Characterization of the Effect of a Novel Production Technique for ‘Not from Concentrate’ Pear and Apple Juices on the Composition of Phenolic Compounds
Abstract
:1. Introduction
2. Results
2.1. Total Polyphenol Content by Folin–Ciocalteu
2.1.1. Apple Matrices and By-Products
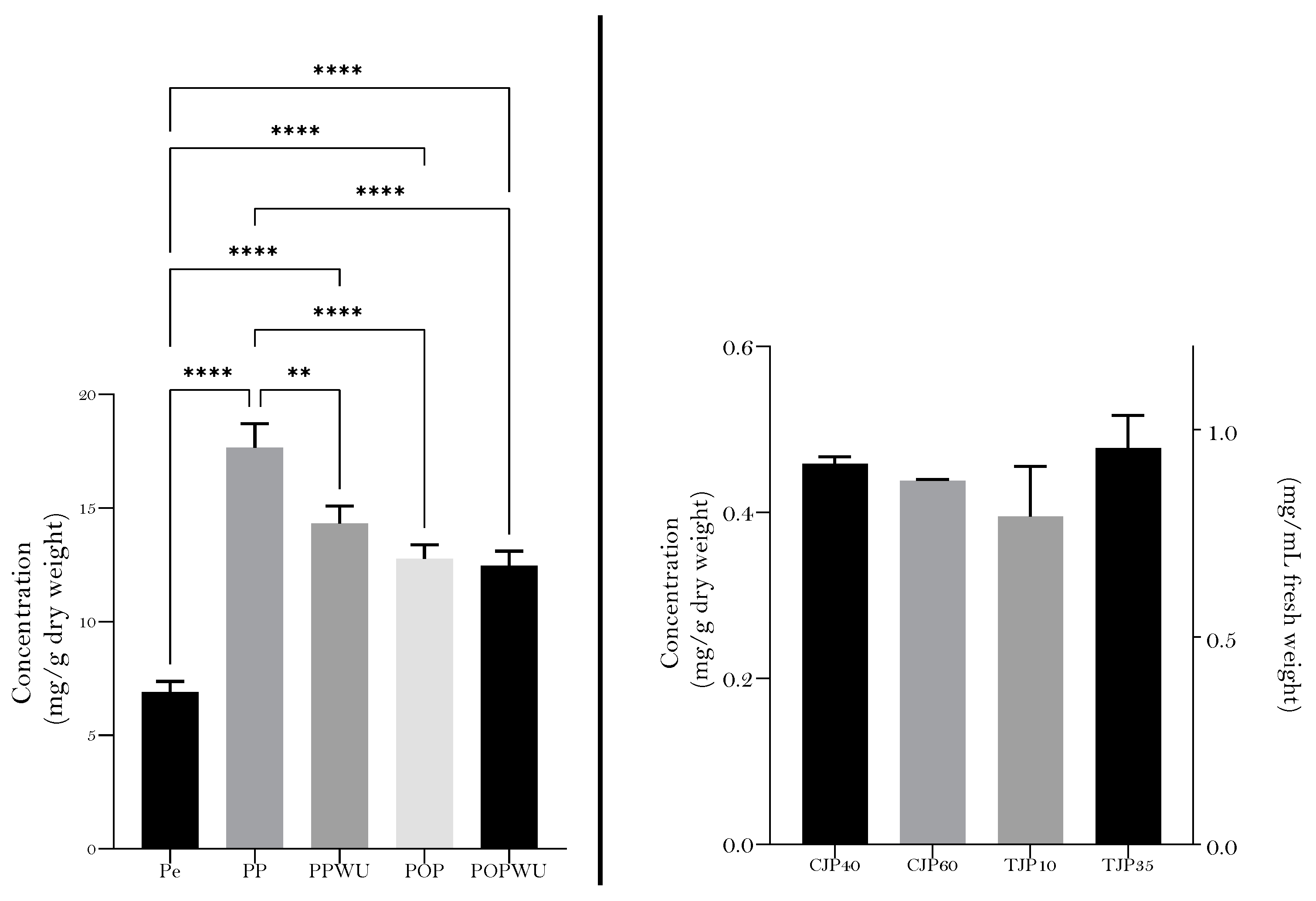
2.1.2. Pear Matrices and By-Products
2.2. Phenolic-Compound Characterization and Identification
2.2.1. Apple Matrices and By-Products
2.2.2. Pear Matrices and By-Products
3. Discussion
4. Materials and Methods
4.1. Chemicals
4.2. Industrial Processing
4.3. Samples
4.4. Phenolic-Compound Extraction from Fruit Juices
4.5. Phenolic-Compound Extraction from Fruits
4.6. Extraction of Bound Phenolic Compounds
4.7. Determination of Total Phenolic Content of the Extracts
4.8. Characterization of Phenolic Compounds Using HPLC-UVvis and Identification Using LC-MS/MS
4.9. Statistical Analysis
5. Conclusions
Supplementary Materials
Author Contributions
Funding
Data Availability Statement
Acknowledgments
Conflicts of Interest
References
- Brglez Mojzer, E.; Knez Hrnčič, M.; Škerget, M.; Knez, Ž.; Bren, U. Polyphenols: Extraction Methods, Antioxidative Action, Bioavailability and Anticarcinogenic Effects. Molecules 2016, 21, 901. [Google Scholar] [CrossRef] [PubMed]
- Kalinowska, M.; Gryko, K.; Wróblewska, A.M.; Jabłońska-Trypuć, A.; Karpowicz, D. Phenolic Content, Chemical Composition and Anti-/pro-Oxidant Activity of Gold Milenium and Papierowka Apple Peel Extracts. Sci. Rep. 2020, 10, 14951. [Google Scholar] [CrossRef] [PubMed]
- Commisso, M.; Bianconi, M.; Poletti, S.; Negri, S.; Munari, F.; Ceoldo, S.; Guzzo, F. Representing Diverse Apple and Pear Cultivars. Biology 2021, 10, 380. [Google Scholar] [CrossRef]
- Pascoalino, L.A.; Reis, F.S.; Prieto, M.A.; Barreira, J.C.M.; Ferreira, I.C.F.R.; Barros, L. Valorization of Bio-Residues from the Processing of Main Portuguese Fruit Crops: From Discarded Waste to Health Promoting Compounds. Molecules 2021, 26, 2624. [Google Scholar] [CrossRef] [PubMed]
- Kostić, A.; Milinčić, D.D.; Stanisavljević, N.S.; Gašić, U.M.; Lević, S.; Kojić, M.O.; Lj. Tešić, Ž.; Nedović, V.; Barać, M.B.; Pešić, M.B. Polyphenol Bioaccessibility and Antioxidant Properties of in Vitro Digested Spray-Dried Thermally-Treated Skimmed Goat Milk Enriched with Pollen. Food Chem. 2021, 351, 129310. [Google Scholar] [CrossRef]
- da Silva, L.C.; Viganó, J.; de Souza Mesquita, L.M.; Dias, A.L.B.; de Souza, M.C.; Sanches, V.L.; Chaves, J.O.; Pizani, R.S.; Contieri, L.S.; Rostagno, M.A. Recent Advances and Trends in Extraction Techniques to Recover Polyphenols Compounds from Apple By-Products. Food Chem. X 2021, 12, 100133. [Google Scholar] [CrossRef]
