Next Article in Journal
A Comprehensive Review Uncovering the Challenges and Advancements in the In Vitro Propagation of Eucalyptus Plantations
Previous Article in Journal
Heavy Metal-Associated Isoprenylated Plant Proteins (HIPPs) at Plasmodesmata: Exploring the Link between Localization and Function
 
 
Font Type:
Arial Georgia Verdana
Font Size:
Aa Aa Aa
Line Spacing:
Column Width:
Background:
Article

Response of Aboveground Net Primary Production, Species and Phylogenetic Diversity to Warming and Increased Precipitation in an Alpine Meadow

1
Lhasa Plateau Ecosystem Research Station, Key Laboratory of Ecosystem Network Observation and Modeling, Institute of Geographic Sciences and Natural Resources Research, Chinese Academy of Sciences, Beijing 100101, China
2
University of Chinese Academy of Sciences, Beijing 100049, China
*
Author to whom correspondence should be addressed.
These authors contributed equally to this work.
Plants 2023, 12(17), 3017; https://doi.org/10.3390/plants12173017
Submission received: 22 July 2023 / Revised: 10 August 2023 / Accepted: 18 August 2023 / Published: 22 August 2023
(This article belongs to the Section Plant Response to Abiotic Stress and Climate Change)

Abstract

The uncertain responses of aboveground net primary productivity (ANPP) and plant diversity to climate warming and increased precipitation will limit our ability to predict changes in vegetation productivity and plant diversity under future climate change and further constrain our ability to protect biodiversity and ecosystems. A long-term experiment was conducted to explore the responses of ANPP, plant species, phylogenetic α–diversity, and community composition to warming and increased precipitation in an alpine meadow of the Northern Tibet from 2014 to 2019. Coverage, height, and species name were obtained by conventional community investigation methods, and ANPP was obtained using observed height and coverage. Open–top chambers with two different heights were used to simulate low- and high-level climate warming. The low- and high-level increased precipitation treatments were achieved by using two kinds of surface area funnel devices. The high-level warming reduced sedge ANPP (ANPPsedge) by 62.81%, species richness (SR) by 21.05%, Shannon by 13.06%, and phylogenetic diversity (PD) by 14.48%, but increased forb ANPP (ANPPforb) by 56.65% and mean nearest taxon distance (MNTD) by 33.88%. Species richness, Shannon, and PD of the high-level warming were 19.64%, 9.67%, and 14.66% lower than those of the low-level warming, respectively. The high-level warming-induced dissimilarity magnitudes of species and phylogenetic composition were greater than those caused by low-level warming. The low- rather than high-level increased precipitation altered species and phylogenetic composition. There were significant inter-annual variations of ANPP, plant species, phylogenetic α–diversity and community composition. Therefore, climate warming and increased precipitation had non-linear effects on ANPP and plant diversity, which were due to non-linear changes in temperature, water availability, and/or soil nutrition caused by warming and increased precipitation. The inter-annual variations of ANPP and plant diversity were stronger than the effects of warming and especially increased precipitation on ANPP and plant diversity. In terms of plant diversity conservation and related policy formulation, we should pay more attention to regions with greater warming, at least for the northern Tibet grasslands. Besides paying attention to the responses of ANPP and plant diversity to climate change, the large inter-annual changes of ANPP and plant diversity should be given great attention because the large inter-annual variation indicates the low temporal stability of ANPP and plant diversity and thus produces great uncertainty for the development of animal husbandry.

1. Introduction

Aboveground net primary productivity (ANPP) of plants is an important material basis for human survival, and biodiversity is an important guarantee to maintain a high and stable yield of ANPP [1,2,3]. Temperature and precipitation jointly regulate ANPP and plant diversity [4,5]. In the context of global warming and increased precipitation, a growing number of studies have explored the effects of climate warming [6,7], increased precipitation [8,9], or climate warming plus increased precipitation [10] on ANPP and plant diversity. However, two non-completely mutually nonexclusive debates remain. First, does experimental warming or increased precipitation have consistent effects on ANPP and plant diversity? Experimental warming and/or increased precipitation have negligible [10,11], positive [12,13], or negative effects on ANPP and/or plant diversity [14,15]. These diverse effects of warming and increased precipitation on ANPP and plant diversity are related to their distinct vegetation types, soil nutrition conditions, climatic conditions, and the magnitudes of warming or increased precipitation [5,13,16,17,18,19,20,21]. Second, do ANPP and plant diversity respond nonlinearly to experimental warming and/or increased precipitation? ANPP and plant diversity show linear relationships with air temperature and precipitation [12,22,23], indicating ANPP and plant diversity may respond linearly to experiment warming and increased precipitation. In contrast, the magnitude of warming and increased precipitation can not be significantly correlated with the response of ANPP and/or plant diversity to experimental warming and increased precipitation, respectively [24,25], implying that experimental warming and increased precipitation may have nonlinear effects on ANPP and plant diversity. Therefore, it is necessary to further explore the effects of climate warming and increased precipitation on ANPP and plant diversity.
As a sensitive region to climate change, the responses of ANPP and plant diversity to climate change on the Tibetan Plateau are important indicators of the global responses of ANPP and plant diversity to climate change [26,27,28]. Under the background of the Qinghai–Tibet Plateau as a whole tending to be warmer and wetter [1,29,30], a great deal of studies have investigated the effects of climate warming and increased precipitation on ANPP and plant diversity [4,5], which can provide important basic data and scientific theories for the conservation of global plant diversity, the high-quality development of animal husbandry, etc. However, besides the above debates, two other problems remain unresolved. First, several studies have shown a single-level experimental warming [15,31,32] or a multi-level experimental warming effect on ANPP and plant diversity [24,25]. No studies have reported whether there is an optimum warming magnitude for ANPP and plant diversity. Second, compared with α–diversity of plant species, there are few studies on the responses of plant phylogenetic α–diversity to climate change, and plant species and phylogenetic α–diversity have significant differences in reflecting plant α–diversity [1,33,34]. At the same time, compared with plant α–diversity, few studies have examined the responses of plant community composition to climate change, and changes in plant community composition can reflect plant β–diversity, which is essentially different from plant α–diversity [15,19]. Thus, it is not yet clear how ANPP and plant diversity will respond to future climatic change in alpine grasslands on the Qinghai–Tibetan Plateau.
Here, we reported a multi-level warming and increased precipitation experiment in an alpine meadow. The main objectives of this study were to examine (1) whether there was an optimum warming magnitude for the responses of ANPP and plant diversity to warming and whether the low- and high-level warming had different influences on ANPP and plant diversity; (2) whether the responses of ANPP and plant diversity to increased precipitation were related to the magnitude of increased precipitation; and (3) whether the inter-annual variations of ANPP and plant diversity were stronger than the effects of warming and increased precipitation on ANPP and plant diversity in the alpine meadow of Northern Tibet.

2. Results

2.1. Effects of Experimental Warming and Increased Precipitation on ANPPcommunity, ANPPsedge, ANPPgraminoid, ANPPforb, Species and Phylogenetic Diversity, and Enviromental Variables

There were significant main effects of experimental warming on ANPPsedge, ANPPforb, species richness, Shannon, PD, MNTD, species composition, and phylogenetic composition; significant or marginally significant main effects of increased precipitation on ANPPcommunity, species composition, and phylogenetic composition; and significant interactive effects of experimental warming and increased precipitation on species composition and phylogenetic composition, respectively (Table 1 and Table 2). There were significant inter-annual variations of ANPPcommunity, ANPPsedge, ANPPgraminoid, ANPPforb, species richness, Shannon, Simpson, Pielou, PD, MNTD, species composition, and phylogenetic composition (Table 1 and Table 2).
The differences in species richness, Shannon, Simpson, Pielou, PD, MNTD, ANPPcommunity, ANPPsedge, ANPPgraminoid, and ANPPforb among the nine treatments varied with years (Figures S1–S3). The low- and high-level experimental warming-induced and the low- and high-level increased precipitation-induced dissimilarity of species composition and phylogenetic composition varied with years (Figures S4 and S5).
The high-level experimental warming reduced ANPPsedge by 62.81% (−2.64 g m−2), species richness by 21.05% (−1.56), Shannon by 13.06% (−0.22), PD by 14.48% (−115.29), but increased ANPPforb by 56.65% (5.41 g m−2) and MNTD by 33.88% (40.93) across the six growing seasons regardless of increased precipitation. Species richness, Shannon, and PD of the high-level experimental warming was 19.64% (−1.43), 9.67% (−0.15), and 14.66% (−117.02) lower than those of the low-level experimental warming across the six growing seasons regardless of increased precipitation, respectively. The low-level (species composition: F = 2.90, p = 0.013; phylogenetic composition: F = 4.16, p = 0.041) and high-level (species composition: F = 9.00, p = 0.001; phylogenetic composition: F = 16.16, p = 0.001) experimental warming altered species composition and phylogenetic composition across the six growing seasons regardless of increased precipitation. The high-level experimental warming-induced dissimilarity magnitude of species composition and phylogenetic composition was greater than that caused by low-level experimental warming across the six growing seasons regardless of increased precipitation, respectively (species composition: F = 11.10, p = 0.002; phylogenetic composition: F = 12.13, p = 0.001).
The low-level (species composition: F = 3.61, p = 0.006; phylogenetic composition: F = 14.49, p = 0.001) rather than the high-level (species composition: F = 0.80, p = 0.573; phylogenetic composition: F = 0.97, p = 0.433) increased precipitation altered species composition and phylogenetic composition across the six growing seasons, regardless of experimental warming. However, there were few differences between the low- and high-level increased precipitation-induced dissimilarity magnitudes of species composition (F = 1.50, p = 0.226) and phylogenetic composition (F = 3.15, p = 0.082) across the six growing seasons, regardless of experimental warming.
Significant or marginally significant main effects of experimental warming on SM, VPD, GSP/AccT, and Ts were observed (Table S1, Figure S6). Significant main effects of increased precipitation on Ts, SM, Ta, VPD, AccT, GSP/AccT, NH4+–N, and AP were detected (Table S1, Figure S6). There were significant or marginally significant interactive effects of experimental warming and increased precipitation on Ts, SM, Ta, VPD, AccT, GSP/AccT, and AP (Table S1, Figure S6). Inter-annual variations of Ts, SM, Ta, VPD, AccT, GSP/AccT, NH4+–N, NO3–N, AP, and pH were observed (Table S1, Figure S6).
The change magnitude of SM caused by experimental warming (ΔW_SM) was negatively correlated with that of TsW_Ts) and TaW_Ta), while that of VPD (ΔW_VPD) was positively correlated with ΔW_Ts and ΔW_Ta (Figure S7). The magnitude of the change in GSP/AccT caused by experimental warming (ΔW_GSP/AccT) decreased with increasing ΔW_Ta (Figure S7). Regardless of increased precipitation, the low- and high-level experimental warming increased Ts by 1.13 °C and 2.59 °C, Ta by 2.39 °C and 3.86 °C, AccT by 296.26 °C and 476.16 °C, and VPD by 0.20 kPa and 0.35 kPa, but decreased SM by 0.02 m3 m−3 and 0.05 m3 m−3, and GSP/AccT by 0.06 °C mm−1 and 0.09 °C mm−1 across the six growing seasons, respectively. The Ts, Ta, AccT, and VPD of the high-level experimental warming were greater than those of the low-level experimental warming, whereas the SM and GSP/AccT of the high-level experimental warming were lower than those of the low-level experimental warming, respectively. Increased precipitation-induced change magnitudes of TsIP_Ts) and VPD (ΔIP_VPD) decreased with increasing that of growing season precipitation (ΔIP_GSP), but that of SM (ΔIP_SM) and GSP/AccT (ΔIP_GSP/AccT) increased with increasing ΔIP_GSP (Figure 1). Regardless of experimental warming, the low- and high-level increased precipitation increased SM by 0.02 m3 m−3 and 0.04 m3 m−3, and GSP/AccT by 0.03 °C mm−1 and 0.10 °C mm−1, but decreased Ts by 0.28 °C and 0.36 °C, and VPD by 0.05 kPa and 0.10 kPa across the six growing seasons, respectively. The SM and GSP/AccT of the high-level increased precipitation were greater than those of the low-level increased precipitation, respectively.
The comparison of soil NH4+–N, NO3–N, AP, and pH among the nine treatments were illustrated in Figure S8. The change magnitude of NO3–N caused by increased precipitation (ΔIP_NO3–N) increased with increasing ΔIP_GSP (Figure 1). Regardless of increased precipitation, the low- and high-level experimental warming increased soil NH4+–N by 30.93% (3.02 mg kg−1) and 32.74% (3.20 mg kg−1), and soil AP by 28.60% (2.49 mg kg−1) and 28.81% (2.51 mg kg−1) across the four growing seasons, respectively. The high-level experimental warming increased soil NO3–N by 74.47% (9.51 mg kg−1), and the soil NO3–N of the high-level experimental warming was 43.92% greater than that of the low-level experimental warming across the four growing seasons.

2.2. Relationships between Experimental Warming–Induced Change Magnitude and Response Ratio of Biotic Variables, βBrayW and βMNTDW, and Experimental Warming–Induced Change Magnitude of Abiotic Variables and Warming Duration

