Relationship between Species Diversity and Community Stability in Degraded Alpine Meadows during Bare Patch Succession
Abstract
:1. Introduction
2. Materials and Methods
2.1. Study Area
2.2. Methods
2.2.1. Sample Plot Setup
2.2.2. Vegetation Survey and Sampling
2.2.3. Species Diversity Index
- RC (%) = The coverage of a species/coverage of all species
- RH (%) = The height of the individual of a species/the sum of the individual heights of all species
- RA (%) = The specie of the number of individuals/number of individuals of all species
2.2.4. Plant Community Stability
3. Results
3.1. Diversity of Plant Composition
3.1.1. Important Value
3.1.2. Functional Group Structure of Plant Communities
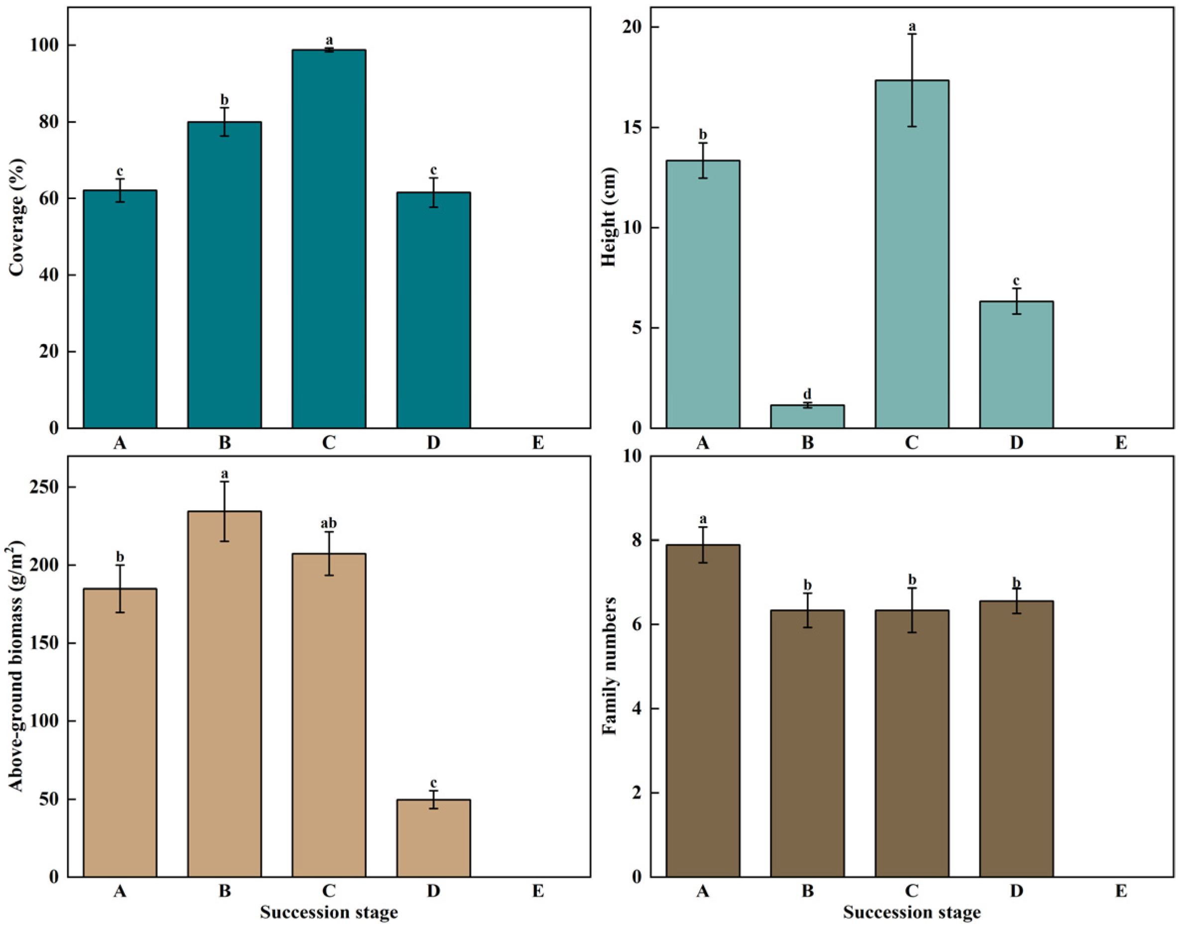
3.1.3. Changes in Plant Community Coverage and Biomass
3.2. Plant Species Diversity during Vegetation Succession
3.3. Analysis of Plant Community Stability
3.4. Relationship between Plant Species Diversity and Community Stability
3.5. Evaluation of Community Stability under Bare Patch Succession
4. Discussion
4.1. Changing Plant Community Characteristics of Bare Patch Succession
4.2. Relationship between Community Stability and Other Characteristics
4.3. Evaluation of Community Stability
5. Conclusions
Author Contributions
Funding
Data Availability Statement
Acknowledgments
Conflicts of Interest
References
- Jiang, X.J.; Zhu, X.; Yuan, Z.Q.; Li, X.G.; Liu, W.J.; Zakari, S. Lateral flow between bald and vegetation patches induces the degradation of alpine meadow in Qinghai-Tibetan Plateau. Sci. Total Environ. 2021, 751, 142338. [Google Scholar] [CrossRef]
- Zheng, H.P.; Chen, Z.X.; Niu, J.Y.; Gao, Y.H. Effects of interseeding on plant diversity and productivity in Maqu alpine desertified meadow. Acta Prataculturae Sin. 2009, 18, 28–33. [Google Scholar]
- Shang, Z.-h.; Dong, Q.-m.; Shi, J.-j.; Zhou, H.-k.; Dong, S.-k.; Shao, X.-q.; Li, S.-x.; Wang, Y.-l.; Ma, Y.-s.; Ding, L.-m. Research progress in recent ten years of ecological restoration for ‘Black Soil Land’ degraded grassland on Tibetan Plateau—Concurrently discuss of ecological restoration in Sangjiangyuan region. Acta Agrestia Sin. 2018, 26, 1–21. [Google Scholar]
- Jiang, Z.; Lei, F.; Zhang, C.; Liu, M. Biodiversity Conservation and Its Research Process; Springer: Berlin/Heidelberg, Germany, 2015. [Google Scholar]
- Zhang, Q.; Zhang, D. Biodiversity and ecosystem multifunctionality: Advances and perspectives. Biodivers. Sci. 2002, 10, 49–60. [Google Scholar]
- Geng, Q.; Arif, M.; Yuan, Z.; Zheng, J.; He, X.; Ding, D.; Yin, F.; Li, C. Plant species composition and diversity along successional gradients in arid and semi-arid regions of China. Forest Ecol. Manag. 2022, 524, 120542. [Google Scholar]
