Effect Analysis of Hydrogen Peroxide Using Hyperspectral Reflectance in Sorghum [Sorghum bicolor (L.) Moench] under Drought Stress
Abstract
:1. Introduction
2. Results
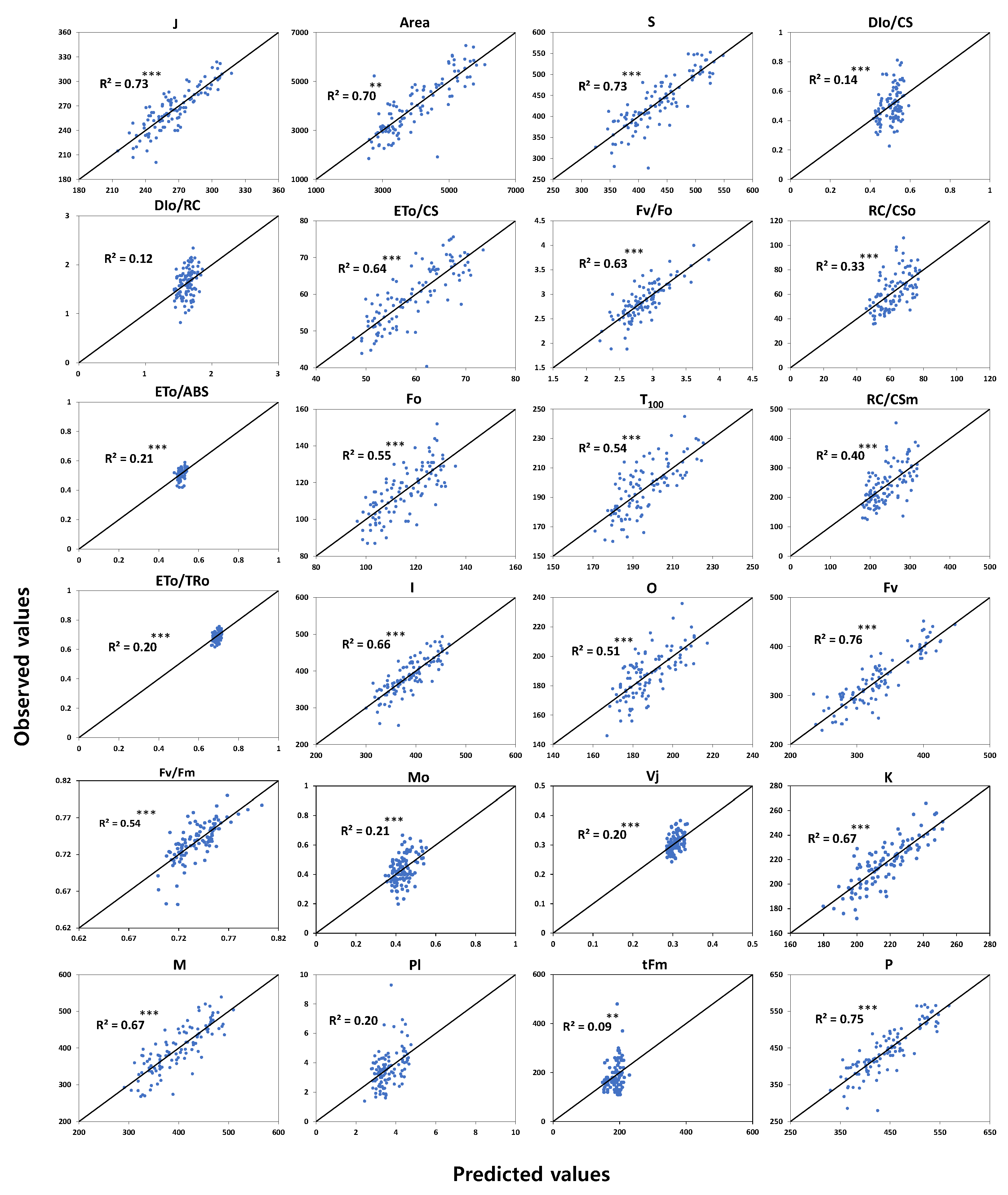
2.1. PLS Analysis Using Physiological Traits and Hyperspectral Data of Sorghum
2.2. Changes in Hyperspectral Reflectance and Vegetation Indices by Hydrogen Peroxide Treatment
3. Discussion
3.1. PLS Analysis Using Physiological Traits and Hyperspectral Data of Sorghum
3.2. Changes in Hyperspectral Reflectance and Vegetation Indices by Hydrogen Peroxide Treatment
4. Materials and Methods
4.1. Sorghum Growth and Hydrogen Peroxide Treatment
4.2. Analysis of Hyperspectral Reflectance and Calculation of Vegetation Indices
4.3. Measurement of Chlorophyll Fluorescence, Photosynthesis, and Water Potential
4.4. Statistical Analysis
5. Conclusions
Supplementary Materials
Author Contributions
Funding
Data Availability Statement
Acknowledgments
Conflicts of Interest
References
- Food and Agriculture Organisation of the United Nation. Year Book; Statistic Series No 135; FAO: Rome, Italy, 2007. [Google Scholar]
- Praveen, M.; Madhusudhana, R.; Anuraguttam, G. Selective genotyping for determining the linkage between SSR markers and a fertility restoration locus in Sorghum bicolor (L.) Moench. Int. J. Curr. Res. 2015, 7, 20459–20461. [Google Scholar]
- Kogan, F.; Guo, W.; Yang, W. Drought and food security prediction from NOAA new generation of operational satellites. Geomat. Nat. Hazards Risk 2019, 10, 651–666. [Google Scholar] [CrossRef]
- Downing, J. Kearney and West Side RECs: Studies of sorghum’s adaptation to drought push the frontiers of crop improvement. Calif. Agric. 2015, 69, 208–209. [Google Scholar] [CrossRef]
- Dimkpa, C.O.; Singh, U.; Bindraban, P.S.; Elmer, W.H.; Gardea-Torresdey, J.L.; White, J.C. Zinc oxide nanoparticles alleviate drought-induced alterations in sorghum performance, nutrient acquisition, and grain fortification. Sci. Total Environ. 2019, 688, 926–934. [Google Scholar] [CrossRef] [PubMed]
- Cassanova, D.; Epema, G.F.; Goudriaan, J. Monitoring rice reflectance at field level for estimating biomass and LAI. Field Crops Res. 1998, 55, 83–92. [Google Scholar] [CrossRef]
- Diker, K.; Bausch, W.C. Potential use of nitrogen reflectance index to estimate plant parameters and yield of maize. Biosyst. Eng. 2003, 85, 437–447. [Google Scholar] [CrossRef]
- Hansen, P.M.; Schjoerring, J.K. Reflectance measurement of canopy biomass and nitrogen status in wheat crops using normalized difference vegetation indices and partial least squares regression. Remote Sens. Environ. 2003, 86, 542–553. [Google Scholar] [CrossRef]
- Bouman, B.A.M. Crop modeling and remote sensing for yield prediction. Neth. J. Agric. Sci. 1995, 43, 143–161. [Google Scholar]
- Nguyen, H.T.; Lee, B.W. Assessment of rice leaf growth and nitrogen status by hyperspectral canopy reflectance and partial least square regression. Eur. J. Agron. 2006, 24, 349–356. [Google Scholar] [CrossRef]