The effects of warming on species richness, PD, ANPPcommunity, and ANPPgraminoid decreased with warming magnitude (Figure 2 and Figure S9–S11). The effects of warming on Pielou, MNTD, and ANPPforb increased with ΔW_Ta (Figure 2 and Figure S9). The effects of warming on Pielou and ANPPforb showed quadratic relationships with ΔW_Ts (Figures S10 and S11). The response ratio of ANPPsedge to experimental warming (RW_ANPPsedge) and the change magnitude of ANPPsedge caused by experimental warming (ΔW_ANPPsedge) both showed quadratic relationships with ΔW_Ta, and RW_ANPPsedge and ΔW_ANPPsedge reached their minimum values when ΔW_Ta was about 2.82 °C and 3.57 °C, respectively (Figure 2 and Figure S9). The higher was ΔW_Ta, the greater were the warming-induced differences in species composition (βBrayW) and phylogenetic composition (βMNTDW) (Figure 2). The βBrayW showed a quadratic relationship with ΔW_Ts, and the βBrayW reached its maximum value when ΔW_Ts was about 2.08 °C (Figure S10).
The greater the experimental warming-induced soil and/or air drying, the greater the experimental warming-induced reductions in species and phylogenetic α–diversity, ANPPcommunity, ANPPsedge, and ANPPgraminoid (Figures S12 and S13). The effect of warming on ANPPforb showed opposite relationships with experimental warming-induced soil and air drying (Figures S12 and S13). The reduction in GSP/AccT caused by experimental warming can cause species loss, ANPPgraminoid reduction, and ANPPforb increase (Figures S12 and S13). The greater the experimental warming-induced reduction in GSP/AccT, the greater the warming-induced differences in species composition (βBrayW) and phylogenetic composition (βMNTDW) (Figure S12).
The effects of experimental warming on species richness Shannon, Simpson, and PD showed quadratic relationships with the magnitude of the change in soil pH caused by experimental warming (ΔW_pH), and βMNTDW decreased with ΔW_pH (Figures S14 and S15). The effects of experimental warming on species α–diversity, ANPPcommunity, PD, ANPPsedge, and ANPPgraminoid decreased with increasing ΔW_NO3–N (the change magnitude of NO3–N caused by experimental warming), but the effect of experimental warming on MNTD increased with increasing ΔW_NO3–N (Figures S14 and S15). Both βBrayW and βMNTDW increased with increasing ΔW_NO3–N (Figure S14). The effect of experimental warming on ANPPforb showed quadratic relationships with the change magnitude of NH4+–N caused by experimental warming (ΔW_NH4+–N) (Figures S14 and S15).
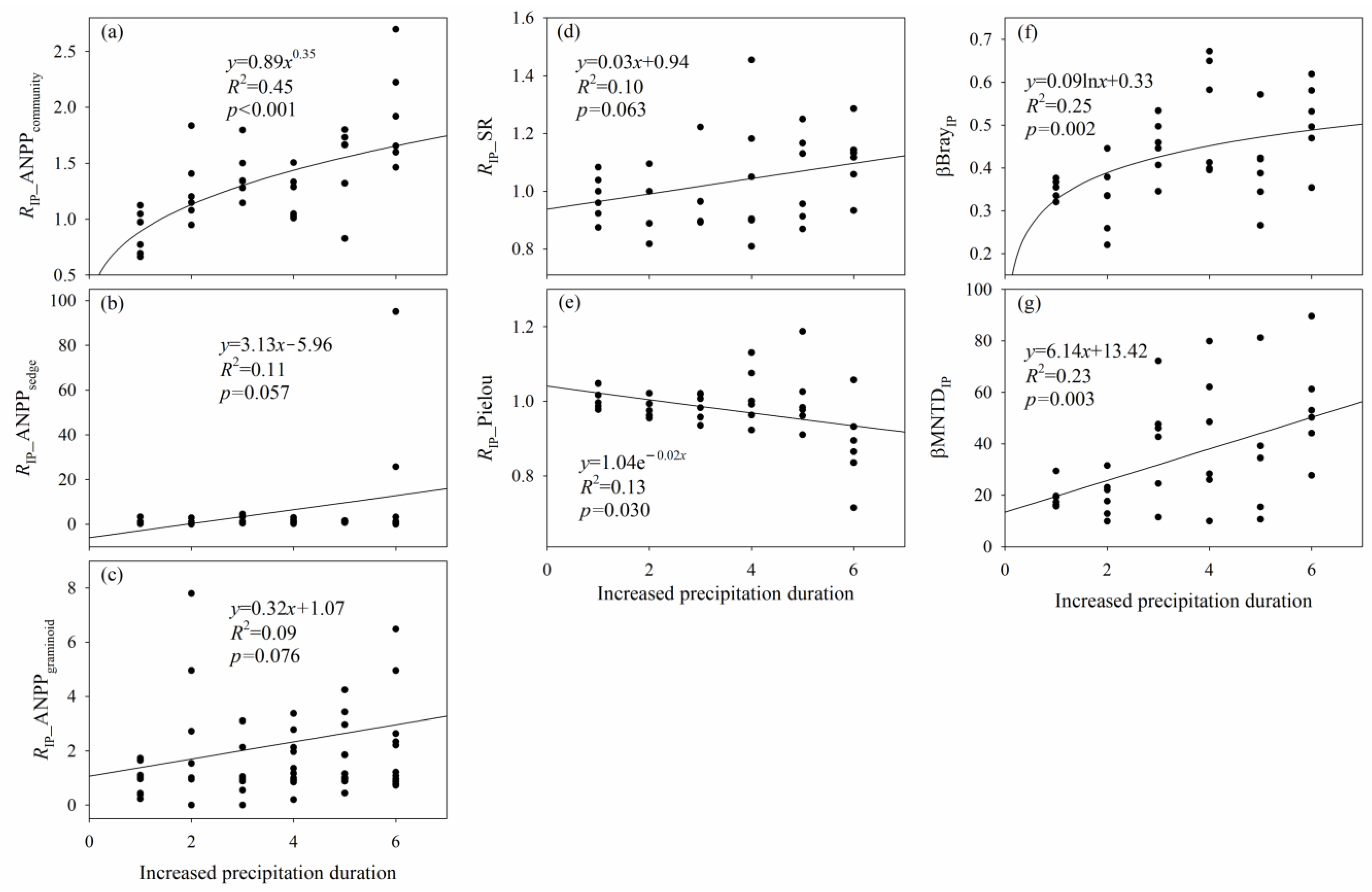
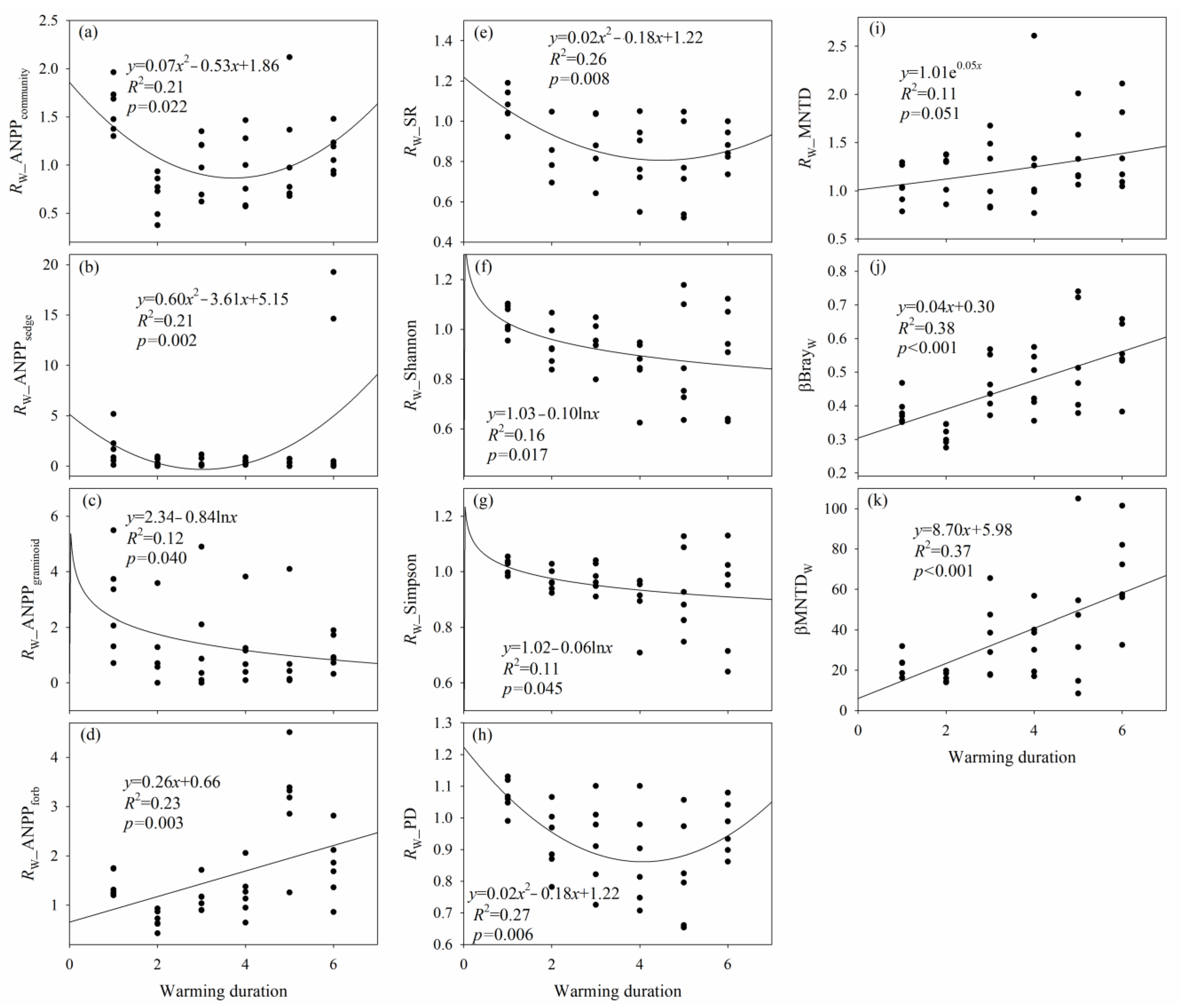
The effects of warming on Shannon, Simpson, and ANPPgraminoid decreased with warming duration, and the effects of warming on MNTD and ANPPforb increased with warming duration (Figure 3 and Figure S16). Moreover, the effects of warming on species richness, PD, ANPPcommunity, and ANPPsedge showed quadratic relationships with warming duration, and there was a time point when the lowest effect of warming on species richness, PD, ANPPcommunity, and ANPPsedge occurred, respectively (Figure 3 and Figure S16). The longer the warming duration, the greater the warming-induced differences in species composition (βBrayW) and phylogenetic composition (βMNTDW) (Figure 3).
The varpart results showed that warming duration, experimental warming-induced changes in environment temperature and moisture, soil nitrogen and phosphorus, and/or soil pH together controlled the variation of species, phylogenetic diversity, and aboveground plant production under controlled warming conditions (Figures S17–S21 and Figure 4).

2.3. Relationships between Experimental Warming–Induced Change Magnitude and Response Ratio of ANPPcommunity and Experimental Warming–Induced Change Magnitude and Response Ratio of α–Diversity, βBrayW and βMNTDW

RW_ANPPcommunity increased with increasing RW_SR and RW_PD, but decreased with increasing RW_Pielou (Figure S22). ΔW_ANPPcommunity decreased with increasing ΔW_Pielou and ΔW_Simpson but increased with increasing βMNTDW (Figure S22). The effect of experimental warming on the ANPPcommunity was simultaneously regulated by species and phylogenetic α– and β–diversity (Figure S23).

2.4. Relationships between Increased Precipitation–Induced Change Magnitude and Response Ratio of Biotic Variables, βBrayIP and ΒMNTDIP, and Abiotic Variables and Increased Precipitation Duration

Increased precipitation-induced change magnitude of ANPPsedgeIP_ANPPsedge) increased with increasing ΔIP_GSP, and there was a turning point from a negative effect of increased precipitation to a positive effect of increased precipitation on ANPPsedge (Figure 1). In contrast, increased precipitation-induced change magnitude of MNTD (ΔIP_MNTD) and increased precipitation-induced response ratio of MNTD (RIP_MNTD) decreased with increasing ΔIP_GSP, and there was a turning point from a positive effect of increased precipitation to a negative effect of increased precipitation on MNTD (Figure 1).
Increased precipitation-induced change in Ts, SM, Ta, VPD, NH4+–N, NO3–N, and/or AP may have some relationships with the effects of increased precipitation on species, phylogenetic diversity, and aboveground plant production (Figures S24–S27). For example, the effect of increased precipitation on species richness increased with ΔIP_AP (the change in magnitude of AP caused by increased precipitation) (Figure S26).
The effects of increased precipitation on SR, ANPPcommunity, ANPPsedge, and ANPPgraminoid increased with increased precipitation duration, and the effect of increased precipitation on Pielou decreased with increased precipitation duration (Figure 5 and Figure S28). There was a turning point from a negative effect of increased precipitation to a positive effect of increased precipitation on SR, ANPPcommunity, ANPPsedge, and ANPPgraminoid, respectively (Figure 5 and Figure S28). There was a turning point from a positive effect of increased precipitation to a negative effect of increased precipitation on Pielou (Figure 5 and Figure S28). The longer the increased-precipitation duration, the greater the increased precipitation-induced difference in species composition (βBrayIP) and phylogenetic composition (βMNTDIP) (Figure 5).
The shared and excluded effects of increased precipitation duration, ΔIP_T (ΔIP_Ts and/or ΔIP_Ta), ΔIP_W (ΔIP_GSP, ΔIP_SM, and/or ΔIP_VPD), and ΔIP_GSP/AccT on the response ratio of biotic variables to increased precipitation and the change magnitude of biotic variables caused by increased precipitation were illustrated in Figures S29 and S30, respectively. The shared and excluded effects of increased precipitation duration, ΔIP_N (ΔIP_NH4+–N and/or ΔIP_NO3–N), ΔIP_AP and ΔIP_pH on the response ratio of biotic variables to increased precipitation and the change magnitude of biotic variables caused by increased precipitation were illustrated in Figures S31 and S32, respectively. The shared and exclusive effects of increased precipitation duration, ΔIP_T&W (ΔIP_Ts, ΔIP_Ta, ΔIP_GSP, ΔIP_SM, ΔIP_VPD and/or ΔIP_GSP/AccT), ΔIP_N&P (ΔIP_NH4+–N, ΔIP_NO3–N and/or ΔIP_AP), and ΔIP_pH on the response ratio of biotic variables to increased precipitation and the change magnitude of biotic variables caused by increased precipitation were illustrated in Figure 6 and Figure S33, respectively. These varpart results showed that increased precipitation duration, increased precipitation-induced changes in environment temperature and moisture, soil nitrogen and phosphorus, and/or soil pH together controlled the variation of species, phylogenetic diversity, and aboveground plant production under controlled increased precipitation conditions.

2.5. Relationships between Increased–Precipitation–Induced Change Magnitude and Response Ratio of ANPPcommunity and Increased–Precipitation–Induced Change Magnitude and Response Ratio of α–Diversity, βBrayIP and βMNTDIP

RIP_ANPPcommunity decreased with increasing RIP_Shannon, RIP_Simpson and RIP_Pielou, and ΔIP_ANPPcommunity decreased with increasing ΔIP_Shannon, ΔIP_Simpson and ΔIP_Pielou (Figure S34). Both RIP_ANPPcommunity and ΔIP_ANPPcommunity increased with increasing βBrayIP and βMNTDIP (Figure S34). The effect of increased precipitation on ANPPcommunity was simultaneously regulated by species and phylogenetic α– and β–diversity under increased precipitation conditions (Figure S35).

2.6. Shared and Excluded Effects of Experimental Duration, Environmental Variables, Species and Phylogenetic Diversity on ANPPcommunity

All the variables in the varpart analysis explained about 82%, 84%, 79%, and 79% variations of RW_ANPPcommunity, ΔW_ANPPcommunity, RIP_ANPPcommunity, and ΔIP_ANPPcommunity, respectively (Figure 7). The excluded effects on RW_ANPPcommunity was in an order of ΔW_Env, RW_α–diversity, βBrayW&βMNTDW and Durationw (Figure 7a). The excluded effects on ΔW_ANPPcommunity was in an order of ΔW_α–diversity, ΔW_Env, Durationw, and βBrayW&βMNTDW (Figure 7b). The excluded effects on RIP_ANPPcommunity was in an order of RIP_α–diversity, ΔIP_Env, DurationIP, and βBrayIP&βMNTDIP (Figure 7c). The excluded effects on ΔIP_ANPPcommunity were in the order of DurationIP, ΔIP_Env and ΔIP_α–diversity, and the βBrayIP&βMNTDIP had no excluded effect on ΔIP_ANPPcommunity (Figure 7d).