- Whittaker, R.J.; Willis, K.J.; Field, R. Scale and species richness towards a general, hierarchical theory of species diversity. J. Biogeogr. 2001, 4, 453–470. [Google Scholar] [CrossRef]
- Wang, J.; Wang, S.-S.; Qiao, X.-G.; Li, A.; Xue, J.-G.; Hasi, M.; Zhang, X.-Y.; Huang, J.-H. Influence of nitrogen addition on the primary production in Nei Mongol degraded grassland. Chin. J. Plant Ecol. 2016, 40, 980–990. [Google Scholar]
- Campbell, V.; Murphy, G.; Romanuk, T.N. Experimental design and the outcome and interpretation of diversity–stability relations. Oikos 2011, 120, 399–408. [Google Scholar] [CrossRef]
- Giehl, E.L.H.; Jarenkow, J.A. Disturbance and stress gradients result in distinct taxonomic, functional and phylogenetic diversity patterns in a subtropical riparian tree community. J. Veg. Sci. 2015, 26, 889–901. [Google Scholar] [CrossRef]
- McCann, K.S. The diversity–stability debate. Nature 2000, 405, 228–233. [Google Scholar] [CrossRef]
- Ouyang, S.; Xiang, W.H.; Gou, M.M.; Chen, L.; Lei, P.F.; Xiao, W.F.; Deng, X.W.; Zeng, L.X.; Li, J.R.; Zhang, T.; et al. Stability in subtropical forests: The role of tree species diversity, stand structure, environmental and socio-economic conditions. Global Ecol. Biogeogr. 2021, 30, 500–513. [Google Scholar] [CrossRef]
- Huston, M.A.; Smith, T.M. Plant Succession: Life History and Competition. Am. Nat. 1987, 130, 168–198. [Google Scholar] [CrossRef]
- Li, H.-D.; Wu, X.-W.; Xiao, Z.-S. Assembly, ecosystem functions, and stability in species interaction networks. Chin. J. Plant Ecol. 2021, 45, 1049–1063. [Google Scholar] [CrossRef]
- Li, Z.-Y.; Ye, X.-Z.; Wang, S.-P. Ecosystem stability and its relationship with biodiversity. Chin. J. Plant Ecol. 2021, 45, 1127–1139. [Google Scholar] [CrossRef]
- Wang, H.; Lv, G.; Zhou, Y.; Cao, J. Effects of functional diversity and functional redundancy on the stability of desert plant communities under different water and salt gradients. Acta Ecol. Sin. 2017, 37, 7928–7937. [Google Scholar]
- Zheng, H.; Ouyang, Z.; Zhao, T.; Li, Z.; Xu, W. The impact of human activities on ecosystem services. J. Nat. Resour. 2003, 18, 118–126. [Google Scholar]
- Song, M.; Liu, L.; Chen, J.; Zhang, X. Biology, Multi-function and Optimized Management in Grassland Ecosystem. Ecol. Environ. Sci. 2018, 27, 1179–1188. [Google Scholar]
- Araújo, M.B.; Rahbek, C. How Does Climate Change Affect Biodiversity? Science 2006, 313, 1396–1397. [Google Scholar] [CrossRef]
- Loreau, M.; de Mazancourt, C. Biodiversity and ecosystem stability: A synthesis of underlying mechanisms. Ecol. Lett. 2013, 16, 106–115. [Google Scholar] [CrossRef]