- Hinzman, L.D.; Bauer, M.E.; Daughtry, C.S.T. Effects of nitrogen fertilization on growth and reflectance characteristics of winter wheat. Remote Sens. Environ. 1986, 19, 47–61. [Google Scholar] [CrossRef]
- Thenkabail, P.S.; Smith, R.B.; De Pauw, E. Hyperspectral vegetation indices and their relationships with agricultural crop characteristics. Remote Sens. Environ. 2000, 71, 158–182. [Google Scholar] [CrossRef]
- Shanahan, J.F.; Schepers, J.S.; Francis, D.D.; Varvel, G.E.; Wilhelm, W.W.; Tringe, J.M.; Schemmer, M.R.; Major, D.J. Use of remote imagery to estimate corn grain yield. Agron. J. 2001, 93, 583–589. [Google Scholar] [CrossRef]
- Tilley, D.R.; Ahmed, M.; Son, J.H.; Badrinarayanan, H. Hyperspectral reflectance of emergent macrophytes as an indicator of water column ammonia in an oligohaline, subtropical marsh. Ecol. Eng. 2003, 21, 153–163. [Google Scholar] [CrossRef]
- Graeff, S.; Claupein, W. Quantifying nitrogen status of corn (Zea mays L.) in the field by reflectance measurements. Eur. J. Agron. 2003, 19, 611–618. [Google Scholar] [CrossRef]
- Galadi, P.; Kowalski, B.R. Partial least-square regression: A tutorial. Anal. Chim. Acta 1986, 185, 1–17. [Google Scholar] [CrossRef]
- Haaland, D.M.; Thomas, E.V. Partial least-squares methods for spectral analyses.1. Relation to other quantitative calibration methods and the extraction of qualitative information. Anal. Chem. 1988, 60, 1193–1202. [Google Scholar] [CrossRef]
- Sonobe, R.; Sugimoto, Y.; Kondo, R.; Seki, H.; Sugiyama, E.; Kiriiwa, Y.; Suzuki, K. Hyperspectral wavelength selection for estimating chlorophyll content of muskmelon leaves. Eur. J. Remote Sens. 2021, 54, 513–524. [Google Scholar] [CrossRef]
- Alordzinu, K.E.; Li, J.; Lan, Y.; Appiah, S.A.; Aasmi, A.A.; Wang, H.; Liao, J.; Sam-Amoah, L.K.; Qiao, S. Ground-based hyperspectral remote sensing for estimating water stress in tomato growth in sandy loam and silty loam soils. Sensors 2021, 21, 5705. [Google Scholar] [CrossRef]
- Müller, K.; Linkies, A.; Vreeburg, R.A.; Fry, S.C.; Krieger-Liszkay, A.; Leubner-Metzger, G. In vivo cell wall loosening by hydroxyl radicals during cress seed germination and elongation growth. Plant Physiol. 2009, 150, 1855–1865. [Google Scholar] [CrossRef]
- Kranner, I.; Roach, T.; Beckett, R.P.; Whitaker, C.; Minibayeva, F.V. Extracellular production of reactive oxygen species during seed germination and early seedling growth in Pisum sativum. J. Plant Physiol. 2010, 167, 805–811. [Google Scholar] [CrossRef]
- Morohashi, Y. Peroxidase activity develops in the micropylar endosperm of tomato seeds prior to radicle protrusion. J. Exp. Bot. 2002, 53, 1643–1650. [Google Scholar] [CrossRef] [PubMed]
- Caro, A.; Puntarulo, S. Nitric oxide generation by soybean embryonic axes. Possible effect on mitochondrial function. Free Radic. Res. 1999, 31, 205–212. [Google Scholar] [CrossRef] [PubMed]
- Wahid, A.; Perveen, M.; Gelani, S.; Basra, S.M. Pretreatment of seed with H2O2 improves salt tolerance of wheat seedlings by alleviation of oxidative damage and expression of stress proteins. J. Plant Physiol. 2007, 164, 283–294. [Google Scholar] [CrossRef]
