Crops Res. 2013, 152, 8–16. [Google Scholar] [CrossRef]
- Evans, D. Aerenchyma formation. New Phytol. 2004, 161, 35–49. [Google Scholar] [CrossRef]
- Steffens, B.; Rasmussen, A. The Physiology of Adventitious Roots. Plant Physiol. 2016, 170, 603–617. [Google Scholar] [CrossRef] [PubMed]
- Visser, E.; Bögemann, G.M. Aerenchyma formation in the wetland plant Juncus effusus is independent of ethylene. New Phytol. 2006, 171, 305–314. [Google Scholar] [CrossRef] [PubMed]
- Visser, E.J.W.; Colmer, T.D.; Blom, C.W.P.M.; Vosenek, L.A.C.J. Changes in growth, porosity, and radial oxygen loss from adventitious roots of selected mono- and dicotyledonous wetland species with contrasting types of aerenchyma. Plant Cell Environ. 2000, 23, 1237–1245. [Google Scholar] [CrossRef]
- Abiko, T.; Kotula, L.; Shiono, K.; Malik, A.M.; Colmer, T.M.; Nakazono, M. Enhanced formation of aerenchyma and induction of a barrier to radial oxygen loss in adventitious roots of Zea nicaraguensis contribute to its waterlogging tolerance as compared with maize (Zea mays ssp. mays). Plant Cell Environ. 2012, 35, 1618–1630. [Google Scholar] [CrossRef] [PubMed]
- Shiono, K.; Ogawa, S.; Yamazaki, S.; Isoda, H.; Fujimura, T.; Nakazono, M.; Colmer, T.D. Contrasting dynamics of radial O2-loss barrier induction and aerenchyma formation in rice roots of two lengths. Ann. Bot. 2011, 107, 89–99. [Google Scholar] [CrossRef] [PubMed]
- Mano, Y.; Omori, F. Relationship between constitutive root aerenchyma formation and flooding tolerance in Zea nicaraguensis. Plant Soil 2013, 370, 447–460. [Google Scholar] [CrossRef]
- Zhang, X.; Shabala, S.; Koutoulis, A.; Shabala, L.; Johnson, P.; Hayes, D.; Nichols, D.; Zhou, M. Waterlogging tolerance in barley is associated with faster aerenchyma formation in adventitious roots. Plant Soil 2015, 394, 355–372. [Google Scholar] [CrossRef]
- Sundgren, T.; Uhlen, A.; Lillemo, M.; Briese, C.; Wojciechowski, T. Rapid seedling establishment and a narrow root stele promotes waterlogging tolerance in spring wheat. J. Plant Physiol. 2018, 227, 45–55. [Google Scholar] [CrossRef]
- Yamauchi, T.; Abe, F.; Tsutsumi, N.; Nakazono, M. Root Cortex Provides a Venue for Gas-Space Formation and Is Essential for Plant Adaptation to Waterlogging. Front. Plant Sci. 2019, 10, 259. [Google Scholar] [CrossRef]
- Gibbs, J.; Turner, D.W.; Armstrong, W.; Darwent, M.J.; Greenway, H. Response to oxygen deficiency in primary maize roots. I. Development of oxygen deficiency in the stele reduces radial solute transport to the xylem. Aust. J. Plant Physiol. 1998, 25, 745–758. [Google Scholar] [CrossRef]
- Mcdonald, M.P.; Galwey, N.W.; Colmer, T.D. Waterlogging tolerance in the tribe Triticeae: The adventitious roots of Critesion marinum have a relatively high porosity and a barrier to radial oxygen loss. Plant Cell Environ. 2001, 2, 585–596. [Google Scholar] [CrossRef]
- Colmer, T. Long-distance transport of gases in plants: A perspective on internal aeration and radial oxygen loss from roots. Plant Cell Environ. 2003, 26, 17–36. [Google Scholar] [CrossRef]
