Influence of Fertilization on Growth and Lead Content of Pepper under Lead Stress
Abstract
:1. Introduction
2. Materials and Methods
2.1. Test Materials
2.2. Experimental Design
2.3. Measurements and Methods
2.4. Data Analysis
3. Results
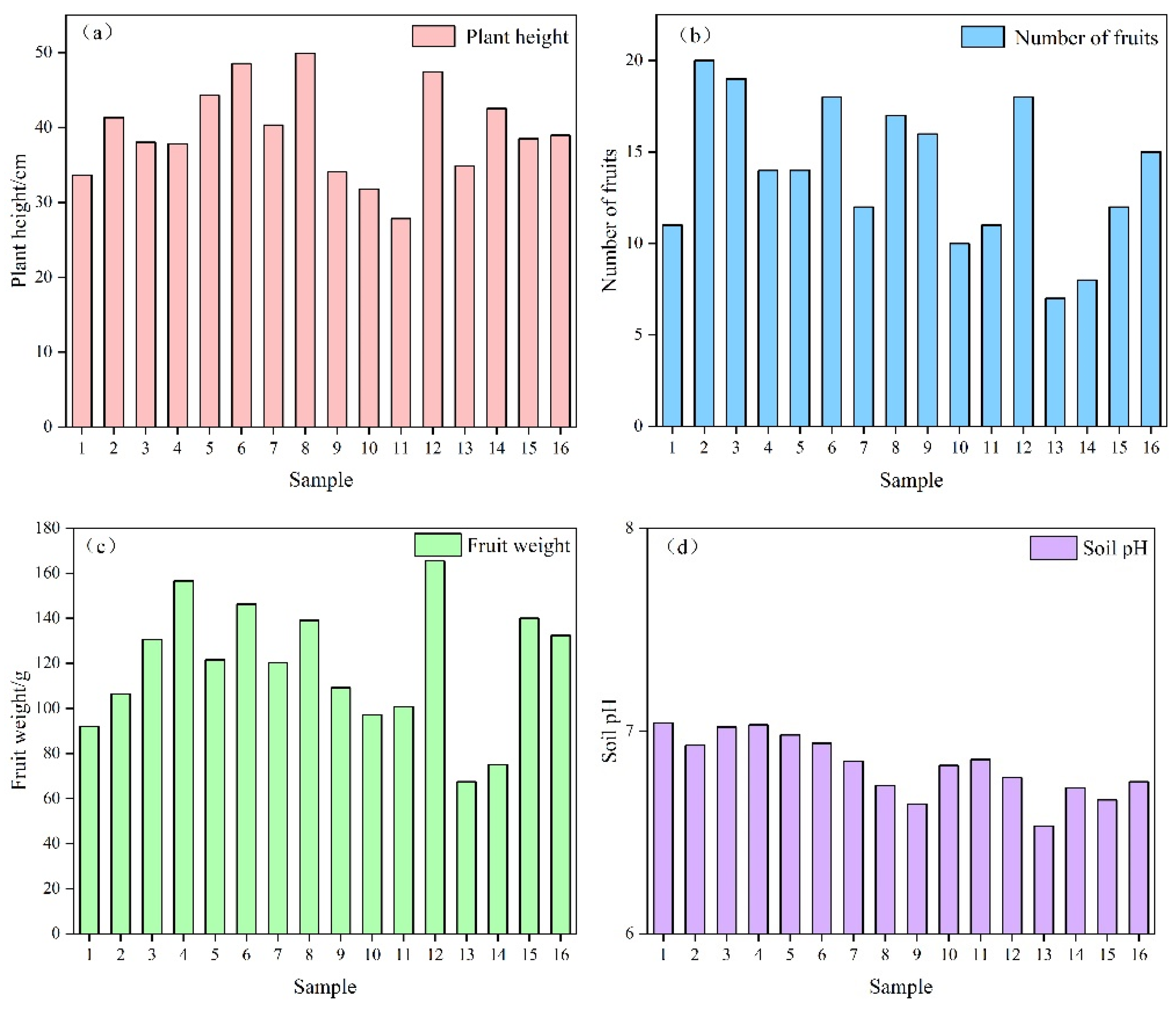
3.1. Effects of Fertilization on Plant Height and Fruit Weight of PLI under Pb Stress
3.2. Analysis of Pb Content in PLI
3.3. Effects of Fertilization on Pb Content in PLI under Pb Stress
3.4. Effect of Fertilization Level on Pb Content in PLI under Pb Stress
4. Discussion
5. Conclusions
Author Contributions
Funding
Institutional Review Board Statement
Informed Consent Statement
Data Availability Statement
Conflicts of Interest
References
- Shaheen, N.; Irfan, N.; Khan, I.N.; Islam, S.; Islam, S.; Ahmed, K. Presence of heavy metals in fruits and vegetables: Health risk implications in bangladesh. Chemosphere 2016, 152, 431–438. [Google Scholar] [CrossRef] [PubMed]
- Khatun, J.; Intekhab, A.; Dhak, D. Effect of uncontrolled fertilization and heavy metal toxicity associated with arsenic(As), lead(Pb) and cadmium (Cd), and possible remediation. Toxicology 2022, 477, 153274. [Google Scholar] [CrossRef]
- Cecchi, M.; Dumat, C.; Alric, A.; Felix-Faure, B.; Pradere, P.; Guiresse, M. Multi-metal contamination of a calcic cambisol by fallout from a lead-recycling plant. Geoderma 2008, 144, 287–298. [Google Scholar] [CrossRef]
- Lipiec, J.; Hatano, R. Quantification of compaction effects on soil physical properties and crop growth. Geoderma 2003, 116, 107–136. [Google Scholar] [CrossRef]
- Kushwaha, A.; Hans, N.; Kumar, S.; Rani, R. A Critical review on speciation, mobilization and toxicity of lead in soil-microbe-plant system and bioremediation strategies. Ecotoxicol. Environ. Saf. 2018, 147, 1035–1045. [Google Scholar] [CrossRef]
- Kopittke, P.M.; Asher, C.J.; Menzies, N.W. Prediction of Pb speciation in concentrated and dilute nutrient solutions. Environ. Pollut. 2008, 153, 548–554. [Google Scholar] [CrossRef] [PubMed]
- Punamiya, P.; Datta, R.; Sarkar, D.; Barber, S.; Patel, M.; Das, P. Symbiotic role of glomus mosseae in phytoextraction of lead in vetiver grass [Chrysopogon zizanioides (L.)]. J. Hazard. Mater. 2010, 177, 465–474. [Google Scholar] [CrossRef]