- Farooq, M.; Nawaz, A.; Chaudhary, M.A.M.; Rehman, A. Foliage-applied sodium nitroprusside and hydrogen peroxide improves resistance against terminal drought in bread wheat. J. Agron. Crop Sci. 2017, 203, 473–482. [Google Scholar] [CrossRef]
- Strasser, R.J.; Srivastava, A.; Govindjee, G. Polyphasic chlorophyll a fluorescence transient in plants and cyanobacteria. Photochem. Photobiol. 1995, 161, 32–42. [Google Scholar] [CrossRef]
- Neubauer, C.; Schreiber, U. The polyphasic rise of chlorophyll fluorescence upon onset of strong continuous illumination: II. Saturation characteristics and partial control by the photosystem II acceptor side. Z. Naturforsch. C 1987, 42, 1255–1264. [Google Scholar] [CrossRef]
- Strivastava, A.; Guissé, B.; Greppin, H.; Strasser, R.J. Regulation of antenna structure and electron transport in photosystem II of Pisum sativum under elevated temperature probed by the fast polyphasic chlorophyll a fluorescence transient: OKJIP. Biochim. Biophys. Acta-Bioenerg. 1997, 1320, 95–106. [Google Scholar] [CrossRef]
- Sobejano-Paz, V.; Mikkelsen, T.N.; Baum, A.; Mo, X.; Liu, S.; Köppl, C.J.; Johnson, M.S.; Gulyas, L.; García, M. Hyperspectral and thermal sensing of stomatal conductance, transpiration, and photosynthesis for soybean and maize under drought. Remote Sens. 2020, 12, 3182. [Google Scholar] [CrossRef]
- Jia, M.; Li, D.; Colombo, R.; Wang, Y.; Wang, X.; Cheng, T.; Zho, Y.; Yao, X.; Xu, C.; Ouer, G.; et al. Quantifying chlorophyll fluorescence parameters from hyperspectral reflectance at the leaf scale under various nitrogen treatment regimes in winter wheat. Remote Sens. 2019, 11, 2838. [Google Scholar] [CrossRef]
- de Jong, S.M.; Addink, E.A.; Hoogenboom, P.; Nijland, W. The spectral response of Buxus sempervirens to different types of environmental stress-a laboratory experiment. ISPRS J. Photogramm. Remote Sens. 2012, 74, 56–65. [Google Scholar] [CrossRef]
- Zhang, F.; Zhou, G. Estimation of canopy water content by means of hyperspectral indices based on drought stress gradient experiments of maize in the North Plain China. Remote Sens. 2015, 7, 15203–15223. [Google Scholar] [CrossRef]
- Lichtenthaler, H.K. Vegetation stress: An introduction to the stress concept in plants. J. Plant Physiol. 1996, 148, 4–14. [Google Scholar] [CrossRef]
- Wang, L.; Hunt Jr, E.R.; Qu, J.J.; Hao, X.; Daughtry, C.S.T. Remote sensing of fuel moisture content from ratios of narrow-band vegetation water and dry-matter indices. Remote Sens. Environ. 2013, 129, 103–110. [Google Scholar] [CrossRef]
- Zhang, F.; Zhou, G. Estimation of vegetation water content using hyperspectral vegetation indices: A comparison of crop water indicators in response to water stress treatments for summer maize. BMC Ecol. 2019, 19, 18. [Google Scholar] [CrossRef] [PubMed]
