The Exploration of Flowering Mechanisms in Cherry Plants
Abstract
:1. Introduction
2. Results and Discussion
2.1. Comparison of Growth Index and Phenological Period
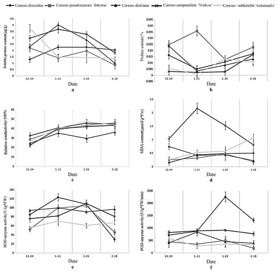
2.2. Study on Cold Tolerance of Cerasus Plants in Natural Cooling Process
2.3. Analysis of Nutrient and Hormone Content Changes during Flower Bud Differentiation of C. yedoensis ‘Somei-Yoshino’ and C. subhirtella ‘Autumnalis’
2.3.1. Observation of Flower Bud Internal Morphology during Differentiation
2.3.2. Changes in Soluble Sugar and Soluble Protein Contents in Leaves during Flower Bud Differentiation
2.3.3. Changes in Hormone Content in Flower Buds during Flower Bud Differentiation
3. Materials and Methods
3.1. Experimental Materials
3.2. Experimental Methods
3.2.1. Phenological Observation
3.2.2. Growth Indicators
3.2.3. Physiological Index Determination
4. Discussion
5. Conclusions
Supplementary Materials
Author Contributions
Funding
Data Availability Statement
Conflicts of Interest
References
- Shi, S.; Li, J.; Sun, J.; Yu, J.; Zhou, S. Phylogeny and classification of Prunus sensu lato (Rosaceae). J. Integr. Plant Biol. 2013, 55, 1069–1079. [Google Scholar] [CrossRef]
- Celgev, O.; Su, Y. A secondary flowering of a plant. Bull. Biol. 1995, 7, 20–21. [Google Scholar]
- Wang, J.J.; Wang, Q.H. Preliminary report on the phenomenon of second flowering of woody plant. J. Gansu For. Sci. Technol. 2009, 34, 10–15. [Google Scholar]
- Zhang, Y.; Tang, H.; Luo, Y. Research advance in the response of plants to low temperature stress and molecular genetic improvement. J. Anhui Agric. Sci. 2006, 34, 3268–3272. [Google Scholar]
- Vosnjak, M.; Kastelec, D.; Vodnik, D.; Hudina, M.; Usenik, V. The physiological response of the sweet cherry leaf to non-freezing low temperatures. Hortic. Environ. Biotechnol. 2021, 62, 199–211. [Google Scholar] [CrossRef]
- Cafer, K.; Ozkan, K. Differential thermal analysis reveals the sensitivity of sweet cherry flower organs to low temperatures. Int. J. Biometeorol. 2022, 66, 987–994. [Google Scholar]
- Shi, P.; Che, Z.; Reddy, G.; Hui, C.; Huang, J.; Xiao, M. Timing of cherry tree blooming: Contrasting effects of rising winter low temperatures and early spring temperatures. Agric. For. Meteorol. 2017, 240–241, 78–89. [Google Scholar] [CrossRef]
- Chen, X. The Evaluation of Cold Tolerance in Different Sweet Cherry Varieties. Ph.D. Thesis, Hebei Agricultural University, Baoding, China, 2019. [Google Scholar]
- Zhang, C.; Zhao, Y.; Zhang, K.; Niu, J. Changes in cell electrical conductivity of sweet cherry branches under continuous low temperature stress. Northern Hortic. 2012, 3, 11–13. [Google Scholar]
- Li, B.; Liu, C.; Yang, R.; Liu, Q. Study of the cold tolerance of cherry rootstocks. J. Fruit Sci. 2006, 23, 196–199. [Google Scholar]
- Zhang, Y.H.; Rong, J.D.; Li, S.P.; He, T.Y.; Chen, L.Y.; Zheng, Y.S. Effect of low temperature on biochemical characteristics of Prunus campanulata Maxim. J. Fujian Coll. For. 2013, 33, 326–329. [Google Scholar]