3. Discussion

3.1. Warming Effects

The high-level warming caused greater reductions in species richness and PD than did the low-level warming. First, low temperature is a key limited factor for alpine growth, but excessive temperature may lead to the death of temperature-sensitive species and, in turn, species loss [4,14] and the decline in PD. A greater warming can often cause greater increases in Ts and Ta [10,35]. Second, water availability is another key limited factor for plant growth, and drying may lead to stomatal closure and photorespiration [17,36]. Warming-induced drying may cause the death of drying-sensitive species and, in turn, the loss of species and related phylogenetic information [37,38]. A greater warming can often cause greater soil and air drying [10,35]. Third, GSP/AccT is often positively correlated with plant growth [4,10,39]. The greater decline in GSP/AccT caused by high-level warming caused a greater reduction in species richness and related phylogenetic information. Fourth, soil NO3–N is an important nitrogen resource for alpine plant growth [2,3,20,40,41,42], and there can be species-specific preferences for soil NO3–N [43,44]. However, only high-level warming increased soil NO3–N.
The high-level warming caused a greater reduction in Shannon than did the low-level warming, which may be due to the high-level warming-induced greater reduction in SM and a greater increase in NO3–N (Figures S12–S15). The high- rather than low-level warming increased MNTD, which may be due to the greater increase in Ta and NO3–N, and the greater reduction in GSP/AccT caused by the high-level warming (Figure 2, Figures S9 and S12–S15).
Low- and high-level warming did not alter Simpson and Pielou. First, the effect of warming on Simpson may be mainly related to warming-induced increases in NO3–N, whereas the effect of warming on Pielou may be mainly related to warming–induced increases in Ts and Ta (Figure 2, Figures S9–S11, S14 and S15). Second, the low- and high-level warming-induced increases in Ts, Ta, and NO3–N were close to the turning points of Ts, Ta, and NO3–N where the RW_Simpson and RW_Pielou were equal to 1, or ΔW_Simpson and ΔW_Pielou were equal to zero (Figure 2, Figures S9–S11, S14 and S15). Third, the decreased magnitude of Simpson increased with warming duration (Figure 3 and Figure S16), which indicated that short-term warming caused a negligible effect on Simpson.
The high-level warming resulted in greater dissimilarities in species and phylogenetic composition than did the low-level warming. First, there was an optimum of ΔW_Ts (about 2.08 °C) when the βBrayW was the greatest. The high-level warming-induced by the increase in the ΔW_Ts (about 2.59 °C) was closer to the optimum of ΔW_Ts than the low-level warming–induced in the increase in the ΔW_Ts (about 1.13 °C) (Figure S10). Second, compared to the low-level warming-induced lower increases in ΔW_Ta and ΔW_NO3–N, the high-level warming-induced greater increases in ΔW_Ta and ΔW_NO3–N can tend to cause greater βBrayW and βMNTDW (Figure 2 and Figure S14). Third, compared to the low-level warming-induced lower reduction in GSP/AccT, the high-level warming-induced greater reduction in GSP/AccT can tend to cause greater βBrayW and βMNTDW (Figure S12).
The high- rather than low-level warming reduced ANPPsedge, which was similar to a previous study demonstrating an increase in Ta can reduce sedge coverage in a Northern Tibet alpine meadow [25], and may be due to the high-level warming-induced greater increase in Ta, soil drying, AP, and NO3–N (Figures S9 and S13–S15).
The low- and high-level warming did not alter ANPPgraminoid, and there was no difference in ANPPgraminoid between the low- and high-level warming. Similarly, no significant main effect of warming on graminoid coverage was observed in a four-level warming (control, +1.00, +2.70, and +4.00 °C, respectively) experiment [45]. First, the low-level warming–induced the increases in Ts, Ta and VPD tended to increase RW_ANPPgraminoid and ΔW_ANPPgraminoid, but the high-level warming-induced increases in Ts, Ta, and/or VPD tended to reduce RW_ANPPgraminoid and ΔW_ANPPgraminoid (Figure 2 and Figure S10). The low-level warming-induced reduction in SM tended to increase ΔW_ANPPgraminoid, but the high-level warming-induced reduction in SM tended to decrease ΔW_ANPPgraminoid (Figure S13). The absolute values of the changes of RW_ANPPgraminoid caused by the increases in Ts, Ta, and VPD under the low-level warming were greater than those under the high-level warming, whereas the absolute values of the changes of ΔW_ANPPgraminoid caused by the changes in Ts, Ta and SM under the low-level warming were lower than those under the high-level warming. Second, the low- and high-level warming-induced the reduction in GSP/AccT tended to increase the RW_ANPPgraminoid (Figure S12), and with a greater increase caused by the low-level warming-induced change in GSP/AccT. Third, the high- rather than the low-level warming-induced the increase in NO3–N tended to increase RW_ANPPgraminoid (Figure S14). Fourth, the low- and high-level warming-induced the increase in NH4+–N tended to increase the ΔW_ANPPgraminoid (Figure S15), and with a greater increase caused by the low-level warming-induced change in GSP/AccT. Fifth, a greater reduction in ANPPgraminoid can occur along with warming duration (Figure 3), which indicated that short–term warming (<7 years) caused negligible effect of warming on ANPPgraminoid.
The high- rather than low-level warming increases ANPPforb. First, the high-level warming-induced greater increase in Ts and Ta tended to cause a greater increase in RW_ANPPforb and ΔW_ANPPforb than did the low-level warming (Figure 2 and Figures S9–S11). Second, the high-level warming-induced greater soil drying and reduction in GSP/AccT tended to cause a greater increase in RW_ANPPforb and ΔW_ANPPforb than did the low-level warming (Figures S12 and S13).
The low- and high-level warming did not alter ANPPcommunity, and there was no difference in ANPPcommunity between the low- and high-level warming. Likewise, no main effect of warming on ANPPcommunity was detected in a four-level (control, +1.00, +2.70, and +4.00 °C, respectively) [45] and five-level warming experiment (control, +1.13, +1.66, +2.10, and +2.72 °C, respectively) [25]. There was a negligible difference in ANPP between low- and high-level warming (1.05 and 1.69 °C, respectively) in an alpine meadow [24]. First, the quite contrary effects of warming on ANPPsedge and ANPPforb may weaken the effect of warming on ANPPcommunity. Meanwhile, the negligible effect of warming on ANPPgraminoid can further weaken the warming effect on ANPPcommunity. Second, considering the obvious relationships of ANPPcommunity with Simpson and Pielou (Figure S22), the negligible effect of the low- and high-level warming on ANPPcommunity should be related to that on Simpson and Pielou. Third, warming-induced changes in Ts, Ta, VPD, SM, NO3–N, and AP may have exclusive effects on ANPPcommunity. For example, drying climate conditions can dampen and even mask the effect of increased Ts and/or Ta on ANPPcommunity in grasslands [25,45] by reducing leaf area and inducing stomatal closure [46], and the average GSP (405.5 mm) in 2014–2019 was only equal to that (400.5 mm) in 1963–2019.

3.2. Increased Precipitation Effects

Increased precipitation did not change species and phylogenetic α–diversity, ANPPcommunity, ANPPsedge, ANPPgraminoid and ANPPforb. Likewise, several previous studies demonstrated that increased precipitation did not affect species richness in alpine meadows [47], annual grasslands [48], infertile grasslands [38], and tallgrass prairies [49]. A low- and high-level increase in precipitation (20% and 40%, respectively) did not impact sedge aboveground production in an alpine meadow on the Tibetan Plateau [50]. No differences in graminoid coverage were detected among control, 20% and 40% increased precipitation in an alpine meadow [50], and control, 15% and 30% increased precipitation in an annual forb-dominated desert steppe [51]. A previous study also demonstrated that increased precipitation did not increase forb coverage [52]. First, except for MNTD and ANPPsedge, increased precipitation may only have indirect effects on species, phylogenetic α–diversity, and plant production, considering that only the effects of increased precipitation on MNTD and ANPPsedge had significant correlations with ΔIP_GSP. Second, although the increases in SM and GSP/AccT and the reduction in VPD under increased precipitation may be favorable for alpine plants, these probable positive effects may be dampened and even masked by the probable negative effect of the decrease in Ts under increased precipitation. Third, no effects of increased precipitation on soil pH, nitrogen, or phosphorus availability can explain the negligible effects of increased precipitation on species and phylogenetic α–diversity, ANPPcommunity, ANPPsedge, ANPPgraminoid, and ANPPforb. Fourth, the negligible effect of increased precipitation on ANPPcommunity can be related to that on species and phylogenetic α–diversity, ANPPsedge, ANPPgraminoid, and ANPPforb. Fifth, the negligible effects of increased precipitation may also be related to the short-term duration (<7 years), because a greater increase or reduction in species and phylogenetic α–diversity, ANPPcommunity, ANPPsedge, and ANPPgraminoid may occur along with an increasing duration of increased precipitation (Figure 5 and Figure S28).

3.3. Interactive Effects of Experimental Warming and Increased Precipitation

Several previous studies indicated that the main effect of warming and increased precipitation on species diversity and plant production may overestimate/underestimate the interactive effect of warming and increased precipitation on species diversity and plant production in grasslands [10,38], which was supported by this study. The negligible interactive effects of warming and increased precipitation on species richness and ANPPcommunity were also in line with some previous studies [53,54]. Although warming can elevate Ts and Ta, it can also cause drying. Although increased precipitation can increase water availability, increased precipitation can also decrease Ts. Moreover, both plant phyllosphere and soil microbial communities can also affect plant growth, α–diversity and community composition [55,56,57,58]. Climate change may cause plant phyllosphere and soil microbial communities to develop in a direction that is unfavorable to plant growth (e.g., the increase of plant pathogens) [55].

3.4. Stronger Inter-Annual Variations than Effects of Warming and Increased Precipitation

Inter-annual variations of species, phylogenetic diversity, and aboveground plant production were stronger than the effects of experimental warming or increased precipitation on these plant variables. This phenomenon was similar to some previous studies [21,35]. First, the maximum difference in growing season air temperature among years in 1963–2019 (2.7 °C) under natural conditions was greater than that (2.4 °C) under low-level warming. The maximum GSP difference among years in 2014–2019 (288.9 mm) and 1963–2019 (364.9 mm) under natural precipitation conditions was greater than the ΔIP_GSP (45.0–176.7 mm) under increased precipitation. Second, aboveground plant production, plant species richness, and PD may be restored to their original levels with increasing warming duration (Figure 3 and Figure S16). Therefore, significant interannual variation can be related to the high inter-annual variations of environmental temperature and moisture and strong adaptation and resilience [59].

4. Materials and Methods

4.1. Study Area, Experimental Design and Microclimate Measurements

This experiment was conducted at an alpine grassland site (30°30′ N, 91°04′ E, 4313 m) from June 2014 to 2019. The mean annual temperature and mean annual precipitation were 1.96 °C and 476.36 mm in 1963–2019, respectively [17,21]. The dominant species are Carex atrofusca, Stipa capillacea, and Kobresia pygmaea [2,17]. Open-top chambers with 40 cm and 80 cm openings were used to simulate low- and high-magnitude warming, respectively. The opening sizes of these open-top chambers are hexagons with a side length of 60 cm. All the materials in the open top chambers are polythene. We also simulated two levels of increased precipitation (15% and 30%). Each treatment had three replicates. The nine treatments are control (CK), low- and high-level warming (LW and HW), low- and high-level increased precipitation (LP and HP), and their interactive effects (i.e., LW + LP, HW + LP, LW + HP, and HW + HP). We measured soil temperature (Ts, 5 cm), soil moisture (SM, 10 cm), air temperature (Ta, 15 cm), and relative humidity (RH, 15 cm) by HOBO weather stations (Onset Computer, Bourne, USA) during the growing season (June–September). We then calculated vapor pressure deficit (VPD) using measured Ta and RH and calculated the ratio of growing season precipitation to accumulated ≥5 °C daily air temperature (GSP/AccT). The effects of experimental warming and increased precipitation on Ts, SM, Ta, VPD, and/or GSP/AccT in 2014–2017 were reported in previous studies [10,35].

4.2. Community Investigation, ANPP Estimation, Soil Sampling, and Analyses

Plant community investigations for each plot in August 2014–2019 were conducted. The quadrat size of the community investigation was 50 cm × 50 cm. When we did the community investigation, the 50 cm × 50 cm quadrat was placed right in the center of each treatment plot. We recorded species coverage and height for each species within each of the twenty-seven plots. All the species names were artificially identified, and species coverage was artificially estimated. The 50 cm × 50 cm quadrat was divided into twenty-five 10 cm × 10 cm subquadrats to better estimate species coverage. The species height was measured using a steel tape with millimeter accuracy. There were three plant functional groups: sedge, graminoids, and forbs. Aboveground net primary production of sedge, graminoids, and forbs (i.e., ANPPsedge, ANPPgraminoid and ANPPforb) was estimated using observed coverage and height of plant function groups [5], respectively.
A N P P s e d g e = 0.77 + 0.93 C o v e r a g e 0.24 H e i g h t , R 2 = 0.95 , p < 0.001 , n = 120
A N P P g r a m i n o i d = 2.25 + 1.03 C o v e r a g e + 0.06 H e i g h t , R 2 = 0.95 , p < 0.001 , n = 120
A N P P f o r b = 1.00 + 0.50 C o v e r a g e + 1.71 H e i g h t , R 2 = 0.91 , p < 0.001 , n = 120
The aboveground net primary production of plant community (ANPPcommunity) was the sum of ANPPsedge, ANPPgraminoid, and ANPPforb. Topsoil (0–10 cm) samples within all plots (areas outside the community investigation but inside each plot) were collected, sieved, and used to measure ammonium nitrogen (NH4+–N), nitrate nitrogen (NO3–N), available phosphorus (AP), and pH in August 2014 and 2016–2018. Both NH4+–N and NO3–N were measured on a LACHAT Quikchem Automated Ion Analyzer [60]. We measured soil pH using a soil pH meter [33,61,62]. We measured AP using the ammonium bicarbonate extraction molybdenum antimony resistance colorimetric method [18].

4.3. Statistical Analyses

We used the “specnumber” and “diversity” (vegan package) of R.4.1.2 software to calculate species α–diversity (SR—species richness; Shannon, Simpson, and Pielou).
S h a n n o n = i = 1 n p i × l o g p i
S i m p s o n = 1 i = 1 n p i 2
P i e l o u = S h a n n o n l o g S R
where pi is the important value of each species within each sample. The important value of each plant species was the mean value of its relative coverage and relative height. We used the “vegdist” (Vegan package) of R.4.1.2 software to calculate species β–diversity (i.e., βBray, the dissimilarity indices of Bray–Curtis) between two treatments. We used “TPL” and “taxa.table” (Plantlist package) of R.4.1.2 software to obtain the taxonomy information (i.e., family, genus, and species) and then used Phylomatic software to generate a phylogenetic tree. We used the “pd”, “mntd”, and “comdistnt” (Picante package) of R.4.1.2 software to get phylogenetic α–diversity (PD: Faith’s phylogenetic diversity, i.e., the sum of the total phylogenetic branch length in one sample, and MNTD: mean nearest taxon distance for taxa in one sample) and phylogenetic β–diversity (i.e., βMNTD: beta mean nearest taxon distance) between two treatments. We used repeated-measures analysis of variance to estimate the main and interactive effects of experimental warming, increased precipitation, and measuring year on Ts, SM, Ta, VPD, AccT, GSP/AccT, NH4+–N, NO3–N, AP, pH, SR, Shannon, Simpson, Pielou, PD, MNTD, ANPPcommunity, ANPPsedge, ANPPgraminoid, and ANPPforb. We then used Duncan multiple comparisons to examine the differences among the three experimental warming or increased precipitation levels. We used permutational multivariate analysis of variance (i.e., the “adonis2” of Vegan package) for the effects of experimental warming, increased precipitation, and measuring year on the βBray and βMNTD based on the R.4.1.2 software. The change magnitude of the abiotic and biotic variables caused by experimental warming (ΔW) or increased precipitation (ΔIP), and the response ratio of biotic variables to experimental warming (RW) or increased precipitation (RIP) were used as the effect size of experimental warming or increased precipitation for each year, respectively [63].
Δ W   or   Δ IP = X t ¯ X c ¯
R W   or R IP = X t ¯ / X c ¯
For the ΔW and Rw, X t ¯ and X c ¯ were concerned variables of the “LW” and “CK”, “HW” and “CK”, “LW + LP” and “LP”, “HW + LP” and “LP”, “LW + HP” and “HP”, or “HW + HP” and “HP”, respectively. For ΔIP and RIP), X t ¯ and X c ¯ were concerned variables of the “LP” and “CK”, “HP” and “CK”, “LW + LP” and “LW”, “LW + HP” and “LW”, “HW + LP” and “HW”, or “HW + HP” and “HW”, respectively. We used “varpart” (Vegan package) of R.4.1.2 software to partition the variation of the plant α– and β–diversity and aboveground net plant production by four explanatory matrices of biotic and/or abiotic variables. All the statistical analyses were examined at p < 0.05.

5. Conclusions

In summary, warming and increased precipitation were not always favorable for aboveground net primary production, species and phylogenetic α–diversity and community composition, which were related to the duration and magnitude of warming and increased precipitation, respectively. Species and phylogenetic α–diversity and composition did not have entirely uniform responses to warming and increased precipitation, and they had different correlations with aboveground net primary production. The combination of species and phylogenetic α–diversity and composition can better reflect the effects of climate warming and increased precipitation on plant α–diversity and community composition, and also better explain the variation of aboveground net primary production under controlled warming and increased precipitation conditions. Aboveground net primary production, species and phylogenetic α–diversity, and community composition had obvious inter-annual variations, and their variations were greater than their responses to warming and increased precipitation. Sedge, graminoid, and forb aboveground net primary production had different responses to warming.
The scientific findings of this study can provide some guidance for the conservation of plant diversity and the development of animal husbandry. First, compared to the regions with lower warming, more attention should be paid to the conservation of plant diversity in regions with greater warming. Second, in the context of climate change, biodiversity conservation policies should take into consideration both species and phylogenetic diversity. Third, we may pay more attention to the large inter-annual changes of ANPP and plant diversity than the effects of climate change on ANPP and plant diversity in terms of the stability of livestock and herders. Fourth, we need to be aware that the actual effects of warmer-wetter climate change trends on ANPP and plant diversity may be lower than their expected effects.