- Ryu, J.H.; Oh, D.Y.; Jang, S.W.; Jeong, H.J.; Moon, K.H.; Cho, J.I. Assessment of photochemical reflectance index measured at different spatial scales utilizing leaf reflectometer, field hyperspectrometer, and multi-spectral camera with UAV. Korean J. Remote Sens. 2018, 34, 1055–1066, (In Korean with English abstract). [Google Scholar]
- Goss, R.; Lepetit, B. Biodiversity of NPQ. J. Plant Physiol. 2015, 172, 13–32. [Google Scholar] [CrossRef] [PubMed]
- Thénot, F.; Méthy, M.; Winkel, T. The Photochemical Reflectance Index (PRI) as a water-stress index. Int. J. Remote Sens. 2002, 23, 5135–5139. [Google Scholar] [CrossRef]
- Asner, G.P. Biophysical and biochemical sources of variability in canopy Reflectance. Remote Sens. Environ. 1998, 253, 234–253. [Google Scholar] [CrossRef]
- Elachi, C.; van Zyl, J.J. Introduction to the Physics and Techniques of Remote Sensing, 2nd ed.; John Wiley & Sons, Inc.: Hoboken, NJ, USA, 2006; ISBN 9780471475699. [Google Scholar]
- Gerhards, M.; Schlerf, M.; Mallick, K.; Udelhoven, T. Challenges and future perspectives of multi-/hyperspectral thermal infrared remote sensing for crop water-stress detection: A review. Remote Sens. 2019, 11, 1240. [Google Scholar] [CrossRef]
- Ustin, S.L.; Gamon, J.A. Remote sensing of plant functional types. New Phytol. 2010, 186, 795–816. [Google Scholar] [CrossRef]
- Kior, A.; Sukhov, V.; Sukhova, E. Application of reflectance indices for remote sensing of plants and revealing actions of stressors. Photonics 2021, 8, 582. [Google Scholar] [CrossRef]
- Xue, J.; Su, B. Significant remote sensing vegetation indices: A review of developments and applications. J. Sens. 2017, 2017, 2–17. [Google Scholar] [CrossRef]
- Blackburn, G.A. Spectral in dices for estimating photosynthetic pigment concentrations: A test using senescent tree leaves. Int. J. Remote Sens. 1998, 19, 657–675. [Google Scholar] [CrossRef]
- Rouse, J.W.; Haas, R.H.; Schell, J.A.; Deering, D.W.; Harlan, J.C. Monitoring the Vernal Advancement and Retrogradation (Greenwave Effect) of Natural Vegetation; Texas A&M University: College Station, TX, USA, 1974. [Google Scholar]
- Sukhova, E.; Kior, D.; Kior, A.; Yudina, L.; Zolin, Y.; Gromova, E.; Sukhov, V. New normalized difference reflectance indices for estimation of soil drought influence on pea and wheat. Remote Sens. 2022, 14, 1731. [Google Scholar] [CrossRef]
- Hernández-Clemente, R.; Navarro-Cerrillo, R.M.; Suárez, L.; Morales, F.; Zarco-Tejada, P.J. Assessing structural effects on PRI for stress detection in conifer forests. Remote Sens. Environ. 2011, 115, 2360–2375. [Google Scholar] [CrossRef]
- Quan, L.J.; Zhang, B.; Shi, W.W.; Li, H.Y. Hydrogen peroxide in plants: A versatile molecule of the reactive oxygen species network. J. Integr. Plant Biol. 2008, 50, 2–18. [Google Scholar] [CrossRef] [PubMed]
- Møller, I.M. Plant mitochondria and oxidative stress: Electron transport, NADPH turnover, and metabolism of reactive oxygen species. Annu. Rev. Plant Biol. 2001, 52, 561–591. [Google Scholar] [CrossRef] [PubMed]
- Chakraborty, S.; Hill, A.L.; Shirsekar, G.; Afzal, A.J.; Wang, G.L.; Mackey, D.; Bonello, P. Quantification of hydrogen peroxide in plant tissues using amplex red. Methods 2016, 109, 105–113. [Google Scholar] [CrossRef]
