Influence of the Abiotic Elicitors Ag Salts of Aspartic Acid Derivatives, Self-Organized in Nanofibers with Monomeric and Dimeric Molecular Structures, on the Antioxidant Activity and Stevioside Content in Micropropagated Stevia rebaudiana Bert.
Abstract
1. Introduction
2. Results
2.1. Morphological Evaluation
2.2. Antioxidant Enzyme Activity
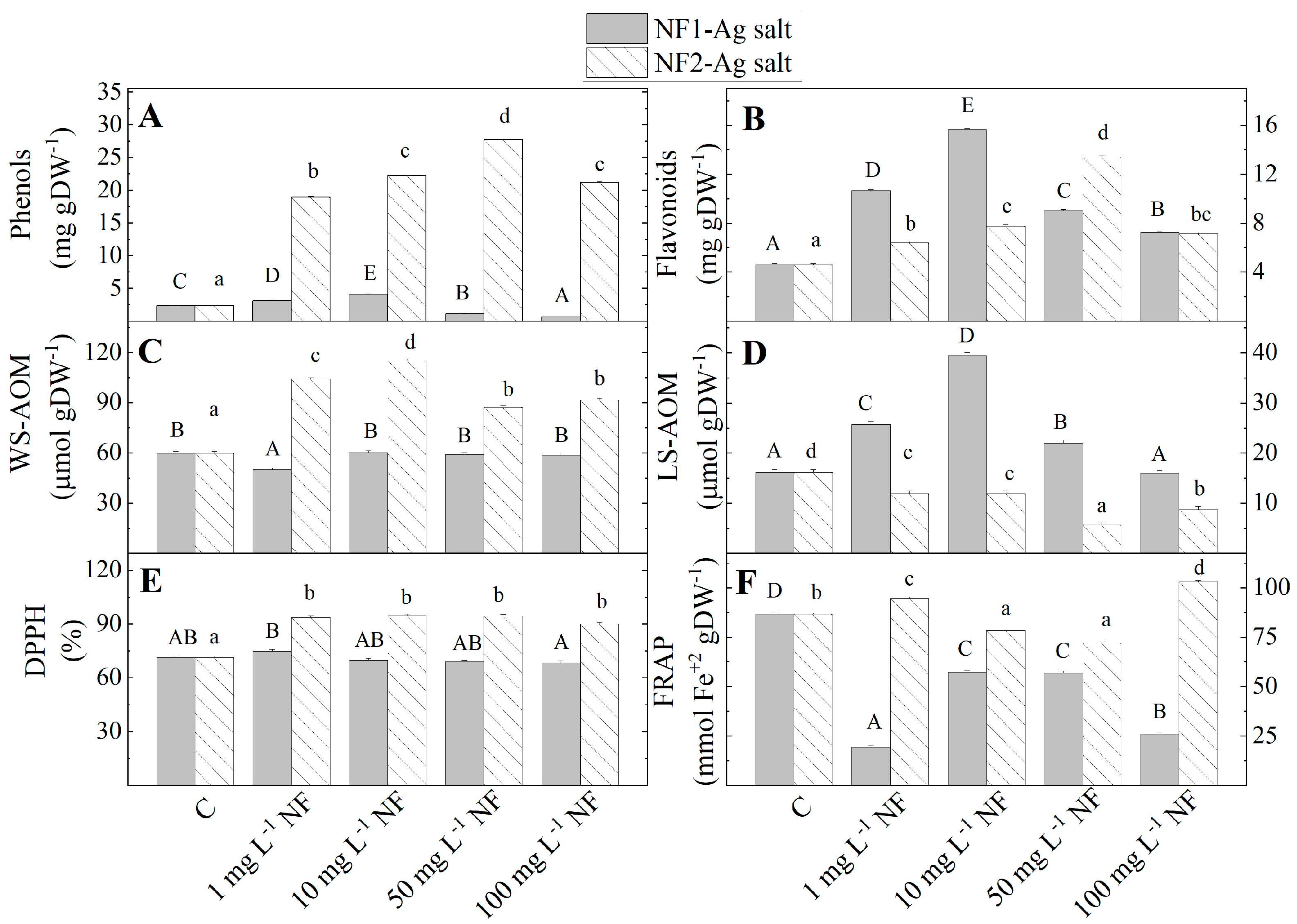
2.3. Non-Enzymatic Antioxidant Activity
2.4. Oxidative Stress Markers
2.5. Content of Diterpenoid Steviol Glycosides (Stevioside and Rebaudioside A) and Mono and Di Chlorogenic Acids
3. Discussion
4. Materials and Methods
4.1. Chemicals and Reagents
4.2. Chemical Nanofibers Synthesis
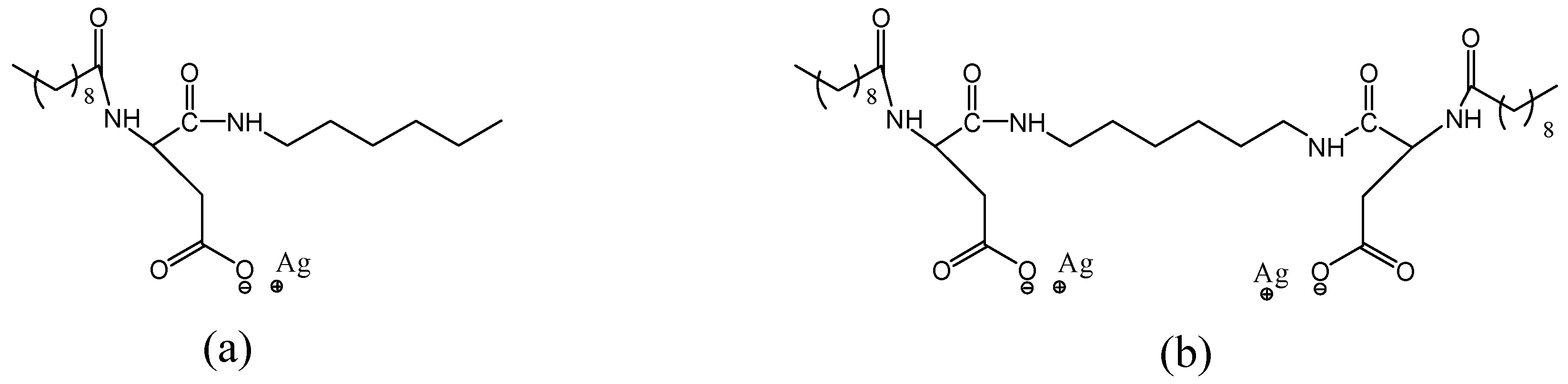
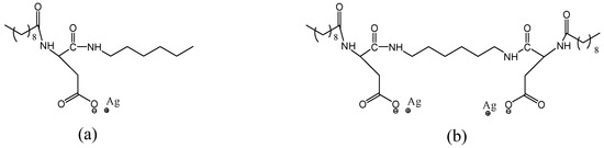
4.2.1. Chemical Synthesis
4.2.2. Chemical Synthesis of Both Compounds Has Been Accomplished in Similar Ways, Using the Corresponding Organic Compounds, Presented in Figure 8

4.2.3. Supramolecular Structures of Silver Salts Used
4.3. Plant Material
4.4. Biometrics
4.5. Antioxidants (Enzymatic and Non-Enzymatic)
4.6. Stress Markers Estimation
4.7. Soluble Sugar Analyses
4.8. Stevioside, Rebaudioside A, and Soluble Sugar Analyses
4.9. Determination of Mono- and Dicaffeoylquinic Acids and Quercetin-3-O-rhamnoside
4.10. Statistical Analysis
5. Conclusions
Supplementary Materials
Author Contributions
Funding
Data Availability Statement
Acknowledgments
Conflicts of Interest
References
- Gardana, C.; Simonetti, P.; Canzi, E.; Zanchi, R.; Pietta, P. Metabolism of stevioside and rebaudioside A from Stevia rebaudiana extracts by human microflora. J. Agric. Food Chem. 2003, 51, 6618–6622. [Google Scholar] [CrossRef]
- Carbonell-Capella, J.M.; Barba, F.J.; Esteve, M.J.; Frígola, A. High pressure processing of fruit juice mixture sweetened with Stevia rebaudiana Bertoni: Optimal retention of physical and nutritional quality. Innov. Food Sci. Emerg. Technol. 2013, 18, 48–56. [Google Scholar] [CrossRef]
- Tavarini, S.; Angelini, L.G. Stevia rebaudiana Bertoni as a source of bioactive compounds: The effect of harvest time, experimental site and crop age on steviol glycoside content and antioxidant properties. J. Sci. Food Agric. 2013, 93, 2121–2129. [Google Scholar] [CrossRef] [PubMed]
- Peteliuk, V.; Rybchuk, L.; Bayliak, M.; Storey, K.B.; Lushchak, O. Natural sweetener Stevia rebaudiana: Functionalities, health benefits and potential risks. EXCLI J. 2021, 20, 1412. [Google Scholar]
- Lala, S. Nanoparticles as elicitors and harvesters of economically important secondary metabolites in higher plants: A review. IET Nanobiotechnol. 2021, 15, 28–57. [Google Scholar] [CrossRef]
- Kim, D.H.; Gopal, J.; Sivanesan, I. Nanomaterials in plant tissue culture: The disclosed and undisclosed. RSC Adv. 2017, 7, 36492–36505. [Google Scholar] [CrossRef]
- Khan, I.; Saeed, K.; Khan, I. Nanoparticles: Properties, applications and toxicities. Arab. J. Chem. 2019, 12, 908–931. [Google Scholar] [CrossRef]
- Mahendran, D.; Geetha, N.; Venkatachalam, P. Role of silver nitrate and silver nanoparticles on tissue culture medium and enhanced the plant growth and development. In In Vitro Plant Breeding towards Novel Agronomic Traits: Biotic and Abiotic Stress Tolerance; Springer: Singapore, 2019; pp. 59–74. [Google Scholar]
- Bhandari, S.; Sinha, S.; Nailwal, T.K.; Thangadurai, D. Nanotechnology: An approach for enhancement of plant system in terms of tissue culture. In Biogenic Nanomaterials; Apple Academic Press: Burlington, ON, Canada, 2022. [Google Scholar]
- Castro-González, C.G.; Sánchez-Segura, L.; Gómez-Merino, F.C.; Bello-Bello, J.J. Exposure of stevia (Stevia rebaudiana B.) to silver nanoparticles in vitro: Transport and accumulation. Sci. Rep. 2019, 9, 10372. [Google Scholar] [CrossRef]