- Garthwaite, A.J.; von Bothmer, R.; Colmer, T.D. Diversity in root aeration traits associated with waterlogging tolerance in the genus Hordeum. Funct. Plant Biol. 2003, 30, 875–889. [Google Scholar] [CrossRef]
- Garthwaite, A.J.; Armstrong, W.; Colmer, T.D. Assessment of O2 diffusivity across the barrier to radial O2 loss in adventitious roots of Hordeum marinum. New Phytol. 2008, 30, 405–416. [Google Scholar] [CrossRef]
- Kotula, L.; Ranathunge, K.; Schreiber, L.; Steudle, E. Functional and chemical comparison of apoplastic barriers to radial oxygen loss in roots of rice (Oryza sativa L.) grown in aerated or deoxygenated solution. J. Exp. Bot. 2009, 60, 2155–2167. [Google Scholar] [CrossRef]
- Benschop, J.; Bou, J.; Peeters, A.J.M.; Wagemaker, N.; Gühl, K.; Ward, D.; Hedden, P.; Moritz, T.; Voesenek, L.A.C.J. Long-Term Submergence-Induced Elongation in Rumex palustris Requires Abscisic Acid-Dependent Biosynthesis of Gibberellin. Plant Physiol. 2006, 141, 1644–1652. [Google Scholar] [CrossRef]
- Wu, A.; Hammer, G.L.; Doherty, A.; von Caemmerer, S.; Farquha, G.D. Quantifying impacts of enhancing photosynthesis on crop yield. Nat. Plants 2019, 5, 380–388. [Google Scholar] [CrossRef]
- Pan, J.; Sharif, R.; Xu, X.; Chen, X. Mechanisms of Waterlogging Tolerance in Plants: Research Progress and Prospects. Front. Plant Sci. 2021, 11, 627331. [Google Scholar] [CrossRef]
- Yamauchi, T.; Tanaka, A.; Tsutsumi, N.; Inukai, Y.; Nakazono, M. A Role for Auxin in Ethylene-Dependent Inducible Aerenchyma Formation in Rice Roots. Plants 2020, 9, 610. [Google Scholar] [CrossRef]
- Höglind, M.; Bakken, A.K.; Jørgensen, M.; Østrem, L. Tolerance to frost and ice encasement in cultivars of timothy and perennial ryegrass during winter. Grass Forage Sci. 2010, 65, 431–445. [Google Scholar] [CrossRef]
- Jørgensen, M.; Torp, T.; Alexander, J.; Mølmann, B. Impact of waterlogging and temperature on autumn growth, hardening and freezing tolerance of timothy (Phleum pratense). J. Agron. Crop Sci. 2020, 206, 242–251. [Google Scholar] [CrossRef]
- Kilian, B.; Özkan, H.; Kohl, J.; von Haeseler, A.; Barale, F.; Deusch, O.; Brandolini, A.; Yucel, C.; Martin, W.; Salamini, F. Haplotype structure at seven barley genes: Relevance to gene pool bottlenecks, phylogeny of ear type and site of barley domestication. Mol. Genet. Genom. 2006, 276, 230–241. [Google Scholar] [CrossRef] [PubMed]
- Zohary, D. Unconscious selection and the evolution of domesticated plants. Econ. Bot. 2004, 58, 5–10. [Google Scholar] [CrossRef]
- Pagán, I.; González-Jara, P.; Moreno-Letelier, A.; Rodelo-Urrego, M.; Fraile, A.; Piñero, D.; García-Arenal, F. Effect of biodiversity changes in disease risk: Exploring disease emergence in a plant-virus system. PLoS Path 2012, 8, e1002796. [Google Scholar] [CrossRef] [PubMed]
- Guo, W.; Xin, M.; Wang, Z.; Yao, Y.; Hu, Z.; Song, W.; Yu, K.; Chen, Y.; Wang, X.; Guan, P.; et al. Origin and adaptation to high altitude of Tibetan semi-wild wheat. Nat. Commun. 2020, 11, 5085. [Google Scholar] [CrossRef] [PubMed]