- Sims, D.A.; Gamon, J.A. Relationships between leaf pigment content and spectral reflectance across a wide range of species, leaf structures and developmental stages. Remote Sens. Environ. 2002, 81, 337–354. [Google Scholar] [CrossRef]
- Kim, Y.; Glenn, D.M.; Park, J.; Ngugi, H.K.; Lehman, B.L. Hyperspectral image analysis for water stress detection of apple trees. Comput. Electron. Agric. 2011, 77, 155–160. [Google Scholar] [CrossRef]
- Huang, W.; Yang, Q.; Pu, R.; Yang, S. Estimation of nitrogen vertical distribution by bi-directional canopy reflectance in winter wheat. Sensors 2014, 14, 20347–20359. [Google Scholar] [CrossRef] [PubMed]
- Calderón, R.; Navas-Cortés, J.A.; Lucena, C.; Zarco-Tejada, P.J. High-resolution airborne hyperspectral and thermal imagery for early detection of Verticillium wilt of olive using fluorescence, temperature and narrow-band spectral indices. Remote Sens. Environ. 2013, 139, 231–245. [Google Scholar] [CrossRef]
- Peñuelas, J.; Gamon, J.A.; Griffin, K.L.; Field, C.B. Assessing community type, plant biomass, pigment composition, and photosynthetic efficiency of aquatic vegetation from spectral reflectance. Remote Sens. Environ. 1993, 46, 110–118. [Google Scholar] [CrossRef]
- Lemaire, G.; Oosterom, E.V.; Sheehy, J.; Jeuffroy, M.H.; Massignam, A.; Rossato, L. Is crop N demand more closely related to dry matter accumulation or leaf area expansion during vegetative growth? Field Crops Res. 2007, 100, 91–106. [Google Scholar] [CrossRef]
- Vogelmann, J.E.; Rock, B.N.; Moss, D.M. Rededge spectral measurements from sugar maple leaves. Int. J. Remote Sens. 1993, 14, 1563–1575. [Google Scholar] [CrossRef]
- Garrity, S.R.; Eitel, J.U.; Vierling, L.A. Disentangling the relationships between plant pigments and the photochemical reflectance index reveals a new approach for remote estimation of carotenoid content. Remote Sens. Environ. 2011, 115, 628–635. [Google Scholar] [CrossRef]
- Merzlyak, M.N.; Gitelson, A.A.; Chivkunova, O.B.; Rakitin, V.Y. Non-destructive optical detection of pigment changes during leaf senescence and fruit ripening. Physiol. Plant 1999, 106, 135–141. [Google Scholar] [CrossRef]
- Peñuelas, J.; Baret, F.; Filella, I. Semi-empirical indices to assess carotenoids/ chlorophyll a ratio from leaf spectral reflectance. Photosynthetica 1995, 31, 221–230. [Google Scholar]
- Zarco-Tejada, P.J.; González-Dugo, V.; Berni, J.A.J. Fluorescence, temperature and narrow-band indices acquired from a UAV for water stress detection using a hyperspectral imager and a thermal camera. Remote Sens. Environ. 2012, 117, 322–337. [Google Scholar] [CrossRef]
- Gitelson, A.A.; Merzlyak, M.N. Signature analysis of leaf reflectance spectra: Algorithm development for remote sensing of chlorophyll. Int. J. Remote Sens. 1997, 18, 2691–2697. [Google Scholar] [CrossRef]