Supplementary Materials

The following supporting information can be downloaded at: https://www.mdpi.com/article/10.3390/plants12173017/s1, Figure S1: Comparison of species α–diversity (SR: species richness; Shannon, Simpson and Pielou) among the nine experimental treatments in 2014, 2015, 2016, 2017, 2018, 2019 and 2014–2019, respectively. Different letters indicate significant difference at p < 0.05; Figure S2: Comparison of phylogenetic α–diversity (PD: Faith’s phylogenetic diversity; MNTD: mean nearest taxon distance) among the nine experimental treatments in 2014, 2015, 2016, 2017, 2018, 2019 and 2014–2019, respectively. Different letters indicate significant difference at p < 0.05; Figure S3: Comparison of aboveground net primary production at community, sedge, graminoid and forb levels (ANPPcommunity, ANPPsedge, ANPPgraminoid and ANPPforb) among the nine experimental treatments in 2014, 2015, 2016, 2017, 2018, 2019 and 2014–2019, respectively. Different letters indicate significant difference at p < 0.05; Figure S4: Comparison of the low- and high-level experimental warming-induced dissimilarity of species composition (βBrayW) and phylogenetic composition (βMNTDW) under the no, low- and high-level increased precipitation conditions in 2014, 2015, 2016, 2017, 2018, 2019 and 2014–2019, respectively. *, ** and *** indicate significant difference at p < 0.05, p < 0.01 and p < 0.001, respectively; Figure S5: Comparison of the low- and high-level increased precipitation-induced dissimilarity of species composition (βBrayIP) and phylogenetic composition (βMNTDIP) under the no, low- and high-level experimental warming conditions in 2014, 2015, 2016, 2017, 2018, 2019 and 2014–2019, respectively. *, ** and *** indicate significant difference at p < 0.05, p < 0.01 and p < 0.001, respectively; Figure S6: Comparison of average soil temperature (Ts), soil moisture (SM), air temperature (Ta), vapor pressure deficit (VPD), accumulated ≥5 °C daily air temperature (AccT), and ratio of growing season precipitation to AccT (GSP/AccT) in 2014–2019 among the nine experimental treatments. Different letters indicate significant difference at p < 0.05; Figure S7: Relationships (a) between the decreased magnitude of soil moisture caused by experimental warming (ΔSM) and increased magnitude of air temperature caused by experimental warming (ΔW_Ta); (b) between ΔSM and increased magnitude of soil temperature caused by experimental warming (ΔW_Ts); (c) between the increased magnitude of vapor pressure deficit caused by experimental warming (ΔVPD) and ΔW_Ta; (d) between ΔVPD and ΔW_Ts; and (e) between the decreased magnitude of the ratio of growing season precipitation to accumulated ≥5 °C daily air temperature caused by experimental warming (ΔGSP/AccT) and ΔW_Ta; Figure S8: Comparison of ammonium nitrogen (NH4+-N), nitrate nitrogen (NO3-N), available phosphorus (AP) and pH among the nine experimental treatments in 2014, 2016, 2017, 2018 and 2014–2018, respectively. Different letters indicate significant difference at p < 0.05; Figure S9: Relationships (a) between the change magnitude of species richness caused by experimental warming (ΔW_SR) and increased magnitude of air temperature caused by experimental warming (ΔW_Ta); (b) between the change magnitude of Pielou caused by experimental warming (ΔW_Pielou) and ΔW_Ta; (c) between the change magnitude of Faith’s phylogenetic diversity caused by experimental warming (ΔW_PD) and ΔW_Ta; (d) between the change magnitude of mean nearest taxon distance caused by experimental warming (ΔW_MNTD) and ΔW_Ta; (e) between the change magnitude of community aboveground net primary production caused by experimental warming (ΔW_ANPPcommunity) and ΔW_Ta; (f) between the change magnitude of sedge aboveground net primary production caused by experimental warming (ΔW_ANPPsedge) and ΔW_Ta; (g) between the change magnitude of graminoid aboveground net primary production caused by experimental warming (ΔW_ANPPgraminoid) and ΔW_Ta; and between the change magnitude of forb aboveground net primary production caused by experimental warming (ΔW_ANPPforb) and ΔW_Ta; Figure S10: Relationships (a) between the response ratio of species richness to experimental warming (RW_SR) and increased magnitude of soil temperature caused by experimental warming (ΔW_Ts); (b) between the response ratio of Pielou to experimental warming (RW_Pielou) and ΔW_Ts; (c) between the response ratio of Faith’s phylogenetic diversity to experimental warming (RW_PD) and ΔW_Ts; (d) between species β–diversity (βBrayw) and ΔW_Ts; (e) between the response ratio of community aboveground net primary production to experimental warming (RW_ANPPcommunity) and ΔW_Ts; (f) between the response ratio of graminoid aboveground net primary production to experimental warming (RW_ANPPgraminoid) and ΔW_Ts; and (g) between the response ratio of forb aboveground net primary production to experimental warming (RW_ANPPforb) and ΔW_Ts; Figure S11: Relationships (a) between the change magnitude of species richness caused by experimental warming (ΔW_SR) and increased magnitude of soil temperature caused by experimental warming (ΔW_Ts); (b) between the change magnitude of Pielou caused by experimental warming (ΔW_Pielou) and ΔW_Ts; (c) between the change magnitude of Faith’s phylogenetic diversity caused by experimental warming (ΔW_PD) and ΔW_Ts; (d) between the change magnitude of community aboveground net primary production caused by experimental warming (ΔW_ANPPcommunity) and ΔW_Ts; (e) between the change magnitude of graminoid aboveground net primary production caused by experimental warming (ΔW_ANPPgraminoid) and ΔW_Ts; and (f) between the change magnitude of forb aboveground net primary production caused by experimental warming (ΔW_ANPPforb) and ΔW_Ts; Figure S12: Relationships (a) between the response ratio of species richness to experimental warming (RW_SR) and decreased magnitude of soil moisture caused by experimental warming (ΔW_SM); (b) between the response ratio of Shannon to experimental warming (RW_Shannon) and ΔW_SM; (c) between the response ratio of Faith’s phylogenetic diversity to experimental warming (RW_PD) and ΔW_SM; (d) between the response ratio of community aboveground net primary production to experimental warming (RW_ANPPcommunity) and ΔW_SM; (e) between the response ratio of forb aboveground net primary production to experimental warming (RW_ANPPforb) and ΔW_SM; (f) between the RW_SR and increased magnitude of vapor pressure deficit caused by experimental warming (ΔW_VPD); (g) between the RW_PD and ΔW_VPD; (h) between the RW_ANPPcommunity and ΔW_VPD; (i) between the response ratio of graminoid aboveground net primary production to experimental warming (RW_ANPPgraminoid) and ΔW_VPD; (j) between the RW_ANPPforb and ΔW_VPD; (k) between the RW_SR and decreased magnitude of accumulated ≥5 °C daily air temperature caused by experimental warming (ΔW_GSP/AccT); (l) between the RW_PD and ΔW_GSP/AccT; (m) between the response ratio of sedge aboveground net primary production to experimental warming (RW_ANPPsedge) and ΔW_GSP/AccT; (n) between the RW_ANPPgraminoid and ΔW_GSP/AccT; (o) between the RW_ANPPforb and ΔW_GSP/AccT; (p) between the species β–diversity of warming versus no-warming conditions (βBrayw) and ΔW_GSP/AccT; and (q) between the phylogenetic β–diversity of warming versus no-warming conditions (βMNTDw) and ΔW_GSP/AccT; Figure S13: Relationships (a) between change magnitude of species richness caused by experimental warming (ΔW_SR) and increased magnitude of vapor pressure deficit caused by experimental warming (ΔW_VPD); (b) between the change magnitude of Faith’s phylogenetic diversity caused by experimental warming (ΔW_PD) and ΔW_VPD; (c) between the change magnitude of community aboveground net primary production caused by experimental warming (ΔW_ANPPcommunity) and ΔW_VPD; (d) between the change magnitude of forb aboveground net primary production caused by experimental warming (ΔW_ANPPforb) and ΔW_VPD; (e) between the ΔW_SR and decreased magnitude of accumulated ≥5 °C daily air temperature caused by experimental warming (ΔW_GSP/AccT); (f) between ΔW_PD and ΔW_GSP/AccT; (g) between the change magnitude of graminoid aboveground net primary production caused by experimental warming (ΔW_ANPPgraminoid) and ΔGSP/AccT; (h) between the ΔW_ANPPforb and ΔW_GSP/AccT; (i) between the ΔW_SR and the decreased magnitude of soil moisture caused by experimental warming (ΔSM); (j) between the ΔW_PD and ΔW_SM; (k) between the ΔW_ANPPcommunity and ΔW_SM; (l) between the ΔW_ANPPforb and ΔW_SM; (m) between the change magnitude of Shannon caused by experimental warming (ΔW_Shannon) and ΔW_SM; (n) between the change magnitude of sedge aboveground net primary production caused by experimental warming (ΔW_ANPPsedge) and ΔW_SM; (o) between the ΔW_ANPPgraminoid and ΔW_SM; and (p) between the change magnitude of mean nearest taxon distance caused by experimental warming (ΔW_MNTD) and ΔGSP/AccT; Figure S14: Relationships (a) between the response ratio of species richness to experimental warming (RW_SR) and change magnitude of soil pH caused by experimental warming (ΔW_pH); (b) between the response ratio of Shannon to experimental warming (RW_Shannon) and ΔW_pH; (c) between the response ratio of Simpson to experimental warming (RW_Simpson) and ΔW_pH; (d) between the response ratio of Faith’s phylogenetic diversity to experimental warming (RW_PD) and ΔW_pH; (e) between the phylogenetic β–diversity of warming versus no-warming conditions (βMNTDw) and ΔW_pH; (f) between the RW_SR and the change magnitude of nitrate nitrogen (ΔW_NO3-N) caused by experimental warming; (g) between the RW_Shannon and ΔW_NO3-N; (h) between the RW_Simpson and ΔW_NO3-N; (i) between the RW_PD and ΔW_NO3-N; (j) between the response ratio of mean nearest taxon distance to experimental warming (RW_MNTD) and ΔW_NO3-N; (k) between the response ratio of community aboveground net primary production to experimental warming (RW_ANPPcommunity) and ΔW_NO3-N; (l) between the response ratio of graminoid aboveground net primary production to experimental warming (RW_ANPPgraminoid) and ΔW_NO3-N; (m) between species β–diversity of warming versus no-warming conditions (βBrayw) and ΔW_NO3-N; (n) between the βMNTDw and ΔW_NO3-N; (o) between the response ratio of forb aboveground net primary production to experimental warming (RW_ANPPforb) and the change magnitude of ammonium nitrogen (ΔW_NH4+-N) caused by experimental warming; (p) between the RW_ANPPcommunity and the change magnitude of available phosphorus (ΔW_AP) caused by experimental warming; and (q) between the response ratio of sedge aboveground net primary production to experimental warming (RW_ANPPsedge) and ΔW_AP; Figure S15: Relationships (a) between the change magnitude of species richness caused by experimental warming (ΔW_SR) and change magnitude of soil pH caused by experimental warming (ΔW_pH); (b) between the change magnitude of Shannon caused by experimental warming (ΔW_Shannon) and ΔW_pH; (c) between the change magnitude of Simpson caused by experimental warming (ΔW_Simpson) and ΔW_pH; (d) between the change magnitude of Faith’s phylogenetic diversity caused by experimental warming (ΔW_PD) and ΔW_pH; (e) between the ΔW_SR and the change magnitude of nitrate nitrogen (ΔW_NO3-N) caused by experimental warming; (f) between the ΔW_Shannon and ΔW_NO3-N; (g) between the ΔW_Simpson and ΔW_NO3-N; (h) between the ΔW_PD and ΔW_NO3-N; (i) between the change magnitude of mean nearest taxon distance to experimental warming (ΔW_MNTD) and ΔW_NO3-N; (j) between the change magnitude of sedge aboveground net primary production caused by experimental warming (ΔW_ANPPsedge) and ΔW_NO3-N; (k) between the change magnitude of graminoid aboveground net primary production caused by experimental warming (RW_ANPPgraminoid) and the change magnitude of ammonium nitrogen (ΔW_NH4+-N) caused by experimental warming; (l) between the change magnitude of forb aboveground net primary production caused by experimental warming (RW_ANPPforb) and ΔW_NH4+-N; and (m) between the RW_ANPPsedge and the change magnitude of available phosphorus (ΔW_AP) caused by experimental warming; Figure S16: Relationships (a) between the change magnitude of species richness caused by experimental warming (ΔW_SR) and warming duration; (b) between the change magnitude of Shannon caused by experimental warming (ΔW_Shannon) and warming duration; (c) between the change magnitude of Simpson caused by experimental warming (ΔW_Simpson) and warming duration; (d) between the change magnitude of Faith’s phylogenetic diversity caused by experimental warming (ΔW_PD) and warming duration; (e) between the change magnitude of mean nearest taxon distance to experimental warming (ΔW_MNTD) and warming duration; (f) between the change magnitude of sedge aboveground net primary production caused by experimental warming (ΔW_ANPPsedge) and warming duration; and (g) between the change magnitude of forb aboveground net primary production caused by experimental warming (ΔW_ANPPforb) and warming duration; Figure S17: Venn plots of variation partitioning analysis, showing the shared and exclusive effects of warming duration, ΔW_T (i.e., the change magnitude of air and/or soil temperature caused by experimental warming), ΔW_W (i.e., the change magnitude of soil moisture and/or vapor pressure deficit caused by experimental warming) and ΔW_GSP/AccT (i.e., the change magnitude of the ratio of growing season precipitation to accumulated ≥5 °C daily air temperature caused by experimental warming) on (a) the response ratio of species richness to experimental warming (RW_SR), (b) the response ratio of Shannon to experimental warming (RW_Shannon), (c) the response ratio of Simpson to experimental warming (RW_Simpson), (d) the response ratio of Pielou to experimental warming (RW_Pielou), (e) the response ratio of Faith’s phylogenetic diversity to experimental warming (RW_PD), (f) the response ratio of mean nearest taxon distance to experimental warming (RW_MNTD), (g) species β–diversity (βBrayw) between the warming and non-warming conditions, (h) phylogenetic β–diversity (βMNTDw) between the warming and non-warming conditions, (i) the response ratio of community aboveground net primary production to experimental warming (RW_ANPPcommunity), (j) the response ratio of sedge aboveground net primary production to experimental warming (RW_ANPPsedge), (k) the response ratio of graminoid aboveground net primary production to experimental warming (RW_ANPPgraminoid), and (l) the response ratio of forb aboveground net primary production to experimental warming (RW_ANPPforb); Figure S18: Venn plots of variation partitioning analysis, showing the shared and exclusive effects of warming duration, ΔW_T (i.e., the change magnitude of air and/or soil temperature caused by experimental warming), ΔW_W (i.e., the change magnitude of soil moisture and/or vapor pressure deficit caused by experimental warming) and ΔW_GSP/AccT (i.e., the change magnitude of the ratio of growing season precipitation to accumulated ≥5 °C daily air temperature caused by experimental warming) on (a) the change magnitude of species richness caused by experimental warming (ΔW_SR), (b) the change magnitude of Shannon caused by experimental warming (ΔW_Shannon), (c) the change magnitude of Simpson caused by experimental warming (ΔW_Simpson), (d) the change magnitude of Pielou caused by experimental warming (ΔW_Pielou), (e) the change magnitude of Faith’s phylogenetic diversity caused by experimental warming (ΔW_PD), (f) the change magnitude of mean nearest taxon distance caused by experimental warming (ΔW_MNTD), (g) the change magnitude of community aboveground net primary production caused by experimental warming (ΔW_ANPPcommunity), (h) the change magnitude of sedge aboveground net primary production caused by experimental warming (ΔW_ANPPsedge), (i) the change magnitude of graminoid aboveground net primary production caused by experimental warming (ΔW_ANPPgraminoid), and (j) the change magnitude of forb aboveground net primary production caused by experimental warming (ΔW_ANPPforb); Figure S19: Venn plots of variation partitioning analysis, showing the shared and exclusive effects of warming duration, ΔW_N (i.e., the change magnitude of ammonium nitrogen and/or nitrate nitrogen caused by experimental warming), ΔW_AP (i.e., the change magnitude of soil available phosphorus caused by experimental warming) and ΔW_pH (i.e., the change magnitude of soil pH caused by experimental warming) on (a) the response ratio of species richness to experimental warming (RW_SR), (b) the response ratio of Shannon to experimental warming (RW_Shannon), (c) the response ratio of Simpson to experimental warming (RW_Simpson), (d) the response ratio of Pielou to experimental warming (RW_Pielou), (e) the response ratio of Faith’s phylogenetic diversity to experimental warming (RW_PD), (f) the response ratio of mean nearest taxon distance to experimental warming (RW_MNTD), (g) species β–diversity (βBrayw) between the warming and non-warming conditions, (h) phylogenetic β–diversity (βMNTDw) between the warming and non-warming conditions, (i) the response ratio of community aboveground net primary production to experimental warming (RW_ANPPcommunity), (j) the response ratio of sedge aboveground net primary production to experimental warming (RW_ANPPsedge), (k) the response ratio of graminoid aboveground net primary production to experimental warming (RW_ANPPgraminoid), and (l) the response ratio of forb aboveground net primary production to experimental warming (RW_ANPPforb); Figure S20: Venn plots of variation partitioning analysis, showing the shared and exclusive effects of warming duration, ΔW_N (i.e., the change magnitude of ammonium nitrogen and/or nitrate nitrogen caused by experimental warming), ΔW_AP (i.e., the change magnitude of soil available phosphorus caused by experimental warming) and ΔW_pH (i.e., the change magnitude of soil pH caused by experimental warming) on (a) the change magnitude of species richness caused by experimental warming (ΔW_SR), (b) the change magnitude of Shannon caused by experimental warming (ΔW_Shannon), (c) the change magnitude of Simpson caused by experimental warming (ΔW_Simpson), (d) the change magnitude of Pielou caused by experimental warming (ΔW_Pielou), (e) the change magnitude of Faith’s phylogenetic diversity caused by experimental warming (ΔW_PD), (f) the change magnitude of mean nearest taxon distance caused by experimental warming (ΔW_MNTD), (g) the change magnitude of community aboveground net primary production caused by experimental warming (ΔW_ANPPcommunity), (h) the change magnitude of sedge aboveground net primary production caused by experimental warming (ΔW_ANPPsedge), (i) the change magnitude of graminoid aboveground net primary production caused by experimental warming (ΔW_ANPPgraminoid), and (j) the change magnitude of forb aboveground net primary production caused by experimental warming (ΔW_ANPPforb); Figure S21: Venn plots of variation partitioning analysis, showing the shared and exclusive effects of warming duration, ΔW_T&W (i.e., the change magnitude of air and/or soil temperature, soil moisture, vapor pressure deficit and/or the ratio of growing season precipitation to accumulated ≥5 °C daily air temperature caused by experimental warming), ΔW_N&P (i.e., the change magnitude of ammonium nitrogen, nitrate nitrogen, and/or available phosphorus caused by experimental warming) and ΔW_pH (i.e., the change magnitude of soil pH caused by experimental warming) on (a) the change magnitude of species richness caused by experimental warming (ΔW_SR), (b) the change