- Jakobek, L.; Buljeta, I.; Ištuk, J.; Barron, A.R. Polyphenols of Traditional Apple Varieties in Interaction with Barley β-Glucan: A Study of the Adsorption Process. Foods 2020, 9, 1278. [Google Scholar] [CrossRef]
- Gu, C.; Howell, K.; Dunshea, F.R.; Suleria, H.A.R. LC-ESI-QTOF/MS Characterisation of Phenolic Acids and Flavonoids in Polyphenol-Rich Fruits and Vegetables and Their Potential Antioxidant Activities. Antioxidants 2019, 8, 405. [Google Scholar] [CrossRef]
- Starowicz, M.; Achrem-Achremowicz, B.; Piskuła, M.K.; Zieliński, H. Phenolic Compounds from Apples: Reviewing Their Occurrence, Absorption, Bioavailability, Processing, and Antioxidant Activity—A Review. Pol. J. Food Nutr. Sci. 2020, 70, 321–336. [Google Scholar] [CrossRef]
- Perez-Gregorio, R.; Simal-Gandara, J. A Critical Review of Bioactive Food Components, and of Their Functional Mechanisms, Biological Effects and Health Outcomes. Curr. Pharm. Des. 2017, 23, 2731–2741. [Google Scholar] [CrossRef]
- Kschonsek, J.; Wolfram, T.; Stöckl, A.; Böhm, V. Polyphenolic Compounds Analysis of Old and New Apple Cultivars and Contribution of Polyphenolic Profile to the in Vitro Antioxidant Capacity. Antioxidants 2018, 7, 20. [Google Scholar] [CrossRef]
- Zielińska, A.; Carreiró, F.; Oliveira, A.M.; Neves, A.; Pires, B.; Venkatesh, D.N.; Durazzo, A.; Lucarini, M.; Eder, P.; Silva, A.M.; et al. Polymeric Nanoparticles: Production, Characterization, Toxicology and Ecotoxicology. Molecules 2020, 25, 3731. [Google Scholar] [CrossRef]
- Hollá, M.; Bílková, A.; Jakubec, P.; Košková, S.; Kočová Vlčková, H.; Šatínský, D.; Švec, F.; Sklenářová, H. Benefits and Pitfalls of HPLC Coupled to Diode-Array, Charged Aerosol, and Coulometric Detections: Effect of Detection on Screening of Bioactive Compounds in Apples. Molecules 2021, 26, 3246. [Google Scholar] [CrossRef]
- Van der Sluis, A.A.; Dekker, M.; Skrede, G.; Jongen, W.M.F. Activity and Concentration of Polyphenolic Antioxidants in Apple Juice. 1. Effect of Existing Production Methods. J. Agric. Food Chem. 2002, 50, 7211–7219. [Google Scholar] [CrossRef] [PubMed]
- Willems, J.L.; Low, N.H. Phenolic Content and Antioxidant Activities of Commercial Apple and Pear Juices Representing Major World Producing Regions. Food Nutr. J. 2017, 2, 141. [Google Scholar] [CrossRef]
- Shahidi, F.; Yeo, J.D. Insoluble-Bound Phenolics in Food. Molecules 2016, 21, 1216. [Google Scholar] [CrossRef] [PubMed]