- Mathers, H.M.; Iezzoni, A.F. Evaluation of Prunus cerasus Germplasm for Cold Tolerance; Michigan State University: East Lansing, MI, USA, 1991. [Google Scholar]
- Soloklui, A.A.G.; Ershadi, A.; Fallahi, E. Evaluation of cold hardiness in seven Iranian commercial pomegranate (Punica granatum L.) cultivars. HortScience 2012, 47, 1821–1825. [Google Scholar] [CrossRef]
- Gao, A.; Li, J.; Liu, R.; He, Z.; Sun, Y. Advances in research on flower bud differentiation mechanism in higher plants. Nonwood Forest Res. 2010, 28, 131–136. [Google Scholar]
- Pan, R. Plant Physiology; Higher Education Press: Beijing, China, 2008. [Google Scholar]
- Chen, C.; Yu, F. Research progress on flower bud differentiation of trees. Sci. Silvae Sin. 2020, 56, 119–129. [Google Scholar]
- Kataoka, K.; Sumitomo, K.; Fudano, T.; Kawase, K. Changes in sugar content of Phalaenopsis leaves before floral transition. Sci. Hortic. 2004, 102, 121–132. [Google Scholar] [CrossRef]
- Huang, S.; Li, Y.; Lv, C.; Lei, H.; Ye, Q. Changes in carbohydrates distribution in phalaenopsis leaves and axillary buds during floral induction. Acta Hortic. Sin. 2007, 34, 1515–1519. [Google Scholar]
- He, W.; Wang, Y.; Chen, Y.; Gao, M.; Xu, Z.; Cao, P.; Li, H.; Zhao, G.; Jiao, Y. Flower bud anatomical characteristics and carbon and nitrogen nutrition changes of litsea cubeba in female flower bud differentiation. For. Res. 2018, 31, 154–160. [Google Scholar]
- Jiang, Z.; Sun, L.Y.; Liu, X.; Liu, C.N.; Yin, Z.F. Nutritional effect and rhythm of spring and summer flowering in Magnolia soulangeana ‘Changchun’. Bull. Bot. Res. 2019, 39, 192–199. [Google Scholar]
- Tang, G. Studies on the growth of the spring shoots of the tea oil trees and substance transformation. Nonwood Forest Res. 1984, 37, 44–51. [Google Scholar]
- Villar, L.; Lienqueo, I.; Llanes, A.; Rojas, P.; Perez, J.; Correa, F.; Sagredo, B.; Masciarelli, O.; Luna, V.; Almada, R. Comparative transcriptomic analysis reveals novel roles of transcription factors and hormones during the flowering induction and floral bud differentiation in sweet cherry trees (Prunus avium L. cv. Bing). PLoS ONE 2020, 15, e0230110. [Google Scholar] [CrossRef]
- Zheng, N. Study on Flower Bud Differentiation and Hybrid Breeding of Cerasus spp. Ph.D. Thesis, Qingdao Agricultural University, Qingdao, China, 2020. [Google Scholar]
- Yang, Y. Study on the Relationship between Multiple Flowering and Endogenous Hormones in Blueberries. Master’s Thesis, Yunan University, Kunming, China, 2020. [Google Scholar]
- Cheney, K. Effects of exogenous hormones on phenolic content and related enzyme activities of sweet cherry flower buds during dormancy period. Vegetable 2012, 51–53. Available online: https://www.veg.ac.cn/ch/reader/view_abstract.aspx?file_no=201206176&flag=1 (accessed on 20 November 2023).
