Phenotypic Variation Analysis and Excellent Clone Selection of Alnus cremastogyne from Different Provenances
Abstract
1. Introduction
2. Results
2.1. Variation Analysis of Phenotypic Traits among and within Provenances of 40 A. cremastogyne Clones from 4 Provenances
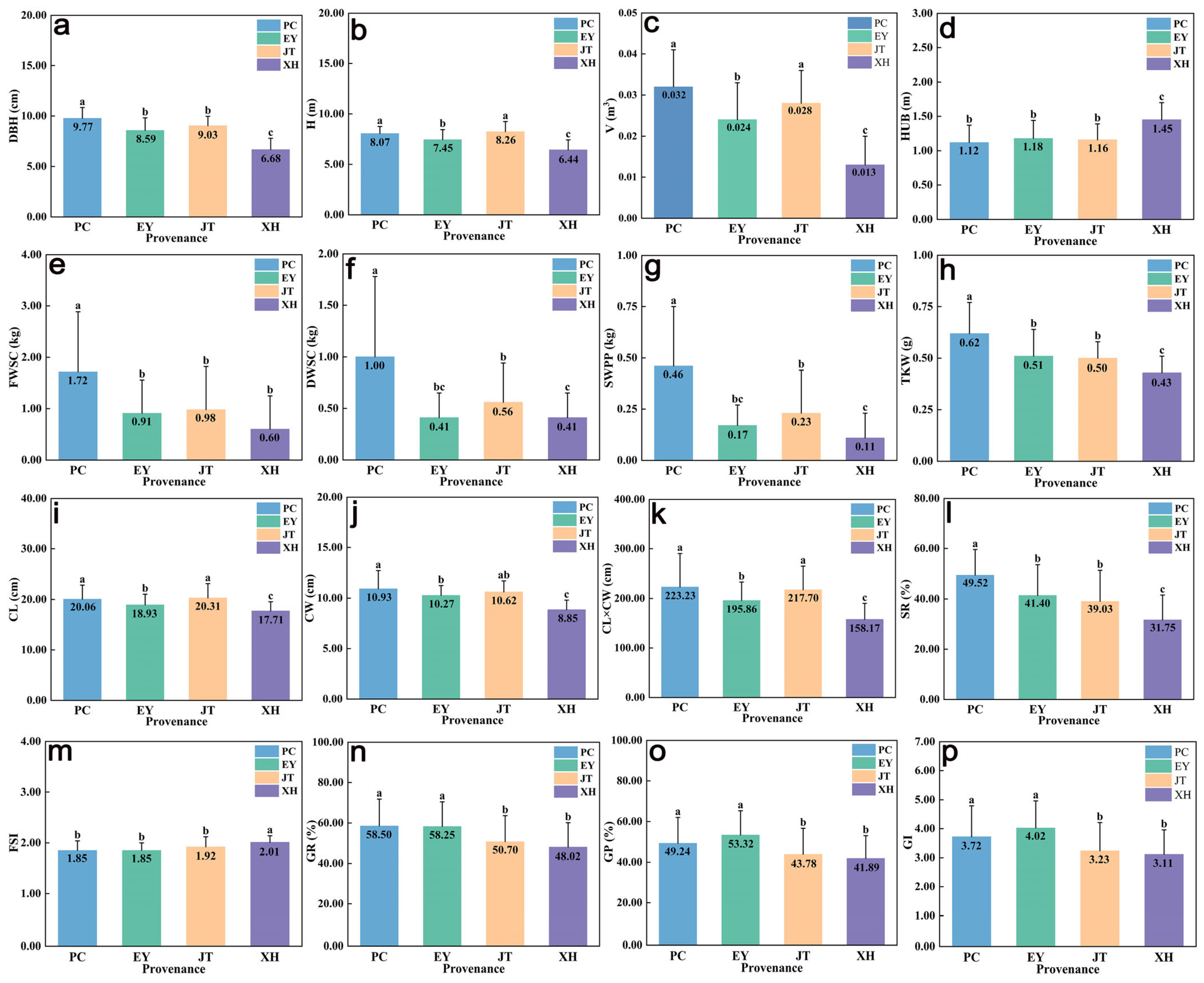
2.2. Phenotypic Differentiation among Provenances
2.3. Variation Degree and Genetic Parameters of Phenotypic Traits
2.4. Correlation Analysis of Phenotypic Traits
2.5. Principal Component Analysis (PCA) of Phenotypic Traits
2.6. Cluster Analysis of Clone
2.7. Excellent Clone Selection
3. Discussion
4. Materials and Methods
4.1. Study Sites and Materials
4.2. Index Measurement Calculation
4.3. Statistical Analyses
5. Conclusions
Author Contributions
Funding
Data Availability Statement
Acknowledgments
Conflicts of Interest
References
- Rao, L.; Li, Y.; Guo, H.; Duan, H.; Chen, Y. Comparisons on seedlings growth traits of five alder genus species. J. Cent. South Univ. For. Technol. 2016, 36, 18–25. (In Chinese) [Google Scholar] [CrossRef]
- Guo, H.; Yang, H.; Chen, Z.; Wang, Z.; Huang, Z.; Li, J.; Xiao, X.; Kang, X. Genetic Effects of Fruit, Seed and Seedling Traits of Alnus cremastogyne Burk in a 7 × 7 Complete Diallel Cross Design. Bull. Bot. Res. 2018, 38, 357–366. (In Chinese) [Google Scholar] [CrossRef]
- Chen, B.; Zhou, Z.; Li, G.; Huang, G.; Yang, L. Status on Pulping/Papering Research of Alder and Prospect of Utilization of Alder Pulp Wood in China. For. Res. 1999, 12, 656–661. (In Chinese) [Google Scholar]
- Liu, L.; Wang, R.; Zhang, Y.; Mou, Q.; Gou, Y.; Liu, K.; Huang, N.; Ouyang, C.; Hu, J.; Du, B. Simulation of potential suitable distribution of Alnus cremastogyne Burk. In China under climate change scenarios. Ecol. Indic. 2021, 133, 108396. [Google Scholar] [CrossRef]
- Chen, G.; Pan, F.; Gao, Y.; Li, H.; Qin, X.; Jiang, Y.; Qi, J.; Xie, J.; Jia, S. Analysis of Components and Properties of Extractives from Alnus cremastogyne Pods from Different Provenances. Molecules 2022, 27, 7802. [Google Scholar] [CrossRef] [PubMed]
- Raj, D.; Govindaraju, D.; Orians, C. Genetic variation among pitch pine Pinus rigida families from Walden Woods: Heritability and path analysis of developmental variation of phenotypic traits. Rhodora 2009, 108, 356–369. [Google Scholar] [CrossRef]
- Shi, R.; Zhu, Z.; Shi, N.; Li, Y.; Dang, J.; Wang, Y.; Ma, Y.; Xu, X.; Liu, T. Phenotypic Diversity Analysis in Elaeagnus angustifolia Populations in Gansu Province, China. Forests 2023, 14, 1143. [Google Scholar] [CrossRef]
- Khadivi-Khub, A.; Ebrahimi, A.; Sheibani, F.; Esmaeili, A. Phenological and pomological characterization of Persian walnut to select promising trees. Euphytica 2015, 205, 557–567. [Google Scholar] [CrossRef]
- Stöcklin, J.; Kuss, P.; Pluess, A.R. Genetic diversity, phenotypic variation and local adaption in the alpine landscape: Case studies with alpine plant species. Bot. Helv. 2009, 119, 125–133. [Google Scholar] [CrossRef]
- Duan, Y.; Ye, T.; Ye, D.; Zhou, J. Seed Distribution and Phenotypic Variation in Different Layers of a Cunninghamia Lanceolata Seed Orchard. Forests 2023, 14, 240. [Google Scholar] [CrossRef]
- Przybylski, P.; Tereba, A.; Meger, J.; Szyp-Borowska, I.; Tyburski, Ł. Conservation of Genetic Diversity of Scots Pine (Pinus sylvestris L.) in a Central European National Park Based on cpDNA Studies. Diversity 2022, 14, 93. [Google Scholar] [CrossRef]
- Li, X.; Zhao, M.; Xu, Y.; Li, Y.; Tigabu, M.; Zhao, X. Genetic Diversity and Population Differentiation of Pinus koraiensis in China. Horticulturae 2021, 7, 104. [Google Scholar] [CrossRef]
- Cabezas, J.A.; Cervera, M.T.; Ruiz-Garcia, L.; Carreno, J.; Martínez-Zapater, J.M. A genetic analysis of seed and berry weight in grapevine. Genome 2006, 49, 1572–1585. [Google Scholar] [CrossRef]