- Xu, J.; Bock, J.E.; Stone, D. Quality and Textural Analysis of Noodles Enriched with Apple Pomace. J. Food Process. Preserv. 2020, 44, e14579. [Google Scholar] [CrossRef]
- Barreira, J.C.M.; Arraibi, A.A.; Ferreira, I.C.F.R. Bioactive and Functional Compounds in Apple Pomace from Juice and Cider Manufacturing: Potential Use in Dermal Formulations. Trends Food Sci. Technol. 2019, 90, 76–87. [Google Scholar] [CrossRef]
- Kolniak-Ostek, J.; Oszmiański, J. Characterization of Phenolic Compounds in Different Anatomical Pear (Pyrus communis L.) Parts by Ultra-Performance Liquid Chromatography Photodiode Detector-Quadrupole/Time of Flight-Mass Spectrometry (UPLC-PDA-Q/TOF-MS). Int. J. Mass Spectrom. 2015, 392, 154–163. [Google Scholar] [CrossRef]
- Brahem, M.; Renard, C.M.G.C.; Eder, S.; Loonis, M.; Ouni, R.; Mars, M.; Le Bourvellec, C. Characterization and Quantification of Fruit Phenolic Compounds of European and Tunisian Pear Cultivars. Food Res. Int. 2017, 95, 125–133. [Google Scholar] [CrossRef]
- Brahem, M.; Eder, S.; Renard, C.M.G.C.; Loonis, M.; Le Bourvellec, C. Effect of Maturity on the Phenolic Compositions of Pear Juice and Cell Wall Effects on Procyanidins Transfer. LWT 2017, 85, 380–384. [Google Scholar] [CrossRef]
- Candrawinata, V.I.; Blades, B.L.; Golding, J.B.; Stathopoulos, C.E.; Roach, P.D. Effect of Clarification on the Polyphenolic Compound Content and Antioxidant Activity of Commercial Apple Juices. Int. Food Res. J. 2012, 19, 1055–1061. [Google Scholar]
- Włodarska, K.; Gliszczyńska-Świgło, A.; Sikorska, E. Differentiation of Commercial Apple Juices Based on Multivariate Analysis of Their Polyphenolic Profiles. J. Food Compos. Anal. 2023, 115, 105031. [Google Scholar] [CrossRef]
- Acosta-Estrada, B.A.; Gutiérrez-Uribe, J.A.; Serna-Saldívar, S.O. Bound Phenolics in Foods, a Review. Food Chem. 2014, 152, 46–55. [Google Scholar] [CrossRef]
- Fernandes, A.; Simões, S.; Ferreira, I.M.P.L.V.O.; Alegria, M.J.; Mateus, N.; Raymundo, A.; de Freitas, V. Upcycling Rocha Do Oeste Pear Pomace as a Sustainable Food Ingredient: Composition, Rheological Behavior and Microstructure Alone and Combined with Yeast Protein Extract. Molecules 2023, 28, 179. [Google Scholar] [CrossRef] [PubMed]
- Li, W.; Yang, R.; Ying, D.; Yu, J.; Sanguansri, L.; Augustin, M.A. Analysis of Polyphenols in Apple Pomace: A Comparative Study of Different Extraction and Hydrolysis Procedures. Ind. Crops Prod. 2020, 147, 112250. [Google Scholar] [CrossRef]






| Proposed Compounds | RT (min) | Ionization (ESI+/ESI−) | Molecular Ion | MS/MS |
|---|---|---|---|---|
| Procyanidin | 7.57 | [M–H]+ | 867.21 | 127, 135, 163, 123 |