- Kopittke, P.M.; Asher, C.J.; Blamey, F.P.C.; Auchterlonie, G.J.; Guo, Y.N.; Menzies, N.W. Localization and chemical speciation of Pb in roots of signal grass (Brachiaria decumbens) and rhodes grass (Chloris gayana). Environ. Sci. Technol. 2008, 42, 4595–4599. [Google Scholar] [CrossRef]
- Qin, J.; Zhao, H.; Liu, H.; Dai, M.; Zhao, P.; Chen, X.; Wu, X. The difference of lead accumulation and transport in different ecotypes of miscanthus floridulus. Processes 2022, 10, 2219. [Google Scholar] [CrossRef]
- Basta, N.T.; McGowen, S.L. Evaluation of chemical immobilization treatments for reducing heavy metal transport in a smelter-contaminated soil. Environ. Pollut. 2004, 127, 73–82. [Google Scholar] [CrossRef]
- Jiang, Y.; Zhou, P.; Ma, T.; Adeel, M.; Shakoor, N.; Li, Y.; Li, M.; Guo, M.; Rui, Y. Effects of two Mn-based nanomaterials on soybean antioxidant system and mineral element homeostasis. Environ. Sci. Pollut. Res. 2022, 30, 18880–18889. [Google Scholar] [CrossRef] [PubMed]
- Tu, C.; Zheng, C.R.; Chen, H.M. Effect of applying chemical fertilizers on forms of lead and cadmium in red soil. Chemosphere 2000, 41, 133–138. [Google Scholar] [CrossRef] [PubMed]
- Chen, Q.; Zhang, H.; Ye, J.; Tao, G.; Nimbalkar, S. Corrosion resistance and compressive strength of cemented soil mixed with nano-silica in simulated seawater environment. KSCE J. Civ. Eng. 2023, 27, 1535–1550. [Google Scholar] [CrossRef]
- Han, F.; Wu, L. Industrial Solid Waste Recycling in Western China; Springer: Singapore, 2019; ISBN 9789811380853. [Google Scholar]
- Guo, B.; Hong, C.; Tong, W.; Xu, M.; Huang, C.; Yin, H.; Lin, Y.; Fu, Q. Health Risk Assessment of Heavy Metal Pollution in a Soil-Rice System: A Case Study in the Jin-Qu Basin of China. Sci. Rep. 2020, 10, 11490. [Google Scholar] [CrossRef]
- Aihemaiti, A.; Chen, J.; Hua, Y.; Dong, C.; Wei, X.; Yan, F.; Zhang, Z. Effect of ferrous sulfate modified sludge biochar on the mobility, speciation, fractionation and bioaccumulation of vanadium in contaminated soil from a mining area. J. Hazard. Mater. 2022, 437, 129405. [Google Scholar] [CrossRef]
- Combined Effects of Straw Return with Nitrogen Fertilizer on Ion Balance, Photosynthetic Characteristics, Leaf Water Status and Rice Yield in Saline-Sodic Paddy Fields Research Square. Available online: https://www.researchsquare.com/article/rs-2545065/v1 (accessed on 7 July 2023).