- Cai, B.; Wan, H.; Liu, T.; Zhuang, W.; Wang, Z.; Qu, S.; Qin, Y. Effects of gibberellins A4 on budbreak, antioxidant enzymes’ activity and proline content of flower buds in sweet cherry (Prunus avium). Acta Physiol. Plant. 2019, 41, 1–9. [Google Scholar] [CrossRef]
- Wang, L.; Zhang, C.; Huang, J.; Zhu, L.; Yu, X.; Li, J.; Lou, Y.; Xu, W.; Wang, S.; Ma, C. Hydrogen cyanamide improves endodormancy release and blooming associated with endogenous hormones in ‘Summit’ sweet cherry trees. N. Z. J. Crop Hortic. Sci. 2017, 45, 14–28. [Google Scholar] [CrossRef]
- Yuan, X. Effect of GA on Autumn Reflowering of Tree Peony. Master’s Thesis, Beijing Forestry University, Beijing, China, 2020. [Google Scholar]
- Zhang, W.E.; Wang, F.; Pan, X.J. Comprehensive evaluation on cold hardiness of Vitis species by subordinate function (SF). J. Fruit Sci. 2007, 24, 849–853. [Google Scholar]
- Ablitifu, Y.; Tiemuer, A.; Abudureheman, P.; Li, J. Comprehensive evaluation on cold hardiness of pear rootstocks by the subordinate function. J. China Agric. Univ. 2014, 19, 121–129. [Google Scholar]
- Gao, A.; Jiang, S.; Zhao, X.; Deng, J.; Sha, S.; Liu, Z.; Zhang, M. Study on the hardiness of apple cultivars. J. Fruit Sci. 2000, 17, 17–21. [Google Scholar]
- Choi, S.-T.; Park, D.-S.; Kang, S.-M. Nutrient accumulation and flower bud formation affected by the time of terminal bud set on water sprouts of persimmon. HortScience 2011, 46, 523–526. [Google Scholar] [CrossRef]
- Xing, L.B.; Zhang, D.; Li, Y.M.; Shen, Y.W.; Zhao, C.P.; Ma, J.J.; An, N.; Han, M.Y. Transcription profiles reveal sugar and hormone signaling pathways mediating flower induction in apple (Malus domestica Borkh.). Plant Cell Physiol. 2015, 56, 2052–2068. [Google Scholar] [CrossRef]
- Wang, Q.; Liu, X.; Xu, L. Atlas of Major Cultivated Cherry Blossom Varieties in China; Zhejiang Science Technology Press: Hangzhou, China, 2015. [Google Scholar]
- Guo, X.; Hu, Y.; Ma, J.Y.; Wang, H.; Wang, K.L.; Wang, T.; Jiang, S.Y.; Jiao, J.B.; Sun, Y.K.; Jiang, X.L.; et al. Nitrogen Deposition Effects on Invasive and Native Plant Competition: Implications for Future Invasions. Ecotoxicol. Environ. Saf. 2023, 259, 115029. [Google Scholar] [CrossRef]
- Li, H. Principles and Techniques of Plant Physiology and Biochemistry Experiments; Higher Education Press: Beijing, China, 2000. [Google Scholar]
- Kong, X.; Yi, X. Experimental Techniques in Plant Physiology; China Agriculture Press: Beijing, China, 2008. [Google Scholar]
- Zhong, D.; Ding, M.; Tang, F.; Mo, R.; Teng, Y. Determination of four endogenous phytohormones in bamboo shoots by liquid chromatography-tandem mass spectrometry. J. Anal. Chem. 2013, 41, 1739–1743. [Google Scholar] [CrossRef]
- Bai, R.; Gao, D.; Liu, H.; Feng, J.; Lu, X. Comparison of cold tolerance in twelve grapevine rootstocks using relative electrical conductivity method and Logistic equation. J. Shihezi Univ. 2014, 32, 657–660. [Google Scholar]
- Li, P.C.; Guo, S.J.; Li, M.; Su, X.D.; Wang, J.J. Change of cold-resistant physiological indicators of Vitis amurensis during natural overwintering. Guizhou Agric. Sci. 2013, 41, 69–71. [Google Scholar]
- He, H. Study on Germplasm Resources and Cold Tolerance of Wild Bermudagrass in Qingyi River Basin. Ph.D. Thesis, Sichuan Agricultural University, Chengdu, China, 2003. [Google Scholar]
- Xu, Y.; Li, J.; Luo, S.; Yang, W.; Zhou, C. Determination of physiological index of cold tolerance of Amygdalus ledebouriana schleche under the stress of low temperature. J. Xinjiang Agric. Univ. 2008, 31, 1–4. [Google Scholar]
- Che, D.; Wang, J.; Liu, H. Relationship between cold tolerance physiological indexes and cold tolerance of Rosa floribunda. N. Hortic. 2000, 24, 57. Available online: http://bfyy.paperonce.org/oa/DArticle.aspx?type=view&id=200002043 (accessed on 20 November 2023).