| Procyanidin B3 Dimer | 10.80 | [M–H]− | 577.13 | 289, 407, 125 |
| Caffeic acid derivative | 11.28 | [M–H]+ | 163.00 | 89, 117, 135 |
| Coumaric acid | 11.73 | [M–H]+ | 420.16 | 165, 123, 147 |
| Procyanidin B1 trimer | 12.21 | [M–H]− | 865.20 | 125, 289, 407, 287 |
| Chlorogenic acid | 12.39 | [M–H]− | 353.09 | 191 |
| Caffeoylquinic acid | 12.86 | [M–H]+ | 355.10 | 163, 135, 145, 117, 89 |
| Catechin | 13.29 | [M–H]− | 289.07 | 245, 205, 109, 125 |
| Procyanidin C1 Trimer | 13.51 | [M–H]− | 865.20 | 125, 289, 407, 161 |
| Procyanidin B2 Dimer | 13.68 | [M–H]− | 577.13 | 289, 407, 125 |
| Tetramer of procyanidin | 13.90 | [M–H]+ | 1155.00 | 135, 127, 123, 245, 163 |
| Caffeic acid | 14.36 | [M–H]− | 367.10 | 179, 135, 367, 161 |
| 4-coumaric acid | 14.72 | [M–H]+ | 309.09 | 147, 119, 91 |
| Ferulic acid | 15.05 | [M–H]+ | 177.05 | 117, 89, 149, 145, 134 |
| Epicatechin | 15.20 | [M–H]− | 289.07 | 245, 205, 109, 125 |
| Procyanidin Trimer | 15.46 | [M–H]− | 865.20 | 125, 289, 407, 161 |
| Coumaroylquinic acid | 15.75 | [M–H]− | 377.09 | 173, 163 |
| Quercetin-3-O-galactoside + cluster | 15.93 | [M–H]+ | 1443.30 | 163, 245, 257, 229 |
| Quercetin-3-O-galactoside + cluster | 16.55 | [M–H]+ | 1443.30 | 163, 245, 257, 229 |
| Quercetin-3-O-glucoside + cluster | 16.94 | [M–H]+ | 866.20 | 163, 245, 247, 257 |
| Quercetin-3-O-glucoside + cluster | 18.60 | [M–H]+ | 866.20 | 163, 245, 247, 257 |
| Quercetin-3-O-Rutinoside | 19.82 | [M–H]− | 609.15 | 300, 302, 301, 564 |
| Procyanidin B1 Dimer | 21.14 | [M–H]− | 577.13 | 289, 125, 407, 245 |
| Quercetin-3-O-galactoside | 21.93 | [M–H]− | 463.09 | 300, 301 |
| Quercetin-3-O-glucoside | 22.59 | [M–H]+ | 465.10 | 303, 229, 85, 153 |
| Quercetin-3-O-xyloside | 25.01 | [M–H]− | 433.08 | 300, 301 |
| Quercetin-3-O-arabinoside | 26.37 | [M–H]− | 433.08 | 300, 301 |
| Quercetin-3-O-rhamnoside | 27.75 | [M–H]− | 447.09 | 300, 301, 302, 447 |
| Phloretin | 28.04 | [M–H]+ | 275.09 | 107, 169 |
| Quercetin | 29.19 | [M–H]− | 301.04 | 151, 179, 301 |
| Quercitrin | 30.08 | [M–H]+ | 449.09 | 303, 71, 85, 137, 153 |
| Phloridzin | 37.48 | [M–H]− | 435.13 | 273, 167 |
| Proposed Compounds | RT (min) | Ionization (ESI+/ESI−) | Molecular Ion | MS/MS |
|---|---|---|---|---|
| Arbutin | 9.75 | [M–H]− | 317 | 109, 109, 123 |
| Quinic acid | 10.37 | [M–H]− | 191 | 191 |
| 3′Caffeoylquinic acid | 11.97 | [M–H]+ | 355 | 355, 191 |
| Syringic acid | 12.67 | [M–H]− | 359 | 197, 153, 331 |
| Protocatechuic acid | 14.94 | [M–H]− | 153 | 109, 153 |
| Feroloylquinic acid | 16.77 | [M–H]− | 658 | 191, 193 |
| Esculin | 17.98 | [M–H]+ | 341 | 179, 123 |