- Gamon, J.A.; Penuelas, J.; Field, C.B. A narrow-waveband spectral index that tracks diurnal changes in photosynthetic efficiency. Remote Sens. Environ. 1992, 41, 35–44. [Google Scholar] [CrossRef]
- Wu, C.; Han, X.; Ni, J.; Niu, Z.; Huang, W. Estimation of gross primary production in wheat from in situ measurements. Int. J. Appl. Earth Obs. Geoinf. 2010, 12, 183–189. [Google Scholar] [CrossRef]
- Datt, B. A new reflectance index for remote sensing of chlorophyll content in higher plants: Tests using Eucalyptus leaves. J. Plant Physiol. 1999, 154, 30–36. [Google Scholar] [CrossRef]
- Quemada, M.L.; Zarco-Tejada, P. Airborne hyperspectral images and ground-level optical sensors as assessment tools for maize nitrogen fertilization. Remote Sens. 2014, 6, 2940–2962. [Google Scholar] [CrossRef]
- Gamon, J.A.; Huemmrich, K.F.; Wong, C.Y.; Ensminger, I.; Garrity, S.; Hollinger, D.Y.; Noormets, A.; Peñuelas, J. A remotely sensed pigment index reveals photosynthetic phenology in evergreen conifers. Proc. Natl. Acad. Sci. USA 2016, 113, 13087–13092. [Google Scholar] [CrossRef]
- Gitelson, A.A.; Zur, Y.; Chivkunova, O.B.; Merzlyak, M.N. Assessing carotenoid content in plant leaves with reflectance spectroscopy. Photochem. Photobiol. 2002, 75, 272–281. [Google Scholar] [CrossRef]
- Gamon, J.A.; Filella, I.; Peñuelas, J. The Dynamic 531-nanometer ∆ reflectance signal: A survey of twenty angiosperm species. Curr. Top. Plant Physiol. 1993, 8, 172–177. [Google Scholar]
- Zarco-Tejada, P.J.; Berjón, A.; Lopez-Lozano, R.; Miller, J.R.; Martín, P.; Cachorro, V.; González, M.R.; De Frutos, A. Assessing vineyard condition with hyperspectral indices: Leaf and canopy reflectance simulation in a row-structured discontinuous canopy. Remote Sens. Environ. 2005, 99, 271–287. [Google Scholar] [CrossRef]
- Chappelle, E.W.; Kim, M.S.; McMurtrey, J.E., III. Ratio analysis of reflectance spectra (RARS): An algorithm for the remote estimation of the concentrations of chlorophyll a, chlorophyll b, and carotenoids in soybean leaves. Remote Sens. Environ. 1992, 39, 239–247. [Google Scholar] [CrossRef]
- Mahlein, A.K.; Oerke, E.C.; Steiner, U.; Dehne, H.W. Recent advances in sensing plant diseases for precision crop protection. Eur. J. Plant Pathol. 2012, 133, 197–209. [Google Scholar] [CrossRef]
- Barnes, J.D.; Balaguer, L.; Manrique, E.; Elvira, S.; Davison, A.W. A reappraisal of the use of DMSO for the extraction and determination of chlorophylls a and b in lichens and higher plants. Environ. Exp. Bot. 1992, 32, 85–100. [Google Scholar] [CrossRef]
- Gitelson, A.A.; Merzlyak, M.N.; Chivkunova, O.B. Optical properties and nondestructive estimation of anthocyanin content in plant leaves. Photochem. Photobiol. 2001, 74, 38–45. [Google Scholar] [CrossRef]
- El-Hendawy, S.; Elsayed, S.; Al-Suhaibani, N.; Alotaibi, M.; Tahir, M.U.; Mubushar, M.; Attia, A.; Hassan, W.M. Use of hyperspectral reflectance sensing for assessing growth and chlorophyll content of spring wheat grown under simulated saline field conditions. Plants 2021, 10, 101. [Google Scholar] [CrossRef] [PubMed]




| Index | 10 DAT | 20 DAT | ||||||