- Wang, Y.; Qiao, Y.; Mei, X.; Le, W.; Shi, M.; Wu, Y.; Liu, C.; Tian, X.; Fan, X. Physiological and biochemical indexes of change of cold hardiness of different branches of walnut under low temperature. Chin. Agric. Sci. Bull. 2013, 29, 40–44. [Google Scholar] [CrossRef]
- Feng, X.; Dong, Q.; Li, X.; Lu, B. cold tolerance of Pistacia chinensis and Koelreuteria integrifoliola. Chin. J. Appl. Ecol. 2011, 22, 1141–1146. [Google Scholar]
- Wang, L. Study on Cold Tolerance of Four Sedum Plants Abstract. Ph.D. Thesis, Nanjing Forestry University, Nanjing, China, 2010. [Google Scholar]
- Luo, J.; Tang, H.; Hang, Y. Differences of activities of protective enzymes of tea plant varieties with different cold resistant abilities. J. Hunan Agric. Univ. 2001, 27, 94–96. [Google Scholar]
- Ning, Y.; Xing, W.; Chen, J.; Li, R.; Jin, X. Evaluation on cold—Hardines s of 5 kinds of parakmeria by subordinate function values analysis. In Proceedings of the 2015 China Ornamental Horticulture Symposium, Xiamen, China, 18 August 2015; pp. 551–557. [Google Scholar]
- Pan, Y.; Che, F.B.; Zheng, S.H.; Zhang, T.; Hu, B.W. Annual branch cold tolerance measuring of Wen-185 walnut (Juglans regia L.). Xinjiang Agric. Sci. 2012, 49, 454–460. [Google Scholar]
- Li, S.; Feng, J.; Feng, J.; Li, Y.; Zhao, B.; Fan, X. Research on cold tolerance in 8 apple cultivars. J. Shihezi Univ. 2014, 32, 279–284. [Google Scholar]
- Wang, X.H.; Zhuang, N.S. Advances in research on proline and cold tolerance of plant. Chin. Agric. Sci. Bull. 2008, 24, 398–402. [Google Scholar]
- Hu, Y.L.; Yao, X.H.; Ren, H.D.; Wang, K.L.; Zhang, S. Physiological and biochemical change in spring shoots during Camellia oleifera flower bud differentiation. J. Yangzhou Univ. Agric. Life Sci. Ed. 2016, 37, 93–99. [Google Scholar]
- Cheng, H.; Li, L.; Wang, S.; Wang, Y.; Cheng, S. Changes of nutrient content in Castanea mollissima ‘bayuehong’ during the floral bud differentiation stage. Hubei Agric. Sci. 2013, 52, 5502–5505. [Google Scholar]
- Zhang, H.F.; Wei, Q.C.; Li, C.Z.; Jiang, C.M.; Zhang, H.C. Comparative Proteomic Analysis Provides Insights into the Regulation of Flower Bud Differentiation in Crocus sativus L. J. Food Biochem. 2016, 40, 567–582. [Google Scholar] [CrossRef]
- Moghaddam, M.R.B.; Ende, W.V.D. Sugars, the clock and transition to flowering. Front. Plant Sci. 2013, 4, 22. [Google Scholar] [CrossRef] [PubMed]
- Ouyang, F.; Yuan, D.; Fan, X.; Zou, F.; Gao, C.; Wang, G. A study on the floral shoot differentiation process and the changes in nutrient contents in Castanea henryi. J. Fruit Sci. 2017, 34, 1007–1015. [Google Scholar]
- Mo, C.M.; Tu, D.P.; Huang, J.; Ma, X.J.; Pan, L.M.; Yao, S.C.; Feng, S.X.; Bai, L.H. Morphological and endogenous hormones characteristics of flower bud of Siraitia grosvenorii during its differentiation. Acta Bot. Boreali-Occid. Sin. 2015, 35, 98–106. [Google Scholar]
- Wang, Y.; Fan, C.; Shen, X.; Qu, G.; Shi, J. Changes in endogenous hormones during the flower bud differentiation of sweet cherry. Acta Agric. Boreali-Occid. Sin 2002, 11, 64–67. [Google Scholar]
- Hu, S.Q.; Xuan, Z.C.; Zhu, C.; Lu, S.; Shen, B.C.; Guo, J.J. Changes of endogenous hormone contents during flower bud differentiation of sweet osmanthus. Acta Bot. Boreali-Occid. Sin. 2011, 31, 398–400. [Google Scholar]