- Doebley, J.F.; Gaut, B.S.; Smith, B.D. The Molecular Genetics of Crop Domestication. Cell 2006, 127, 1309–1321. [Google Scholar] [CrossRef] [PubMed]
- Olsen, K.M.; Wendel, J.F. A Bountiful Harvest: Genomic insights into crop domestication phenotypes. Annu. Rev. Plant Biol. 2013, 64, 47–70. [Google Scholar] [CrossRef] [PubMed]
- Stewart, A.; Joachimiak, A.; Ellison, N. Genomic and geographic origins of Timothy (Phleum sp.) based on ITS and chloroplast sequences. In Molecular Breeding of Forage and Turf; Springer: New York, NY, USA, 2009; pp. 71–81. [Google Scholar]
- Stewart, A.; Joachimiak, A.; Ellison, N. Phleum. In Wild Crop Relatives: Genomic and Breeding Resources: Millets and Grasses; Kole, C., Ed.; Springer: Berlin/Heidelberg, Germany, 2011. [Google Scholar]
- Marti, J.; Savin, R.; Slafer, G.A. Wheat Yield as Affected by Length of Exposure to Waterlogging During Stem Elongation. J. Agron. Crop Crop Sci. 2015, 201, 473–486. [Google Scholar] [CrossRef]
- Tian, L.-x.; Zhang, Y.-c.; Chen, P.-l.; Zhang, F.-f.; Li, J.; Yan, F.; Dong, Y.; Feng, B.-l. How Does the Waterlogging Regime Affect Crop Yield? A Global Meta-Analysis. Front. Plant Sci. 2021, 12, 634898. [Google Scholar] [CrossRef]
- Ploschuk, R.; Ploschuk, E.; Striker, G.; Miralles, D.; Colmer, T. Waterlogging of Winter Crops at Early and Late Stages: Impacts on Leaf Physiology, Growth and Yield. Front. Plant Sci. 2018, 9, 1863. [Google Scholar] [CrossRef]
- Striker, G.; Colmer, T. Flooding tolerance of forage legumes. J. Exp. Bot. 2017, 68, 1851–1872. [Google Scholar] [CrossRef]
- Allen, N.; MacAdam, J. Forages; Moore, K., Collins, M., Nelson, J., Redfearn, D., Eds.; Iowa State University Press: Ames, IA, USA, 2020; Volume 2, pp. 497–513. [Google Scholar]
- Pampana, S.; Masoni, A.; Arduini, I. Response of cool-season grain legumes to waterlogging at flowering. Can. J. Plant Sci. 2016, 96, 597–603. [Google Scholar] [CrossRef]
- Heide, O.M.; Solhaug, K.A. Growth and Reproduction Capacities of Two Bipolar Phleum alpinum Populations from Norway and South Georgia. Arct. Antarct. Alp. Res. 2001, 33, 170–180. [Google Scholar] [CrossRef]
- Heide, O.M. Control of flowering and reproduction in temperate grasses. New Phytol. 1994, 128, 347–362. [Google Scholar] [CrossRef]
- Mui, N.T.; Zhou, M.; Parsons, D.; Smith, R.W. Aerenchyma Formation in Adventitious Roots of Tall Fescue and Cocksfoot under Waterlogged Conditions. Agronomy 2021, 11, 2487. [Google Scholar] [CrossRef]
- Mcfarlane, N.M.; Ciavarella, T.A.; Smith, K.F. The effects of waterlogging on growth, photosynthesis and biomass allocation in perennial ryegrass (Lolium perenne L.) genotypes with contrasting root development. J. Agric. Sci. 2003, 141, 241–248. [Google Scholar] [CrossRef]
- de San Celedonio, R.P.; Abeledo, L.G.; Brihet, J.M.; Miralles, D.J. Waterlogging Affects Leaf and Tillering Dynamics in Wheat and Barley. J. Agron. Crop Sci. 2015, 202, 409–420. [Google Scholar] [CrossRef]