- Garcia, R.; Siepielski, A.M.; Benkman, C.W. Cone and seed trait variation in whitebark pine (Pinus albicaulis; Pinaceae) and the potential for phenotypic selection. Am. J. Bot. 2009, 96, 1050–1054. [Google Scholar] [CrossRef] [PubMed]
- Chen, Y.; Wang, K.; Zhang, Z.; Ou, L.; Luo, X.; Zhu, F.; Hirst, P.M.; Ao, Y. Phenotypic Variation in Seed Morphochemical and Seedling Traits in Four Chinese Provenances of Xanthoceras sorbifolium. Forests 2022, 13, 959. [Google Scholar] [CrossRef]
- Antony, F.; Schimleck, L.R.; Jordan, L.; Hornsby, B.; Dahlen, J.; Daniels, R.F.; Clark, A.; Apiolaza, L.A.; Huber, D. Growth and wood properties of genetically improved loblolly pine: Propagation type comparison and genetic parameters. Can. J. For. Res. 2014, 44, 263–272. [Google Scholar] [CrossRef]
- Mwase, W.F.; Savill, P.S.; Hemery, G. Genetic parameter estimates for growth and form traits in common ash (Fraxinus excelsior, L.) in a breeding seedling orchard at Little Wittenham in England. New For. 2008, 36, 225–238. [Google Scholar] [CrossRef]
- Yu, X.; Li, F.; Zhao, Q.; Wang, J.; Liu, Y.; Yi, F.; Guo, X.; Zhang, P.; Ma, W. Primary Selection of Excellent Catalpa fargesii Clones Based on Growth and Wood Properties. Forests 2022, 13, 1659. [Google Scholar] [CrossRef]
- Chu, D.; Yao, T.; Zhou, L.; Yan, H.; Yu, M.; Liu, Y.; You, Y.; Bahmani, M.; Lu, C.; Ding, Z.; et al. Genetic variation analysis and comprehensive evaluation of wood property traits of 20-year-old Chinese fir clone. Eur. J. For. Res. 2022, 141, 59–69. [Google Scholar] [CrossRef]
- Huang, J.; Yuan, F.; Zhou, M.; Huang, T.; Zhang, Y.; Liang, Q. Phenotype correlation analysis and excellent germplasm screening of herb Bletilla Rchb. f. based on comprehensive evaluation from thirty-three geographic populations. BMC Plant Biol. 2022, 22, 154. [Google Scholar] [CrossRef]
- Tsuyama, I.; Ishizuka, W.; Kitamura, K.; Taneda, H.; Goto, S. Ten Years of Provenance Trials and Application of Multivariate Random Forests Predicted the Most Preferable Seed Source for Silviculture of Abies sachalinensis in Hokkaido, Japan. Forests 2020, 11, 1058. [Google Scholar] [CrossRef]
- Zeneli, G.; Kola, H.; Dida, M. Phenotypic variation in native walnut populations of Northern Albania. Sci. Hortic. 2005, 105, 91–100. [Google Scholar] [CrossRef]
- Hodge, G.R.; Dvorak, W.S. Provenance variation and within-Provenance genetic parameters in Eucalyptus urophylla across 125 test sites in Brazil, Colombia, Mexico, South Africa and Venezuela. Tree Genet. Genomes 2015, 11, 57. [Google Scholar] [CrossRef]
- Cáceres, C.B.; Hernández, R.E.; Fortin, Y. Shrinkage variation in Japanese larch (Larix kaempferi (Lamb.) Carr.) progenies/provenances trials in Eastern Canada. Wood Mater. Sci. Eng. 2017, 13, 97–103. [Google Scholar] [CrossRef]
- Lepais, O.; Bacles, C.F.E. De novo discovery and multiplexed amplification of microsatellite markers for black alder (Alnus glutinosa) and related species using SSR-enriched shotgun pyrosequencing. J. Hered. 2011, 102, 627–632. [Google Scholar] [CrossRef] [PubMed]
- Lee, S.I.; Nkongolo, K.; Park, D.; Choi, I.Y.; Choi, A.Y.; Kim, N.S. Characterization of chloroplast genomes of Alnus rubra and Betula cordifolia, and their use in phylogenetic analyses in Betulaceae. Genes Genom. 2019, 41, 305–316. [Google Scholar] [CrossRef]
- Mingeot, D.; Husson, C.; Mertens, P.; Watillon, B.; Bertin, P.; Druart, P. Genetic diversity and genetic structure of black alder (Alnus glutinosa [L.] Gaertn) in the Belgium-Luxembourg-France cross-border area. Tree Genet. Genomes 2016, 12, 24. [Google Scholar] [CrossRef]
- Kremer, D.; Kosalec, I.; Locatelli, M.; Epifano, F.; Genovese, S.; Carlucci, G.; Končića, M.Z. Anthraquinone profiles, antioxidant and antimicrobial properties of Frangula rupestris (Scop.) Schur and Frangula alnus Mill. Bark. Food Chem. 2012, 131, 1174–1180. [Google Scholar] [CrossRef]