- Luo, Y.; Xie, W.; Ma, K. Correlation between endogenous hormones contents and flower bud differentiation stage of Ficus carica L. Acta Bot. Boreali-Occid. Sin. 2007, 27, 1399–1404. [Google Scholar]
- Yang, Y.; Shao, Z.; Qiu, S.; Li, Y. Changes of endogenous hormones, carbohydrate and nitrogen nutrition during the flower bud differentiation of Bougainvillea glabra. Chin. Agric. Sci. Bull. 2008, 24, 281–284. [Google Scholar]
- Zhu, Z.; Jiang, C.; Shi, Y.; Chen, W.; Chen, N.; Zhao, M.; Wu, W. Variations of endogenous hormones in lateral buds of olive trees (Olea europaea) during floral induction and flower-bud differentiation. Sci. Silvae Sin. 2015, 51, 32–39. [Google Scholar]
- Du, J.; Li, P.; Gu, Y.; Wang, Z.; Xing, W.; Zheng, C. Changes in endogenous hormones and carbohydrate content during flower bud differentiation in Olea europaea. J. West China For. Sci. 2018, 47, 122–126. [Google Scholar]






| Variety Name | Survey Year | Average Ground Diameter (cm) | Average Plant Height (cm) | Average Crown Width (cm) | Annual Growth of Average Ground Diameter (cm) | Growth Index |
|---|---|---|---|---|---|---|
| Cerasus discoidea | March 2016 | 3.98 | 313 | 139 | --------- | --------- |
| March 2017 | 4.08 | 320 | 144 | 0.10 | 0.77 | |
| March 2018 | 4.24 | 325 | 148 | 0.16 | 1.23 | |
| Cerasus pseudocerasus ‘Introtsa’ | March 2016 | 3.90 | 248 | 149 | --------- | --------- |
| March 2017 | 4.20 | 259 | 191 | 0.30 | 0.46 | |
| March 2018 | 5.20 | 278 | 226 | 1.00 | 1.54 | |
| Cerasus subhirtella ‘Autumnalis’ | March 2016 | 3.84 | 221 | 159 | --------- | --------- |
| March 2017 | 4.13 | 235 | 191 | 0.29 | 0.59 | |
| March 2018 | 4.82 | 256 | 214 | 0.69 | 1.41 | |
| Cerasus dielsiana | March 2016 | 3.85 | 295 | 175 | --------- | --------- |
| March 2017 | 4.13 | 299 | 184 | 0.28 | 0.67 | |
| March 2018 | 4.68 | 312 | 193 | 0.55 | 1.33 | |
| Cerasus ‘Youkou’ | March 2016 | 3.51 | 227 | 130 | --------- | --------- |
| March 2017 | 3.74 | 234 | 138 | 0.23 | 0.78 | |
| March 2018 | 4.10 | 248 | 147 | 0.36 | 1.22 |
| Variety Name | Years | Bud Enlargement | Flowering Period | Leaf Stage | Fruit Growth and Fruit Drop | Shoot Growth Period | Flower Bud Differentiation | Autumn Leaf Discoloration | Deciduous Period | Dormant Period |
|---|---|---|---|---|---|---|---|---|---|---|
| Cerasus discoidea | 2016 | End of February–03/09 | 03/10–04/11 | 04/05–04/20 | 04/20–05/15 | 04/09–09/15 | Early 2007–mid-November | 09/25–10/22 | 10/21–Early mid-November | Mid-November–mid-February |
| 2017 | End of February–03/06 | 03/07–04/10 | 04/03–04/18 | 04/18–05/12 | 04/05–09/10 | Early 2007–mid-November | 09/20–10/20 | 10/18–Early mid-November | Mid-November–mid-February | |
| Cerasus pseudocerasus ‘Introtsa’ | 2016 | Early March–03/16 | 03/17–04/03 | 04/02–04/18 | 04/22–05/18 | 04/09–09/16 | Mid-July–mid-November | 10/01–10/30 | 11/07–Late November | Late November–early March |
| 2017 | Early March–03/14 | 03/15–04/03 | 04/02–04/15 | 04/20–05/15 | 04/07–09/15 | Mid-July–mid-November | 09/30–10/30 | 11/05–Late November | Late November–early March | |
| Cerasus subhirtella ‘Autumnalis’ | 2016 | Early March–03/14 Mid-September– 09/20 | 03/15–04/15 09/21–11/11 | 04/12–04/19 | 04/23–05/10 | 04/13–09/22 | Early July–mid-November | 09/30–11/07 | 10/28–Late November | Late November–late February |
| 2017 | Early March–03/13 Mid-September– 09/19 | 03/13–04/12 09/20–11/10 | 04/10–04/17 | 04/20–05/07 | 04/12–09/20 | Early July–mid-November | 09/28–11/05 | 10/28–Late November | Late November–late February | |
