Germination and Vigor of Soybean and Corn Seeds Treated with Mixed Mineral Fertilizers
Abstract
1. Introduction
2. Results
2.1. Treated Soybean Seeds
2.2. Treated Corn Seeds
3. Discussion
4. Methodology
4.1. Evaluation of the Physiological Quality of Seeds
- Germination test: The test was conducted in a completely randomized design in the Laboratory of Seeds, with 8 subsamples of 50 seeds from each treatment, totaling 400 seeds. The seeds were sown in 136 g of autoclaved medium-textured dry sand arranged in a Germitest® paper towel roll previously moistened with distilled water in an amount equivalent to 3.0 times the weight of the dry substrate and maintained in a germination chamber regulated at 25 °C [27,37]. The final evaluation was performed at 8 and 7 days after sowing for soybean and corn, respectively, by counting normal and abnormal seedlings and dead seeds. The interpretations were performed according to the criteria established in the Rules for Seed Testing [27]. Moreover, normal seedlings were classified as strong normal according to [38].
- Seedling length: This was carried out in a completely randomized design with eight replications. Twenty seeds per lot were sown on two parallel lines drawn in the upper third of the paper between 54 g of autoclaved medium-textured dry sand [37]. The paper had been previously moistened with an equivalent amount of water to 3.0 times its weight. The paper towel rolls were placed in plastic bags to reduce dehydration and maintained at 25 °C, being interrupted 6 days after sowing. After this period, the seedlings were measured in terms of root and shoot length using a common ruler graduated in mm. Subsequently, they were placed in kraft paper bags and taken to a forced ventilation oven at 65 °C to determine the shoot and root dry matter, as well as the root-to-shoot ratio [38].
- Seedling emergence in sand: This was carried out in six randomized blocks with 25 seeds each, which were sown in moistened sand at 60% of the substrate water retention capacity, calculated according to the Rules of Seed Testing [27], inside transparent acrylic boxes (11.0 × 11.0 × 3.5 cm) maintained on a laboratory bench at 26 ± 3 °C. The percentage of emerged seedlings was counted after the stabilization of counts.
- Seedling emergence in the field: This was conducted in five randomized blocks. Sowing was carried out in 50 cm beds. The seeds were arranged in a double row at a depth of 5 cm, with 25 seeds in each row, totaling 250 seeds per treatment. Daily counts were performed by counting the number of emerged seedlings (total emergence of cotyledons for soybean and coleoptile with emission of primary leaves for corn), until reaching stabilization. Daily watering with micro-sprinklers was carried out during the experimental period to maintain moisture. Precipitation and temperatures were also monitored (Figure 5).
- Emergence speed index (ESI): This was conducted simultaneously with the emergence tests performed in the sand and the field from the daily count data of the seedlings that emerged in the seedling emergence tests and determined using the formula from [39].
- First count of seedling emergence: This was conducted together with the emergence tests in the sand and the field with an evaluation on the fifth and fourth day after sowing of soybean and corn, respectively, in which emergence higher than 50% + 1 of the final count was observed.
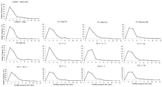
- Initial, final, and average time and relative frequency of seedling emergence: This was determined based on the daily count data of seedlings that emerged from the seedling emergence tests. The initial time corresponds to the first day of emergence after sowing, and the final time consists of the last day of emergence after sowing for each lot. The formulas described by the authors of [40] were used for average time and relative frequency of emergence.