- Chen, G.; Peng, L.; Li, C.; Tu, Y.; Lan, Y.; Wu, C.; Duan, Q.; Zhang, Q.; Yang, H.; Li, T. Effects of potassium application rate on lipid synthesis and eating quality of two rice cultivars. J. Integr. Agric. 2023, 22, 2025–2040. [Google Scholar] [CrossRef]
- Li, Z.; Fan, R.; Peng, X.; Shu, J.; Liu, L.; Wang, J.; Lin, L. Salicylic acid alleviates selenium stress and promotes selenium uptake of grapevine. Physiol. Mol. Biol. Plants 2022, 28, 625–635. [Google Scholar] [CrossRef]
- Peng, L.; Li, X.; Sun, X.; Yang, T.; Zhang, Y.; Gao, Y.; Zhang, X.; Zhao, Y.; He, A.; Zhou, M.; et al. Comprehensive Urumqi screening for potentially toxic metals in soil-dust-plant total environment and evaluation of children’s (0–6 Years) risk-based blood lead levels prediction. Chemosphere 2020, 258, 127342. [Google Scholar] [CrossRef]
- Li, W.; Wang, S.; Wufuer, R.; Duo, J.; Pan, X. Distinct soil microplastic distributions under various farmland-use types around Urumqi, China. Sci. Total Environ. 2023, 857, 159573. [Google Scholar] [CrossRef]
- Keady, T.W.J.; O’Kiely, P. An evaluation of Potassium and nitrogen fertilization of grassland, and date of harvest, on fermentation, effluent production, dry-matter recovery and predicted feeding value of silage. Grass Forage Sci. 1998, 53, 326–337. [Google Scholar] [CrossRef]
- Zhao, D.; Xie, D.; Yin, F.; Liu, L.; Feng, J.; Ashraf, T. Estimation of Pb content using reflectance spectroscopy in farmland soil near metal mines, central China. Remote Sens. 2022, 14, 2420. [Google Scholar] [CrossRef]
- Hu, W.; Guan, Y.; Ji, Y.; Yang, X. Effect of Cutting Styles on Quality, Antioxidant Activity, Membrane Lipid Peroxidation, and Browning in Fresh-Cut Potatoes. Food Biosci. 2021, 44, 101435. [Google Scholar] [CrossRef]
- Tian, D.; Niu, S. A global analysis of soil acidification caused by nitrogen addition. Environ. Res. Lett. 2015, 10, 024019. [Google Scholar] [CrossRef]
- Cui, Y.; Dong, Y.; Li, H.; Wang, Q. Effect of elemental sulphur on solubility of soil heavy metals and their uptake by maize. Environ. Int. 2004, 30, 323–328. [Google Scholar] [CrossRef] [PubMed]
- Agnihotri, P. Effect of Rhizobium, Phosphorus and Sulphur on Yield and Quality of Black Gram (Vigna mungo L.). Ph.D. Thesis, Veer Bahadur Singh Purvanchal University, Jaunpur, India, 2020. [Google Scholar]