magnitude of Shannon caused by experimental warming (ΔW_Shannon), (c) the change magnitude of Simpson caused by experimental warming (ΔW_Simpson), (d) the change magnitude of Pielou caused by experimental warming (ΔW_Pielou), (e) the change magnitude of Faith’s phylogenetic diversity caused by experimental warming (ΔW_PD), (f) the change magnitude of mean nearest taxon distance caused by experimental warming (ΔW_MNTD), (g) the change magnitude of community aboveground net primary production caused by experimental warming (ΔW_ANPPcommunity), (h) the change magnitude of sedge aboveground net primary production caused by experimental warming (ΔW_ANPPsedge), (i) the change magnitude of graminoid aboveground net primary production caused by experimental warming (ΔW_ANPPgraminoid), and (j) the change magnitude of forb aboveground net primary production caused by experimental warming (ΔW_ANPPforb); Figure S22: Relationships (a) between the response ratio of community aboveground net primary production to experimental warming (RW_ANPPcommunity) and the response ratio of species richness to experimental warming (RW_SR); (b) between the RW_ANPPcommunity and the response ratio of Pielou to experimental warming (RW_Pielou); (c) between the RW_ANPPcommunity and the response ratio of Faith’s phylogenetic diversity to experimental warming (RW_PD); (d) the change magnitude of community aboveground net primary production caused by experimental warming (ΔW_ANPPcommunity) and the change magnitude of Simpson caused by experimental warming (ΔW_Simpson); (e) between the ΔW_ANPPcommunity and the change magnitude of Pielou caused by experimental warming (ΔW_Pielou); and (f) between the ΔW_ANPPcommunity and the phylogenetic β–diversity of warming versus no-warming conditions (βMNTDw); Figure S23: Venn plots of variation partitioning analysis, showing the shared and exclusive effects of (a) RW_α-species (i.e., the response ratio of species richness, Shannon, Simpson and/or Pielou to experimental warming), RW_α-phylo (i.e., the response ratio of Faith’s phylogenetic diversity and/or mean nearest taxon distance to experimental warming), βBray (i.e., species β–diversity of warming versus non-warming conditions) and βMNTD (i.e., phylogenetic β–diversity of warming versus non-warming conditions) on the response ratio of community aboveground net primary production to experimental warming (RW_ANPPcommunity); and (b) ΔW_α-species (i.e., the change magnitude of species richness, Shannon, Simpson and/or Pielou caused by experimental warming), ΔW_α-phylo (i.e., the change magnitude of Faith’s phylogenetic diversity and/or mean nearest taxon distance caused by experimental warming), βBray (i.e., species β–diversity of warming versus non-warming conditions) and βMNTD (i.e., phylogenetic β–diversity of warming versus non-warming conditions) on the change magnitude of community aboveground net primary production caused by experimental warming (ΔW_ANPPcommunity); Figure S24: Relationships (a) between the response ratio of community aboveground net primary production to increased precipitation (RIP_ANPPcommunity) and the change magnitude of vapor pressure deficit (ΔIP_VPD); (b) between the change magnitude of community aboveground net primary production caused by increased precipitation (ΔIP_ANPPcommunity) and ΔIP_VPD; (c) between the ΔIP_ANPPcommunity and the change magnitude of the ratio of growing season precipitation to accumulated ≥5 °C daily air temperature (ΔIP_GSP/AccT); (d) between the change magnitude of graminoid aboveground net primary production caused by increased precipitation (ΔIP_ANPPgraminoid) and ΔIP_GSP/AccT; (e) between the change magnitude of species richness caused by increased precipitation (ΔIP_SR) and the change magnitude of soil moisture (ΔIP_SM); (f) between the change magnitude of Shannon caused by increased precipitation (ΔIP_Shannon) and ΔIP_SM; (g) between the change magnitude of mean nearest taxon distance caused by increased precipitation (ΔIP_MNTD) and ΔIP_SM; (h) between the change magnitude of sedge aboveground net primary production caused by increased precipitation (ΔIP_ANPPsedge) and ΔIP_SM; (i) between the species β–diversity of the increased versus no-increased precipitation conditions (βBrayIP) and ΔIP_SM; (j) between the response ratio of Shannon to increased precipitation (RIP_Shannon) and ΔIP_SM; and (k) between the response ratio of mean nearest taxon distance to increased precipitation (RIP_MNTD) and ΔIP_SM; Figure S25: Relationships (a) the phylogenetic β–diversity of the increased versus no-increased precipitation conditions (βMNTDIP) and the change magnitude of air temperature caused by increased precipitation (ΔIP_Ta); (b) between the response ratio of sedge aboveground net primary production to increased precipitation (RIP_ANPPsedge) and ΔIP_Ta; (c) between the change magnitude of sedge aboveground net primary production caused by increased precipitation (ΔIP_ANPPsedge) and ΔIP_Ta; (d) between the response ratio of Pielou to increased precipitation (RIP_Pielou) and the change magnitude of soil temperature caused by increased precipitation (ΔIP_Ts); (e) between the response ratio of community aboveground net primary production to increased precipitation (RIP_ANPPcommunity) and the ΔIP_Ts; (f) between the response ratio of forb aboveground net primary production to increased precipitation (RIP_ANPPforb) and the ΔIP_Ts; (g) between the change magnitude of graminoid aboveground net primary production caused by increased precipitation (ΔIP_ ANPPgraminoid) and ΔIP_Ts; (h) between the change magnitude of community aboveground net primary production caused by increased precipitation (ΔIP_ ANPPcommunity) and ΔIP_Ts; and (i) between the change magnitude of forb aboveground net primary production caused by increased precipitation (ΔIP_ ANPPforb) and ΔIP_Ts; Figure S26: Relationships (a) between the response ratio of species richness to increased precipitation (RIP_SR) and the change magnitude of available phosphorus caused by increased precipitation (ΔIP_AP); (b) between the response ratio of Shannon to increased precipitation (RIP_Shannon) and ΔIP_AP; (c) between the response ratio of Simpson to increased precipitation (RIP_Simpson) and ΔIP_AP; (d) between the response ratio of Pielou to increased precipitation (RIP_Pielou) and ΔIP_AP; (e) between the response ratio of phylogenetic diversity to increased precipitation (RIP_PD) and ΔIP_AP; (f) between the response ratio of mean nearest taxon distance to increased precipitation (RIP_MNTD) and ΔIP_AP; (g) between the species β–diversity of the increased versus no-increased precipitation conditions (βBrayIP) and ΔIP_AP; (h) between the change magnitude of species richness caused by increased precipitation (ΔIP_SR) and ΔIP_AP; (i) between the change magnitude of Shannon caused by increased precipitation (ΔIP_Shannon) and ΔIP_AP; (j) between the change magnitude of Simpson caused by increased precipitation (ΔIP_Simpson) and ΔIP_AP; (k) between the change magnitude of Pielou caused by increased precipitation (ΔIP_Pielou) and ΔIP_AP; (l) between the change magnitude of phylogenetic diversity caused by increased precipitation (ΔIP_PD) and ΔIP_AP; (m) between the change magnitude of mean nearest taxon distance caused by increased precipitation (ΔIP_MNTD) and ΔIP_AP; and (n) between the phylogenetic β–diversity of the increased versus no-increased precipitation conditions (βMNTDIP) and ΔIP_AP; Figure S27: Relationships (a) between the change magnitude of mean nearest taxon distance caused by increased precipitation (ΔIP_MNTD) and the change magnitude of ammonium nitrogen caused by increased precipitation (ΔIP_NH4+-N); and (b) between the change magnitude of sedge aboveground net primary production caused by increased precipitation (ΔIP_ANPPsedge) and the change magnitude of nitrate nitrogen caused by increased precipitation (ΔIP_NO3-N); Figure S28: Relationships (a) between the change magnitude of community aboveground net primary production caused by increased precipitation (ΔIP_ANPPcommunity) and increased precipitation duration; (b) between the change magnitude of sedge aboveground net primary production caused by increased precipitation (ΔIP_ANPPsedge) and increased precipitation duration; (c) between the change magnitude of graminoid aboveground net primary production caused by increased precipitation (ΔIP_ANPPgraminoid) and increased precipitation duration; and (d) between the change magnitude of Pielou caused by increased precipitation (ΔIP_Pielou) and increased precipitation duration; Figure S29: Venn plots of variation partitioning analysis, showing the shared and exclusive effects of increased precipitation duration, ΔIP_T (i.e., the change magnitude of air and/or soil temperature caused by increased precipitation), ΔIP_W (i.e., the change magnitude of growing season precipitation, soil moisture and/or vapor pressure deficit caused by increased precipitation) and ΔIP_GSP/AccT (i.e., the change magnitude of the ratio of growing season precipitation to accumulated ≥5 °C daily air temperature caused by increased precipitation) on (a) the response ratio of species richness to increased precipitation (RIP_SR), (b) the response ratio of Shannon to increased precipitation (RIP_Shannon), (c) the response ratio of Simpson to increased precipitation (RIP_Simpson), (d) the response ratio of Pielou to increased precipitation (RIP_Pielou), (e) the response ratio of Faith’s phylogenetic diversity to increased precipitation (RIP_PD), (f) the response ratio of mean nearest taxon distance to increased precipitation (RIP_MNTD), (g) species β–diversity (βBrayIP) between the increased precipitation and non-increased precipitation conditions, (h) phylogenetic β–diversity (βMNTDIP) between the increased precipitation and non-increased precipitation conditions, (i) the response ratio of community aboveground net primary production to increased precipitation (RIP_ANPPcommunity), (j) the response ratio of sedge aboveground net primary production to increased precipitation (RIP_ANPPsedge), (k) the response ratio of graminoid aboveground net primary production to increased precipitation (RIP_ANPPgraminoid), and (l) the response ratio of forb aboveground net primary production to increased precipitation (RIP_ANPPforb); Figure S30: Venn plots of variation partitioning analysis, showing the shared and exclusive effects of increased precipitation duration, ΔIP_N (i.e., the change magnitude of ammonium nitrogen and/or nitrate nitrogen caused by increased precipitation), ΔIP_AP (i.e., the change magnitude of soil available phosphorus caused by increased precipitation) and ΔIP_pH (i.e., the change magnitude of soil pH caused by increased precipitation) on (a) the response ratio of species richness to increased precipitation (RIP_SR), (b) the response ratio of Shannon to increased precipitation (RIP_Shannon), (c) the response ratio of Simpson to increased precipitation (RIP_Simpson), (d) the response ratio of Pielou to increased precipitation (RIP_Pielou), (e) the response ratio of Faith’s phylogenetic diversity to increased precipitation (RIP_PD), (f) the response ratio of mean nearest taxon distance to increased precipitation (RIP_MNTD), (g) species β–diversity (βBrayIP) between the increased precipitation and non-increased precipitation conditions, (h) phylogenetic β–diversity (βMNTDIP) between the increased precipitation and non-increased precipitation conditions, (i) the response ratio of community aboveground net primary production to increased precipitation (RIP_ANPPcommunity), (j) the response ratio of sedge aboveground net primary production to increased precipitation (RIP_ANPPsedge), (k) the response ratio of graminoid aboveground net primary production to increased precipitation (RIP_ANPPgraminoid), and (l) the response ratio of forb aboveground net primary production to increased precipitation (RIP_ANPPforb); Figure S31: Venn plots of variation partitioning analysis, showing the shared and exclusive effects of increased precipitation duration, ΔIP_T (i.e., the change magnitude of air and/or soil temperature caused by increased precipitation), ΔIP_W (i.e., the change magnitude of growing season precipitation, soil moisture and/or vapor pressure deficit caused by increased precipitation) and ΔIP_GSP/AccT (i.e., the change magnitude of the ratio of growing season precipitation to accumulated ≥5 °C daily air temperature caused by increased precipitation) on (a) the change magnitude of species richness caused by increased precipitation (ΔIP_SR), (b) the change magnitude of Shannon caused by increased precipitation (ΔIP_Shannon), (c) the change magnitude of Simpson caused by increased precipitation (ΔIP_Simpson), (d) the change magnitude of Pielou caused by increased precipitation (ΔIP_Pielou), (e) the change magnitude of Faith’s phylogenetic diversity caused by increased precipitation (ΔIP_PD), (f) the change magnitude of mean nearest taxon distance caused by increased precipitation (ΔIP_MNTD), (g) the change magnitude of community aboveground net primary production caused by increased precipitation (ΔIP_ANPPcommunity), (h) the change magnitude of sedge aboveground net primary production caused by increased precipitation (ΔIP_ANPPsedge), (i) the change magnitude of graminoid aboveground net primary production caused by increased precipitation (ΔIP_ANPPgraminoid), and (j) the change magnitude of forb aboveground net primary production caused by increased precipitation (ΔIP_ANPPforb); Figure S32: Venn plots of variation partitioning analysis, showing the shared and exclusive effects of increased precipitation duration, ΔIP_N (i.e., the change magnitude of ammonium nitrogen and/or nitrate nitrogen caused by increased precipitation), ΔIP_AP (i.e., the change magnitude of soil available phosphorus caused by increased precipitation) and ΔIP_pH (i.e., the change magnitude of soil pH caused by increased precipitation) on (a) the change magnitude of species richness caused by increased precipitation (ΔIP_SR), (b) the change magnitude of Shannon caused by increased precipitation (ΔIP_Shannon), (c) the change magnitude of Simpson caused by increased precipitation (ΔIP_Simpson), (d) the change magnitude of Pielou caused by increased precipitation (ΔIP_Pielou), (e) the change magnitude of Faith’s phylogenetic diversity caused by increased precipitation (ΔIP_PD), (f) the change magnitude of mean nearest taxon distance caused by increased precipitation (ΔIP_MNTD), (g) the change magnitude of community aboveground net primary production caused by increased precipitation (ΔIP_ANPPcommunity), (h) the change magnitude of sedge aboveground net primary production caused by increased precipitation (ΔIP_ANPPsedge), (i) the change magnitude of graminoid aboveground net primary production caused by increased precipitation (ΔIP_ANPPgraminoid), and (j) the change magnitude of forb aboveground net primary production caused by increased precipitation (ΔIP_ANPPforb); Figure S33: Venn plots of variation partitioning analysis, showing the shared and exclusive effects of increased precipitation duration, ΔIP_T&W (i.e., the change magnitude of air and/or soil temperature, soil moisture, vapor pressure deficit and/or the ratio of growing season precipitation to accumulated ≥5 °C daily air temperature caused by increased precipitation), ΔIP_N&P (i.e., the change magnitude of ammonium nitrogen, nitrate nitrogen, and/or available phosphorus caused by increased precipitation) and ΔIP_pH (i.e., the change magnitude of soil pH caused by increased precipitation) on (a) the change magnitude of species richness caused by increased precipitation (ΔIP_SR), (b) the change magnitude of Shannon caused by increased precipitation (ΔIP_Shannon), (c) the change magnitude of Simpson caused by increased precipitation (ΔIP_Simpson), (d) the change magnitude of Pielou caused by increased precipitation (ΔIP_Pielou), (e) the change magnitude of Faith’s phylogenetic diversity caused by increased precipitation (ΔIP_PD), (f) the change magnitude of mean nearest taxon distance caused by increased precipitation (ΔIP_MNTD), (g) the change magnitude of community aboveground net primary production caused by increased precipitation (ΔIP_ANPPcommunity), (h) the change magnitude of sedge aboveground net primary production caused by increased precipitation (ΔIP_ANPPsedge), (i) the change magnitude of graminoid aboveground net primary production caused by increased precipitation (ΔIP_ANPPgraminoid), and (j) the change magnitude of forb aboveground net primary production caused by increased precipitation (ΔIP_ANPPforb); Figure S34: Relationships (a) between the response ratio of community aboveground net primary production to increased precipitation (RIP_ANPPcommunity) and the response ratio of Shannon to increased precipitation (RIP_Shannon); (b) between the RIP_ANPPcommunity and the response ratio of Simpson to increased precipitation (RIP_Simpson); (c) between the RIP_ANPPcommunity and the response ratio of Pielou to increased precipitation (RIP_Pielou); (d) between the RIP_ANPPcommunity and the species β–diversity of increased precipitation versus non-increased precipitation conditions (βBrayIP); (e) between the RIP_ANPPcommunity and the phylogenetic β–diversity of increased precipitation versus non-increased precipitation conditions (βMNTDIP); (f) between the change magnitude of community aboveground net primary production caused by increased precipitation (ΔIP_ANPPcommunity) and the change magnitude of Shannon caused by increased precipitation (ΔIP_Shannon); (g) between the ΔIP_ANPPcommunity and the change magnitude of Simpson caused by increased precipitation (ΔIP_Simpson); (h) between the ΔIP_ANPPcommunity and the change magnitude of Pielou caused by increased precipitation (ΔIP_Pielou); (i) between the ΔIP_ANPPcommunity and βBrayIP; and (j) between the ΔIP_ANPPcommunity and βMNTDIP; Figure S35: Venn plots of variation partitioning analysis, showing the shared and exclusive effects of (a) RIP_α-species (i.e., the response ratio of species richness, Shannon, Simpson and/or Pielou to increased precipitation), RIP_α-phylo (i.e., the response ratio of Faith’s phylogenetic diversity and/or mean nearest taxon distance to increased precipitation), βBray (i.e., species β–diversity of increased precipitation versus non-increased precipitation conditions) and βMNTD (i.e., phylogenetic β–diversity of increased precipitation versus non-increased precipitation conditions) on the response ratio of community aboveground net primary production to increased precipitation (RIP_ANPPcommunity); and (b) ΔIP_α-species (i.e., the change magnitude of species richness, Shannon, Simpson and/or Pielou caused by increased precipitation), ΔIP_α-phylo (i.e., the change magnitude of Faith’s phylogenetic diversity and/or mean nearest taxon distance caused by increased precipitation), βBray (i.e., species β–diversity of increased precipitation versus non-increased precipitation conditions) and βMNTD (i.e., phylogenetic β–diversity of increased precipitation versus non-increased precipitation conditions) on the change magnitude of community aboveground net primary production caused by increased precipitation (ΔIP_ANPPcommunity); Table S1: Repeated-measures analysis of variance was used to estimate the main and interactive effects of experimental warming (W), increased precipitation (IP) and measuring year (Y) on soil temperature (Ts), soil moisture (SM), air temperature (Ta), vapor pressure deficit (VPD), accumulated ≥5 °C daily air temperature (AccT), ratio of growing season precipitation to AccT (GSP/AccT), ammonium nitrogen (NH4+-N), nitrate nitrogen (NO3-N), available phosphorus (AP) and pH.