4.2. Statistical Analysis
5. Conclusions
Author Contributions
Funding
Institutional Review Board Statement
Informed Consent Statement
Data Availability Statement
Conflicts of Interest
References
- Mertz, L.M.; Henning, F.A.; Zimmer, P.D. Bioprotetores e fungicidas químicos no tratamento de sementes de soja. Ciência Rural 2009, 39, 13–18. [Google Scholar] [CrossRef]
- Gupta, N.; Jain, S.K.; Tomar, B.S.; Anand, A.; Singh, J.; Sagar, V.; Kumar, R.; Singh, V.; Chaubey, T.; Abd-Elsalam, K.A.; et al. Impact of Foliar Application of ZnO and Fe3O4 Nanoparticles on Seed Yield and Physio-Biochemical Parameters of Cucumber (Cucumis sativus L.) Seed under Open Field and Protected Environment vis a vis during Seed Germination. Plants 2022, 11, 3211. [Google Scholar] [CrossRef]
- Gupta, N.; Singh, P.M.; Sagar, V.; Pandya, A.; Chinnappa, M.; Kumar, R.; Bahadur, A. Seed Priming with ZnO and Fe3O4 Na-noparticles Alleviate the Lead Toxicity in Basella alba L. through Reduced Lead Uptake and Regulation of ROS. Plants 2022, 11, 2227. [Google Scholar] [CrossRef]
- Baudet, L.; Peske, F. Aumentando o desempenho das sementes. Seed News 2007, 9, 22–24. [Google Scholar]
- Martins, G.M.; Toscan, L.C.; Tomquelski, G.V.; Maruyama, W.I. Inseticidas químicos e microbianos no controle da lagarta-do cartucho na fase inicial da cultura do milho. Rev. Caatinga 2009, 22, 170–174. [Google Scholar]
- Menten, J.O.M.; Moraes, M.H.D. Tratamento de Sementes: Histórico, Tipos, Características e Benefícios. Inf. Abrates 2010, 20, 52–53. [Google Scholar]
- Balardin, R.S.; Silva, F.D.L.; Debona, D.; Corte, G.D.; Favera, D.D.; Tormen, N.R. Tratamento de sementes com fungicidas e inseticidas como redutores dos efeitos do estresse hídrico em plantas de soja. Ciência Rural 2011, 41, 1120–1126. [Google Scholar] [CrossRef]
- Evangelista, J.R.E.; Oliveira, J.A.; Botelho, F.J.E.; Carvalho, B.O.; Vilela, F.L.; Oliveira, G.E. Qualidade fisiológica e produtividade de sementes de feijão oriundas de sementes tratadas com enraizante e nutrição mineral das plantas. Ciência E Agrotecnologia 2010, 34, 1664–1668. [Google Scholar] [CrossRef]
- Luchese, A.V.; Gonçalves Junior, A.C.; Luchese, E.B.; Braccini, M.D.C.L. Emergência e absorção de cobre por plantas de milho (Zea mays) em resposta ao tratamento de sementes com cobre. Ciência Rural 2004, 34, 1949–1952. [Google Scholar] [CrossRef]
- Embrapa soja. Tecnologias de Produção de Soja—Região Central do Brasil 2012 e 2013. Londrina: Embrapa Soja, 2011; 264p. (Sistema de Produção/Embrapa Soja, n.15). EMBRAPA. Cultivo de Milho. Sistema de Produção 1, Brasil. Ed.7ª Set. 2011. Disponível em. Available online: http://www.cnpms.embrapa.br/publicacoes/milho_7_ed/economia.htm (accessed on 30 July 2022).
- Segato, S.V.; Mosconi, F. Teste de germinação e de vigor em sementes de milho tratadas com micronutrientes e flavonoides. Nucleus 2015, 12, 231–236. [Google Scholar] [CrossRef]