- Sajid, M.; Khan, M.R.; Ijaz, M.U.; Ismail, H.; Bhatti, M.Z.; Shah, S.A.; Ali, S.; Tareen, M.U.; Alotaibi, S.S.; Albogami, S.M.; et al. Evaluation of Phytochemistry and Pharmacological Properties of Alnus nitida. Molecules 2022, 27, 4582. [Google Scholar] [CrossRef]
- Sukhikh, S.; Ivanova, S.; Skrypnik, L.; Bakhtiyarova, A.; Larina, V.; Krol, O.; Prosekov, A.; Frolov, A.; Povydysh, M.; Babich, O. Study of the Antioxidant Properties of Filipendula ulmaria and Alnus glutinosa. Plants 2022, 11, 2415. [Google Scholar] [CrossRef]
- Horton, T.R.; Hayward, J.; Tourtellot, S.G.; Taylor, D.L. Uncommon ectomycorrhizal networks: Richness and distribution of Alnus-associating ectomycorrhizal fungal communities. New Phytol. 2013, 198, 978–980. [Google Scholar] [CrossRef] [PubMed]
- Carro, L.; Pujic, P.; Alloisio, N.; Fournier, P.; Boubakri, H.; Hay, A.E.; Poly, F.; François, P.; Hocher, V.; Mergaert, P.; et al. Alnus peptides modify membrane porosity and induce the release of nitrogen-rich metabolites from nitrogen-fixing Frankia. ISME J. 2015, 9, 1723–1733. [Google Scholar] [CrossRef] [PubMed]
- Liu, S.; Yang, R.; Ren, B.; Wang, M.; Ma, M. Differences in photosynthetic capacity, chlorophyll fluorescence, and antioxidant system between invasive Alnus formosana and its native congener in response to different irradiance levels. Botany 2016, 94, 1087–1101. [Google Scholar] [CrossRef]
- Liu, S.; Luo, Y.; Yang, R.; He, C.; Cheng, Q.; Tao, J.; Ren, B.; Wang, M.; Ma, M. High resource-capture and -use efficiency, and effective antioxidant protection contribute to the invasiveness of Alnus formosana plants. Plant Physiol. Biochem. 2015, 96, 436–447. [Google Scholar] [CrossRef]
- Chen, Y.; Li, G.; Wang, H. Study on Phenotypic Variation in Natural Range of Longpeduncled alder (Alnus cremastogyne). For. Res. 1999, 12, 379–385. (In Chinese) [Google Scholar]
- Wang, J.; Gu, W.; Li, B.; Guo, W.; Xia, L. Study on Selection of Alnus cremastogyne Provenance/Family—Analysis of Growth Adaptation and Genetic Stability. For. Res. 2000, 36, 59–66. (In Chinese) [Google Scholar] [CrossRef]
- Chen, M.; Chen, J.; Wu, J.; Cheng, Y. Variation of Fruiting Quantity and Nut and Seed Characters of Alnus cremastogyne Clones. For. Res. 2008, 44, 157–163. (In Chinese) [Google Scholar] [CrossRef]
- Yuan, H.; Li, Z.; Fang, P.; Li, W.; Li, Y. Variation and Stability in Female Strobili Production of a First-Generation Clonal Seed Orchard of Chinese Pine (Pinus tabuliformis). Silvae Genet. 2014, 63, 41–47. [Google Scholar] [CrossRef][Green Version]
- Zhao, X.; Bian, X.; Li, Z.; Wang, X.; Yang, C.; Liu, G.; Jiang, J.; Yang, C. Genetic stability analysis of introduced Betula pendula, Betula kirghisorum, and Betula pubescens families in saline-alkali soil of northeastern China. Scand. J. For. Res. 2014, 29, 639–649. [Google Scholar] [CrossRef]
- Guerra, F.P.; Richards, J.H.; Fiehn, O.; Famula, R.; Stanton, B.J.; Shuren, R.; Sykes, R.; Davis, M.F.; Neale, D.B. Analysis of the genetic variation in growth, ecophysiology, and chemical and metabolic composition of wood of Populus trichocarpa provenances. Tree Genet. Genomes 2016, 12, 6. [Google Scholar] [CrossRef]
- Jasińska, A.K.; Boratyńska, K.; Dering, M.; Sobierajska, K.I.; Ok, T.; Romo, A.; Boratyński, A. Distance between south-european and south-west asiatic refugial areas involved morphological differentiation: Pinus sylvestris case study. Plant Syst. Evol. 2014, 300, 1487–1502. [Google Scholar] [CrossRef]
- Li, Y.; Liu, X.; Ma, J.; Zhang, X.; Xu, L. Phenotypic variation in Phoebe bournei populations preserved in the primary distribution area. J. For. Res. 2018, 29, 35–44. [Google Scholar] [CrossRef]
- Singh, O.; Thapliyal, M. Variation in cone and seed characters in blue pine (Pinus wallichiana) across natural distribution in western Himalayas. J. For. Res. 2012, 23, 235–239. [Google Scholar] [CrossRef]