| Cerasus dielsiana | 2016 | Early March–03/18 | 03/19–04/09 | 04/07–04/22 | 04/20–05/22 | 04/09–09/20 | Mid-July–mid-November | 09/27–11/04 | 11/09–Mid-November | Mid-November–early March |
| 2017 | Early March –03/15 | 03/16–04/07 | 04/05–04/20 | 04/18–05/20 | 04/07–09/18 | Mid-July–mid-November | 09/25–11/02 | 11/08–Mid-November | Mid-November–early March | |
| Cerasus ‘Youkou’ | 2016 | Early March–03/18 | 03/19–04/18 | 04/14–04/22 | 04/25–05/30 | 04/13–09/26 | Mid-July–mid-November | 09/30–11/05 | November/December–Late November | Late November–early March |
| 2017 | Early March–03/17 | 03/18–04/15 | 04/12–04/21 | 04/23–05/30 | 04/12–09/25 | Mid-July–mid-November | 09/27–11/03 | November/October–Late November | Late November–early March | |
| Carasus × yedoensis ‘Somei-Yoshino’ | 2016 | Mid-March–04/06 | 04/07–04/27 | 04/21–05/03 | 05/05–06/10 | 04/23–10/16 | Mid-07–mid-to-late November | 10/10–11/15 | 11/22–Late November | Late November–early April |
| 2017 | Mid-March–04/04 | 04/05–04/25 | 04/19–05/01 | 05/03–06/08 | 04/21–09/24 | Mid-07–mid-to-late November | 10/08–11/14 | 11/20–Late November | Late November–early April |
| Species and Varieties | Relative Conductivity of Twigs | SOD Activity | POD Activity | MDA Content | Soluble Protein Content | Free Proline Content | Average Membership Function | Cold Tolerance Ranking |
|---|---|---|---|---|---|---|---|---|
| discoidea | 0.658 | 0.512 | 0.655 | 0.853 | 0.630 | 0.254 | 0.594 | ② |
| C. pseudocerasus ‘Introtsa’ | 0.314 | 0.589 | 0.871 | 0.883 | 0.347 | 0.606 | 0.602 | ① |
| C. subhirtella ‘Autumnalis’ | 0.792 | 0.320 | 0.126 | 0.784 | 0.407 | 0.773 | 0.534 | ③ |
| C. dielsiana | 0.716 | 0.498 | 0.841 | 0.194 | 0.495 | 0.391 | 0.522 | ④ |
| C. ‘Youkou’ | 0.323 | 0.545 | 0.303 | 0.544 | 0.406 | 0.839 | 0.493 | ⑤ |
| Number | Plant | Ornamental Traits | Flowering Characteristics | Provenance |
|---|---|---|---|---|
| 1 | C. subhirtella ‘Autumnalis’ | Semidouble light pink flower, blooming twice a year | It opens twice in spring and autumn, from mid to late March in spring, and from mid to late October until the end of November in autumn | C. spachiana × Cerasus incisa × Other cherry blossom varieties |
| 2 | C. subhirtella ‘Accolade’ | Semidouble pink flower, blooming twice a year | It opens twice in spring and autumn, with the flowering period occurring from October to December each year, and from March to April the following year | Cerasus sargentii Rehd. × C. spachiana |
| 3 | C. yedoensis’ Somei-Yoshino’ | Main cultivated varieties in garden, single petal flower, pink white | It opens in late March in spring, with flowers appearing first and leaves following later | C. speciosa × C. spachiana |
| 4 | Cerasus serrulata var. lannesiana ‘Matsumae-Benihigoromo’ | Double petal, pink, flowering in early April | Late March to early April in spring | C. nipponica × C. lannesiana |
| 5 | C. pseudocerasus ‘Introtsa’ | Single petal flower, 5 petals, pink—Pink white | Mid to late March in spring | Prunus campanulata × Prurus pseudo-cerasus |
| 6 | C. ‘Youkou’ | Single petal flower, 5 petals, light red | From late March to early April in spring, flowers bloom first and leaves follow later | Cerasus × yedoensis‘Amagi-yoshino’ × P. campanulata |
| 7 | C. discoidea | Single petal, 5 petals, pink | Spring blooms in March, with flowers appearing first and leaves following later | Chinese original species |