- Silva, L.A.; Oliveira, G.P. Tratamento de sementes com micronutrientes na ultura do milho (Zea mays L.). Rev. Bras. Multidiscip. 2021, 24, 130–135. [Google Scholar]
- Ohse, S.; Godoi, L.B.; Rezende, B.L.A.; Otto, R.F.; Godoy, A.R. Germinação e vigor de sementes de feijão-vagem tratadas com micronutrientes. Visão Acadêmica 2014, 15, 27–39. [Google Scholar] [CrossRef]
- Oliveira, C.O.; Lazarini, E.; Tarsitano, M.A.A.; Pinto, C.C.; Eustáquio de Sá, M. Custo e lucratividade da produção de sementes de soja enriquecidas com molibdênio. Pesquisa Agropecuária Tropical 2015, 45, 82–88. [Google Scholar] [CrossRef]
- Cheng, T. The effect of seed treatment with microelements upon the germination and early growth of wheat. Sci. Sin. 1985, 44, 129–135. [Google Scholar]
- Malavolta, E. Manual de Nutrição Mineral de Plantas; Editora Agronômica Ceres: São Paulo, Brazil, 2006; Volume 631, pp. 402–409. [Google Scholar]
- Marschner, H. Mineral Nutrition of Higer Plants, 2nd ed.; Academic Press: New York, NY, USA, 1995; p. 889. [Google Scholar]
- Taiz, L.; Zeiger, E.; Moller, I.M.; Murphy, A. Fisiologia e Desenvolvimento Vegetal, 6th ed.; Artmed: Porto Alegre, Brazil, 2017; p. 888. [Google Scholar]
- Fageria, V.D. Nutrient interactions in crop plants. J. Plant Nutr. 2001, 24, 1269–1290. [Google Scholar] [CrossRef]
- Melarato, M.; Panobianco, M.; Vitti, G.C.; Vieira, R.D. Manganês e potencial fisiológico de sementes de soja. Ciência Rural 2002, 32, 1069–1071. [Google Scholar] [CrossRef]
- Cruz, J.C.; Garcia, J.C.; Filho, I.A.P.; Pinto, L.B.B.; Queiroz, L.R. Caracterização Dos Sistemas de Produção de Milho Para Altas Produtividades. Circular Técnica nº 124; Embrapa: Sete Lagoas, Brazil, 2009. [Google Scholar]
- Soares, M.M.; Sediyama, T.; Neves, J.C.L.; Santos Júnior, H.C.; Silva, L.J. Nodulation, growth and soybean yield in response to seed coating and split application of phophorus. J. Seed 2016, 38, 30–40. [Google Scholar] [CrossRef]
- Tomazela, A.L.; Favarin, J.L.; Fancelli, A.L.; Martin, T.N.; Dourado Neto, D.; Reis, A.R. Doses de nitrogênio e fontes de Cu e Mn suplementar sobre a severidade da ferrugem e atributos morfológicos do milho. Revista Brasileira Milho Sorgo 2006, 5, 192–201. [Google Scholar] [CrossRef]
- Vicente, D.; Pinto, R.J.; Scapim, C.A. Análise da adaptabilidade e estabilidade de linhagens elite de soja. Acta Sci. Agron. 2004, 26, 301–307. [Google Scholar]
- Brasil. Instrução Normativa nº 45, de 17 de Setembro de 2013. Dispõe Sobre Padrões de Produção e a Comercialização de Sementes de Grandes Culturas. Available online: https://www.gov.br/agricultura/pt-br/assuntos/insumos-agropecuarios/insumos-agricolas/sementes-e-mudas/publicacoes-sementes-e-mudas/copy_of_INN45de17desetembrode2013.pdf (accessed on 26 November 2022).