- Malik, A.I.; Colmer, T.D.; Lambers, H.; Schortemeyer, M. Changes in physiological and morphological traits of roots and shoots of wheat in response to different depths of waterlogging. Aust. J. Plant Physiol. 2001, 28, 1121–1131. [Google Scholar] [CrossRef]
- Borrego-Benjumea, A.; Carter, A.; Zhu, M.; Tucker, J.; Zhou, M.; Badea, A. Genome-Wide Association Study of Waterlogging Tolerance in Barley (Hordeum vulgare L.) Under Controlled Field Conditions. Front. Plant Sci. 2021, 12, 711654. [Google Scholar] [CrossRef]
- Malik, A.I.; Colmer, T.D.; Lambers, H.; Setter, T.L.; Schortemeyer, M. Short-term waterlogging has long-term effects on the growth and physiology of wheat. New Phytol. 2002, 153, 225–236. [Google Scholar] [CrossRef]
- Steffens, D.; Hütsch, B.W.; Eschholz, T.; Lošák, T.; Schubert, S. Water logging may inhibit plant growth primarily by nutrient deficiency rather than nutrient toxicity. Plant Soil Environ. 2005, 12, 545–552. [Google Scholar] [CrossRef]
- Wua, X.; Tanga, Y.; Lia, C.; McHughb, A.D.; Lia, Z.; Wu, C. Individual and combined effects of soil waterlogging and compaction on physiological characteristics of wheat in southwestern China. Field Crops Res. 2018, 215, 163–172. [Google Scholar] [CrossRef]
- Arduini, I.; Baldanzi, M.; Pampana, S. Reduced Growth and Nitrogen Uptake During Waterlogging at Tillering Permanently Affect Yield Components in Late Sown Oats. Front. Plant Sci. 2019, 10, 1080. [Google Scholar] [CrossRef]
- Beegum, S.; Truong, V.; Bheemanahalli, R.; Brand, D.; Reddy, V.; Reddy, K.R. Developing functional relationships between waterlogging and cotton growth and physiology-towards waterlogging modeling. Front. Plant Sci. 2023, 14, 1174682. [Google Scholar] [CrossRef]
- Chandra, P.; Bell, R.; Barrett-Lennard, E.; Kabir, E.; Mainuddin, M.; Sarker, K.K. Short-Term Waterlogging Depresses Early Growth of Sunflower (Helianthus annuus L.) on Saline Soils with a Shallow Water Table in the Coastal Zone of Bangladesh. Soil Syst. 2021, 5, 68. [Google Scholar] [CrossRef]
- Jiménez, J.d.l.C.; Cardoso, J.A.; Kotula, L.; Veneklaas, E.J.; Pedersen, O.; Colmer, T.D. Root length is proxy for high-throughput screening of waterlogging tolerance in Urochloa spp. grasses. Funct. Plant Biol. 2020, 48, 411–421. [Google Scholar] [CrossRef]
- Enkhbat, G.; Ryan, M.H.; Foster, K.J.; Nichols, P.G.H.; Kotula, L.; Hamblin, A.; Inukai, Y.; Erskin, W. Large variation in waterlogging tolerance and recovery among the three subspecies of Trifolium subterranean L. is related to root and shoot responses. Plant Soil 2021, 464, 467–487. [Google Scholar] [CrossRef]
- Real, D.; Warden, J.; Sandral, G.A.; Colmer, T.D. Waterlogging tolerance and recovery of 10 Lotus species. Aust. J. Exp. Agric. 2008, 48, 480–487. [Google Scholar] [CrossRef]
- Tong, C.; Beate Hill, C.; Zhou, G.; Zhang, X.-Q.; Jia, Y.; Li, C. Opportunities for Improving Waterlogging Tolerance in Cereal Crops—Physiological Traits and Genetic Mechanisms. Plants 2021, 10, 1560. [Google Scholar] [CrossRef]