|---|---|---|---|---|---|---|---|---|
| Well-Watered | Drought | Well-Watered | Drought | |||||
| 0 mM H2O2 | 30 mM H2O2 | 0 mM H2O2 | 30 mM H2O2 | 0 mM H2O2 | 30 mM H2O2 | 0 mM H2O2 | 30 mM H2O2 | |
| NDVI 1 | 0.780 a* | 0.793 a | 0.725 b | 0.781 a | 0.812 a | 0.816 a | 0.753 b | 0.747 b |
| RE-NDVI 2 | 0.446 a | 0.463 a | 0.407 b | 0.448 a | 0.502 a | 0.502 a | 0.427 b | 0.430 b |
| MRE NDVI 3 | 0.579 a | 0.596 a | 0.584 a | 0.596 a | 0.634 a | 0.624 a | 0.561 b | 0.573 b |
| NRI 4 | 0.416 a | 0.420 a | 0.373 b | 0.430 a | 0.413 a | 0.430 a | 0.393 a | 0.377 a |
| GI 5 | 2.434 a | 2.453 a | 2.196 b | 2.515 a | 2.430 a | 2.517 a | 2.312 a | 2.219 a |
| SRI 6 | 8.132 a | 8.540 a | 6.175 b | 8.030 a | 9.912 a | 10.123 a | 7.185 b | 6.924 b |
| GNDVI 7 | 0.471 b | 0.489 a | 0.416 c | 0.460 b | 0.537 a | 0.532 a | 0.453 b | 0.455 b |
| VOG REI 1 8 | 1.387 b | 1.412 a | 1.348 c | 1.383 b | 1.485 a | 1.486 a | 1.377 b | 1.390 b |
| PRI 9 | 0.042 a | 0.043 a | 0.035 b | 0.036 b | 0.044 a | 0.041 a | 0.029 b | 0.025 b |
| PSRI 10 | −0.033 a | −0.030 a | −0.049 c | −0.03 b | −0.022 a | −0.022 a | −0.027 a | −0.027 a |
| SIPI 11 | 0.966 a | 0.964 a | 0.940 a | 0.949 a | 0.968 a | 0.972 a | 0.974 a | 0.972 a |
| BI 12 | 1.021 a | 1.060 a | 1.041 a | 1.066 a | 1.093 a | 1.072 a | 1.046 b | 1.021 b |
| PSSRa 13 | 8.190 a | 8.676 a | 6.287 b | 8.167 a | 9.748 a | 9.974 a | 7.271 a | 7.008 a |
| PSSRb 14 | 5.945 ab | 6.300 a | 4.631 c | 5.790 b | 7.037 a | 7.018 a | 5.241 a | 5.153 a |
| PSSRc 15 | 6.487 ab | 6.928 a | 4.840 c | 6.233 b | 8.054 a | 8.190 a | 6.022 b | 5.969 b |
| SR 515/570 16 | 0.758 b | 0.754 b | 0.790 a | 0.744 b | 0.753 a | 0.738 a | 0.749 a | 0.750 a |
| RI 17 | 0.277 b | 0.264 b | 0.318 a | 0.273 b | 0.239 b | 0.238 b | 0.300 a | 0.300 a |
| PhRi 18 | 0.048 a | 0.048 a | 0.041 b | 0.050 a | 0.049 a | 0.051 a | 0.049 a | 0.049 a |
| GCI 19 | 1.860 b | 2.008 a | 1.475 c | 1.766 b | 2.423 a | 2.367 a | 1.716 b | 1.756 b |
| mSR 705 20 | 3.773 a | 3.958 a | 3.835 a | 3.968 a | 4.497 a | 4.337 a | 3.577 b | 3.712 b |
| CIR 21 | 2.278 a | 2.367 a | 2.105 b | 2.281 a | 2.623 a | 2.624 a | 2.204 b | 2.222 b |
| SRPI 22 | 0.755 a | 0.736 a | 0.726 a | 0.690 a | 0.752 a | 0.776 a | 0.817 a | 0.826 a |
| CCI 23 | 0.364 a | 0.369 a | 0.319 b | 0.367 a | 0.352 a | 0.358 a | 0.329 a | 0.315 a |
| CRI 550 24 | 3.883 a | 4.093 a | 3.046 b | 3.791 a | 4.786 a | 5.011 a | 3.789 b | 3.598 b |
| PRIm3 25 | −0.450 b | −0.455 b | −0.403 a | −0.459 b | −0.449 ab | −0.462 b | −0.417 ab | −0.398 a |
| PRIm4 26 | −0.200 a | −0.200 a | −0.209 a | −0.192 a | −0.202 a | −0.195 a | −0.199 a | −0.201 a |
| PRI*CI 27 | −0.114 b c | −0.125 c | −0.076 a | −0.099 b | −0.142 b | −0.134 b | −0.072 a | −0.060 a |
| RGI 28 | 0.460 b | 0.455 b | 0.496 a | 0.438 b | 0.476 a | 0.458 a | 0.493 a | 0.508 a |
| RARS 29 | 4.682 a | 4.932 a | 3.747 b | 4.580 a | 5.577 a | 5.632 a | 4.384 b | 4.368 b |
| HI_2013 30 | 0.086 ab | 0.092 ab | 0.079 b | 0.106 a | 0.084 ab | 0.096 a | 0.064 ab | 0.054 b |