- Ma, Z.; Liu, H.; Mi, Z.; Zhang, Z.; Wang, Y.; Xu, W.; Jiang, L.; He, J. Climate warming reduces the temporal stability of plant community biomass production. Nat. Commun. 2017, 8, 15378. [Google Scholar] [CrossRef]
- Zhang, W.; Yi, S.; Chen, J.; Qin, Y.; Chang, L.; Sun, Y.; Shangguan, D. Characteristics and controlling factors of alpine grassland vegetation patch patterns on the central Qinghai-Tibetan plateau. Ecol. Indic. 2021, 125, 107570. [Google Scholar] [CrossRef]
- Yu, J.; Yin, Q.; Niu, J.; Yan, Z.; Wang, H.; Wang, Y.; Chen, D. Consistent effects of vegetation patch type on soil microbial communities across three successional stages in a desert ecosystem. Land Degrad. Dev. 2022, 33, 1552–1563. [Google Scholar] [CrossRef]
- Zhang, J.; Wang, P.; Yang, M.; Gu, Q.; Ji, B. Plant-soil feedbacks and succession dynamics of plant community in grassland: The roles of mycorrhizal fungi and soil pathogens. Acta Ecol. Sin. 2021, 41, 9878–9885. [Google Scholar]
- Crawford, K.M.; Bauer, J.T.; Comita, L.S.; Eppinga, M.B.; Johnson, D.J.; Mangan, S.A.; Queenborough, S.A.; Strand, A.E.; Suding, K.N.; Umbanhowar, J.; et al. When and where plant-soil feedback may promote plant coexistence: A meta-analysis. Ecol. Lett. 2019, 22, 1274–1284. [Google Scholar] [CrossRef] [PubMed]
- Wu, L.; Chen, H.; Chen, D.; Wang, S.; Wu, Y.; Wang, B.; Liu, S.; Yue, L.; Yu, J.; Bai, Y. Soil biota diversity and plant diversity both contributed to ecosystem stability in grasslands. Ecol. Lett. 2023, 26, 858–868. [Google Scholar] [CrossRef]
- Wu, S.; Wen, L.; Dong, S.; Gao, X.; Xu, Y.; Li, S.; Dong, Q.; Wessell, K. The Plant Interspecific Association in the RevegetatedAlpine Grasslands Determines the ProductivityStability of Plant Community Across Restoration Timeon Qinghai-Tibetan Plateau. Front. Plant Sci. 2022, 13, 850854. [Google Scholar] [CrossRef]
- Wang, Y.; Lv, W.; Xue, K.; Wang, S.; Zhang, L.; Hu, R.; Zeng, H.; Xu, X.; Li, Y.; Jiang, L.; et al. Grassland changes and adaptive management on the Qinghai–Tibetan Plateau. Nat. Rev. Earth Environ. 2022, 3, 668–683. [Google Scholar] [CrossRef]
- Che, R.; Wang, Y.; Li, K.; Xu, Z.; Hu, J.; Wang, F.; Rui, Y.; Li, L.; Pang, Z.; Cui, X. Degraded patch formation significantly changed microbial community composition in alpine meadow soils. Soil Tillage Res. 2019, 195, 104426. [Google Scholar] [CrossRef]
- Ratzke, C.; Barrere, J.; Gore, J. Strength of species interactions determines biodiversity and stability in microbial communities. Nat. Ecol. Evol. 2020, 4, 376–383. [Google Scholar] [CrossRef]
- Wang, G. Further thoughts on diversity and stability in ecosystems. Biodivers. Sci. 2002, 10, 126–134. [Google Scholar] [CrossRef]
- MacArthur, R. Fluctuations of Animal Populations and a Measure of Community Stability. Ecology 1955, 36, 533–536. [Google Scholar] [CrossRef]