- Feng, J.; Liu, Z.; Cai, Q.; Wang, Y.; Geng, X.; Xue, X.; Zhou, H.; Zhang, T.; Kong, D.; Li, M.; et al. Variation of fruits phenotypic traits of Idesia polycarpa under different populations and their coeerlation with environmental factors. Acta Ecol. Sin. 2023, 43, 1165–1174. (In Chinese) [Google Scholar] [CrossRef]
- Yarie, J.; van Cleve, K. Long-term monitoring of climatic and nutritional affects on tree growth in Interior Alaska. Can. J. For. Res. 2010, 40, 1325–1335. [Google Scholar] [CrossRef]
- Liu, Z.; Gao, C.; Li, J.; Miao, Y.; Cui, K. Phenotypic Diversity Analysis and Superior Family Selection of Industrial Raw Material Forest Species-Pinus yunnanensis Franch. Forests 2022, 13, 618. [Google Scholar] [CrossRef]
- Guo, H.; Wang, Z.; Huang, Z.; Chen, Z.; Yang, H.; Kang, X. Genetic Diversity and Population Structure of Alnus cremastogyne as Revealed by Microsatellite Markers. Forests 2019, 10, 278. [Google Scholar] [CrossRef]
- Xue, H.; Yu, X.; Fu, P.; Liu, B.; Zhang, S.; Li, J.; Zhai, W.; Lu, N.; Zhao, X.; Wang, J.; et al. Construction of the Core Collection of Catalpa fargesii f. duclouxii (Huangxinzimu) Based on Molecular Markers and Phenotypic Traits. Forests 2021, 12, 1518. [Google Scholar] [CrossRef]
- Ou, H.; Dong, L.; Li, J.; Lin, J.; Ling, R. Relationship between Phenotypic Diversity of Phoebe bournei Deed Traits and Environmental Geographical Factors. J. Northeast For. Univ. 2021, 49, 45–50. (In Chinese) [Google Scholar] [CrossRef]
- Ebrahimi, A.; Asadi, A.; Monfared, S.R.; Sahebi, M.; Rezaee, S.; Khaledian, Y. Evaluation of phenotypic diversity of the endangered orchid (Orchis mascula): Emphasizing on breeding, conservation and development. S. Afr. J. Bot. 2020, 132, 304–315. [Google Scholar] [CrossRef]
- Zhang, Q.; Yu, S.; Pei, X.; Wang, Q.; Lu, A.; Cao, Y.; Tigabu, M.; Feng, J.; Zhao, X. Within-and between-population variations in seed and seedling traits of Juglans mandshurica. J. For. Res. 2022, 33, 1175–1186. [Google Scholar] [CrossRef]
- Klisz, M.; Jastrzębowski, S.; Ukalski, K.; Ukalska, J.; Przybylski, P. Adaptation of Norway spruce populations in Europe: A case study from northern Poland. N. Z. For. Sci. 2017, 47, 2–9. [Google Scholar] [CrossRef]
- Aragão, F.A.S.; Nunes, G.H.S.; Queiróz, M.A. Genotypex environment interaction of melon families based on fruit quality traits. Crop. Breed. Appl. Biotechnol. 2015, 15, 79–86. [Google Scholar] [CrossRef]
- do Couto, D.P.; Oliveira, W.B.d.S.; de Oliveira, J.S.; Guilhen, J.H.S.; Bernardes, C.d.O.; Posse, S.C.P.; Ferreira, M.F.d.S.; Ferreira, A. Analysis of the Effect of the Interaction of Genotype and Environment on the Yield Stability of Maize Varieties; Genetic Resources for Breeding. Agronomy 2023, 13, 1970. [Google Scholar] [CrossRef]
- Zhu, J.; Zhang, L.; Shen, P.; Ren, B.; Liang, Y.; Chen, Z. Wind pollination characteristics of styles in Betulaceae. China Bull. Bot. 2014, 45, 524–538. (In Chinese) [Google Scholar] [CrossRef]
- Hernando, R.C.; Ken, O.; Mauricio, Q.; Fuchs, E.J.; Antonio, G.R. Contrasting patterns of population history and seed-mediated gene flow in two endemic costa rican oak species. J. Hered. 2018, 109, 530–542. [Google Scholar] [CrossRef]
- Tiwari, S.P.; Kumar, P.; Yadav, D.; Chauhan, D.K. Comparative morphological, epidermal, and anatomical studies of Pinus roxburghii needles at different altitudes in the North-West Indian Himalayas. Turk. J. Bot. 2013, 37, 65–73. [Google Scholar] [CrossRef]
- Liu, M.; Yin, S.; Si, D.; Shao, L.; Li, Y.; Zheng, M.; Wang, F.; Li, S.; Liu, G.; Zhao, X. Variation and genetic stability analyses of transgenic TaLEA poplar clones from four different sites in China. Euphytica 2015, 206, 331–342. [Google Scholar] [CrossRef]
- Xiao, Y.; Ma, W.; Yi, F.; Yang, G.; Wang, P.; Wang, J. Genetic Variation of Growth Traits and Genetic Diversity of Phenotypic Traits in Catalpa fargesii f. duclouxii Germplasm. Bull. Bot. Res. 2022, 35, 1000–1009. (In Chinese) [Google Scholar] [CrossRef]