- Abdull, S.R.; Rashid, S.H.; Ghafoor, B.S.; Khdhir, B.S. Effect of Ag Nanoparticles on morphological and physio-biochemical traits of the medicinal plant Stevia rebaudiana. Caryologia 2022, 75, 15–22. [Google Scholar] [CrossRef]
- Agathokleous, E.; Kitao, M.; Calabrese, J. Hormesis: A compelling platform for sophisticated plant science. Trends Plant Sci. 2019, 24, 318–327. [Google Scholar] [CrossRef]
- Spinoso-Castillo, J.L.; Chavez-Santoscoy, R.A.; Bogdanchikova, N.; Pérez-Sato, J.A.; Morales-Ramos, V.; Bello-Bello, J.J. Antimicrobial and hormetic effects of silver nanoparticles on in vitro regeneration of vanilla (Vanilla planifolia Jacks. ex Andrews) using a temporary immersion system. Plant Cell Tissue Organ Cult. 2017, 129, 195–207. [Google Scholar] [CrossRef]
- Aghdaei, M.; Sarmast, M.K.; Salehi, H. Effects of silver nanoparticles on Tecomella undulata (Roxb.) Seem. micropropagation. Adv. Hortic. Sci. 2012, 26, 21–24. [Google Scholar]
- Venkatachalam, P.; Malar, S.; Thiyagarajan, M.; Indiraarulselvi, P.; Geetha, N. Effect of phytochemical coated silver nanocomplexes as novel growth-stimulating compounds for plant regeneration of Alternanthera sessilis L. J. Appl. Phycol. 2017, 29, 1095–1106. [Google Scholar] [CrossRef]
- Jasim, B.; Thomas, R.; Mathew, J.; Radhakrishnan, E.K. Plant growth and diosgenin enhancement effect of silver nanoparticles in Fenugreek (Trigonella foenum-graecum L.). Saudi Pharm. 2017, 25, 443–447. [Google Scholar] [CrossRef]
- Sewelam, N.; Kazan, K.; Schenk, P.M. Global plant stress signaling: Reactive oxygen species at the cross-road. Front. Plant Sci 2016, 7, 187. [Google Scholar] [CrossRef]
- Kim, J.K.; Baskar, T.B.; Park, S.U. Silver nitrate and putrescine enhance in vitro shoot organogenesis in Polygonum tinctorium. Biosci. Biotechnol. Res. Asia 2016, 13, 53–58. [Google Scholar] [CrossRef]
- Geetha, G.; Harathi, K.; Naidu, C.V. Role of silver nitrate on in vitro flowering and shoot regeneration of Solanum nigrum (L.)—An important multipurpose medicinal plant. Am. J. Plant Sci. 2016, 7, 1021. [Google Scholar] [CrossRef][Green Version]
- Panigrahi, J.; Dholu, P.; Shah, T.J.; Gantait, S. Silver nitrate-induced in vitro shoot multiplication and precocious flowering in Catharanthus roseus (L.) G. Don, a rich source of terpenoid indole alkaloids. Plant Cell Tissue Organ Cult. 2018, 132, 579–584. [Google Scholar] [CrossRef]
- Kumar, V.; Parvatam, G.; Ravishankar, G.A. AgNO3: A potential regulator of ethylene activity and plant growth modulator. Electron. J. Biotechnol. 2009, 12, 8–9. [Google Scholar] [CrossRef]
- Giridhar, P.; Reddy, B.O.; Ravishankar, G.A. Silver nitrate influences in vitro shoot multiplication and root formation in Vanilla planifolia Andr. Current Sci. 2001, 81, 1166–1170. [Google Scholar]
- Gao, H.; Xu, P.; Li, J.; Ji, H.; An, L.; Xia, X. AgNO3 prevents the occurrence of hyperhydricity in Dianthus chinensis L. by enhancing water loss and antioxidant capacity. Vitr. Cell. Dev. Biol. Plant 2017, 53, 561–570. [Google Scholar] [CrossRef]
- Cardoso, J.C.; Oliveira, M.E.; Cardoso, F.D.C. Advances and challenges on the in vitro production of secondary metabolites from medicinal plants. Hortic. Bras. 2019, 37, 124–132. [Google Scholar] [CrossRef]
- Saad, A.I.; Elshahed, A.M. Plant tissue culture media. In Recent Advances in Plant In Vitro Culture; IntechOpen: London, UK, 2012; pp. 30–40. [Google Scholar]
- Akhtar, G.; Jaskani, M.J.; Sajjad, Y.; Akram, A. Effect of antioxidants, amino acids and plant growth regulators on in vitro propagation of Rosa centifolia. Iran. J. Biotech. 2016, 14, e1152. [Google Scholar] [CrossRef]