| Caffeic acid hexoside | 19.97 | [M–H]− | 341 | 179 |
| Cholorogenic acid | 20.56 | [M–H]− | 355 | 163 |
| Umbeliferone | 20.97 | [M–H]+ | 163 | 163, 135 |
| Catechin | 21.08 | [M–H]− | 289 | 245, 289 |
| 5′Caffeoyl quinic acid | 21.39 | [M–H]+ | 355 | 163 |
| Caffeic acid | 21.76 | [M–H]− | 367.1 | 179, 135, 367, 161 |
| Procyanidin dimer | 22.14 | [M–H]− | 577 | 289, 407, 125 |
| Myricetin-3-galactoside | 22.99 | [M–H]− | 480 | 287, 317 |
| Epicatechin gallate | 23.61 | [M–H]− | 469 | 289, 245, 135 |
| 4′Caffeoyl quinic acid | 24.36 | [M–H]− | 353 | 191 |
| Epicatechin | 24.83 | [M–H]− | 289 | 289, 125, 245 |
| Coumaroyl quinic acid | 25.05 | [M–H]− | 337 | 191, 93, 173 |
| Procyanidin derivative | 25.58 | [M–H]− | 757 | 125, 289, 407 |
| Hydroxyferulic acid | 25.89 | [M–H]− | 327 | 165 |
| 3-Feruloylquinic acid | 26.26 | [M–H]+ | 367/163 | 163 |
| Caffeyolquinic acid | 27.87 | [M–H]+ | 367 | 163 |
| Procyanidin derivative | 28.03 | [M–H]− | 741 | 289, 339, 177 |
| Quercetin-3-O-rutinoside | 28.45 | [M–H]− | 609 | 300, 301, 609 |
| Quercetin-3-O-galactoside | 29.40 | [M–H]− | 463 | 300, 301, 463 |
| Quercetin-3-O-glucoside | 29.68 | [M–H]− | 463 | 302, 301, 463 |
| Procyanidin derivative | 30.53 | [M–H]− | 483 | 289, 245, 341 |
| Isorhamnetin-3-O-rutinoside | 30.67 | [M–H]+ | 625 | 317 |
| Isorhamnetin | 30.86 | [M–H]− | 623 | 315 |
| Coumaroyl hexoside | 31.24 | [M–H]− | 351 | 163, 119 |
| 3,4-Dicaffeyolquinic acid | 31.92 | [M–H]− | 515 | 191, 179, 70, 353 |
| Isorhamnetin-3-O-glucoside | 32.18 | [M–H]− | 477 | 314, 315, 477 |
| Coumaroyl hexoside | 32.62 | [M–H]− | 351 | 163, 119 |
| Luteolin-4′-O-glucoside | 34.00 | [M–H]− | 533 | 285, 284 |
| Isorhamnetin acetyl hexosided | 34.21 | [M–H]− | 519 | 314, 315, 299, 300, 316 |
| Caffeyoquinic acid derivative | 37.89 | [M–H]+ | 531 | 163 |
| Kampferol | 38.29 | [M–H]− | 287.12 | 287 |
| Caffeic acid methyl ester | 53.34 | [M–H]− | 193 | 193 |
| 3,4,5-tricaffeoylquinic acid | 58.02 | [M–H]+ | 677 | 677, 515 |
| Fruit | Sample | Method of Production | Abbreviation |
|---|---|---|---|
| Apple | Apple | - | A |
| Puree | With Colloidal milling using Urschel® | PWU | |
| Puree | Without Colloidal milling using Urschel® | P | |
| Pomace | Without Colloidal milling using Urschel® Differential speed: 10 rpm at 70 °C | PO | |
| Pomace | With Colloidal milling using Urschel® Differential speed: 10 rpm at 70 °C | POWU | |
| Turbid juice | Differential speed: 10 rpm at 70 °C | TJ10 | |
| Turbid juice | Differential speed: 35 rpm at 70 °C | TJ35 | |
| Clarified juice | Tangential filtration at 40 °C | CJ40 | |