- Wang, Y.; Li, Y. Genetic diversity analysis of phenotypic traits among 37 Xanthoceras sorbifolium elite germplasms. J. For. Res. 2022, 27, 140–147. [Google Scholar] [CrossRef]
- Liang, D.; Ding, C.; Zhao, G.; Leng, W.; Zhang, M.; Zhao, X.; Qu, G. Variation and selection analysis of Pinus koraiensis clones in northeast China. J. For. Res. 2018, 29, 611–622. [Google Scholar] [CrossRef]
- Bilir, N.; Prescher, F.; Lindgren, D.; Kroon, J. Variation in Cone and Seed Characters in Clonal Seed Orchards of Pinus Sylvestris. New For. 2008, 36, 187–199. [Google Scholar] [CrossRef]
- Zhao, X.; Xia, H.; Wang, X.; Wang, C.; Liang, D.; Li, K.; Liu, G. Variance and stability analyses of growth characters in half-sib Betula platyphylla families at three different sites in China. Euphytica 2016, 208, 173–186. [Google Scholar] [CrossRef]
- Pan, Y.; Li, S.; Wang, C.; Ma, W.; Xu, G.; Shao, L.; Li, K.; Zhao, X.; Jiang, T. Early evaluation of growth traits of Larix kaempferi clones. J. For. Res. 2018, 29, 1031–1039. [Google Scholar] [CrossRef]
- Sivacioglu, A. Genetic variation in seed and cone characteristics in a clonal seed orchard of scots pine (Pinus sylvestis L.) grown in Kastamonu-Turkey. Rom. Biotechnol. Lett. 2010, 15, 5695–5701. [Google Scholar]
- Kaviriri, D.K.; Li, Y.; Zhang, D.; Li, H.; Fan, Z.; Wang, J.; Wang, L.; Wang, Q.; Wang, D.; Chiang, V. Clonal variations in cone, seed and nut traits in a Pinus koraiensis seed orchard in Northeast China. J. For. Res. 2021, 32, 171–179. [Google Scholar] [CrossRef]
- Munthali, C.R.Y.; Chirwa, P.W.; Akinnifesi, F.K. Phenotypic variation in fruit and seed morphology of Adansonia digitata L. (baobab) in five selected wild populations in Malawi. Agric. Syst. 2012, 85, 279–290. [Google Scholar] [CrossRef]
- Kaushik, N.; Deswal, R.P.S.; Suman, M.; Krishan, K. Genetic variation and heritability estimation in Jatropha curcas L. progenies for seed yield and vegetative traits. J. Appl. Nat. Sci. 2015, 7, 567–573. [Google Scholar] [CrossRef]
- Sevik, H.; Topacoglu, O. Variation and inheritance pattern in cone and seed characteristics of Scots pine (Pinus sylvestris L.) for evaluation of genetic diversity. J. Environ. Biol. 2015, 36, 1125–1130. [Google Scholar]
- Himanen, K.; Helenius, P.; Ylioja, T.; Nygren, M. Intracone variation explains most of the variance in Picea abies seed weight: Implications for seed sorting. Can. J. For. Res. 2016, 46, 470–477. [Google Scholar] [CrossRef]
- Przybylski, P.; Jastrzȩbowski, S.; Ukalski, K.; Tyburski, L.; Konatowska, M. Quantitative and qualitative assessment of pine seedlings under controlled undergrowth disturbance: Fire and soil scarification. Front. For. Glob. Chang. 2022, 5, 225. [Google Scholar] [CrossRef]
- Mughal, A.H.; Thapliyal, R.C. Provenance variation in cone and seed characteristics of Cedrus deodara (D. DON) G. DON in Jammu and Kashmir. For. Stud. China 2012, 14, 193–199. [Google Scholar] [CrossRef]
- Li, Y.; Rao, L.; Guo, H.; Duan, H. Compartive Analysis of Grain Weight and Germination Rate of 16 Diferent Provenances and Family Seeds on Alnus. China Agric. Sci. Bull. 2014, 30, 77–84. (In Chinese) [Google Scholar] [CrossRef]
- Moreno-Fernández, D.; Cañellas, I.; Barbeito, I.; Sánchez-González, M.; Ledo, A. Alternative approaches to assessing the natural regeneration of Scots pine in a Mediterranean forest. Ann. For. Sci. 2015, 72, 569–583. [Google Scholar] [CrossRef]
- López De Heredia, U.; Valbuena-Carabaña, M.; Córdoba, M.; Gil, L. Variation components in leaf morphology of recruits of two hybridising oaks [Q. petraea (Matt.) Liebl. and Q. pyrenaica Willd.] at small spatial scale. Eur. J. For. Res. 2009, 128, 543–554. [Google Scholar] [CrossRef]
- Singh, N.B.; Sharma, J.P.; Huse, S.K.; Thakur, I.K.; Gupta, R.K.; Sankhyan, H.P. Heritability, genetic gain, correlation and principal component analysis in introduced willow (Salix species) clones. Indian For. 2012, 138, 1100–1109. [Google Scholar]