- Haroun, S.A.; Shukry, W.M.; El-Sawy, O. Effect of asparagine or glutamine on growth and metabolic changes in Phaseolus vulgaris under in vitro conditions. Biosci. Res. 2010, 7, 01–21. [Google Scholar]
- Claparols, I.; Santos, M.A.; Torne, J.M. Influence of some exogenous amino acids on the production of maize embryogenic callus and on endogenous amino acid content. Plant Cell Tissue Organ Cult. 1993, 34, 1–11. [Google Scholar] [CrossRef]
- Sarker, K.K.; Kabir, A.H.; Sharmin, S.A.; Nasir, Z.; Alam, M. FImproved somatic embryogenesis using L-asparagine in wheat (Triticum aestivum L.). Sjemenarstvo 2007, 24, 187–196. [Google Scholar]
- Sarropoulou, V.; Chatzissavvidis, C.; Dimassi-Theriou, K.; Therios, I. Effect of asparagine, cysteine, citrulline, and glutamine on in vitro rooting and biochemical constituents in cherry rootstocks. Biol. Plant. 2016, 60, 1–12. [Google Scholar] [CrossRef]
- Hu, B.; Yan, H.; Sun, Y.; Chen, X.; Sun, Y.; Li, S.; Jing, Y.; Li, H. Organogels based on amino acid derivatives and their optimization for drug release using response surface methodology. Artif. Cells Nanomed. Biotechnol. 2020, 48, 266–275. [Google Scholar] [CrossRef] [PubMed]
- Kondova, V.K.; Tsekova, D.S.; Anchev, B.A.; Miravet, J.F.; Angulo-Pachón, C. Antimicrobial activities of amphiphilic derivatives of α-amino acids. J. Chem. Technol. Metall. 2023, 58, 552–564. [Google Scholar]
- Forsum, O.; Svennerstam, H.; Ganeteg, U.; Näsholm, T. Capacities and constraints of amino acid utilization in Arabidopsis. New Phytol. 2008, 179, 1058–1069. [Google Scholar] [CrossRef]
- Li, S.; Peng, F.; Xiao, Y.; Gong, Q.; Bao, Z.; Li, Y.; Wu, X. Mechanisms of high concentration valine-mediated inhibition of peach tree shoot growth. Front. Plant Sci. 2020, 11, 603067. [Google Scholar] [CrossRef]
- de Carvalho, D.C.; da Silva, A.L.; Schuck, M.R.; Purcino, M.; Tanno, G.N.; Biasi, L.A. Fox Grape cv. Bordô (Vitis labrusca L.) and Grapevine cv. Chardonnay (Vitis vinifera L.) cultivated in vitro under different carbohydrates, amino acids and 6- Benzylaminopurine levels. Braz. Arch. Biol. Technol. 2013, 56, 191–201. [Google Scholar] [CrossRef]
- Yildirim, H.; Onay, A.; Gunduz, K.; Ercisli, S.; Karaat, F.E. An improved micropropagation protocol for lentisk (Pistacia lentiscus L.). Folia Hortic. 2019, 31, 61–69. [Google Scholar] [CrossRef]
- Mehrian, S.K.; Heidari, R.; Rahmani, F.; Najafi, F. Effect of chemical synthesis silver nanoparticles on germination indices and seedlings growth in seven varieties of Lycopersicon esculentum Mill (tomato) plants. J. Clust. Sci. 2016, 27, 327–340. [Google Scholar] [CrossRef]
- Barbasz, A.; Kreczmer, B.; Ocwieja, M. Effects of exposure of callus cells of two wheat varieties to silver nanoparticles and silver salt (AgNO3). Acta Physiol. Plant. 2016, 38, 76. [Google Scholar] [CrossRef]
- Kim, S.; Lee, S.; Lee, I. Alteration of phytotoxicity and oxidant stress potential by metal oxide nanoparticles in Cucumis sativus. Water Air Soil Pollut. 2012, 223, 2799–2806. [Google Scholar] [CrossRef]
- Tripathi, D.K.; Singh, S.; Singh, S.; Srivastava, P.K.; Singh, V.P.; Singh, S.; Prasad, S.M.; Singh, P.K.; Dubey, N.K.; Pandey, A.C.; et al. Nitric oxide alleviates silver nanoparticles (AgNps)-induced phytotoxicity in Pisum sativum seedlings. Plant Physiol. Biochem. 2017, 110, 167–177. [Google Scholar] [CrossRef]
- Mehrian, S.; Heidari, R.; Rahmani, F. Effect of silver nanoparticles on free amino acids content and antioxidant defense system of tomato plants. Indian J. Plant Physiol. 2015, 20, 257–263. [Google Scholar] [CrossRef]