- Elton, C.S. The Ecology of Invasions by Animals and Plants; Springer Nature: Berlin/Heidelberg, Germany, 2020. [Google Scholar]
- Wang, Y.; Tao, J.; Peng, Y. Advances in species diversity of terrestrial plant communities. Guihaia 2006, 26, 406–411. [Google Scholar]
- Yao, T.; Zhu, Z.; Li, Y.; Pan, S.; Kong, B.; Wei, X.; Du, J. Effects offunctional diversity and functional redundancy on the community stability of an alpine meadow. Acta Ecol. Sin. 2016, 36, 1547–1558. [Google Scholar]
- Tilman, D.; Reich, P.B.; Knops, J.M.H. Biodiversity and ecosystem stability in a decade-long grassland experiment. Nature 2006, 441, 629–632. [Google Scholar] [CrossRef] [PubMed]
- Fan, G.H.; Shen, X.J.; Li, Q.; Song, Y.T.; Zhou, D.W.; Huang, Y.X. Herbaceous plant biodiversity in Songnen grassland: Species diversity and functional group diversity. Chin. J. Ecol. 2016, 35, 3205–3214. [Google Scholar]
- Liu, R.S.; Wang, D.M.; Li, P.; Jin, Y.G.; Liang, S.C. Plant diversity, ground biomass characteristics and their relationships of typical plantations in the alpine region of Qinghai. Acta Ecol. Sin. 2020, 2, 692–700. [Google Scholar]
- Schneider, D.C. Quantitative Ecology: Spatial and Temporal Scaling; Elsevier: Amsterdam, The Netherlands, 1994. [Google Scholar]
- Craven, D.; Eisenhauer, N.; Pearse, W.D.; Hautier, Y.; Isbell, F.; Roscher, C.; Bahn, M.; Beierkuhnlein, C.; Bönisch, G.; Buchmann, N.; et al. Multiple facets of biodiversity drive the diversity–stability relationship. Nat. Ecol. Evol. 2018, 2, 1579–1587. [Google Scholar] [CrossRef] [PubMed]
- Hou, G.; Shi, P.; Zhou, T.; Sun, J.; Zong, N.; Song, M.; Zhang, X. Dominant species play a leading role in shaping community stability in the northern Tibetan grasslands. J. Plant Ecol. 2023, 16, c110. [Google Scholar] [CrossRef]







| Treatment | Successional Stage | Longitude, Latitude | Altitude/m |
|---|---|---|---|
| A | Short-term recovery patch | 34°41′4″, 101°46′3″ | 3609 |
| B | Long-term recovery patch | 34°41′2″, 101°45′55″ | 3606 |
| C | Healthy alpine meadow | 34°18′30″, 101°22′0″ | 3494 |
| D | Degraded alpine meadow | 34°40′58″, 101°46′4″ | 3610 |
| E | Bare patch | 34°41′3″, 101°46′0″ | 3604 |
| Family | Species | Importance Values | ||||
|---|---|---|---|---|---|---|
| A | B | C | D | E | ||
| Gramineae | Elymus nutans | 0.17 | 0.21 | 0.23 | 0.11 | — |
| Deschampsia cespitosa | — | 0.07 | 0.07 | — | — | |
| Stipa capillata | — | — | 0.05 | — | — | |
| Poa annua | 0.14 | 0.24 | 0.16 | 0.09 | — | |
| Agrostis canina | — | — | 0.07 | — | — | |
| Leymus chinensis | — | — | 0.11 | — | — | |
| Koeleria macrantha | — | 0.30 | 0.12 | — | — | |
| Cyperaceae | Carex spp. | 0.12 | 0.13 | 0.10 | 0.07 | — |