- Pedersen, O.; Perata, P.; Voesenek, L.A.C.J. Flooding and low oxygen responses in plants. Funct. Plant Biol. 2017, 44, iii–vi. [Google Scholar] [CrossRef]
- Akman, M.; Bhikharie, A.V.; McLean, E.H.; Boonman, A.; Visser, E.J.W.; Schranz, M.E.; van Tienderen, P.H. Wait or escape? Contrasting submergence tolerance strategies of Rorippa amphibia, Rorippa sylvestris and their hybrid. Ann. Bot. 2012, 109, 1263–1276. [Google Scholar] [CrossRef]
- Herzog, M.; Striker, G.; Colmer, T.; Pedersen, O. Mechanisms of waterlogging tolerance in wheat—A review of root and shoot physiology. Plant Cell Environ. 2016, 39, 1068–1086. [Google Scholar] [CrossRef]
- Yamauchi, T.; Noshita, K.; Tsutsumi, N. Climate-smart crops: Key root anatomical traits that confer flooding tolerance. Breed. Sci. 2021, 71, 51–61. [Google Scholar] [CrossRef] [PubMed]
- Pedersen, O.; Sauter, M.; Colmer, T.; Nakazono, M. Regulation of root adaptive anatomical and morphological traits during low soil oxygen. New Phytol. 2021, 229, 42–49. [Google Scholar] [CrossRef] [PubMed]
- Liu, M.; Hulting, A.; Mallory-Smith, C. Comparison of growth and physiological characteristics between roughstalk bluegrass and tall fescue in response to simulated waterlogging. PLoS ONE 2017, 12, e0182035. [Google Scholar] [CrossRef]
- Ploschuk, R.; Grimoldi, A.; Ploschuk, E.; Striker, G. Growth during recovery evidences the waterlogging tolerance of forage grasses. Crop Pasture Sci. 2017, 68, 574–582. [Google Scholar] [CrossRef]
- Chen, X.-S.; Li, Y.-F.; Cai, Y.-H.; Xie, Y.-H.; Deng, Z.-M.; Li, F.; Hou, Z.-Y. Differential Strategies to Tolerate Flooding in Polygonum hydropiper Plants Originating From Low- and High-Elevation Habitats. Front. Plant Sci. 2019, 9, 1970. [Google Scholar] [CrossRef] [PubMed]
- Banach, K.; Banach, A.; Lamers, L.; De Kroon, H.; Bennicelli, R.P.; Smits, A.J.M.; Visser, E.J.W. Differences in flooding tolerance between species from two wetland habitats with contrasting hydrology: Implications for vegetation development in future floodwater retention areas. Ann. Bot. 2009, 103, 341–351. [Google Scholar] [CrossRef]
- Yamauchi, T.; Pedersen, O.; Nakazono, M.; Tsutsumi, N. Key root traits of Poaceae for adaptation to soil water gradients. New Phytol. 2021, 229, 3133–3140. [Google Scholar] [CrossRef]
- Rahimi, Y.; Bedada, G.; Moreno, S.; Gustavsson, A.-M.; Ingvarsson, P.K.; Westerbergh, A. Phenotypic Diversity in Domesticated and Wild Timothy Grass, and Closely Related Species for Forage Breeding. Plants 2023, 12, 3494. [Google Scholar] [CrossRef]







| Species | P. pratense | P. nodosum | P. alpinum | |||
|---|---|---|---|---|---|---|
| Traits | NWL | WL | NWL | WL | NWL | WL |
| SDW (g) | 7.88 ± 0.38 a | 8.07 ± 0.37 | 6.23 ± 0.62 a | 6.02 ± 0.86 | 0.85 ± 0.17 b | 0.82 ± 0.12 |
| TN (#plant−1) | 23.34 ± 0.99 a | 21.05 ± 0.89 | 30.79 ± 3.05 b | 29.21 ± 2.32 | 5.09 ± 0.79 c | 5.18 ± 0.42 |
| LN (#plant−1) | 138.89 ± 7.23 a | 129.14 ± 6.01 | 227.16 ± 21.12 b | 185.37 ± 13.5 | 24.0 ± 2.95 c | 23.27 ± 2.72 |