- Liu, X.; Ju, Y.; Mandzhieva, S.; Pinskii, D.; Minkina, T.; Rajput, V.D.; Roane, T.; Huang, S.; Li, Y.; Ma, L.Q.; et al. Sporadic Pb accumulation by plants: Influence of soil biogeochemistry, microbial community and physiological mechanisms. J. Hazard. Mater. 2023, 444, 130391. [Google Scholar] [CrossRef]
- Usman, K.; Abu-Dieyeh, M.H.; Zouari, N.; Al-Ghouti, M.A. Lead (Pb) bioaccumulation and antioxidative responses in tetraena qataranse. Sci. Rep. 2020, 10, 17070. [Google Scholar] [CrossRef]
- Li, S.; Li, J.; Zhang, B.; Li, D.; Li, G.; Li, Y. Effect of different organic fertilizers application on growth and environmental risk of nitrate under a vegetable field. Sci. Rep. 2017, 7, 17020. [Google Scholar] [CrossRef]
- Gong, X.; Feng, Y.; Dang, K.; Jiang, Y.; Qi, H.; Feng, B. Linkages of microbial community structure and root exudates: Evidence from microbial nitrogen limitation in soils of crop families. Sci. Total Environ. 2023, 881, 163536. [Google Scholar] [CrossRef] [PubMed]






| Sample | Total nitrogen | Total phosphorus | Total potassium | Available nitrogen | Available phosphorus |
| /g·kg−1 | /g·kg−1 | /g·kg−1 | /mg·kg−1 | /mg·kg−1 | |
| Soil | 9.36 | 1.84 | 1.87 | 80.91 | 42.16 |
| Organic fertilizer | 12.79 | 2.392 | 2.73 | 95.37 | 61.96 |
| Sample | Available potassium | Organic matter | Conductivity | Pb | pH |
| /g·kg−1 | /g·kg−1 | /ms·cm−1 | /mg·kg−1 | ||
| Soil | 0.11 | 127.58 | 2.37 | 15.74 | 7.21 |
| Organic fertilizer | 0.18 | 227.36 | 1.75 | 2.19 | 7.09 |
| Sample | Factor Level | Concentration | ||||||||
|---|---|---|---|---|---|---|---|---|---|---|
| A | B | C | D | E | N | P2O5 | K2O | Sheep Manure | Pb2+ | |
| N | P2O5 | K2O | Sheep Manure | Pb2+ | /g·kg−1 | /g·kg−1 | /g·kg−1 | /g·kg−1 | /mg·kg−1 | |
| 1 | 1 | 1 | 1 | 1 | 1 | 0 | 0 | 0 | 0 | 0 |
| 2 | 1 | 2 | 2 | 2 | 2 | 0 | 0.075 | 0.15 | 3 | 30 |
| 3 | 1 | 3 | 3 | 3 | 3 | 0 | 0.150 | 0.30 | 6 | 100 |
| 4 | 1 | 4 | 4 | 4 | 4 | 0 | 0.225 | 0.45 | 9 | 350 |
| 5 | 2 | 1 | 2 | 3 | 4 | 0.15 | 0 | 0.15 | 6 | 350 |
| 6 | 2 | 2 | 1 | 4 | 3 | 0.15 | 0.075 | 0 | 9 | 100 |
| 7 | 2 | 3 | 4 | 1 | 2 | 0.15 | 0.150 | 0.45 | 0 | 30 |
| 8 | 2 | 4 | 3 | 2 | 1 | 0.15 | 0.225 | 0.30 | 3 | 0 |