| Kobresia humips | — | 0.16 | 0.07 | 0.39 | — | |
| Kobresia humilis | — | — | 0.06 | — | — | |
| Composite | Taraxacum mongolicum | 0.04 | 0.02 | 0.03 | 0.02 | — |
| Cirsium arvense var. integrifolium | 0.06 | 0.03 | — | — | — | |
| Ajania tenuifolia | 0.10 | 0.03 | 0.02 | 0.03 | — | |
| Leontopodium leontopodioides | — | 0.07 | 0.03 | 0.11 | — | |
| Saussurea superba | 0.02 | 0.08 | 0.07 | 0.08 | — | |
| Pedicularis resupinata | 0.09 | 0.03 | — | — | — | |
| Ligularia virgaurea | 0.02 | 0.05 | — | 0.11 | — | |
| Aster tataricus | — | — | 0.08 | — | — | |
| Anaphalis lactea | — | 0.06 | — | 0.11 | — | |
| Rosaceae | Potentilla anserina | — | 0.08 | 0.07 | — | — |
| Parnassia palustris | — | — | 0.03 | — | — | |
| Potentilla chinensis | — | 0.04 | 0.25 | 0.04 | — | |
| Potentilla discolor | — | 0.02 | 0.05 | 0.06 | — | |
| Potentilla pamiroalaica | — | — | 0.06 | — | — | |
| Leguminous | Oxytropis tianschanica | — | 0.01 | 0.05 | 0.05 | — |
| Tibetia himalaica | — | 0.01 | 0.03 | — | — | |
| Astragalus membranaceus | 0.03 | 0.04 | — | 0.06 | — | |
| Medicago Sativa | — | — | 0.07 | — | — | |
| Ranunculaceae | Ranunculus japonicus | 0.04 | 0.02 | 0.06 | — | — |
| Delphinium caeruleum | — | — | 0.05 | — | — | |
| Aconitum carmichaelii | 0.06 | — | — | — | — | |
| Lamiaceae | Elsholtzia densa | 0.36 | — | — | — | — |
| Ajuga lupulina | 0.09 | 0.04 | — | — | — | |
| Gentianaceae | Gentiana straminea | — | 0.04 | 0.03 | 0.09 | — |
| Halenia corniculata | 0.04 | 0.04 | 0.07 | 0.05 | — | |
| Gentiana scabra | — | 0.03 | — | 0.05 | — | |
| Scrophulariaceae | Veronica polita | 0.07 | 0.03 | — | — | — |
| Lancea tibetica | 0.10 | 0.06 | 0.01 | 0.04 | — | |
| Lagotis brachystachy | — | — | 0.02 | — | — | |
| Umbelliferae | Pleurospermum uralense | — | — | 0.05 | — | — |
| Daucus carota | 0.03 | 0.02 | — | — | — | |
| Plantaginaceae | Plantago asiatica | — | 0.02 | 0.03 | — | — |
| Caryophyllaceae | Stellaria media | — | 0.01 | — | — | — |
| Brassicaceae | Descurainia sophia | 0.08 | — | — | — | — |
| Thymelaeaceae | Stellera chamaejasme | — | — | 0.05 | — | — |
| Amaranthaceae | Chenopodium glaucum | 0.09 | — | — | — | — |
| Rubiaceae | Galium spurium | 0.03 | — | — | — | — |
| Boraginaceae | Microula sikkimensis | 0.07 | — | — | — | — |
| Liliaceae | Allium sikkimense | — | — | 0.04 | — | — |
| Polygonaceae | Polygonum sibiricum | 0.05 | — | — | — | — |
| Test Type | Test Results | |
|---|---|---|
| Kaiser–Meyer–Olkin Measure of Sampling Adequacy | 0.602 | |
| Bartlett’s Test of Sphericity | Approx. Chi-Square | 575.368 |
| Df | 6 | |
| Sig. | 0.000 | |
| Component | Initial Eigenvalues | Extraction Sums of Squared Loadings | Rotational Load Sum of Squares | ||||||
|---|---|---|---|---|---|---|---|---|---|