| TN:SDW (#plant × g−1) | 3.24 ± 0.21 b | 2.76 ± 0.13 | 5.40 ± 0.44 a | 6.31 ± 0.79 | 6.89 ± 0.69 ab | 10.02 ± 3.11 |
| LN:SDW (#plant × g−1) | 18.26 ± 0.84 b | 16.57 ± 0.65 | 41.47 ± 4.59 a | 39.47 ± 4.03 | 33.93 ± 4.48 ab | 46.92 ± 17.38 |
| LN:TN | 6.06 ± 0.25 b | 6.20 ± 0.19 | 7.57 ± 0.39 a | 6.7 ± 0.40 | 4.9 ± 0.40 b | 4.42 ± 0.30 |
| RGR-TN (#day −1) | 0.052 ± 0.002 b | 0.050 ± 0.002 | 0.061 ± 0.002 a | 0.062 ± 0.004 | 0.036 ± 0.006 c | 0.027 ± 0.004 |
| RGR-LN (#day −1) | 0.072 ± 0.002 b | 0.072 ± 0.002 | 0.092 ± 0.003 a | 0.087 ± 0.003 | 0.047 ± 0.004 c | 0.041 ± 0.004 |
| Source | SDW | TN | LN | TN:SDW | LN:SDW | LN:TN | ΔTN | ΔLN | RGR-TN | RGR-LN | RDW | %RDW | 5RDW:RDW | RA | CEA:RA | AA:CEA | CE:SA | SA:RA |
|---|---|---|---|---|---|---|---|---|---|---|---|---|---|---|---|---|---|---|
| P. pratense | ||||||||||||||||||
| Accessions | 2.5 ** | 2.5 ** | 3.7 *** | 3.6 *** | 5.3 *** | 2.9 *** | 2.3 * | 3.7 *** | 2.2 * | 2.4 ** | 4.4 ** | 2.6 ** | 2.2* | 4.2 *** | 9.2 *** | 3.8 *** | 6.5 *** | 9.1 *** |
| Treatment | 0.1 | 3.4 | 1.6 | 5.3 * | 3.8 | 0.2 | 4 | 1.6 | 1.1 | 0 | 21.2 *** | 32.0 *** | 85.9 *** | 17.2 *** | 78.6 *** | 565.2 *** | 66.0 *** | 76.8 *** |
| Accessions x Treatment | 0.5 | 0.5 | 1.2 | 1 | 1.3 | 1.5 | 0.4 | 1.3 | 0.9 | 1.5 | 3.6 *** | 2.5 ** | 0.9 | 2.6 *** | 2.4 ** | 5.7 *** | 2.2 ** | 2.4 ** |
| P. nodosum | ||||||||||||||||||
| Accessions | 13.0 *** | 6.9 *** | 6.8 *** | 2.1 | 4.3 *** | 4.0 *** | 5.6 ** | 6.4 *** | 5.9 ** | 11.5 * | 19.4 *** | 6.0 *** | 6.22 *** | 50.3 *** | 4.8 ** | 23.2 *** | 2.3 | 4.1 ** |
| Treatment | 0 | 0 | 2.7 | 0.2 | 1 | 2.3 | 0 | 3.3 | 0.2 | 1.1 | 4.9 * | 18.9 *** | 126.1 *** | 22.3 *** | 55.5 *** | 229.2 *** | 5.7 * | 53.9 *** |
| Accessions x Treatment | 1.8 | 1 | 1.5 | 0.5 | 0.6 | 0.3 | 1.2 | 1.6 | 2 | 1.8 | 2.3 | 0.8 | 1.9 | 0.8 | 1.4 | 9.4 *** | 1 | 2.4 |
| P. alpinum | ||||||||||||||||||
| Accessions | 6.5 ** | 0.1 | 3.2 | 2.6 | 4.7 *** | 22.2 *** | 0.2 | 2.7 | 0.5 | 0.3 | 0.4 | 13.0 *** | 0.6 | 1 | 3.5 ** | 0.3 | 4.1 ** | 3.4 * |
| Treatment | 0.1 | 0 | 0.1 | 1.1 | 0.6 | 2.7 | 0 | 0.3 | 0.1 | 1.1 | 14.2 ** | 12.7 *** | 50.4 *** | 10.9 *** | 4.4 ** | 29.2 *** | 53.9 *** | 4.9 * |
| Accessions x Treatment | 0.1 | 2.1 | 1.8 | 1.6 | 1.1 | 1.7 | 1.4 | 2.6 | 0.4 | 2.6 | 0.1 | 0.2 | 1.2 | 1.2 | 1.5 | 0.4 | 2.4 | 0.3 |
| W and D of P. pratense | ||||||||||||||||||
| Group | 1.5 | 2.7 | 1.1 | 3.9 | 2.6 | 0.1 | 0.8 | 0.6 | 1 | 0 | 1.7 | 0 | 1.1 | 14.5 *** | 36.6 *** | 394.4 *** | 54.1 *** | 54.1 *** |
| Treatment | 0.1 | 0.9 | 0.5 | 5.5* | 6.7 ** | 0.1 | 3.5 | 1.1 | 0.8 | 0.7 | 12.0 *** | 22.1 *** | 75.1 *** | 0.4 | 65.3 *** | 0.6 | 19.8 *** | 19.8 *** |
| Group x Treatment | 0.1 | 0.3 | 0.2 | 1.8 | 0.1 | 3.2 | 0.1 | 0.2 | 0 | 0.5 | 0.2 | 0 | 0.6 | 1.8 | 3.1 | 5.5 * | 0.5 | 0.5 |
| WL | ln(SDW) | ln(TN) | ln(LN) | ln(RDW) | %RDW | 5RDW:RDW | RA | CEA:RA | AA:RA | AA:CEA | CEA:SA | SA:RA | |
|---|---|---|---|---|---|---|---|---|---|---|---|---|---|