- Dias, M.A.N. Tratamento de Sementes de Milho Com Zinco e Cobre. Master’s Thesis, Escola Superior de Agricultura “Luiz de Queiroz”, Piracicaba, Brazil, 2013. [Google Scholar]
- Brasil. Ministério da Agricultura, Pecuária e Abastecimento. Regras Para Análise de Sementes; Secretaria de Defesa Agropecuária; MAPA/ACS: Brasília, Brazil, 2009.
- Barbosa, R.M.; Vieira, B.G.T.L.; Ferraudo, A.S.; Corá, J.E.; Vieira, R.D. Discrimination of soybean seed lots by multivariate ex- ploratory techniques. J. Seed Sci. 2013, 35, 302–310. [Google Scholar] [CrossRef]
- Coelho, M.V.; Silva, G.Z.; Silva, I.M.H.L.; Paz, R.B.O.; Silva, A.A.S.; Gama, G.F.; Machado, C.G. Cold test on the vigor deter- mination of Carthamus tinctorius L. Seeds. Revista Brasileira Ciências Agrárias 2021, 16, e9008. [Google Scholar] [CrossRef]
- Coelho, M.V.; Silva, I.M.H.L.; Silva, A.A.S.; Paz, R.B.O.; Rocha, D.I.; Machado, C.G.; Silva, G.Z. Accelerated aging test in the determination of safflower seeds vigor. Biosci. J. 2022, 38, e38003. [Google Scholar] [CrossRef]
- Machado, C.G.; Martins, C.C.; Silva, G.Z.; Cruz, S.C.S.; Gama, G.F.; Coelho, M.V. Discrimination of forage pea seed lots by means of multivariate techniques. Científica 2019, 47, 321–326. [Google Scholar] [CrossRef]
- Duarte, A.P.; Abreu, M.F.; Francisco, E.A.B.; Gitti, D.C.; Barth, G.; Kappes, C. Concentração e exportação de nutrientes nos grãos de milho. Informações Agronômicas 2018, 163, 12–16. [Google Scholar]
- Carvalho, E.R.; Rocha, D.K.; Andrade, D.B.; Pires, R.M.O.; Penido, A.C.; Reis, L.V. Phytotoxicity in soybean seeds treated with phytosanitary products at different application times. J. Seed Sci. 2020, 42, 1–12. [Google Scholar] [CrossRef]
- Silva, G.Z.; Martins, C.C.; Nascimento, L.C.; Barreto, G.G. Farias. O.F. Phytosanitary quality of Brachiaria brizantha ‘BRS Piatã’ seeds in function of climate conditions. Revista Brasileira Engenharia Agrícola Ambiental 2019, 23, 237–243. [Google Scholar] [CrossRef]
- Silva, G.Z.; Martins, C.C.; Jeromini, T.S.; Pereira, F.E.C.B.; Bruno, R.L.A. Production regions, physical and physiological quality of Brachiaria brizantha cv. BRS ‘Piatã’ seeds. Revista Ciência Agronômica 2019, 50, 552–561. [Google Scholar] [CrossRef]
- Oliveira, G.R.F.D.; Cicero, S.M.; Gomes-Junior, F.G.; Batista, T.B.; Krzyzanowski, F.C.; França-Neto, J.D.B. Computerized anal- ysis of seedling performance in evaluating the phytotoxicity of chemical treatment of soybean seeds. J. Seed Sci. 2021, 43, e202143032. [Google Scholar] [CrossRef]
- Rocha, D.K.; Carvalho, E.R.; Pires RMD, O.; Santos, H.O.D.; Penido, A.C.; Andrade, D.B.D. Does the substrate affect the germination of soybean seeds treated with phytosanitary products? Ciência e Agrotecnologia 2020, 44, 1–8. [Google Scholar] [CrossRef]
- Krzyzanowski, F.C.; Vieira, R.D.; França Neto, J.B. Vigor de Sementes: Conceitos e Testes; Abrates: Londrina, Brazil, 1999. [Google Scholar]