| 9 | 3 | 1 | 3 | 4 | 2 | 0.30 | 0 | 0.30 | 9 | 30 |
| 10 | 3 | 2 | 4 | 3 | 1 | 0.30 | 0.075 | 0.45 | 6 | 0 |
| 11 | 3 | 3 | 1 | 2 | 4 | 0.30 | 0.150 | 0 | 3 | 350 |
| 12 | 3 | 4 | 2 | 1 | 3 | 0.30 | 0.225 | 0.15 | 0 | 100 |
| 13 | 4 | 1 | 4 | 2 | 3 | 0.45 | 0 | 0.45 | 3 | 100 |
| 14 | 4 | 2 | 3 | 1 | 4 | 0.45 | 0.075 | 0.30 | 0 | 350 |
| 15 | 4 | 3 | 2 | 4 | 1 | 0.45 | 0.150 | 0.15 | 9 | 0 |
| 16 | 4 | 4 | 1 | 3 | 2 | 0.45 | 0.225 | 0 | 6 | 30 |
| Sample | Parameter | A | B | C | D | E |
|---|---|---|---|---|---|---|
| N | P2O5 | K2O | Sheep Manure | Pb2+ | ||
| Plant height | K1 | 37.708 | 36.717 | 37.242 | 40.983 | 38.433 |
| K2 | 45.758 | 41.033 | 42.892 | 38.475 | 38.675 | |
| K3 | 35.267 | 36.175 | 41.125 | 38.258 | 42.216 | |
| K4 | 38.717 | 43.525 | 36.191 | 39.733 | 38.125 | |
| R | 10.491 | 7.350 | 6.701 | 2.725 | 4.091 | |
| Main and secondary order: A(N) > B(P2O5) > C(K2O) > E(Pb2+) > D(Sheep manure) | ||||||
| Highest level A2 B4 C2 D1 E3 | ||||||
| Minimum level A3 B3 C4 D3 E4 | ||||||
| Fruit weight | K1 | 121.355 | 97.530 | 117.808 | 113.173 | 116.813 |
| K2 | 131.550 | 106.237 | 133.402 | 103.215 | 117.077 | |
| K3 | 118.155 | 122.913 | 113.222 | 120.438 | 127.420 | |
| K4 | 103.767 | 148.148 | 110.395 | 138.002 | 113.518 | |
| R | 27.783 | 50.618 | 23.007 | 34.787 | 13.902 | |
| Main and secondary order: B(P2O5) > D(Sheep manure) > A(N) > C(K2O) > E(Pb2+) | ||||||
| Highest level A2 B4 C2 D4 E3 | ||||||
| Minimum level A4 B1 C4 D2 E4 | ||||||
| Soil pH | K1 | 6.973 | 6.805 | 6.897 | 6.845 | 6.815 |
| K2 | 6.882 | 6.855 | 6.843 | 6.763 | 6.792 | |
| K3 | 6.775 | 6.815 | 6.745 | 6.870 | 6.783 | |
| K4 | 6.665 | 6.820 | 6.810 | 6.817 | 6.905 | |
| R | 0.308 | 0.050 | 0.152 | 0.107 | 0.122 | |
| Main and secondary order: A(N) > C(K2O) > E(Pb2+) > D(Sheep manure) > B(P2O5) | ||||||
| Highest level A1 B2 C1 D3 E4 | ||||||
| Minimum level A4 B1 C3 D2 E3 | ||||||
| Sample | Pb2+ Content/mg·kg−1 | |||
|---|---|---|---|---|
| Root | Stem | Leaf | Fruit | |
| 1 | 0.126 ± 0.014 | 0.249 ± 0.023 | 0.052 ± 0.018 | 0.058 ± 0.004 |
| 2 | 0.104 ± 0.021 | 0.092 ± 0.014 | 0.040 ± 0.006 | 0.034 ± 0.005 |
| 3 | 0.191 ± 0.002 | 0.130 ± 0.028 | 0.039 ± 0.005 | 0.035 ± 0.010 |
| 4 | 0.610 ± 0.017 | 0.181 ± 0.012 | 0.069 ± 0.013 | 0.083 ± 0.002 |