Author Contributions

Conceptualization, G.F. and J.X.; methodology, G.F.; software, C.Y.; validation, G.F.; formal analysis, G.F. and C.Y.; investigation, J.X.; resources, C.Y.; data curation, G.F.; writing—original draft preparation, G.F. and J.X.; writing—review and editing, G.F. and J.X.; visualization, C.Y.; supervision, C.Y.; project administration, C.Y.; funding acquisition, C.Y. All authors have read and agreed to the published version of the manuscript.

Funding

This research was funded by the Chinese Academy of Sciences Youth Innovation Promotion Association [2020054], the China National Natural Science Foundation [31600432], the Pilot Project of Chinese Academy of Sciences [XDA26050501], the Tibet Autonomous Region Science and Technology Project [XZ202301YD0012C; XZ202202YD0009C; XZ202201ZY0003N; XZ202101ZD0007G; XZ202101ZD0003N], the China National Key Scientific Research Project [2021YFD1000303], and the Construction of Zhongba County Fixed Observation and Experiment Station of First Support System for Agriculture Green Development.

Data Availability Statement

Request from the corresponding authors.

Conflicts of Interest

The authors declare no conflict of interest.

References

  1. Huang, S.; Fu, G. Impacts of climate change and human activities on plant species α–diversity across the Tibetan grasslands. Remote Sens. 2023, 15, 2947. [Google Scholar] [CrossRef]
  2. Zha, X.J.; Tian, Y.; Ouzhu; Fu, G. Response of forage nutrient storages to grazing in alpine grasslands. Front. Plant Sci. 2022, 13, 991287. [Google Scholar] [CrossRef] [PubMed]
  3. Fu, G.; Shen, Z.X. Response of alpine plants to nitrogen addition on the Tibetan Plateau: A meta-analysis. J. Plant Growth Regul. 2016, 35, 974–979. [Google Scholar] [CrossRef]
  4. Wang, J.; Li, M.; Yu, C.; Fu, G. The change in environmental variables linked to climate change has a stronger effect on aboveground net primary productivity than does phenological change in alpine grasslands. Front. Plant Sci. 2022, 12, 798633. [Google Scholar] [CrossRef]
  5. Han, F.; Yu, C.; Fu, G. Asymmetric warming among elevations may homogenize plant α–diversity and aboveground net primary production of alpine grasslands. Front. Ecol. Evol. 2023, 11, 1126651. [Google Scholar] [CrossRef]
  6. Peng, F.; Xue, X.; Xu, M.H.; You, Q.G.; Jian, G.; Ma, S.X. Warming-induced shift towards forbs and grasses and its relation to the carbon sequestration in an alpine meadow. Environ. Res. Lett. 2017, 12, 044010. [Google Scholar] [CrossRef]
  7. Walker, M.D.; Wahren, C.H.; Hollister, R.D.; Henry, G.H.R.; Ahlquist, L.E.; Alatalo, J.M.; Bret-Harte, M.S.; Calef, M.P.; Callaghan, T.V.; Carroll, A.B.; et al. Plant community responses to experimental warming across the tundra biome. Proc. Natl. Acad. Sci. USA 2006, 103, 1342–1346. [Google Scholar] [CrossRef] [PubMed]
  8. Beier, C.; Beierkuhnlein, C.; Wohlgemuth, T.; Penuelas, J.; Emmett, B.; Korner, C.; de Boeck, H.J.; Christensen, J.H.; Leuzinger, S.; Janssens, I.A.; et al. Precipitation manipulation experiments-challenges and recommendations for the future. Ecol. Lett. 2012, 15, 899–911. [Google Scholar] [CrossRef]
  9. Robertson, T.R.; Bell, C.W.; Zak, J.C.; Tissue, D.T. Precipitation timing and magnitude differentially affect aboveground annual net primary productivity in three perennial species in a Chihuahuan Desert grassland. New Phytol. 2009, 181, 230–242. [Google Scholar] [CrossRef] [PubMed]
  10. Fu, G.; Shen, Z.X.; Zhang, X.Z. Increased precipitation has stronger effects on plant production of an alpine meadow than does experimental warming in the Northern Tibetan Plateau. Agric. For. Meteorol. 2018, 249, 11–21. [Google Scholar] [CrossRef]
  11. Li, G.Y.; Liu, Y.Z.; Frelich, L.E.; Sun, S.C. Experimental warming induces degradation of a Tibetan alpine meadow through trophic interactions. J. Appl. Ecol. 2011, 48, 659–667. [Google Scholar] [CrossRef]
  12. Wang, S.P.; Duan, J.C.; Xu, G.P.; Wang, Y.F.; Zhang, Z.H.; Rui, Y.C.; Luo, C.Y.; Xu, B.; Zhu, X.X.; Chang, X.F.; et al. Effects of warming and grazing on soil N availability, species composition, and ANPP in an alpine meadow. Ecology 2012, 93, 2365–2376. [Google Scholar] [CrossRef] [PubMed]
  13. Yang, Y.; Hopping, K.A.; Wang, G.X.; Chen, J.; Peng, A.H.; Klein, J.A. Permafrost and drought regulate vulnerability of Tibetan Plateau grasslands to warming. Ecosphere 2018, 9, e02233. [Google Scholar] [CrossRef]
  14. Klein, J.A.; Harte, J.; Zhao, X.Q. Experimental warming causes large and rapid species loss, dampened by simulated grazing, on the Tibetan Plateau. Ecol. Lett. 2004, 7, 1170–1179. [Google Scholar] [CrossRef]
  15. Han, F.; Yu, C.; Fu, G. Temperature sensitivities of aboveground net primary production, species and phylogenetic diversity do not increase with increasing elevation in alpine grasslands. Global Ecol. Conserv. 2023, 43, e02464. [Google Scholar] [CrossRef]
  16. Rustad, L.E.; Campbell, J.L.; Marion, G.M.; Norby, R.J.; Mitchell, M.J.; Hartley, A.E.; Cornelissen, J.H.C.; Gurevitch, J.; Gcte, N. A meta-analysis of the response of soil respiration, net nitrogen mineralization, and aboveground plant growth to experimental ecosystem warming. Oecologia 2001, 126, 543–562. [Google Scholar] [CrossRef] [PubMed]
  17. Han, F.; Yu, C.; Fu, G. Non-growing/growing season non-uniform-warming increases precipitation use efficiency but reduces its temporal stability in an alpine meadow. Front. Plant Sci. 2023, 14, 1090204. [Google Scholar] [CrossRef]
  18. Wang, J.; Yu, C.; Fu, G. Warming reconstructs the elevation distributions of aboveground net primary production, plant species and phylogenetic diversity in alpine grasslands. Ecol. Indic. 2021, 133, 108355. [Google Scholar] [CrossRef]
  19. Wang, J.W.; Yu, C.Q.; Fu, G. Asymmetrical warming between elevations may result in similar plant community composition between elevations in alpine grasslands. Front. Ecol. Evol. 2021, 9, 757943. [Google Scholar] [CrossRef]
  20. Fu, G.; Zhang, H.R.; Sun, W. Response of plant production to growing/non-growing season asymmetric warming in an alpine meadow of the Northern Tibetan Plateau. Sci. Total Environ. 2019, 650, 2666–2673. [Google Scholar] [CrossRef]
  21. Fu, G.; Shen, Z. Asymmetrical warming of growing/non-growing season increases soil respiration during growing season in an alpine meadow. Sci. Total Environ. 2022, 812, 152591. [Google Scholar] [CrossRef]
  22. Zhang, G.; Shen, Z.; Fu, G. Function diversity of soil fungal community has little exclusive effects on the response of aboveground plant production to experimental warming in alpine grasslands. Appl. Soil Ecol. 2021, 168, 104153. [Google Scholar] [CrossRef]
  23. Xu, Z.Z.; Hou, Y.H.; Zhang, L.H.; Liu, T.; Zhou, G.S. Ecosystem responses to warming and watering in typical and desert steppes. Sci. Rep. 2016, 6, 34801. [Google Scholar] [CrossRef]
  24. Ganjurjav, H.; Gao, Q.Z.; Gornish, E.S.; Schwartz, M.W.; Liang, Y.; Cao, X.J.; Zhang, W.N.; Zhang, Y.; Li, W.H.; Wan, Y.F.; et al. Differential response of alpine steppe and alpine meadow to climate warming in the central Qinghai-Tibetan Plateau. Agric. For. Meteorol. 2016, 223, 233–240. [Google Scholar] [CrossRef]
  25. Jiang, Y.B.; Fan, M.; Zhang, Y.J. Effect of short-term warming on plant community features of alpine meadow in Northern Tibet. Chin. J. Ecol. 2017, 36, 616–622. [Google Scholar]
  26. Singh, S.P.; Gumber, S.; Singh, R.D.; Singh, G. How many tree species are in the Himalayan treelines and how are they distributed? Trop. Ecol. 2020, 61, 317–327. [Google Scholar] [CrossRef]
  27. Trisos, C.H.; Merow, C.; Pigot, A.L. The projected timing of abrupt ecological disruption from climate change. Nature 2020, 580, 496–501. [Google Scholar] [CrossRef] [PubMed]
  28. Stuart Chapin, F., III; Diaz, S. Interactions between changing climate and biodiversity: Shaping humanity’s future COMMENT. Proc. Natl. Acad. Sci. USA 2020, 117, 6295–6296. [Google Scholar] [CrossRef]
  29. Lu, H.L.; Liu, G.F. Trends in temperature and precipitation on the Tibetan Plateau, 1961–2005. Clim. Res. 2010, 43, 179–190. [Google Scholar] [CrossRef]
  30. Diffenbaugh, N.S.; Field, C.B. Changes in ecologically critical terrestrial climate conditions. Science 2013, 341, 486–492. [Google Scholar] [CrossRef]
  31. Ganjurjav, H.; Gao, Q.Z.; Zhang, W.N.; Liang, Y.; Li, Y.W.; Cao, X.J.; Wan, Y.F.; Li, Y.; Danjiu, L.B. Effects of warming on CO2 fluxes in an alpine meadow ecosystem on the central Qinghai-Tibetan Plateau. PLoS ONE 2015, 10, e0132044. [Google Scholar] [CrossRef]
  32. Zhang, T.; Guo, R.; Gao, S.; Guo, J.X.; Sun, W. Responses of Plant Community Composition and Biomass Production to Warming and Nitrogen Deposition in a Temperate Meadow Ecosystem. PLoS ONE 2015, 10, e0123160. [Google Scholar] [CrossRef] [PubMed]
  33. Sun, W.; Li, S.; Wang, J.; Fu, G. Effects of grazing on plant species and phylogenetic diversity in alpine grasslands, Northern Tibet. Ecol. Eng. 2021, 170, 106331. [Google Scholar] [CrossRef]
  34. Tian, Y.; Fu, G. Quantifying plant species α–diversity using normalized difference vegetation index and climate data in alpine grasslands. Remote Sens. 2022, 14, 5007. [Google Scholar] [CrossRef]
  35. Yu, C.Q.; Wang, J.W.; Shen, Z.X.; Fu, G. Effects of experimental warming and increased precipitation on soil respiration in an alpine meadow in the Northern Tibetan Plateau. Sci. Total Environ. 2019, 647, 1490–1497. [Google Scholar] [CrossRef]
  36. Eisenhut, M.; Roell, M.S.; Weber, A.P.M. Mechanistic understanding of photorespiration paves the way to a new green revolution. New Phytol. 2019, 223, 1762–1769. [Google Scholar] [CrossRef] [PubMed]
  37. Grant, K.; Kreyling, J.; Beierkuhnlein, C.; Jentsch, A. Importance of seasonality for the response of a mesic temperate grassland to increased precipitation variability and warming. Ecosystems 2017, 20, 1454–1467. [Google Scholar] [CrossRef]
  38. Grime, J.P.; Fridley, J.D.; Askew, A.P.; Thompson, K.; Hodgson, J.G.; Bennett, C.R. Long-term resistance to simulated climate change in an infertile grassland. Proc. Natl. Acad. Sci. USA 2008, 105, 10028–10032. [Google Scholar] [CrossRef]
  39. Wang, Z.; Luo, T.X.; Li, R.C.; Tang, Y.H.; Du, M.Y. Causes for the unimodal pattern of biomass and productivity in alpine grasslands along a large altitudinal gradient in semi-arid regions. J. Veg. Sci. 2013, 24, 189–201. [Google Scholar] [CrossRef]
  40. Zhang, X.Z.; Shen, Z.X.; Fu, G. A meta-analysis of the effects of experimental warming on soil carbon and nitrogen dynamics on the Tibetan Plateau. Appl. Soil Ecol. 2015, 87, 32–38. [Google Scholar] [CrossRef]
  41. Fu, G.; Shen, Z.X.; Sun, W.; Zhong, Z.M.; Zhang, X.Z.; Zhou, Y.T. A meta-analysis of the effects of experimental warming on plant physiology and growth on the Tibetan Plateau. J. Plant Growth Regul. 2015, 34, 57–65. [Google Scholar] [CrossRef]
  42. Fu, G.; Shen, Z.X. Response of alpine soils to nitrogen addition on the Tibetan Plateau: A meta-analysis. Appl. Soil Ecol. 2017, 114, 99–104. [Google Scholar] [CrossRef]
  43. Gherardi, L.A.; Sala, O.E.; Yahdjian, L. Preference for different inorganic nitrogen forms among plant functional types and species of the Patagonian steppe. Oecologia 2013, 173, 1075–1081. [Google Scholar] [CrossRef]
  44. Zhang, L.; Zhu, T.B.; Liu, X.; Nie, M.; Xu, X.L.; Zhou, S.R. Limited inorganic N niche partitioning by nine alpine plant species after long-term nitrogen addition. Sci. Total Environ. 2020, 718, 137270. [Google Scholar] [CrossRef] [PubMed]
  45. Hoeppner, S.S.; Dukes, J.S. Interactive responses of old-field plant growth and composition to warming and precipitation. Global Chang. Biol. 2012, 18, 1754–1768. [Google Scholar] [CrossRef]
  46. Broeckx, L.S.; Verlinden, M.S.; Berhongaray, G.; Zona, D.; Fichot, R.; Ceulemans, R. The effect of a dry spring on seasonal carbon allocation and vegetation dynamics in a poplar bioenergy plantation. Glob. Chang. Biol. Bioenergy 2014, 6, 473–487. [Google Scholar] [CrossRef]
  47. Li, X.G.; Zhu, Z.H.; Zhou, X.S.; Yuan, F.R.; Fan, R.J.; Xu, M.L. Effects of clipping, fertilizing and watering on the relationship between species diversity, functional diversity and primary productivity in alpine meadow of China. Chin. J. Plant Ecol. 2011, 35, 1136–1147. [Google Scholar] [CrossRef][Green Version]
  48. Zavaleta, E.S.; Shaw, M.R.; Chiariello, N.R.; Mooney, H.A.; Field, C.B. Additive effects of simulated climate changes, elevated CO2, and nitrogen deposition on grassland diversity. Proc. Natl. Acad. Sci. USA 2003, 100, 7650–7654. [Google Scholar] [CrossRef]
  49. Collins, S.L.; Koerner, S.E.; Plaut, J.A.; Okie, J.G.; Brese, D.; Calabrese, L.B.; Carvajal, A.; Evansen, R.J.; Nonaka, E. Stability of tallgrass prairie during a 19-year increase in growing season precipitation. Funct. Ecol. 2012, 26, 1450–1459. [Google Scholar] [CrossRef]
  50. Shen, Z.X.; Zhou, X.M.; Chen, Z.Z.; Zhou, H.K. Response of plant groups to simulated rainfall and nitrogen supply in alpine Kobresia Humilis Meadow. J. Plant Ecol. 2002, 26, 288–294. [Google Scholar]
  51. Hou, Y.H.; Zhou, G.S.; Xu, Z.Z.; Liu, T.; Zhang, X.S. Interactive effects of warming and increased precipitation on community structure and composition in an annual forb dominated desert steppe. PLoS ONE 2013, 8, e70114. [Google Scholar] [CrossRef] [PubMed]
  52. Zavaleta, E.S.; Shaw, M.R.; Chiariello, N.R.; Thomas, B.D.; Cleland, E.E.; Field, C.B.; Mooney, H.A. Grassland responses to three years of elevated temperature, CO2, precipitation, and N deposition. Ecol. Monogr. 2003, 73, 585–604. [Google Scholar] [CrossRef]
  53. Shi, Y.N.; Zhong, M.Y.; Li, J.J.; Suo, N.J.; Ga, Z.T.; Shao, X.Q. Response of alpine Stipa purpurea meadow community to combination increase of temperature and rainfall after removal of dominant species. Grassl. Turf. 2017, 37, 54–60. [Google Scholar]
  54. Yang, H.J.; Wu, M.Y.; Liu, W.X.; Zhang, Z.; Zhang, N.L.; Wan, S.Q. Community structure and composition in response to climate change in a temperate steppe. Glob. Chang. Biol. 2011, 17, 452–465. [Google Scholar] [CrossRef]
  55. Huang, S.; Zha, X.; Fu, G. Affecting factors of plant phyllosphere microbial community and their responses to climatic warming—A Review. Plants 2023, 12, 2891. [Google Scholar] [CrossRef]
  56. Yu, C.Q.; Han, F.S.; Fu, G. Effects of 7 years experimental warming on soil bacterial and fungal community structure in the Northern Tibet alpine meadow at three elevations. Sci. Total Environ. 2019, 655, 814–822. [Google Scholar] [CrossRef]
  57. Zhang, H.; Fu, G. Responses of plant, soil bacterial and fungal communities to grazing vary with pasture seasons and grassland types, northern Tibet. Land Degrad. Dev. 2021, 32, 1821–1832. [Google Scholar] [CrossRef]
  58. Zhong, Z.; Fu, G. Response of soil fungal species, phylogenetic and functional diversity to diurnal asymmetric warming in an alpine agricultural ecosystem. Agric. Ecosyst. Environ. 2022, 335, 107993. [Google Scholar] [CrossRef]
  59. Shi, Y.; Wang, Y.; Ma, Y.; Ma, W.; Liang, C.; Flynn, D.F.B.; Schmid, B.; Fang, J.; He, J.S. Field-based observations of regional-scale, temporal variation in net primary production in Tibetan alpine grasslands. Biogeosciences 2014, 11, 2003–2016. [Google Scholar] [CrossRef]
  60. Yu, C.Q.; Shen, Z.X.; Zhang, X.Z.; Sun, W.; Fu, G. Response of soil C and N, dissolved organic C and N, and inorganic N to short-term experimental warming in an Alpine meadow on the Tibetan Plateau. Sci. World J. 2014, 2014, 152576. [Google Scholar] [CrossRef]
  61. Dai, E.; Zhang, G.; Fu, G.; Zha, X. Can meteorological data and normalized difference vegetation index be used to quantify soil pH in grasslands? Front. Ecol. Evol. 2023, 11, 1206581. [Google Scholar] [CrossRef]
  62. Sun, W.; Li, S.; Zhang, G.; Fu, G.; Qi, H.; Li, T. Effects of climate change and anthropogenic activities on soil pH in grassland regions on the Tibetan Plateau. Glob. Ecol. Conserv. 2023, 45, e02532. [Google Scholar] [CrossRef]
  63. Hedges, L.V.; Gurevitch, J.; Curtis, P.S. The meta-analysis of response ratios in experimental ecology. Ecology 1999, 80, 1150–1156. [Google Scholar] [CrossRef]
Figure 1. Relationships (a) between the change magnitude of soil temperature caused by increased precipitation (ΔIP_Ts) and increased magnitude of growing season precipitation (ΔIP_GSP); (b) between the increased magnitude of soil moisture caused by increased precipitation (ΔIP_SM) and ΔIP_GSP; (c) between the change magnitude of vapor pressure deficit caused by increased precipitation (ΔIP_VPD) and ΔIP_GSP; (d) between the change magnitude of ratio of growing season precipitation to accumulated ≥5 °C daily air temperature caused by increased precipitation (ΔIP_GSP/AccT) and ΔIP_GSP; (e) between the change magnitude of nitrate nitrogen caused by increased precipitation (ΔIP_NO3–N) and ΔIP_GSP; (f) between the change magnitude of sedge aboveground net primary production caused by increased precipitation (ΔIP_ANPPsedge) and ΔIP_GSP; (g) between the change magnitude of mean nearest taxon distance caused by increased precipitation (ΔIP_MNTD) and ΔIP_GSP; and (h) between the response ratio of mean nearest taxon distance to increased precipitation (RIP_MNTD) and ΔIP_GSP.
Figure 1. Relationships (a) between the change magnitude of soil temperature caused by increased precipitation (ΔIP_Ts) and increased magnitude of growing season precipitation (ΔIP_GSP); (b) between the increased magnitude of soil moisture caused by increased precipitation (ΔIP_SM) and ΔIP_GSP; (c) between the change magnitude of vapor pressure deficit caused by increased precipitation (ΔIP_VPD) and ΔIP_GSP; (d) between the change magnitude of ratio of growing season precipitation to accumulated ≥5 °C daily air temperature caused by increased precipitation (ΔIP_GSP/AccT) and ΔIP_GSP; (e) between the change magnitude of nitrate nitrogen caused by increased precipitation (ΔIP_NO3–N) and ΔIP_GSP; (f) between the change magnitude of sedge aboveground net primary production caused by increased precipitation (ΔIP_ANPPsedge) and ΔIP_GSP; (g) between the change magnitude of mean nearest taxon distance caused by increased precipitation (ΔIP_MNTD) and ΔIP_GSP; and (h) between the response ratio of mean nearest taxon distance to increased precipitation (RIP_MNTD) and ΔIP_GSP.
Plants 12 03017 g001
Figure 2. Relationships (a) between the response ratio of species richness to experimental warming (RW_SR) and increased magnitude of air temperature caused by experimental warming (ΔW_Ta); (b) between the response ratio of Pielou to experimental warming (RW_Pielou) and ΔW_Ta; (c) between the response ratio of Faith’s phylogenetic diversity to experimental warming (RW_PD) and ΔW_Ta; (d) between the response ratio of mean nearest taxon distance to experimental warming (RW_MNTD) and ΔW_Ta; (e) between species β–diversity (βBrayw) and ΔW_Ta; (f) between phylogenetic β–diversity (βMNTDW) and ΔW_Ta; (g) between the response ratio of community aboveground net primary production to experimental warming (RW_ANPPcommunity) and ΔW_Ta; (h) between the response ratio of sedge aboveground net primary production to experimental warming (RW_ANPPsedge) and ΔW_Ta; (i) between the response ratio of graminoid aboveground net primary production to experimental warming (RW_ANPPgraminoid) and ΔW_Ta; and (j) between the response ratio of forb aboveground net primary production to experimental warming (RW_ANPPforb) and ΔW_Ta.