- Maguire, J.D. Speed of germination aid in selection and evaluation for seedling and vigour. Crop Sci. 1962, 2, 176–177. [Google Scholar] [CrossRef]
- Santana, D.G.; Ranal, M.A. Análise da germinação: Um enfoque estatístico; Editora Universidade de Brasília: Brasília, Brazil, 2004. [Google Scholar]
- Barbosa, J.C.; Maldonado Júnior, W. AgroEstat—Sistema para Análises Estatísticas de Ensaios Agronômicos, 1st ed.; Versão 1.1.0.711; Funep: Jaboticabal, Brazil, 2015; 396p, ISBN 978-85-68020-01-2. [Google Scholar]





| Treatment | G | Ns | AN | DS | Es | FCEs | ESIs |
|---|---|---|---|---|---|---|---|
| % | |||||||
| Control—intact seed | 88.0 a 1 | 74.0 a | 10.0 | 2.00 | 85.0 | 44.0 | 3.69 |
| Control—water | 88.0 a | 69.0 b | 9.00 | 3.00 | 86.0 | 39.0 | 3.26 |
| T1: Vital® (V) | 91.0 a | 83.0 a | 7.00 | 3.00 | 89.0 | 44.0 | 3.47 |
| T2: Lança® (L) | 89.0 a | 73.0 a | 7.00 | 4.00 | 89.0 | 38.0 | 3.51 |
| T3: Massivo® (M) | 89.0 a | 78.0 a | 10.0 | 2.00 | 90.0 | 43.0 | 3.44 |
| T4: Ídolo® (I) | 80.0 b | 67.0 b | 16.0 | 4.00 | 83.0 | 35.0 | 2.98 |
| T5: V + L | 88.0 a | 72.0 a | 10.0 | 2.00 | 86.0 | 40.0 | 3.54 |
| T6: V + L + I | 83.0 b | 67.0 b | 14.0 | 4.00 | 88.0 | 42.0 | 3.46 |
| T7: V + M | 89.0 a | 68.0 b | 8.00 | 3.00 | 89.0 | 41.0 | 3.43 |
| T8: V + M + I | 90.0 a | 75.0 a | 8.00 | 2.00 | 85.0 | 41.0 | 3.28 |
| T9: V + I | 85.0 b | 67.0 b | 11.0 | 4.00 | 83.0 | 40.0 | 3.26 |
| T10: L + I | 85.0 b | 66.0 b | 12.0 | 4.00 | 87.0 | 31.0 | 3.17 |
| T11: I + M | 87.0 a | 66.0 b | 11.0 | 2.00 | 81.0 | 44.0 | 3.41 |
| Mean square—Treatment | 70.2 * | 216 ** | 51.5 ns | 6.80 ns | 44.8 ns | 84.4 ns | 0.100 ns |
| Mean square—Blocks | - | - | - | - | 41.5 ns | 20.6 ns | 0.00 ns |
| Mean square—Residual | 35.8 | 76.8 | 29.1 | 6.00 | 42.3 | 122 | 0.100 |
| Coefficient of variation (%) | 6.80 | 12.3 | 53.3 | 85.0 | 7.05 | 27.5 | 10.0 |
| Treatment | SL (cm) | SDM (mg) | RL (cm) | RDM (mg) | R/S |
|---|---|---|---|---|---|
| Control—intact seed | 6.40 a 1 | 18.5 b | 8.30 a | 9.20 b | 0.496 |
| Control—water | 6.80 a | 19.5 a | 8.50 a | 9.50 b | 0.486 |
| T1: Vital® (V) | 7.10 a | 20.5 a | 8.80 a | 9.70 b | 0.471 |
| T2: Lança® (L) | 7.30 a | 20.7 a | 8.20 a | 10.20 b | 0.487 |
| T3: Massivo® (M) | 6.10 a | 16.2 b | 8.30 a | 8.30 b | 0.512 |
| T4: Ídolo® (I) | 6.60 a | 20.3 a | 8.40 a | 7.10 b | 0.349 |
| T5: V + L | 4.90 b | 16.6 b | 5.50 b | 5.70 b | 0.332 |
| T6: V + L + I | 7.30 a | 21.2 a | 9.30 a | 18.9 a | 0.966 |
| T7: V + M | 7.40 a | 21.4 a | 10.80 a | 12.6 a | 0.583 |
| T8: V + M + I | 6.50 a | 21.0 a | 9.20 a | 9.30 b | 0.459 |
| T9: V + I | 4.70 b | 15.6 b | 6.50 b | 6.90 b | 0.415 |
| T10: L + I | 6.90 a | 24.0 a | 9.50 a | 14.9 a | 0.661 |
| T11: I + M | 5.50 b | 16.4 b | 7.00 b | 5.70 b | 0.341 |
| Mean square—Treatment | 6.58 ** | 5.12−5 ** | 15.5 ** | 1.12−4 * | 0.200 ns |