- Safavi, S.A.; Pourdad, S.A.; Mohmmad, T. Mahmoud K Assessment of genetic variation among safflower (Carthamus tinctorius L.) accessions using agro-morphological traits and molecular markers. J. Food Agric. Environ. 2010, 8, 616–625. [Google Scholar]
- Kombi Kaviriri, D.; Liu, H.; Zhao, X. Estimation of Genetic Parameters and Wood Yield Selection Index in a Clonal Trial of Korean Pine (Pinus koraiensis) in Northeastern China. Sustainability 2021, 13, 4167. [Google Scholar] [CrossRef]
- Lan, X.; Yang, H.; Li, H.; Ling, Z.; Ma, X.; Liu, L.; Chen, H. Genetic diversity analysis of main agronomic characters of 16 Arenga pinnata germplasm resources. Southwest China J. Agric. Sci. 2022, 35, 1000–1009. (In Chinese) [Google Scholar] [CrossRef]
- Du, Q.; Xu, B.; Gong, C.; Yang, X.; Pan, W.; Tian, J.; Li, B.; Zhang, D. Variation in growth, leaf, and wood property traits of Chinese white poplar (Populus tomentosa), a major industrial tree species in Northern China. Can. J. For. Res. 2014, 44, 326–339. [Google Scholar] [CrossRef]
- Jiang, J.; Sun, H.; Liu, Z. Multitraits Selection of Loblolly Pine Families for Pulpwood. J. For. Res. 1996, 5, 455–460. [Google Scholar]
- Yang, L.; Gao, C.; Wei, H.L.; Long, L.; Qiu, J. Evaluation of the economic characteristics of the fruit of 45 superior Camellia weiningensis YK Li. trees. PLoS ONE 2022, 17, e0268802. [Google Scholar] [CrossRef]
- Liang, D.; Wang, B.; Song, S.; Wang, J.; Wang, L.; Wang, Q.; Ren, X.; Zhao, X. Analysis of genetic effects on a complete diallel cross test of Pinus koraiensis. Euphytica 2019, 215, 92. [Google Scholar] [CrossRef]
- Pan, Y.; Pei, X.; Wang, F.; Wang, C.; Shao, L.; Dong, L.; Zhao, X.; Qu, G. Forward, backward selection and variation analysis of growth traits in half-sib Larix kaempferi families. Silvae Genet. 2019, 68, 1–8. [Google Scholar] [CrossRef]
- Zhou, X.; Gao, H.; Li, Z.; Zhao, Y.; Ge, L.; Hou, Q.; Ding, W.; Zhao, X. Evaluating Parents of Pinus koraiensis Seeds Orchard with Growth and Fruiting. Bull. Bot. Res. 2020, 40, 376–385. (In Chinese) [Google Scholar] [CrossRef]
- Sun, H.; Zhang, Y.; Fu, S.; Shao, X.; Xu, G.; Cai, K. A Study on Improvement Effects of Seed Quality for Different Generations and Categoris of Seed Orchards of Chinese Fir. J. Nanjing For. Univ. 2003, 27, 40–44. (In Chinese) [Google Scholar] [CrossRef]
- Chen, J.; Peng, J.; Xiao, X.; Yang, Y.; Yang, B.; Xu, Z.; Qi, Z. Early selection study of half sib families of Toona ciliata var. ciliata & Toona ciliata var. pubescens. J. Cent. South Univ. For. Technol. 2020, 40, 17–24. (In Chinese) [Google Scholar] [CrossRef]
- Li, Z.; Pei, X.; Yin, S.; Lang, X.; Zhao, X.; Qu, G. Plant hormone treatments to alleviate the effects of salt stress on germination of Betula platyphylla seeds. J. For. Res. 2019, 30, 779–787. [Google Scholar] [CrossRef]
- Jiang, L.; Pei, X.; Hu, Y.; Chiang, V.; Zhao, X. Effects of environment and genotype on growth traits in poplar clones in Northeast China. Euphytica 2021, 217, 169. [Google Scholar] [CrossRef]
- Gandour, M.; Khouja, M.L.; Toumi, L.; Triki, S. Morphological evaluation of cork oak (Quercus suber): Mediterranean provenance variability in Tunisia. Ann. For. Sci. 2007, 64, 549–555. [Google Scholar] [CrossRef]
- Zheng, H.; Hu, D.; Wang, R.; Wei, R.; Yan, S. Assessing 62 Chinese Fir (Cunninghamia lanceolata) Breeding Parents in a 12-Year Grafted Clone Test. Forests 2015, 6, 3799–3808. [Google Scholar] [CrossRef]
- Zhang, H.; Zhang, Y.; Zhang, D.; Dong, L.; Liu, K.; Wang, Y.; Yang, C.; Chiang, V.; Tigabu, M.; Zhao, X. Progeny performance and selection of superior trees within families in Larix olgensis. Euphytica 2020, 216, 60. [Google Scholar] [CrossRef]