| 5 | 0.455 ± 0.026 | 0.290 ± 0.005 | 0.046 ± 0.009 | 0.085 ± 0.009 |
| 6 | 0.144 ± 0.018 | 0.212 ± 0.029 | 0.039 ± 0.004 | 0.050 ± 0.010 |
| 7 | 0.131 ± 0.036 | 0.195 ± 0.029 | 0.044 ± 0.010 | 0.043 ± 0.003 |
| 8 | 0.104 ± 0.001 | 0.230 ± 0.019 | 0.022 ± 0.012 | 0.046 ± 0.013 |
| 9 | 0.149 ± 0.038 | 0.128 ± 0.026 | 0.031 ± 0.014 | 0.038 ± 0.002 |
| 10 | 0.106 ± 0.004 | 0.133 ± 0.015 | 0.030 ± 0.008 | 0.061 ± 0.010 |
| 11 | 0.295 ± 0.000 | 0.298 ± 0.025 | 0.038 ± 0.008 | 0.067 ± 0.002 |
| 12 | 0.148 ± 0.022 | 0.209 ± 0.020 | 0.045 ± 0.007 | 0.011 ± 0.003 |
| 13 | 0.746 ± 0.103 | 0.102 ± 0.024 | 0.056 ± 0.007 | 0.042 ± 0.009 |
| 14 | 1.086 ± 0.022 | 0.121 ± 0.030 | 0.072 ± 0.011 | 0.033 ± 0.008 |
| 15 | 0.112 ± 0.033 | 0.032 ± 0.009 | 0.060 ± 0.003 | 0.040 ± 0.012 |
| 16 | 0.202 ± 0.012 | 0.054 ± 0.010 | 0.067 ± 0.009 | 0.035 ± 0.014 |
| Min~Max | 0.104~1.086 | 0.032~0.298 | 0.022~0.072 | 0.011~0.085 |
| Sample | Parameter | A | B | C | D | E |
|---|---|---|---|---|---|---|
| N | P2O5 | K2O | Sheep Manure | Pb2+ | ||
| Root | K1 | 0.258 | 0.369 | 0.192 | 0.373 | 0.112 |
| K2 | 0.208 | 0.360 | 0.205 | 0.312 | 0.147 | |
| K3 | 0.175 | 0.182 | 0.383 | 0.238 | 0.307 | |
| K4 | 0.537 | 0.266 | 0.398 | 0.254 | 0.611 | |
| R | 0.362 | 0.187 | 0.206 | 0.135 | 0.499 | |
| Main and secondary order: E(Pb2+) > A(N) > C(K2O) > B(P2O5) > D(Sheep manure) | ||||||
| Highest level A4 B1 C4 D1 E4 | ||||||
| Minimum level A3 B3 C1 D3 E1 | ||||||
| Stem | K1 | 0.163 | 0.192 | 0.203 | 0.194 | 0.161 |
| K2 | 0.232 | 0.140 | 0.156 | 0.180 | 0.117 | |
| K3 | 0.192 | 0.164 | 0.152 | 0.152 | 0.163 | |
| K4 | 0.077 | 0.169 | 0.153 | 0.138 | 0.222 | |
| R | 0.155 | 0.052 | 0.051 | 0.056 | 0.105 | |
| Main and secondary order: A(N) > E(Pb2+) > D(Sheep manure) > B(P2O5) > C(K2O) | ||||||
| Highest level A2 B1 C1 D1 E4 | ||||||
| Minimum level A4 B2 C3 D4 E2 | ||||||
| Leaf | K1 | 0.050 | 0.046 | 0.049 | 0.053 | 0.041 |
| K2 | 0.038 | 0.045 | 0.048 | 0.039 | 0.045 | |
| K3 | 0.036 | 0.045 | 0.041 | 0.045 | 0.045 | |
| K4 | 0.064 | 0.051 | 0.050 | 0.050 | 0.056 | |
| R | 0.028 | 0.006 | 0.009 | 0.014 | 0.015 | |
| Main and secondary order: A(N) > E(Pb2+) > D(Sheep manure) > C(K2O) > B(P2O5) | ||||||
| Highest level A4 B4 C4 D1 E4 | ||||||
| Minimum level A3 B2 C3 D2 E1 | ||||||
| Fruit | K1 | 0.053 | 0.056 | 0.053 | 0.036 | 0.051 |