| Clarified juice | Tangential filtration at 60 °C | CJ60 | |
| Pear | - | PE | |
| Pear | Puree | With Colloidal milling using Urschel® | PPWU |
| Puree | Without Colloidal milling using Urschel® | PP | |
| Pomace | Without Colloidal milling using Urschel® Differential speed: 10 rpm at 70 °C | POP | |
| Turbid juice | Differential speed: 10 rpm at 70 °C | TJP10 | |
| Turbid juice | Differential speed: 35 rpm at 70 °C | TJP35 | |
| Clarified juice | Tangential filtration at 40 °C | CJP40 | |
| Clarified juice | Tangential filtration at 60 °C | CJP60 |
Disclaimer/Publisher’s Note: The statements, opinions and data contained in all publications are solely those of the individual author(s) and contributor(s) and not of MDPI and/or the editor(s). MDPI and/or the editor(s) disclaim responsibility for any injury to people or property resulting from any ideas, methods, instructions or products referred to in the content. |
© 2023 by the authors. Licensee MDPI, Basel, Switzerland. This article is an open access article distributed under the terms and conditions of the Creative Commons Attribution (CC BY) license (https://creativecommons.org/licenses/by/4.0/).
Share and Cite
Teixeira, J.C.; Ribeiro, C.; Simôes, R.; Alegria, M.J.; Mateus, N.; de Freitas, V.; Pérez-Gregorio, R.; Soares, S. Characterization of the Effect of a Novel Production Technique for ‘Not from Concentrate’ Pear and Apple Juices on the Composition of Phenolic Compounds. Plants 2023, 12, 3397. https://doi.org/10.3390/plants12193397
Teixeira JC, Ribeiro C, Simôes R, Alegria MJ, Mateus N, de Freitas V, Pérez-Gregorio R, Soares S. Characterization of the Effect of a Novel Production Technique for ‘Not from Concentrate’ Pear and Apple Juices on the Composition of Phenolic Compounds. Plants. 2023; 12(19):3397. https://doi.org/10.3390/plants12193397
Chicago/Turabian StyleTeixeira, José Carlos, Catarina Ribeiro, Rodolfo Simôes, Maria João Alegria, Nuno Mateus, Victor de Freitas, Rosa Pérez-Gregorio, and Susana Soares. 2023. "Characterization of the Effect of a Novel Production Technique for ‘Not from Concentrate’ Pear and Apple Juices on the Composition of Phenolic Compounds" Plants 12, no. 19: 3397. https://doi.org/10.3390/plants12193397
APA StyleTeixeira, J. C., Ribeiro, C., Simôes, R., Alegria, M. J., Mateus, N., de Freitas, V., Pérez-Gregorio, R., & Soares, S. (2023). Characterization of the Effect of a Novel Production Technique for ‘Not from Concentrate’ Pear and Apple Juices on the Composition of Phenolic Compounds. Plants, 12(19), 3397. https://doi.org/10.3390/plants12193397