| Mean square—Residual | 1.40 | 1.66−5 | 3.60 | 4.92−5 | 0.100 |
| Coefficient of variation (%) | 18.5 | 21.0 | 22.7 | 71.3 | 76.4 |
| Treatment | Ef | FCEf | ESIf | Tif | Taf | Tff |
|---|---|---|---|---|---|---|
| % | Days | |||||
| Control—intact seed | 54.0 b 1 | 44.0 b | 2.91 b | 4.00 | 5.00 | 8.00 |
| Control—water | 51.0 b | 46.0 b | 2.81 b | 4.00 | 5.00 | 7.00 |
| T1: Vital® (V) | 43.0 b | 35.0 b | 2.30 b | 4.00 | 5.00 | 7.00 |
| T2: Lança® (L) | 60.0 a | 46.0 b | 3.18 a | 4.00 | 5.00 | 8.00 |
| T3: Massivo® (M) | 64.0 a | 53.0 a | 3.40 a | 4.00 | 5.00 | 8.00 |
| T4: Ídolo® (I) | 50.0 b | 43.0 b | 2.72 b | 4.00 | 5.00 | 7.00 |
| T5: V + L | 65.0 a | 56.0 a | 3.58 a | 4.00 | 5.00 | 8.00 |
| T6: V + L + I | 63.0 a | 54.0 a | 3.35 a | 4.00 | 5.00 | 7.00 |
| T7: V + M | 77.0 a | 59.0 a | 4.02 a | 4.00 | 5.00 | 8.00 |
| T8: V + M + I | 61.0 a | 47.0 b | 3.21 a | 4.00 | 5.00 | 8.00 |
| T9: V + I | 47.0 b | 38.0 b | 2.49 b | 4.00 | 5.00 | 7.00 |
| T10: L + I | 60.0 a | 49.0 a | 3.22 a | 4.00 | 5.00 | 7.00 |
| T11: I + M | 65.0 a | 52.0 a | 3.39 a | 4.00 | 5.00 | 8.00 |
| Mean square—Treatment | 860 ** | 483 ** | 2.10 ** | - | 0.100 ns | 3.00 ns |
| Mean square—Blocks | 2536 ** | 2978 * | 8.10 ** | - | 0.300 ns | 1.30 ns |
| Mean square—Residual | 193 | 148 | 0.500 | - | 0.100 | 2.00 |
| Coefficient of variation (%) | 23.7 | 25.4 | 23.7 | - | 7.5 | 19.2 |
| Treatment | G | Ns | AN | DS | Es | FCEs | ESIs |
|---|---|---|---|---|---|---|---|
| % | |||||||
| Control—intact seed | 99.0 a 1 | 87.0 b | 1.00 b | 0.00 b | 100 | 91.0 a | 7.03 b |
| Control—washed | 100 a | 89.0 b | 0.00 b | 0.00 b | 97.0 | 87.0 b | 6.78 c |
| Control—washed + water | 98.0 a | 87.0 b | 2.00 a | 0.00 b | 100 | 95.0 a | 7.35 a |
| T1: Vital® (V) | 99.0 a | 95.0 a | 0.00 b | 1.00 b | 100 | 85.0 b | 6.96 c |
| T2: Lança® (L) | 94.0 b | 74.0 c | 3.00 a | 3.00 a | 100 | 89.0 a | 6.91 c |
| T3: Massivo® (M) | 99.0 a | 94.0 a | 0.00 b | 1.00 b | 100 | 93.0 a | 7.28 a |
| T4: Ídolo® (I) | 100 a | 95.0 a | 0.00 b | 0.00 b | 99.0 | 96.0 a | 7.09 b |
| T5: V + L | 99.0 a | 87.0 b | 1.00 b | 0.00 b | 99.0 | 87.0 b | 6.93 c |
| T6: V + L + I | 99.0 a | 81.0 c | 1.00 b | 0.00 b | 99.0 | 85.0 b | 6.70 d |
| T7: V + M | 99.0 a | 94.0 a | 0.00 b | 1.00 b | 100 | 95.0 a | 7.28 a |
| T8: V + M + I | 100.0 a | 95.0 a | 0.00 b | 0.00 b | 99.0 | 88.0 b | 6.90 c |
| T9: V + I | 99.0 a | 88.0 b | 1.00 b | 0.00 b | 99.0 | 91.0 a | 7.03 b |
| T10: L + I | 99.0 a | 93.0 a | 0.00 b | 1.00 b | 98.0 | 82.0 b | 6.63 d |
| T11: I + M | 100 a | 97.0 a | 0.00 b | 0.00 b | 99.0 | 86.0 b | 6.86 c |
| Mean square—Treatment | 15.3 ** | 322 ** | 7.00 ** | 2.90 ** | 4.80 ns | 154 ** | 0.300 ** |
| Mean square—Blocks | - | - | - | - | 2.70 ns | 25.9 ns | 0.200 * |
| Mean square—Residual | 3.36 | 56.5 | 2.10 | 1.26 | 4.10 | 34.2 | 0.100 |