| K2 | 0.056 | 0.045 | 0.043 | 0.047 | 0.037 | |
| K3 | 0.044 | 0.046 | 0.038 | 0.054 | 0.035 | |
| K4 | 0.038 | 0.044 | 0.057 | 0.053 | 0.067 | |
| R | 0.018 | 0.012 | 0.019 | 0.018 | 0.032 | |
| Main and secondary order: E(Pb2+) > C(K2O) > A(N) = D(Sheep manure) > B(P2O5) | ||||||
| Highest level A2 B1 C4 D3 E4 | ||||||
| Minimum level A4 B4 C3 D1 E3 | ||||||
| Sample | Root | Stem | Leaf | Fruit | ||||
|---|---|---|---|---|---|---|---|---|
| r | p | r | p | r | p | r | p | |
| N | 0.628 | 0.372 | −0.585 | 0.415 | 0.400 | 0.600 | −0.891 | 0.109 |
| P2O5 | −0.713 | 0.287 | −0.272 | 0.728 | 0.674 | 0.326 | −0.813 | 0.187 |
| K2O | 0.925 | 0.075 | −0.804 | 0.196 | −0.126 | 0.874 | 0.103 | 0.897 |
| Sheep manure | −0.907 | 0.093 | −0.990 | 0.010 ** | −0.063 | 0.937 | 0.906 | 0.094 |
| Pb2+ | 0.993 | 0.007 ** | 0.874 | 0.126 | 0.979 | 0.021 * | 0.744 | 0.256 |
Disclaimer/Publisher’s Note: The statements, opinions and data contained in all publications are solely those of the individual author(s) and contributor(s) and not of MDPI and/or the editor(s). MDPI and/or the editor(s) disclaim responsibility for any injury to people or property resulting from any ideas, methods, instructions or products referred to in the content. |
© 2023 by the authors. Licensee MDPI, Basel, Switzerland. This article is an open access article distributed under the terms and conditions of the Creative Commons Attribution (CC BY) license (https://creativecommons.org/licenses/by/4.0/).
Share and Cite
Yu, B.; Xu, D.; Li, Y.; Wang, W. Influence of Fertilization on Growth and Lead Content of Pepper under Lead Stress. Plants 2023, 12, 2960. https://doi.org/10.3390/plants12162960
Yu B, Xu D, Li Y, Wang W. Influence of Fertilization on Growth and Lead Content of Pepper under Lead Stress. Plants. 2023; 12(16):2960. https://doi.org/10.3390/plants12162960
Chicago/Turabian StyleYu, Bingkun, Dongying Xu, Yang Li, and Wenquan Wang. 2023. "Influence of Fertilization on Growth and Lead Content of Pepper under Lead Stress" Plants 12, no. 16: 2960. https://doi.org/10.3390/plants12162960
APA StyleYu, B., Xu, D., Li, Y., & Wang, W. (2023). Influence of Fertilization on Growth and Lead Content of Pepper under Lead Stress. Plants, 12(16), 2960. https://doi.org/10.3390/plants12162960