Figure 2. Relationships (a) between the response ratio of species richness to experimental warming (RW_SR) and increased magnitude of air temperature caused by experimental warming (ΔW_Ta); (b) between the response ratio of Pielou to experimental warming (RW_Pielou) and ΔW_Ta; (c) between the response ratio of Faith’s phylogenetic diversity to experimental warming (RW_PD) and ΔW_Ta; (d) between the response ratio of mean nearest taxon distance to experimental warming (RW_MNTD) and ΔW_Ta; (e) between species β–diversity (βBrayw) and ΔW_Ta; (f) between phylogenetic β–diversity (βMNTDW) and ΔW_Ta; (g) between the response ratio of community aboveground net primary production to experimental warming (RW_ANPPcommunity) and ΔW_Ta; (h) between the response ratio of sedge aboveground net primary production to experimental warming (RW_ANPPsedge) and ΔW_Ta; (i) between the response ratio of graminoid aboveground net primary production to experimental warming (RW_ANPPgraminoid) and ΔW_Ta; and (j) between the response ratio of forb aboveground net primary production to experimental warming (RW_ANPPforb) and ΔW_Ta.
Plants 12 03017 g002
Figure 3. Relationships (a) between the response ratio of community aboveground net primary production to experimental warming (RW_ANPPcommunity) and warming duration; (b) between the response ratio of sedge aboveground net primary production to experimental warming (RW_ANPPsedge) and warming duration; (c) between the response ratio of graminoid aboveground net primary production to experimental warming (RW_ANPPgraminoid) and warming duration; (d) between the response ratio of forb aboveground net primary production to experimental warming (RW_ANPPforb) and warming duration; (e) between the response ratio of species richness to experimental warming (RW_SR) and warming duration; (f) between the response ratio of Shannon to experimental warming (RW_Shannon) and warming duration; (g) between the response ratio of Simpson to experimental warming (RW_Simpson) and warming duration; (h) between the response ratio of Faith’s phylogenetic diversity to experimental warming (RW_PD) and warming duration; (i) between the response ratio of mean nearest taxon distance to experimental warming (RW_MNTD) and warming duration; (j) between species β–diversity of warming versus non–warming conditions (βBrayW) and warming duration; and (k) between phylogenetic β–diversity of warming versus non-warming conditions (βMNTDW) and warming duration.
Figure 3. Relationships (a) between the response ratio of community aboveground net primary production to experimental warming (RW_ANPPcommunity) and warming duration; (b) between the response ratio of sedge aboveground net primary production to experimental warming (RW_ANPPsedge) and warming duration; (c) between the response ratio of graminoid aboveground net primary production to experimental warming (RW_ANPPgraminoid) and warming duration; (d) between the response ratio of forb aboveground net primary production to experimental warming (RW_ANPPforb) and warming duration; (e) between the response ratio of species richness to experimental warming (RW_SR) and warming duration; (f) between the response ratio of Shannon to experimental warming (RW_Shannon) and warming duration; (g) between the response ratio of Simpson to experimental warming (RW_Simpson) and warming duration; (h) between the response ratio of Faith’s phylogenetic diversity to experimental warming (RW_PD) and warming duration; (i) between the response ratio of mean nearest taxon distance to experimental warming (RW_MNTD) and warming duration; (j) between species β–diversity of warming versus non–warming conditions (βBrayW) and warming duration; and (k) between phylogenetic β–diversity of warming versus non-warming conditions (βMNTDW) and warming duration.
Plants 12 03017 g003
Figure 4. Venn plots of variation partitioning analysis, showing the shared and exclusive effects of warming duration, ΔW_T&W (i.e., the change magnitude of air and/or soil temperature, soil moisture, vapor pressure deficit and/or the ratio of growing season precipitation to accumulated ≥5 °C daily air temperature caused by experimental warming), ΔW_N&P (i.e., the change magnitude of ammonium nitrogen, nitrate nitrogen, and/or available phosphorus caused by experimental warming) and ΔW_pH (i.e., the change magnitude of soil pH caused by experimental warming) on (a) the response ratio of species richness to experimental warming (RW_SR); (b) the response ratio of Shannon to experimental warming (RW_Shannon); (c) the response ratio of Simpson to experimental warming (RW_Simpson); (d) the response ratio of Pielou to experimental warming (RW_Pielou); (e) the response ratio of Faith’s phylogenetic diversity to experimental warming (RW_PD); (f) the response ratio of mean nearest taxon distance to experimental warming (RW_MNTD); (g) species β–diversity (βBrayw) between the warming and non–warming conditions; (h) phylogenetic β–diversity (βMNTDw) between the warming and non–warming conditions; (i) the response ratio of community aboveground net primary production to experimental warming (RW_ANPPcommunity); (j) the response ratio of sedge aboveground net primary production to experimental warming (RW_ANPPsedge); (k) the response ratio of graminoid aboveground net primary production to experimental warming (RW_ANPPgraminoid); and (l) the response ratio of forb aboveground net primary production to experimental warming (RW_ANPPforb).
Figure 4. Venn plots of variation partitioning analysis, showing the shared and exclusive effects of warming duration, ΔW_T&W (i.e., the change magnitude of air and/or soil temperature, soil moisture, vapor pressure deficit and/or the ratio of growing season precipitation to accumulated ≥5 °C daily air temperature caused by experimental warming), ΔW_N&P (i.e., the change magnitude of ammonium nitrogen, nitrate nitrogen, and/or available phosphorus caused by experimental warming) and ΔW_pH (i.e., the change magnitude of soil pH caused by experimental warming) on (a) the response ratio of species richness to experimental warming (RW_SR); (b) the response ratio of Shannon to experimental warming (RW_Shannon); (c) the response ratio of Simpson to experimental warming (RW_Simpson); (d) the response ratio of Pielou to experimental warming (RW_Pielou); (e) the response ratio of Faith’s phylogenetic diversity to experimental warming (RW_PD); (f) the response ratio of mean nearest taxon distance to experimental warming (RW_MNTD); (g) species β–diversity (βBrayw) between the warming and non–warming conditions; (h) phylogenetic β–diversity (βMNTDw) between the warming and non–warming conditions; (i) the response ratio of community aboveground net primary production to experimental warming (RW_ANPPcommunity); (j) the response ratio of sedge aboveground net primary production to experimental warming (RW_ANPPsedge); (k) the response ratio of graminoid aboveground net primary production to experimental warming (RW_ANPPgraminoid); and (l) the response ratio of forb aboveground net primary production to experimental warming (RW_ANPPforb).
Plants 12 03017 g004
Figure 5. Relationships (a) between the response ratio of community aboveground net primary production to increased precipitation (RIP_ANPPcommunity) and increased precipitation duration; (b) between the response ratio of sedge aboveground net primary production to increased precipitation (RIP_ANPPsedge) and increased precipitation duration; (c) between the response ratio of graminoid aboveground net primary production to increased precipitation (RIP_ANPPgraminoid) and increased precipitation duration; (d) between the response ratio of species richness to increased precipitation (RIP_SR) and increased precipitation duration; (e) between the response ratio of Pielou to increased precipitation (RIP_Pielou) and increased precipitation duration; (f) between species β–diversity of increased precipitation versus non–increased precipitation conditions (βBrayIP) and increased precipitation duration; and (g) between phylogenetic β–diversity of increased precipitation versus non–increased precipitation conditions (βMNTDIP) and increased precipitation duration.
Figure 5. Relationships (a) between the response ratio of community aboveground net primary production to increased precipitation (RIP_ANPPcommunity) and increased precipitation duration; (b) between the response ratio of sedge aboveground net primary production to increased precipitation (RIP_ANPPsedge) and increased precipitation duration; (c) between the response ratio of graminoid aboveground net primary production to increased precipitation (RIP_ANPPgraminoid) and increased precipitation duration; (d) between the response ratio of species richness to increased precipitation (RIP_SR) and increased precipitation duration; (e) between the response ratio of Pielou to increased precipitation (RIP_Pielou) and increased precipitation duration; (f) between species β–diversity of increased precipitation versus non–increased precipitation conditions (βBrayIP) and increased precipitation duration; and (g) between phylogenetic β–diversity of increased precipitation versus non–increased precipitation conditions (βMNTDIP) and increased precipitation duration.
Plants 12 03017 g005
Figure 6. Venn plots of variation partitioning analysis, showing the shared and exclusive effects of increased precipitation duration, ΔIP_T&W (i.e., the change magnitude of air and/or soil temperature, soil moisture, vapor pressure deficit and/or the ratio of growing season precipitation to accumulated ≥5 °C daily air temperature caused by increased precipitation), ΔIP_N&P (i.e., the change magnitude of ammonium nitrogen, nitrate nitrogen, and/or available phosphorus caused by increased precipitation) and ΔIP_pH (i.e., the change magnitude of soil pH caused by increased precipitation) on (a) the response ratio of species richness to increased precipitation (RIP_SR); (b) the response ratio of Shannon to increased precipitation (RIP_Shannon); (c) the response ratio of Simpson to increased precipitation (RIP_Simpson); (d) the response ratio of Pielou to increased precipitation (RIP_Pielou); (e) the response ratio of Faith’s phylogenetic diversity to increased precipitation (RIP_PD); (f) the response ratio of mean nearest taxon distance to increased precipitation (RIP_MNTD); (g) species β–diversity (βBrayw) between the increased precipitation and non–increased precipitation conditions; (h) phylogenetic β–diversity (βMNTDw) between the increased precipitation and non–increased precipitation conditions; (i) the response ratio of community aboveground net primary production to increased precipitation (RIP_ANPPcommunity); (j) the response ratio of sedge aboveground net primary production to increased precipitation (RIP_ANPPsedge); (k) the response ratio of graminoid aboveground net primary production to increased precipitation (RIP_ANPPgraminoid); and (l) the response ratio of forb aboveground net primary production to increased precipitation (RIP_ANPPforb).
Figure 6. Venn plots of variation partitioning analysis, showing the shared and exclusive effects of increased precipitation duration, ΔIP_T&W (i.e., the change magnitude of air and/or soil temperature, soil moisture, vapor pressure deficit and/or the ratio of growing season precipitation to accumulated ≥5 °C daily air temperature caused by increased precipitation), ΔIP_N&P (i.e., the change magnitude of ammonium nitrogen, nitrate nitrogen, and/or available phosphorus caused by increased precipitation) and ΔIP_pH (i.e., the change magnitude of soil pH caused by increased precipitation) on (a) the response ratio of species richness to increased precipitation (RIP_SR); (b) the response ratio of Shannon to increased precipitation (RIP_Shannon); (c) the response ratio of Simpson to increased precipitation (RIP_Simpson); (d) the response ratio of Pielou to increased precipitation (RIP_Pielou); (e) the response ratio of Faith’s phylogenetic diversity to increased precipitation (RIP_PD); (f) the response ratio of mean nearest taxon distance to increased precipitation (RIP_MNTD); (g) species β–diversity (βBrayw) between the increased precipitation and non–increased precipitation conditions; (h) phylogenetic β–diversity (βMNTDw) between the increased precipitation and non–increased precipitation conditions; (i) the response ratio of community aboveground net primary production to increased precipitation (RIP_ANPPcommunity); (j) the response ratio of sedge aboveground net primary production to increased precipitation (RIP_ANPPsedge); (k) the response ratio of graminoid aboveground net primary production to increased precipitation (RIP_ANPPgraminoid); and (l) the response ratio of forb aboveground net primary production to increased precipitation (RIP_ANPPforb).
Plants 12 03017 g006
Figure 7. Venn plots of variation partitioning analysis, showing (a) the shared and exclusive effects of durationW (warming duration), ΔW_Env (the change magnitude of soil temperature, air temperature, soil moisture, vapor pressure deficit, ratio of growing season precipitation to accumulated ≥5 °C daily air temperature, ammonium nitrogen, nitrate nitrogen, available phosphorus, and/or pH caused by experimental warming), RW_α–diversity (the response ratio of species richness, Shannon, Simpson, Pielou, Faith’s phylogenetic diversity and/or mean nearest taxon distance to experimental warming) and βBrayw&βMNTDw (species and phylogenetic β–diversity of warming versus non–warming conditions) on the response ratio of community aboveground net primary production to experimental warming (RW_ANPPcommunity); (b) the shared and exclusive effects of durationw, ΔW_Env, ΔW_α–diversity (the change magnitude of species richness, Shannon, Simpson, Pielou, Faith’s phylogenetic diversity and/or mean nearest taxon distance caused by experimental warming) and βBrayW&ΒmntdW on the change magnitude of community aboveground net primary production caused by experimental warming (ΔW_ANPPcommunity); (c) the shared and exclusive effects of durationIP (increased precipitation duration), ΔIP_Env (the change magnitude of soil temperature, air temperature, soil moisture, vapor pressure deficit, ratio of growing season precipitation to accumulated ≥5 °C daily air temperature, ammonium nitrogen, nitrate nitrogen, available phosphorus, and/or pH caused by increased precipitation), RIP_α–diversity (the response ratio of species richness, Shannon, Simpson, Pielou, Faith’s phylogenetic diversity, and/or mean nearest taxon distance to increased precipitation) and βBrayIP&ΒmntdIP (species and phylogenetic β–diversity of increased precipitation versus non–increased precipitation conditions) on the response ratio of community aboveground net primary production to increased precipitation (RIP_ANPPcommunity); and (d) the shared and exclusive effects of durationIP, ΔIP_Env, ΔIP_α–diversity (the change magnitude of species richness, Shannon, Simpson, Pielou, Faith’s phylogenetic diversity, and/or mean nearest taxon distance caused by increased precipitation) and βBrayIP&ΒMNTDIP on the change magnitude of community aboveground net primary production caused by increased precipitation (ΔIP_ANPPcommunity).
Figure 7. Venn plots of variation partitioning analysis, showing (a) the shared and exclusive effects of durationW (warming duration), ΔW_Env (the change magnitude of soil temperature, air temperature, soil moisture, vapor pressure deficit, ratio of growing season precipitation to accumulated ≥5 °C daily air temperature, ammonium nitrogen, nitrate nitrogen, available phosphorus, and/or pH caused by experimental warming), RW_α–diversity (the response ratio of species richness, Shannon, Simpson, Pielou, Faith’s phylogenetic diversity and/or mean nearest taxon distance to experimental warming) and βBrayw&βMNTDw (species and phylogenetic β–diversity of warming versus non–warming conditions) on the response ratio of community aboveground net primary production to experimental warming (RW_ANPPcommunity); (b) the shared and exclusive effects of durationw, ΔW_Env, ΔW_α–diversity (the change magnitude of species richness, Shannon, Simpson, Pielou, Faith’s phylogenetic diversity and/or mean nearest taxon distance caused by experimental warming) and βBrayW&ΒmntdW on the change magnitude of community aboveground net primary production caused by experimental warming (ΔW_ANPPcommunity); (c) the shared and exclusive effects of durationIP (increased precipitation duration), ΔIP_Env (the change magnitude of soil temperature, air temperature, soil moisture, vapor pressure deficit, ratio of growing season precipitation to accumulated ≥5 °C daily air temperature, ammonium nitrogen, nitrate nitrogen, available phosphorus, and/or pH caused by increased precipitation), RIP_α–diversity (the response ratio of species richness, Shannon, Simpson, Pielou, Faith’s phylogenetic diversity, and/or mean nearest taxon distance to increased precipitation) and βBrayIP&ΒmntdIP (species and phylogenetic β–diversity of increased precipitation versus non–increased precipitation conditions) on the response ratio of community aboveground net primary production to increased precipitation (RIP_ANPPcommunity); and (d) the shared and exclusive effects of durationIP, ΔIP_Env, ΔIP_α–diversity (the change magnitude of species richness, Shannon, Simpson, Pielou, Faith’s phylogenetic diversity, and/or mean nearest taxon distance caused by increased precipitation) and βBrayIP&ΒMNTDIP on the change magnitude of community aboveground net primary production caused by increased precipitation (ΔIP_ANPPcommunity).
Plants 12 03017 g007
Table 1. Repeated-measures analysis of variance was used to estimate the main and interactive effects of experimental warming (W), increased precipitation (IP), and measuring year (Y) on aboveground net primary production at community level (ANPPcommunity), sedge ANPP (ANPPsedge), graminoid ANPP (ANPPgraminoid), forb ANPP (ANPPforb), species richness (SR), Shannon, Simpson, Pielou, and Faith’s phylogenetic diversity (PD), and mean nearest taxon distance (MNTD).
Table 1. Repeated-measures analysis of variance was used to estimate the main and interactive effects of experimental warming (W), increased precipitation (IP), and measuring year (Y) on aboveground net primary production at community level (ANPPcommunity), sedge ANPP (ANPPsedge), graminoid ANPP (ANPPgraminoid), forb ANPP (ANPPforb), species richness (SR), Shannon, Simpson, Pielou, and Faith’s phylogenetic diversity (PD), and mean nearest taxon distance (MNTD).
ModelANPPcommunityANPPsedgeANPPgraminoidANPPforbSRShannonSimpsonPielouPDMNTD
Warming (W)1.004.00 *1.004.00 *15.00 ***5.00 *2.00 1.00 12.00 ***4.00 *
Precipitation (IP)3.00 +2.001.001.000.000.00 0.00 0.00 0.00 1.00
Year (Y)43.00 ***7.00 ***18.00 ***11.00 ***38.00 ***25.00 ***16.00 ***4.00 **19.00 ***23.00 ***
W × IP0.001.001.001.001.001.00 1.00 1.00 0.00 1.00
W × Y2.001.001.006.00 ***4.00 ***3.00 **2.00 +1.00 4.00 ***2.00 *
IP × Y3.00 **3.00 **1.000.001.001.00 1.00 1.00 1.00 1.00
W × IP × Y1.001.001.000.001.002.00 +1.00 1.00 1.00 2.00 *
+, *, **, and *** indicate p < 0.10, p < 0.05, p < 0.01, and p < 0.001, respectively.
Table 2. Permutational multivariate analysis of variance was used to estimate the main and interactive effects of experimental warming (W), increased precipitation (IP), and measuring year (Y) on species composition and phylogenetic composition.
Table 2. Permutational multivariate analysis of variance was used to estimate the main and interactive effects of experimental warming (W), increased precipitation (IP), and measuring year (Y) on species composition and phylogenetic composition.
ModelSpecies CompositionPhylogenetic Structure
Warming (W)5.82 **10.78 **
Precipitation (IP)1.96 *6.21 **
Year (Y)29.67 **52.89 **
W × IP2.89 **7.19 **
W × Y1.91 **2.08 *
IP × Y0.79−0.16
W × IP × Y0.61 0.30
* and ** indicate p < 0.05 and p < 0.01, respectively.
Disclaimer/Publisher’s Note: The statements, opinions and data contained in all publications are solely those of the individual author(s) and contributor(s) and not of MDPI and/or the editor(s). MDPI and/or the editor(s) disclaim responsibility for any injury to people or property resulting from any ideas, methods, instructions or products referred to in the content.