- Olszowy, M. What is responsible for antioxidant properties of polyphenolic compounds from plants? Plant Physiol. Biochem. 2019, 144, 135–143. [Google Scholar] [CrossRef]
- Blinstrubienė, A.; Burbulis, N.; Juškevičiūtė, N.; Vaitkevičienė, N.; Žūkienė, R. Effect of growth regulators on Stevia rebaudiana Bertoni callus genesis and influence of auxin and proline to steviol glycosides, phenols, flavonoids accumulation, and antioxidant activity in vitro. Molecules 2020, 25, 2759. [Google Scholar] [CrossRef]
- Ali, O.; Athar, H.-U.-R.; Zulqurnain, M.; Haider Shahid, S.; Aslam, N.; Shehzad, F.; Naseem, J.; Ashraf, R.; Ali, A.; Hussain, S.M. Role of amino acids in improving abiotic stress tolerance to plants. In Plant Tolerance Environ Stress, 1st ed.; Hasanuzzaman, M., Fujita, M., Oku, H., Islam, T., Eds.; CRC Press: Boca Raton, FL, USA, 2019; pp. 175–203. [Google Scholar]
- Weber, H.; Chételat, A.; Reymond, P.; Farmer, E.E. Selective and powerful stress gene expression in Arabidopsis in response to malondialdehyde. Plant J. 2004, 37, 877–888. [Google Scholar] [CrossRef]
- Farmer, E.E.; Mueller, M. ROS-mediated lipid peroxidation and RES-activated signaling. Annu. Rev. Plant Biol. 2013, 64, 429–450. [Google Scholar] [CrossRef]
- Tounekti, T.; Vadel, A.M.; Oñate, M.; Khemira, H.; Munné-Bosch, S. Salt-induced oxidative stress in rosemary plants: Damage or protection? Environ. Exp. Bot. 2011, 71, 298–305. [Google Scholar] [CrossRef]
- Tagnon, M.D.; Simeon, K.O. Aldehyde dehydrogenases may modulate signaling by lipid peroxidation-derived bioactive aldehydes. Plant Signal. Behav. 2017, 12, e1387707. [Google Scholar] [CrossRef] [PubMed]
- Yadu, B.; Chandrakar, V.; Korram, J.; Satnami, M.L.; Kumar, M.; Keshavkant, S. Silver nanoparticle modulates gene expressions, glyoxalase system and oxidative stress markers in fluoride stressed Cajanus cajan L. J. Hazard. Mater. 2018, 353, 44–52. [Google Scholar] [CrossRef]
- Faiz, S.; Shah, A.A.; Naveed, N.H.; Nijabat, A.; Yasin, N.A.; Batool, A.I.; Ali, H.M.; Javed, T.; Simon, P.W.; Ali, A. Synergistic application of silver nanoparticles and indole acetic acid alleviate cadmium induced stress and improve growth of Daucus carota L. Chemosphere 2022, 290, 133200. [Google Scholar] [CrossRef]
- Mohammadkhani, H.; Heidarи, P. Drought-induced accumulation of soluble sugars and proline in two maize varieties. World Appl. Sci. J. 2008, 3, 448–453. [Google Scholar]
- Iqbal, M.; Raja, N.I.; Mashwani, Z.; Hussain, M.; Ejaz, M.; Yasmeen, F. Effect of silver nanoparticles on growth of wheat under heat stress. Iran. J. Sci. Technol. Trans. Sci. 2019, 43, 387–395. [Google Scholar] [CrossRef]
- Nitnavare, R.; Bhattacharya, J.; Ghosh, S. Nanoparticles for effective management of salinity stress in plants. In Woodhead Publishing Series in Food Science, Technology and Nutrition, Agricultural Nanobiotechnology; Ghosh, S., Thongmee, S., Kumar, A., Eds.; Woodhead Publishing: Sawston, UK, 2022; pp. 189–216. [Google Scholar] [CrossRef]
- Lok, C.-N.; Ho, C.-M.; Chen, R.; He, Q.-Y.; Yu, W.-Y.; Sun, H.; Tam, P.; Chiu, J.-F.; Che, C.-M. Proteomic analysis of the mode of antibacterial action of silver nanoparticles. Proteome Res. 2006, 5, 916–924. [Google Scholar] [CrossRef]
- Pitta–Alvarez, S.; Spollansky, T.C.; Giulietti, A.M. The influence of different biotic and abiotic elicitors on the production and profile of tropane alkaloids in hairy root cultures of Brugmansia candida. Enzym. Microb. Technol. 2000, 26, 252–258. [Google Scholar] [CrossRef]
- Gomes, S.I.L.; Novais, S.C.; Gravato, C. Effect of Cu-nanoparticles versus one Cu-salt: Analysis of stress biomarkers response in Enchytraeus albidus (Oligochaeta). Nanotoxicology 2012, 6, 134–143. [Google Scholar] [CrossRef]