| Total | % of Variance | Cumulative % | Total | % of Variance | Cumulative % | Total | % of Variance | Cumulative % | |
| 1 | 3.895 | 97.378 | 97.378 | 3.895 | 97.378 | 97.378 | 2.152 | 53.811 | 53.811 |
| 2 | 0.100 | 2.505 | 99.883 | 0.100 | 2.505 | 99.883 | 1.843 | 46.072 | 99.883 |
| 3 | 0.004 | 0.100 | 99.983 | ||||||
| 4 | 0.001 | 0.017 | 100.000 | ||||||
| Indicators | Principal Components | |
|---|---|---|
| 1 | 2 | |
| Species richnessX1 | 0.548 | 0.836 |
| Shannon–Weiner Diversity IndexX2 | 0.714 | 0.699 |
| Species evennessX3 | 0.844 | 0.536 |
| Simpson Diversity IndexX4 | 0.794 | 0.607 |
| Indicators | Principal Components | |
|---|---|---|
| 1 | 2 | |
| Species richnessX1 | −1.463 | 1.955 |
| Shannon–Weiner Diversity IndexX2 | −0.014 | 0.394 |
| Species evennessX3 | 1.390 | −1.136 |
| Simpson Diversity IndexX4 | 0.805 | −0.496 |
| Succession Stage | F1 | F2 | Composite Score |
|---|---|---|---|
| A | −11.272 | 16.768 | 1.655 |
| B | −14.333 | 20.933 | 1.925 |
| C | −16.318 | 23.774 | 2.164 |
| D | −13.701 | 20.070 | 1.868 |
| E | 0.000 | 0.000 | 0.000 |
Disclaimer/Publisher’s Note: The statements, opinions and data contained in all publications are solely those of the individual author(s) and contributor(s) and not of MDPI and/or the editor(s). MDPI and/or the editor(s) disclaim responsibility for any injury to people or property resulting from any ideas, methods, instructions or products referred to in the content. |
© 2023 by the authors. Licensee MDPI, Basel, Switzerland. This article is an open access article distributed under the terms and conditions of the Creative Commons Attribution (CC BY) license (https://creativecommons.org/licenses/by/4.0/).
Share and Cite
She, Y.; Li, X.; Li, C.; Yang, P.; Song, Z.; Zhang, J. Relationship between Species Diversity and Community Stability in Degraded Alpine Meadows during Bare Patch Succession. Plants 2023, 12, 3582. https://doi.org/10.3390/plants12203582
She Y, Li X, Li C, Yang P, Song Z, Zhang J. Relationship between Species Diversity and Community Stability in Degraded Alpine Meadows during Bare Patch Succession. Plants. 2023; 12(20):3582. https://doi.org/10.3390/plants12203582
Chicago/Turabian StyleShe, Yandi, Xilai Li, Chengyi Li, Pengnian Yang, Zihan Song, and Jing Zhang. 2023. "Relationship between Species Diversity and Community Stability in Degraded Alpine Meadows during Bare Patch Succession" Plants 12, no. 20: 3582. https://doi.org/10.3390/plants12203582
APA StyleShe, Y., Li, X., Li, C., Yang, P., Song, Z., & Zhang, J. (2023). Relationship between Species Diversity and Community Stability in Degraded Alpine Meadows during Bare Patch Succession. Plants, 12(20), 3582. https://doi.org/10.3390/plants12203582