| Coefficient of variation (%) | 1.80 | 8.30 | 240 | 175 | 2.00 | 6.60 | 3.60 |
| Treatment | SL (cm) | SDM (mg) | RL (cm) | RDM (mg) | R/S | CT (%) |
|---|---|---|---|---|---|---|
| Control—intact seed | 8.50 a 1 | 25.2 b | 13.8 a | 36.7 b | 1.04 b | 99.0 a |
| Control—washed | 8.60 a | 33.2 b | 12.0 a | 40.6 b | 1.21 b | 99.0 a |
| Control—washed + water | 9.00 a | 36.3 b | 13.8 a | 40.1 b | 1.11 b | 99.0 a |
| T1: Vital® (V) | 8.90 a | 34.7 b | 12.7 a | 51.0 b | 1.45 b | 96.0 a |
| T2: Lança® (L) | 7.80 a | 34.8 b | 9.10 c | 26.0 b | 0.75 b | 93.0 b |
| T3: Massivo® (M) | 9.30 a | 33.3 b | 12.8 a | 105 a | 3.13 a | 99.0 a |
| T4: Ídolo® (I) | 9.70 a | 31.6 b | 11.3 b | 43.3 b | 1.37 b | 98.0 a |
| T5: V + L | 6.70 b | 33.4 b | 7.90 d | 44.5 b | 1.33 b | 99.0 a |
| T6: V + L + I | 8.70 a | 37.6 b | 10.8 b | 48.7 b | 1.30 b | 93.0 b |
| T7: V + M | 9.70 a | 44.9 a | 12.2 a | 59.4 b | 1.34 b | 95.0 b |
| T8: V + M + I | 6.70 b | 27.1 c | 10.7 b | 39.0 b | 1.44 b | 95.0 b |
| T9: V + I | 5.50 b | 24.4 c | 12.5 a | 40.7 b | 1.69 b | 98.0 a |
| T10: L + I | 4.40 c | 18.5 d | 8.70 c | 50.5 b | 2.98 a | 90.0 b |
| T11: I + M | 3.60 c | 16.6 d | 7.30 d | 40.8 b | 2.51 a | 97.0 a |
| Mean square—Treatment | 15.4 ** | 2.29−4 ** | 18.1 ** | 1.35−3 ** | 2.10 ** | 46.5 ** |
| Mean square—Residual | 0.70 | 1.16−5 | 1.00 | 2.61−4 | 0.100 | 7.74 |
| Coefficient of variation (%) | 11.5 | 10.8 | 9.00 | 26.4 | 24.6 | 2.88 |
| Treatment | Ef | FCEf | ESIf | Tif | Taf | Tff |
|---|---|---|---|---|---|---|
| % | Days | |||||
| Control—intact seed | 100 1 | 97.0 | 5.47 | 4.00 | 4.60 | 6.00 |
| Control—washed | 98.0 | 96.0 | 5.43 | 4.00 | 4.60 | 5.00 |
| Control—washed + water | 100 | 98.0 | 5.50 | 4.00 | 4.60 | 5.00 |
| T1: Vital® (V) | 98.0 | 96.0 | 5.38 | 4.00 | 4.60 | 6.00 |
| T2: Lança® (L) | 99.0 | 96.0 | 5.50 | 4.00 | 4.60 | 5.00 |
| T3: Massivo® (M) | 99.0 | 96.0 | 5.55 | 4.00 | 4.50 | 6.00 |
| T4: Ídolo® (I) | 98.0 | 97.0 | 5.51 | 4.00 | 4.50 | 5.00 |
| T5: V + L | 99.0 | 97.0 | 5.42 | 4.00 | 4.60 | 6.00 |
| T6: V + L + I | 98.0 | 97.0 | 5.36 | 4.00 | 4.70 | 5.00 |
| T7: V + M | 99.0 | 98.0 | 5.51 | 4.00 | 4.60 | 5.00 |
| T8: V + M + I | 99.0 | 96.0 | 5.52 | 4.00 | 4.60 | 6.00 |
| T9: V + I | 98.0 | 97.0 | 5.62 | 4.00 | 4.40 | 5.00 |
| T10: L + I | 99.0 | 97.0 | 5.48 | 4.00 | 4.60 | 5.00 |
| T11: I + M | 99.0 | 95.0 | 5.51 | 4.00 | 4.60 | 6.00 |
| Mean square—Treatment | 4.40 ns | 116 ns | 0.100 ns | - | 0.040 ns | 0.500 ns |
| Mean square—Blocks | 2.10 ns | 203 ** | 2.10 ** | - | 1.50 ** | 2.00 ** |
| Mean square—Residual | 3.60 | 18.50 | 0.100 | - | 0.030 | 0.400 |
| Coefficient of variation (%) | 1.90 | 4.50 | 4.20 | - | 3.70 | 11.7 |
| Description | Macronutrient (g kg−1) | Micronutrient (mg kg−1) | |||||||||
|---|---|---|---|---|---|---|---|---|---|---|---|
| N | P | K | Ca | Mg | S | B | Cu | Fe | Mn | Zn | |