- Ramezani, M.; Asghari, S.; Gerami, M.; Ramezani, F.; Abdolmaleki, M.K. Effect of silver nanoparticle treatment on the expression of key genes involved in glycosides biosynthetic pathway in Stevia rebaudiana B. plant. Sugar Tech 2020, 22, 518–527. [Google Scholar] [CrossRef]
- Sichanova, M.; Geneva, M.; Petrova, M.; Miladinova-Georgieva, K.; Kirova, E.; Nedev, T.; Tsekova, D.; Iwanov, I.; Dochev, K.; Ivanova, V.; et al. Improvement of Stevia rebaudiana Bertoni in vitro propagation and steviol glycoside content using aminoacid silver nanofibers. Plants 2022, 11, 2468. [Google Scholar] [CrossRef] [PubMed]
- Angelova, Z.; Georgiev, S.; Roos, W. Elicitation of plant. Biotechnol. Biotechnol. Equip. 2006, 20, 72–83. [Google Scholar] [CrossRef]
- Miladinova-Georgieva, K.; Geneva, M.; Stancheva, I.; Petrova, M.; Sichanova, M.; Kirova, E. Effects of different elicitors on micropropagation, biomass and secondary metabolite production of Stevia rebaudiana Bertoni—A review. Plants 2023, 12, 153. [Google Scholar] [CrossRef] [PubMed]
- Nirmala, M.; Rao, M.; Muralikrishna, G. Carbohydrates and their degrading enzymes from native and malted finger millet (Ragi, Eleusine coracana, Indaf-15). Food Chem. 2000, 69, 175–180. [Google Scholar] [CrossRef]
- Saman, P.; Vázquez, J.A.; Pandiella, S.S. Controlled germination to enhance the functional properties of rice. Process Biochem. 2008, 43, 1377–1382. [Google Scholar] [CrossRef][Green Version]
- Morkunas, I.; Narożna, D.; Nowak, W.; Samardakiewicz, S.; Remlein-Starosta, D. Cross-talk interactions of sucrose and Fusarium oxysporum in the phenylpropanoid pathway and the accumulation and localization of flavonoids in embryo axes of yellow lupine. J. Plant Physiol. 2011, 168, 424–433. [Google Scholar] [CrossRef]
- Abderrahim, F.; Huanatico, E.; Repo-Carrasco-Valencia, R.; Arribas, S.M.; Gonzalez, M.C.; Condezo-Hoyos, L. Effect of germination on total phenolic compounds, total antioxidant capacity, Maillard reaction products and oxidative stress markers in canihua (Chenopodium pallidicaule). J. Cereal Sci. 2012, 56, 410–417. [Google Scholar] [CrossRef]
- Myint, K.Z.; Wu, K.; Xia, Y.; Fan, Y.; Shen, J.; Zhang, P.; Gu, J. Polyphenols from Stevia rebaudiana (Bertoni) leaves and their functional properties. J. Food Sci. 2020, 85, 240–248. [Google Scholar] [CrossRef]
- Karaköse, H.; Müller, A.; Kuhnert, N. Profiling and quantification of phenolics in Stevia rebaudiana leaves. J. Agric. Food Chem. 2015, 63, 9188–9198. [Google Scholar] [CrossRef]
- Fu, X.; Yin, Z.P.; Chen, J.G.; Shangguan, X.C.; Wang, X.; Zhang, Q.F.; Peng, D.Y. Production of chlorogenic acid and its derivatives in hairy root cultures of Stevia rebaudiana. J. Agric. Food Chem. 2015, 63, 262–268. [Google Scholar] [CrossRef] [PubMed]
- Javed, R.; Yucesan, B.; Zia, M.; Gurel, E. Elicitation of secondary metabolites in callus cultures of Stevia rebaudiana Bertoni grown under ZnO and CuO nanoparticles stress. Sugar Tech 2018, 20, 194–201. [Google Scholar] [CrossRef]
- Ghazal, B.; Saif, S.; Farid, K.; Khan, A.; Rehman, S.; Reshma, A.; Fazal, H.; Ali, M.; Ahmad, A.; Rahman, L.; et al. Stimulation of secondary metabolites by copper and gold nanoparticles in submerge adventitious root cultures of Stevia rebaudiana (Bert.). IET Nanobiotechnol. 2018, 12, 569–573. [Google Scholar] [CrossRef] [PubMed]
- Magangana, T.P.; Stander, M.A.; Makunga, N.P. Effect of nitrogen and phosphate on in vitro growth and metabolite profiles of Stevia rebaudiana Bertoni (Asteraceae). Plant Cell Tissue Organ Cult. 2018, 134, 141–151. [Google Scholar] [CrossRef]