- Wang, F.; Zhang, Q.; Tian, Y.; Yang, S.; Wang, H.; Wang, L.; Li, Y.; Zhang, P.; Zhao, X. Comprehensive assessment of growth traits and wood properties in half-sib Pinus koraiensis families. Euphytica 2018, 214, 202–217. [Google Scholar] [CrossRef]









| Traits | MS (df) | F Value | |||
|---|---|---|---|---|---|
| Among Provenances | Within Provenances | Error | Among Provenances | Within Provenances | |
| DBH | 52.289 (3) | 1.722 (36) | 0.98 (80) | 53.48 ** | 1.76 * |
| H | 20.259 (3) | 1.462 (36) | 0.58 (80) | 34.62 ** | 2.50 ** |
| V | 0.002 (3) | 0.000 (36) | 0.000 (80) | 36.14 ** | 1.55 |
| HUB | 0.696 (3) | 0.101 (36) | 0.042 (80) | 16.54 ** | 2.40 ** |
| FWSC | 6.706 (3) | 1.219 (36) | 0.507 (80) | 13.24 ** | 2.41 ** |
| DWSC | 2.676 (3) | 0.405 (36) | 0.132 (80) | 20.24 ** | 3.07 ** |
| SWPP | 0.736 (3) | 0.058 (36) | 0.028 (80) | 26.24 ** | 2.07 ** |
| TKW | 0.173 (3) | 0.020 (36) | 0.009 (80) | 18.33 ** | 2.09 ** |
| CL | 42.483 (3) | 9.651 (36) | 4.285 (80) | 9.91 ** | 2.25 ** |
| CW | 25.302 (3) | 3.420 (36) | 0.775 (80) | 32.66 ** | 4.42 ** |
| CL × CW | 26,131.131 (3) | 4518.274 (36) | 1335.769 (80) | 19.56 ** | 3.38 ** |
| FSI | 0.169 (3) | 0.047 (36) | 0.020 (80) | 8.30 ** | 2.30 ** |
| SR | 1608.128 (3) | 175.433 (36) | 104.043 (80) | 15.46 ** | 1.69 * |
| GR | 849.025 (3) | 308.387 (36) | 95.200 (80) | 8.92 ** | 3.24 ** |
| GP | 696.195 (3) | 268.846 (36) | 96.262 (80) | 7.23 ** | 2.79 ** |
| GI | 5.382 (3) | 1.752 (36) | 0.567 (80) | 9.54 ** | 3.10 ** |
| Traits | Unit | Mean | Min | Max | Range | SD |
|---|---|---|---|---|---|---|
| DBH | cm | 8.50 | 5.10 | 12.80 | 7.70 | 1.56 |
| H | m | 7.57 | 5.14 | 10.24 | 5.10 | 1.12 |
| V | m3 | 0.02 | 0.01 | 0.06 | 0.05 | 0.01 |
| HUB | m | 1.23 | 0.53 | 1.95 | 1.42 | 0.28 |
| FWSC | kg | 1.05 | 0.19 | 3.86 | 3.67 | 0.94 |
| DWSC | kg | 0.58 | 0.11 | 2.84 | 2.74 | 0.53 |
| SWPP | kg | 0.24 | 0.06 | 0.96 | 0.91 | 0.23 |
| TKW | g | 0.51 | 0.11 | 0.85 | 0.74 | 0.13 |
| CL | cm | 19.25 | 14.56 | 27.84 | 13.28 | 2.62 |
| CW | cm | 10.17 | 6.89 | 15.23 | 8.34 | 1.48 |
| CL×CW | cm | 198.74 | 104.18 | 392.63 | 288.45 | 54.07 |
| FSI | — | 1.90 | 1.51 | 2.63 | 1.12 | 0.18 |
| SR | % | 40.59 | 14.08 | 72.65 | 58.57 | 12.72 |
| GR | % | 53.87 | 17.50 | 90.50 | 73.00 | 13.73 |
| GP | % | 46.64 | 12.60 | 85.50 | 72.90 | 13.38 |
| GI | — | 3.50 | 1.16 | 6.28 | 5.12 | 1.04 |
| Traits | Component | ||
|---|---|---|---|
| PCA1 (Y1) | PCA2 (Y2) | PCA3 (Y3) | |
| DBH | 0.86 | −0.080 | −0.42 |
| H | 0.68 | −0.28 | −0.52 |
| V | 0.86 | −0.15 | −0.42 |
| HUB | −0.67 | −0.09 | −0.04 |
| FWSC | 0.85 | −0.12 | 0.29 |
| DWSC | 0.85 | −0.11 | 0.37 |
| SWPP | 0.89 | −0.03 | 0.25 |
| TSW | 0.77 | 0.36 | 0.01 |
| CL | 0.75 | −0.27 | 0.40 |
| CW | 0.87 | −0.22 | 0.07 |
| CL × CW | 0.86 | −0.26 | 0.27 |
| FSI | −0.44 | 0.01 | 0.50 |
| SR | 0.53 | 0.36 | −0.27 |
| GR | 0.26 | 0.95 | 0.02 |
| GP | 0.24 | 0.94 | 0.08 |
| GI | 0.24 | 0.94 | 0.03 |
| Eigenvalues | 7.95 | 3.26 | 1.46 |
| Contribution% | 49.69 | 20.36 | 9.13 |
| Cumulative% | 49.69 | 70.05 | 79.18 |
| Traits | Groups | |||
|---|---|---|---|---|
| Ⅰ | II | III | IV | |
| DBH (cm) | 10.48 | 8.94 | 7.89 | 5.75 |
| H (m) | 8.17 | 7.85 | 7.14 | 6.21 |
| V (m³) | 0.04 | 0.03 | 0.02 | 0.01 |
| HUB (m) | 0.95 | 1.16 | 1.33 | 1.58 |
| FWSC (kg) | 3.31 | 1.12 | 0.68 | 0.38 |
| DWSC (kg) | 2.09 | 0.59 | 0.37 | 0.27 |
| SWPP (kg) | 0.84 | 0.26 | 0.13 | 0.08 |
| TSW (g) | 0.69 | 0.54 | 0.46 | 0.44 |
| CL (cm) | 24.03 | 20.00 | 17.76 | 15.60 |
| CW (cm) | 13.91 | 10.51 | 9.40 | 7.45 |
| CL × CW (cm) | 335.28 | 211.64 | 167.59 | 116.37 |
| FSI | 1.73 | 1.91 | 2.10 | 1.89 |
| SR (%) | 43.36 | 44.48 | 34.20 | 31.37 |
| GR (%) | 49.43 | 57.93 | 46.60 | 58.85 |
| GP (%) | 42.88 | 50.63 | 40.13 | 50.17 |
| GI | 3.17 | 3.82 | 3.03 | 3.62 |
| Clone | Qi | Clone | Qi | Clone | Qi | Clone | Qi |
|---|---|---|---|---|---|---|---|
| PC5 | 3.289 | JT9 | 2.958 | EY9 | 2.818 | JT1 | 2.596 |
| PC2 | 3.153 | EY6 | 2.955 | EY7 | 2.810 | XH1 | 2.567 |