| Soybean | 60.3 | 5.10 | 20.0 | 2.20 | 3.00 | 2.70 | 26.9 | 10.8 | 78.0 | 25.1 | 33.2 |
| Corn | 18.9 | 2.90 | 3.40 | 0.200 | 1.20 | 1.10 | 3.90 | 1.00 | 59.1 | 4.80 | 22.3 |
| Dose | ||
|---|---|---|
| Treatment | Soybean (mL kg−1) | Corn (mL 960 seeds−1) |
| Control (intact seed) | - | - |
| Control (water—W) | 5.0 Water (W) | X |
| Control (washed) | X | - |
| Control (washed + water) | X | 8.0 W |
| T1: Vital® (V) | 1.5 V + 3.5 W | 2.4 V + 5.6 W |
| T2: Lança® (L) | 1.0 L + 4.0 W | 1.6 L + 6.4 W |
| T3: Massivo® (M) | 1.0 M + 4.0 W | 1.6 M + 6.4 W |
| T4: Ídolo® (I) | 1.0 I + 4.0 W | 1.6 I + 6.4 W |
| T5: V + L | 1.5 V + 1.0 L + 2.5 W | 2.4 V + 1.6 L + 4.0 W |
| T6: V + L + I | 1.5 V + 1.0 L + 1.0 I + 1.5 W | 2.4 V + 1.6 L + 1.6 I + 2.4 W |
| T7: V + M | 1.5 V + 1.0 M + 2.5 W | 2.4 V + 1.6 M + 4.0 W |
| T8: V + M + I | 1.5 V + 1.0 M + 1.0 I + 1.5 W | 2.4 V + 1.6 M + 1.6 I + 2.4 W |
| T9: V + I | 1.5 V + 1.0 I + 2.5 W | 2.4 V + 1.6 I + 4.0 W |
| T10: L + I | 1.0 L + 1.0 I + 3.0 W | 1.6 L + 1.6 I + 4.8 W |
| T11: I + M | 1.0 I + 1.0 M + 3.0 W | 1.6 I + 1.6 M + 4.8 W |
Disclaimer/Publisher’s Note: The statements, opinions and data contained in all publications are solely those of the individual author(s) and contributor(s) and not of MDPI and/or the editor(s). MDPI and/or the editor(s) disclaim responsibility for any injury to people or property resulting from any ideas, methods, instructions or products referred to in the content. |
© 2023 by the authors. Licensee MDPI, Basel, Switzerland. This article is an open access article distributed under the terms and conditions of the Creative Commons Attribution (CC BY) license (https://creativecommons.org/licenses/by/4.0/).
Share and Cite
Machado, C.G.; Silva, G.Z.d.; Cruz, S.C.S.; Anjos, R.C.L.d.; Silva, C.L.; Matos, L.F.L.d.; Smaniotto, A.O. Germination and Vigor of Soybean and Corn Seeds Treated with Mixed Mineral Fertilizers. Plants 2023, 12, 338. https://doi.org/10.3390/plants12020338
Machado CG, Silva GZd, Cruz SCS, Anjos RCLd, Silva CL, Matos LFLd, Smaniotto AO. Germination and Vigor of Soybean and Corn Seeds Treated with Mixed Mineral Fertilizers. Plants. 2023; 12(2):338. https://doi.org/10.3390/plants12020338
Chicago/Turabian StyleMachado, Carla Gomes, Givanildo Zildo da Silva, Simério Carlos Silva Cruz, Rafael Cardoso Lourenço dos Anjos, Caíque Lopes Silva, Lucas Ferreira Lima de Matos, and Alex Oliveira Smaniotto. 2023. "Germination and Vigor of Soybean and Corn Seeds Treated with Mixed Mineral Fertilizers" Plants 12, no. 2: 338. https://doi.org/10.3390/plants12020338
APA StyleMachado, C. G., Silva, G. Z. d., Cruz, S. C. S., Anjos, R. C. L. d., Silva, C. L., Matos, L. F. L. d., & Smaniotto, A. O. (2023). Germination and Vigor of Soybean and Corn Seeds Treated with Mixed Mineral Fertilizers. Plants, 12(2), 338. https://doi.org/10.3390/plants12020338