- Shahnawaz; Pandey, D.K.; Dey, A. HPTLC Analysis of the antioxidant and possible antidiabetic chlorogenic acid in the in situ and in vitro populations of the Low-calorie Sweetener Stevia rebaudiana (Bert.) Bertoni. Anal. Chem. Lett. 2018, 8, 872–881. [Google Scholar] [CrossRef]
- Anchev, B.A.; Tsekova, D.S.; Mircheva, K.M.; Grozev, N.A. Monolayer formed by L-Asp-based gemini surfactants self-assembled in 1D nanostructures. RSC Adv. 2019, 9, 33071–33079. [Google Scholar] [CrossRef]
- Anchev, B.; Grozev, N.A.; Mircheva, K.M.; Tsekova, D.S. On the synthesis, surface activity and supramolecular structures of pseudo double-chained L-asp based amphiphiles. J. Chem. Techol. Metall. 2020, 55, 11–22. [Google Scholar]
- Zayova, E.; Stancheva, I.; Geneva, M.; Petrova, M.; Dimitrova, L. Antioxidant activity of in vitro propagated Stevia rebaudiana Bertoni plants of different origins. Turk. J. Biol. 2013, 37, 13. [Google Scholar] [CrossRef]
- Asensio, E.; Juan-Méndez, R.; Juan-Vicedo, J. In Vitro propagation and phytochemistry of thymol-producing plants from a horticultural form of Thymus × josephi-angeli Mansanet & Aguil. (Lamiaceae). Horticulturae 2022, 8, 1188. [Google Scholar] [CrossRef]
- Hristozkova, M.; Geneva, M.; Stancheva, I.; Iliev, I.; Azcón-Aguilar, C. Symbiotic association between golden berry (Physalis peruviana) and arbuscular mycorrhizal fungi in heavy metal-contaminated soil. J. Plant Prot. Res. 2017, 57, 173–184. [Google Scholar] [CrossRef]
- Giannopolitis, C.N.; Reis, S.K. Superoxide dismutase I. Occurrence in higher plants. Plant Physiol. 1997, 59, 309–314. [Google Scholar] [CrossRef]
- Upadhyaya, A.; Sankhla, D.; Davis, T.; Sankhla, N.; Smith, B. Effect of paclobutrazol on the activities of some enzymes of activated oxygen metabolism and lipid peroxidation in senescing soybean leaves. J. Plant Physiol. 1985, 121, 453–461. [Google Scholar] [CrossRef]
- Nakano, Y.; Asada, K. Purification of ascorbate peroxidase in spinach chloroplasts: Its inactivation in ascorbate-depleted medium and reactivation by monodehydroascorbate radical. Plant Cell Physiol. 1987, 28, 131–140. [Google Scholar]
- Lagrimini, M.; Gingas, V.; Finger, F.; Rothstein, S.; Liu, T.-T.Y. Characterization of antisense transformed plants deficient in the tobacco anionic peroxidase. Plant Physiol. 1997, 114, 1187–1196. [Google Scholar] [CrossRef]
- Bradford, M.M. A rapid and sensitive method for the estimation of microgram quantities of protein utilizing the principle of protein-dye binding. Anal. Biochem. 1976, 72, 248–254. [Google Scholar] [CrossRef]
- Pfeffer, H.; Dannel, F.; Römheld, V. Are there connection between phenol metabolism, ascorbate metabolism and membrane integrity in leaves of boron-deficient sunflower plants? Physiol. Plant 1998, 104, 479–485. [Google Scholar] [CrossRef]
- Zhishen, J.; Mengcheng, T.; Jianming, W. The determination of flavonoid contents in mulberry and their scavenging effects on superoxide radicals. Food Chem. 1999, 64, 555–559. [Google Scholar] [CrossRef]
- Tepe, B.; Sokmen, M.; Akpulat, H.A.; Sokmen, A. Screening of the antioxidant potentials of six Salvia species from Turkey. Food Chem. 2006, 95, 200–204. [Google Scholar] [CrossRef]
- Benzie, I.; Strain, J. The ferric reducing ability of plasma (FRAP) as a measure of “antioxidant power”: The FRAP assay. Anal. Biochem. 1996, 239, 70–76. [Google Scholar] [CrossRef]
- Prieto, P.; Pineda, M.; Aguilar, M. Spectrophotometric quantitation of antioxidant capacity through the formation of a phosphomolybdenum complex: Specific application to the determination of vitamin E. Anal. Biochem. 1999, 269, 337–341. [Google Scholar] [CrossRef] [PubMed]
- Alexieva, V.; Sergiev, I.; Mapelli, S.; Karanov, E. The effect of drought and ultraviolet radiation on growth and stress markers in pea and wheat. Plant Cell Environ. 2001, 24, 13371344. [Google Scholar] [CrossRef]