| NWL | |||||||||||||
| ln(SDW) | 0.83 | 0.83 | 0.91 | −0.47 | −0.75 | 0.41 | 0.61 | 0.72 | 0.72 | 0.57 | −0.61 | ||
| ln(TN) | 0.91 | 0.98 | 0.68 | −0.49 | −0.42 | 0.08 | 0.55 | 0.48 | 0.48 | 0.48 | −0.55 | ||
| ln(LN) | 0.84 | 0.97 | 0.67 | −0.48 | −0.4 | 0.08 | 0.59 | 0.50 | 0.50 | 0.52 | −0.59 | ||
| ln(RDW) | 0.87 | 0.72 | 0.65 | −0.08 | −0.88 | 0.59 | 0.58 | 0.83 | 0.83 | 0.56 | −0.58 | ||
| %RDW | −0.78 | −0.78 | −0.73 | −0.4 | −0.03 | 0.22 | −0.24 | 0.01 | 0.01 | −0.18 | 0.24 | ||
| 5RDW:RDW | −0.15 | −0.02 | −0.07 | −0.41 | −0.28 | −0.69 | −0.53 | −0.79 | −0.80 | −0.53 | 0.53 | ||
| RA | 0.36 | 0.03 | −0.06 | 0.64 | 0.08 | −0.5 | 0.37 | 0.72 | 0.72 | 0.39 | −0.37 | ||
| CEA:RA | 0.22 | 0.25 | 0.18 | 0.20 | −0.12 | 0.08 | 0.11 | 0.74 | 0.72 | 0.98 | −1.00 | ||
| AA:RA | 0.31 | −0.03 | −0.09 | 0.54 | 0.09 | −0.47 | 0.90 | 0.08 | 1.00 | 0.73 | −0.74 | ||
| AA:CEA | 0.30 | −0.03 | −0.09 | 0.54 | 0.09 | −0.47 | 0.90 | 0.05 | 1.00 | 0.71 | −0.72 | ||
| CEA:SA | 0.25 | 0.29 | 0.19 | 0.24 | −0.14 | 0.05 | 0.12 | 0.97 | 0.05 | 0.02 | −0.97 | ||
| SA:RA | −0.24 | −0.27 | −0.19 | −0.21 | 0.15 | −0.09 | −0.12 | −1.00 | −0.08 | −0.06 | −0.98 | ||
Disclaimer/Publisher’s Note: The statements, opinions and data contained in all publications are solely those of the individual author(s) and contributor(s) and not of MDPI and/or the editor(s). MDPI and/or the editor(s) disclaim responsibility for any injury to people or property resulting from any ideas, methods, instructions or products referred to in the content. |
© 2023 by the authors. Licensee MDPI, Basel, Switzerland. This article is an open access article distributed under the terms and conditions of the Creative Commons Attribution (CC BY) license (https://creativecommons.org/licenses/by/4.0/).
Share and Cite
Moreno, S.; Bedada, G.; Rahimi, Y.; Ingvarsson, P.K.; Westerbergh, A.; Lundquist, P.-O. Response to Waterlogging Stress in Wild and Domesticated Accessions of Timothy (Phleum pratense) and Its Relatives P. alpinum and P. nodosum. Plants 2023, 12, 4033. https://doi.org/10.3390/plants12234033
Moreno S, Bedada G, Rahimi Y, Ingvarsson PK, Westerbergh A, Lundquist P-O. Response to Waterlogging Stress in Wild and Domesticated Accessions of Timothy (Phleum pratense) and Its Relatives P. alpinum and P. nodosum. Plants. 2023; 12(23):4033. https://doi.org/10.3390/plants12234033
Chicago/Turabian StyleMoreno, Silvana, Girma Bedada, Yousef Rahimi, Pär K. Ingvarsson, Anna Westerbergh, and Per-Olof Lundquist. 2023. "Response to Waterlogging Stress in Wild and Domesticated Accessions of Timothy (Phleum pratense) and Its Relatives P. alpinum and P. nodosum" Plants 12, no. 23: 4033. https://doi.org/10.3390/plants12234033
APA StyleMoreno, S., Bedada, G., Rahimi, Y., Ingvarsson, P. K., Westerbergh, A., & Lundquist, P.-O. (2023). Response to Waterlogging Stress in Wild and Domesticated Accessions of Timothy (Phleum pratense) and Its Relatives P. alpinum and P. nodosum. Plants, 12(23), 4033. https://doi.org/10.3390/plants12234033