Share and Cite

MDPI and ACS Style

Xiao, J.; Yu, C.; Fu, G. Response of Aboveground Net Primary Production, Species and Phylogenetic Diversity to Warming and Increased Precipitation in an Alpine Meadow. Plants 2023, 12, 3017. https://doi.org/10.3390/plants12173017

AMA Style

Xiao J, Yu C, Fu G. Response of Aboveground Net Primary Production, Species and Phylogenetic Diversity to Warming and Increased Precipitation in an Alpine Meadow. Plants. 2023; 12(17):3017. https://doi.org/10.3390/plants12173017

Chicago/Turabian Style

Xiao, Jianyu, Chengqun Yu, and Gang Fu. 2023. "Response of Aboveground Net Primary Production, Species and Phylogenetic Diversity to Warming and Increased Precipitation in an Alpine Meadow" Plants 12, no. 17: 3017. https://doi.org/10.3390/plants12173017

APA Style

Xiao, J., Yu, C., & Fu, G. (2023). Response of Aboveground Net Primary Production, Species and Phylogenetic Diversity to Warming and Increased Precipitation in an Alpine Meadow. Plants, 12(17), 3017. https://doi.org/10.3390/plants12173017

Note that from the first issue of 2016, this journal uses article numbers instead of page numbers. See further details here.

Article Metrics

Back to TopTop