- Kramer, G.F.; Norman, H.; Krizek, D.; Mirecki, R. Influence of UV-B radiation on polyamines, lipid peroxidation and membrane lipids in cucumber. Phytochemistry 1991, 30, 2101–2108. [Google Scholar] [CrossRef]
- Bates, L.; Waldren, R.; Teare, I.D. Rapid determination of free proline for water-stress studies. Plant Soil 1973, 39, 205–207. [Google Scholar] [CrossRef]
- Ellman, G.L. Tissue sulphydryl groups. Arch. Biochem. Biophys. 1959, 82, 7077. [Google Scholar] [CrossRef]
- Ashwell, G. New colorimetric methods of sugar analysis. In Methods in Enzymology; Neufeld, E.F., Ginsburg, V., Eds.; Academic Press: New York, NY, USA, 1966; Volume 8, p. 85. [Google Scholar]
- Bergs, D.; Burghoff, B.; Joehnck, M.; Martin, G.; Schembecker, G. Fast and isocratic HPLC-method for steviol glycosides analysis from Stevia rebaudiana leaves. J. Verbraucherschutz Leb. 2012, 7, 147–154. [Google Scholar] [CrossRef]







| MS | MS + NF1-Ag-Salt | |||||
|---|---|---|---|---|---|---|
| Treatments | 1 mg L−1 | 10 mg L−1 | 50 mg L−1 | 100 mg L−1 | LSD | |
| FW shoot (g plant−1) | 0.115 ± 0.001 a | 0.311 ± 0.032 c | 0.374 ± 0.019 d | 0.389 ± 0.020 d | 0.237 ± 0.012 b | 0.026 |
| DW shoot (g plant−1) | 0.018 ± 0.001 a | 0.043 ± 0.002 b | 0.076 ± 0.004 d | 0.066 ± 0.003 c | 0.020 ± 0.001 a | 0.005 |
| Shoot height (cm explant−1) | 5.97 ± 0.30 bc | 10.14 ± 0.51 d | 6.39 ± 0.32 c | 5.48 ± 0.28 b | 2.01 ± 0.10 a | 0.595 |
| Shoot number (explant−1) | 1.00 ± 0.05 a | 1.45 ± 0.07 b | 1.99 ± 1.48 c | 3.07 ± 0.154 b | 1.44 ± 0.07 b | 0.17 |
| Root initiation (%) | 0.00 ± 0.00 a | 8.00 ± 0.40 c | 5.13 ± 0.26 b | 5.17 ± 0.26 b | 5.26 ± 0.26 b | 0.49 |
| No internodes (plant−1) | 2.50 ± 0.13 b | 3.90 ± 0.20 c | 5.10 ± 0.26 de | 4.90 ± 0.25 d | 2.03 ± 0.10 a | 0.35 |
| Internode length (plant−1) | 1.50 ± 0.08 c | 2.60 ± 0.13 d | 1.25 ± 0.06 b | 1.08 ± 0.05 a | 1.01 ± 0.05 a | 0.14 |
| Micropropagation rate MR | 2.50 ± 0.13 a | 5.66 ± 0.28 b | 10.15 ± 0.51 c | 15.04 ± 0.75 d | 2.92 ± 0.15 a | 0.78 |
| MS | NF2-Ag Salt | |||||
|---|---|---|---|---|---|---|
| 1 mg L−1 | 10 mg L−1 | 50 mg L−1 | 100 mg L−1 | LSD | ||
| FW shoot (g plant−1) | 0.115 ± 0.006 bc | 0.121 ± 0.006 c | 0.105 ± 0.005 b | 0.139 ± 0.007 d | 0.061 ± 0.003 a | 0.013 |
| DW shoot (g plant−1) | 0.018 ± 0.001 b | 0.013 ± 0.001 a | 0.015 ± 0.001 b | 0.014 ± 0.001 a | 0.009 ± 0.001 a | 0.005 |
| Shoot height (cm explant−1) | 5.97 ± 0.30 c | 6.46 ± 0.32 d | 5.10 ± 0.26 b | 4.80 ± 0.24 b | 2.16 ± 0.12 a | 0.47 |
| Shoot number (explant−1) | 1.00 ± 0.05 a | 1.40 ± 0.07 bc | 1.39 ± 0.07 bc | 1.49 ± 0.08 c | 1.30 ± 0.07 b | 0.12 |
| Root initiation (%) | 0.00 ± 0.00 a | 37.50 ± 1.88 bc | 62.50 ± 3.13 d | 34.10 ± 1.71 b | 40.00 ± 2.00 c | 3.66 |
| No internodes (plant−1) | 2.50 ± 0.13 b | 4.25 ± 0.21 e | 3.85 ± 0.19 d | 3.45 ± 0.17 c | 1.59 ± 0.08 a | 0.30 |
| Internode length (plant−1) | 1.50 ± 0.08 b | 1.52 ± 0.08 b | 1.32 ± 0.09 a | 1.38 ± 0.07 ab | 1.36 ± 0.07 a | 0.14 |
| Micropropagation rate MR | 2.50 ± 0.13 b | 5.95 ± 0.30 d | 5.35 ± 0.27 c | 5.14 ± 0.26 c | 2.07 ± 0.10 a | 0.41 |
| 3-CQA | 5-CQA | 4-CQA | 3,5-DCQA | 3,4-DCQA | 4,5-DCQA | Qu-3-Rha | Total QA | |
|---|---|---|---|---|---|---|---|---|
| C | 0.35 ± 0.01 a | 4.27 ± 0.04 a | 0.51 ± 0.01 a | 4.03 ± 0.07 a | 0.28 ± 0.02 a | 1.97 ± 0.03 a | 0.31 ± 0.02 a | 11.41 ± 0.13 a |
| NF1-Ag salt | ||||||||
| 1 mg L−1 | 0.06 ± 0.00 b | 0.40 ± 0.01 b | 0.10 ± 0.01 b | 0.34 ± 0.01 b | 0.07 ± 0.01 b | 0.28 ± 0.02 b | 0.10 ± 0.00 b | 1.25 ± 0.04 b |
| 10 mg L−1 | 0.04 ± 0.00 c | 0.26 ± 0.01 c | 0.06 ± 0.015 c | 0.32 ± 0.01 b | 0.11 ± 0.01 c | 0.21 ± 0.01 c | 0.08 ± 0.01 c | 0.99 ± 0.02 c |