| 8 | C. dielsiana | Single petal, 5 petals, white or pink | From March to April in spring, the first leaves open or are near opening | Chinese original species |
| 9 | C. spachiana f.ascendens | Single white flower | Early March to early April in spring | Native to Japan |
| Sample Collection Period | Semi-Monthly Mean Maximum Temperature (°C) | Monthly Mean Minimum Temperature (°C) | Minimum Temperature During Collection Period (°C) |
|---|---|---|---|
| 24 December 2016 | 7.1 | 0.1 | −4 |
| 11 January 2017 | 6.1 | −0.7 | −6 |
| 25 January 2017 | 3.4 | −3.8 | −8 |
| 18 February 2017 | 5.6 | −1.4 | −6 |
| Main Observation Period | Observing Standards |
|---|---|
| Bud expansion stage | Bud scales begin to separate, and young leaves or flower buds of fresh color appear at the top of the bud |
| Flowering stage | A little green appears at the tip of the flower bud, and approximately 80% of the flowers on the entire tree typically shed petals |
| Leaf spreading period | The first batch of leaflets, with 1–2 leaflets, spread out to half of the branches, eventually spreading out completely |
| Fruit growth and development and fruit drop period | The ovary begins to swell until more than half of the fruit falls off |
| New shoot growth period | It starts from the sprouting of leaf buds until the branches stop growing |
| Flower bud differentiation stage | The flower bud differentiation stage is observed through paraffin sectioning or the bud stripping method |
| Leaf color change period in autumn | Approximately 5% of the leaves of the entire plant begin to show autumn colors, with more than half of the leaves displaying autumn hues |
| Deciduous period | Approximately 5% of the leaves on the entire tree begin to fall off, with about 90% to 95% of the leaves on the entire tree eventually falling off |
| Dormancy period | All leaves fall off until the sap flows in the next year |
Disclaimer/Publisher’s Note: The statements, opinions and data contained in all publications are solely those of the individual author(s) and contributor(s) and not of MDPI and/or the editor(s). MDPI and/or the editor(s) disclaim responsibility for any injury to people or property resulting from any ideas, methods, instructions or products referred to in the content. |
© 2023 by the authors. Licensee MDPI, Basel, Switzerland. This article is an open access article distributed under the terms and conditions of the Creative Commons Attribution (CC BY) license (https://creativecommons.org/licenses/by/4.0/).
Share and Cite
Xu, Y.; Li, J.; Wang, P.; Wang, W.; Guo, Y.; Hao, X.; Du, L.; Zhou, C. The Exploration of Flowering Mechanisms in Cherry Plants. Plants 2023, 12, 3980. https://doi.org/10.3390/plants12233980
Xu Y, Li J, Wang P, Wang W, Guo Y, Hao X, Du L, Zhou C. The Exploration of Flowering Mechanisms in Cherry Plants. Plants. 2023; 12(23):3980. https://doi.org/10.3390/plants12233980
Chicago/Turabian StyleXu, Yanxia, Jingjing Li, Pengyi Wang, Wenhui Wang, Yuning Guo, Xueying Hao, Liyan Du, and Chunling Zhou. 2023. "The Exploration of Flowering Mechanisms in Cherry Plants" Plants 12, no. 23: 3980. https://doi.org/10.3390/plants12233980
APA StyleXu, Y., Li, J., Wang, P., Wang, W., Guo, Y., Hao, X., Du, L., & Zhou, C. (2023). The Exploration of Flowering Mechanisms in Cherry Plants. Plants, 12(23), 3980. https://doi.org/10.3390/plants12233980