| PC3 | 3.111 | JT3 | 2.894 | EY4 | 2.799 | XH9 | 2.515 |
| PC10 | 3.094 | EY8 | 2.856 | JT6 | 2.766 | XH3 | 2.489 |
| PC1 | 3.094 | PC7 | 2.853 | JT4 | 2.752 | XH5 | 2.426 |
| PC9 | 3.085 | JT8 | 2.846 | JT7 | 2.715 | XH4 | 2.426 |
| PC6 | 3.054 | EY10 | 2.840 | JT5 | 2.702 | XH6 | 2.421 |
| PC4 | 3.004 | PC8 | 2.824 | EY3 | 2.676 | XH8 | 2.123 |
| JT10 | 2.979 | EY2 | 2.820 | EY5 | 2.625 | XH10 | 1.965 |
| JT2 | 2.971 | EY1 | 2.818 | XH2 | 2.601 | XH7 | 1.790 |
| Clone | Genetic Gain (%) | |||||||||
|---|---|---|---|---|---|---|---|---|---|---|
| DBH | V | FWSC | DWSC | SWPP | TKW | CW | GR | GP | GI | |
| PC5 | 10.24 | 16.27 | 25.52 | 51.19 | 17.38 | 5.44 | 3.35 | 27.41 | 26.96 | 23.16 |
| PC2 | 13.50 | 24.74 | 28.42 | 63.02 | 36.65 | 1.19 | 6.30 | 8.46 | 11.86 | 8.52 |
| PC3 | 6.16 | 10.93 | 20.51 | 30.62 | 19.11 | 4.06 | 8.17 | 5.00 | 6.40 | 7.19 |
| PC10 | 2.85 | 8.86 | 22.35 | 10.91 | 17.25 | 17.90 | 4.47 | 6.60 | 9.91 | 14.15 |
| PC1 | 4.39 | 7.05 | 16.48 | 5.13 | 6.83 | 7.63 | 7.89 | 3.29 | 23.63 | 10.91 |
| PC9 | 2.22 | 3.67 | 12.55 | 1.05 | 8.32 | 9.66 | 5.99 | 8.00 | 3.92 | 5.20 |
| PC6 | 3.00 | 5.63 | 8.45 | 20.80 | 23.44 | 5.68 | 0.77 | 5.93 | 20.02 | 3.83 |
| PC4 | 1.00 | 3.22 | 33.77 | 44.78 | 42.00 | 4.46 | 2.25 | 13.28 | 16.29 | 23.41 |
| JT10 | 0.51 | 2.69 | 8.77 | 31.73 | 40.19 | 16.36 | 3.28 | 10.26 | 13.90 | 16.43 |
| JT2 | 8.27 | 15.69 | 27.54 | 37.55 | 32.40 | 7.53 | 2.48 | 15.71 | 14.45 | 19.72 |
| JT9 | 1.34 | 2.23 | 18.88 | 41.00 | 32.66 | 4.39 | 7.27 | 15.19 | 16.47 | 17.02 |
| EY6 | 7.96 | 17.24 | 39.17 | 42.11 | 35.96 | 10.90 | 11.86 | 3.08 | 3.37 | 4.02 |
| mean | 4.86 | 9.18 | 20.29 | 30.71 | 25.11 | 7.66 | 4.75 | 10.83 | 14.89 | 13.59 |
| Provenances | Clone Number | Longitude | Latitude | Average Altitude (m) | Average Annual Temperature (°C) | Average Annual Rainfall (mm) |
|---|---|---|---|---|---|---|
| PC | PC1–PC17 | 107°03′ E | 31°56′ N | 488 | 16.8 | 1213 |
| EY | EY1–EY6 | 106°49′ E | 31°94′ N | 580 | 17.8 | 1050 |
| JT | JT1–JT7 | 104°48′ E | 30°95′ N | 456 | 16.9 | 920 |
| XH | XH1–XH10 | 108°27′ E | 31°68′ N | 625 | 16.8 | 1230 |
Disclaimer/Publisher’s Note: The statements, opinions and data contained in all publications are solely those of the individual author(s) and contributor(s) and not of MDPI and/or the editor(s). MDPI and/or the editor(s) disclaim responsibility for any injury to people or property resulting from any ideas, methods, instructions or products referred to in the content. |
© 2023 by the authors. Licensee MDPI, Basel, Switzerland. This article is an open access article distributed under the terms and conditions of the Creative Commons Attribution (CC BY) license (https://creativecommons.org/licenses/by/4.0/).
Share and Cite
Zheng, Y.; Feng, M.; Li, X.; Huang, X.; Chen, G.; Bai, W.; Xu, X.; Li, J.; Li, X.; Leng, B.; et al. Phenotypic Variation Analysis and Excellent Clone Selection of Alnus cremastogyne from Different Provenances. Plants 2023, 12, 3259. https://doi.org/10.3390/plants12183259
Zheng Y, Feng M, Li X, Huang X, Chen G, Bai W, Xu X, Li J, Li X, Leng B, et al. Phenotypic Variation Analysis and Excellent Clone Selection of Alnus cremastogyne from Different Provenances. Plants. 2023; 12(18):3259. https://doi.org/10.3390/plants12183259
Chicago/Turabian StyleZheng, Yue, Maosong Feng, Xue Li, Xingyan Huang, Gang Chen, Wenyu Bai, Xueju Xu, Jiayi Li, Xiaohong Li, Bin Leng, and et al. 2023. "Phenotypic Variation Analysis and Excellent Clone Selection of Alnus cremastogyne from Different Provenances" Plants 12, no. 18: 3259. https://doi.org/10.3390/plants12183259
APA StyleZheng, Y., Feng, M., Li, X., Huang, X., Chen, G., Bai, W., Xu, X., Li, J., Li, X., Leng, B., Sun, H., He, C., & Chen, Y. (2023). Phenotypic Variation Analysis and Excellent Clone Selection of Alnus cremastogyne from Different Provenances. Plants, 12(18), 3259. https://doi.org/10.3390/plants12183259