| 50 mg L−1 | 0.06 ± 0.00 b | 0.50 ± 0.01 d | 0.08 ± 0.01 b | 0.48 ± 0.02 c | 0.26 ± 0.03 a | 0.39 ± 0.01 b | 0.11 ± 0.01 b | 1.67 ± 0.03 d |
| 100 mg L−1 | 0.04 ± 0.00 c | 0.46 ± 0.03 d | 0.03 ± 0.01 d | 0.50 ± 0.02 c | 0.19 ± 0.01 d | 0.171 ± 0.004 d | 0.06 ± 0.00 d | 1.40 ± 0.03 e |
| NF2-Ag salt | ||||||||
| 1 mg L−1 | 0.27 ± 0.01 d | 4.80 ± 0.081 e | 0.58 ± 0.02 e | 6.84 ± 0.05 d | 0.57 ± 0.01 e | 2.76 ± 0.07 e | 0.61 ± 0.01 e | 15.81 ± 0.01 f |
| 10 mg L−1 | 0.15 ± 0.01 e | 2.23 ± 0.027 f | 0.39 ± 0.01 f | 4.13 ± 0.04 a,e | 0.43 ± 0.01 f | 1.81 ± 0.01 f | 0.43 ± 0.01 f | 9.15 ± 0.106 g |
| 50 mg L−1 | 0.27 ± 0.01 d | 3.26 ± 0.04 g | 0.53 ± 0.02 a | 4.80 ± 0.02 f | 0.44 ± 0.02 f | 2.17 ± 0.06 g | 0.50 ± 0.01 g | 11.47 ± 0.18 a |
| 100 mg L−1 | 0.17 ± 0.02 e | 2.33 ± 0.05 h | 0.26 ± 0.02 g | 4.17 ± 0.05 a,e | 0.40 ± 0.01 g | 1.77 ± 0.08 f | 0.32 ± 0.01 a | 9.10 ± 0.17 g |
| TPC | 3-CQA | 5-CQA | 4-CQA | 3,5-DCQA | 3,4-DCQA | 4,5-DCQA | Qu-3-Rha | |
|---|---|---|---|---|---|---|---|---|
| DPPH | 0.971 ** | 0.507 | 0.606 | 0.712 * | 0.827 ** | 0.847 ** | 0.808 ** | 0.885 ** |
| FRAP | 0.629 | 0.721 * | 0.768 * | 0.723 * | 0.823 ** | 0.791 * | 0.828 ** | 0.743 * |
Disclaimer/Publisher’s Note: The statements, opinions and data contained in all publications are solely those of the individual author(s) and contributor(s) and not of MDPI and/or the editor(s). MDPI and/or the editor(s) disclaim responsibility for any injury to people or property resulting from any ideas, methods, instructions or products referred to in the content. |
© 2023 by the authors. Licensee MDPI, Basel, Switzerland. This article is an open access article distributed under the terms and conditions of the Creative Commons Attribution (CC BY) license (https://creativecommons.org/licenses/by/4.0/).
Share and Cite
Sichanova, M.; Geneva, M.; Petrova, M.; Miladinova-Georgieva, K.; Kirova, E.; Nedev, T.; Tsekova, D.; Ivanova, V.; Trendafilova, A. Influence of the Abiotic Elicitors Ag Salts of Aspartic Acid Derivatives, Self-Organized in Nanofibers with Monomeric and Dimeric Molecular Structures, on the Antioxidant Activity and Stevioside Content in Micropropagated Stevia rebaudiana Bert. Plants 2023, 12, 3574. https://doi.org/10.3390/plants12203574
Sichanova M, Geneva M, Petrova M, Miladinova-Georgieva K, Kirova E, Nedev T, Tsekova D, Ivanova V, Trendafilova A. Influence of the Abiotic Elicitors Ag Salts of Aspartic Acid Derivatives, Self-Organized in Nanofibers with Monomeric and Dimeric Molecular Structures, on the Antioxidant Activity and Stevioside Content in Micropropagated Stevia rebaudiana Bert. Plants. 2023; 12(20):3574. https://doi.org/10.3390/plants12203574
Chicago/Turabian StyleSichanova, Mariana, Maria Geneva, Maria Petrova, Kamelia Miladinova-Georgieva, Elisaveta Kirova, Trendafil Nedev, Daniela Tsekova, Viktoria Ivanova, and Antoaneta Trendafilova. 2023. "Influence of the Abiotic Elicitors Ag Salts of Aspartic Acid Derivatives, Self-Organized in Nanofibers with Monomeric and Dimeric Molecular Structures, on the Antioxidant Activity and Stevioside Content in Micropropagated Stevia rebaudiana Bert." Plants 12, no. 20: 3574. https://doi.org/10.3390/plants12203574
APA StyleSichanova, M., Geneva, M., Petrova, M., Miladinova-Georgieva, K., Kirova, E., Nedev, T., Tsekova, D., Ivanova, V., & Trendafilova, A. (2023). Influence of the Abiotic Elicitors Ag Salts of Aspartic Acid Derivatives, Self-Organized in Nanofibers with Monomeric and Dimeric Molecular Structures, on the Antioxidant Activity and Stevioside Content in Micropropagated Stevia rebaudiana Bert. Plants, 12(20), 3574. https://doi.org/10.3390/plants12203574