| NPQI 31 | 0.083 a | 0.074 a | 0.047 a | 0.066 a | 0.101 a | 0.088 a | 0.058 a | 0.063 a |
| ARI 1 32 | −1.349 a | −1.410 a | −1.330 a | −1.536 a | −1.390 ab | −1.541 b | −1.224 ab | −1.137 a |
| ARI 2 33 | 2.767 ab | 3.007 a | 1.627 c | 2.487 b | 3.745 a | 3.855 a | 2.584 b | 2.520 b |
| SR 400/690 34 | 1.320 a | 1.440 a | 1.317 a | 1.474 a | 1.613 a | 1.425 a | 1.232 a | 1.314 a |
| SR 750/700 35 | 3.620 a | 3.797 a | 3.149 b | 3.661 a | 4.186 a | 4.224 a | 3.368 b | 3.348 b |
| Index | Formula 1 | Reference |
|---|---|---|
| Normalized difference vegetation index (NDVI) | (R800 − R680)/(R800 + R680) | [52] |
| Normalized difference 750/710 red edge NDVI (RE-NDVI) | (R750 − R710)/(R750 + R710) | [35] |
| Modified normalized difference 705 (MRE NDVI) | (R750 − R705)/(R750 + R705 – 2 × R445) | [53] |
| Nitrogen reflectance index (NRI) | (R570 − R670)/(R570 + R670) | [54] |
| Greenness index (GI) | R570/R670 | [55] |
| Simple ratio (SRI) | R900/R680 | [56] |
| Green normalized difference vegetation index (GNDVI) | (R750 − R550)/(R750 + R550) | [57] |
| Vogelmann index (VOG REI 1) | R740/R720 | [58] |
| Photochemical reflectance index (PRI) | (R531 − R570)/(R531 + R570) | [59] |
| Plant senescence reflectance index (PSRI) | (R680 − R500)/R750 | [60] |
| Structural independent pigment index (SIPI) | (R800 − R445)/(R800 + R680) | [61] |
| Blue index (BI) | R450/R490 | [55] |
| Pigment specific simple ratio (chlorophyll a) (PSSRa) | R800/R680 | [45] |
| Pigment specific simple ratio (chlorophyll b) (PSSRb) | R800/R635 | [45] |
| Pigment specific simple ratio (carotenoids) (PSSRc) | R800/R500 | [45] |
| Simple ratio 515/570 (SR 515/570) | R515/R570 | [62] |
| Redness index (RI) | R700/R670 | [63] |
| Physiological reflectance index (PhRi) | (R550 − R531)/(R550 + R531) | [64] |
| Green chlorophyll index (GCI) | (R780/R550) − 1 | [65] |
| Modified red-edge ratio (mSR 705) | (R750 − R445)/(R705 − R445) | [66] |
| Chlorophyll index red edge (CIR) | (R750/R710) | [67] |
| Simple ratio pigment index (SRPI) | (R430/R680) | [56] |
| Chlorophyll/carotenoid index (CCI) | (R531 − R645)/(R531 − R645) | [68] |
| Carotenoids reflectance index (CRI 550) | (1/R510) − (1/R550) | [69] |
| Photochemical reflectance index 670 (PRIm3) | (R670 − R531)/(R670 + R531) | [70] |
| Photochemical reflectance index 670 and 570 (PRIm4) | (R570 − R531 − R670)/(R570 + R531 + R670) | [51] |
| Carotenoid/chlorophyll ratio index (PRI*CI) | (R531 − R570)/(R531 + R570) × ((R760/R700) − 1) | [59] |
| Red/green index (RGI) | (R690/R550) | [71] |
| Ratio analysis of reflectance spectra (RARS) | (R746/R513) | [72] |
| Health index (HI_2013) | (R534 − R698)/(R534 + R698) − 0.5 × R704 | [73] |
| Normalized phaeophytinization index (NPQI) | (R415 − R435)/(R415 + R435) | [74] |
| Anthocyanin reflectance (ARI1) | (1/R550 − 1/R700) | [75] |
| Anthocyanin reflectance (ARI2) | R800(1/R500 − 1/R700) | [69] |
| Simple ration index (SR400/690) | (R400/R690) | [76] |
| Simple ration index (SR750/700) | (R750/R700) | [52] |
Disclaimer/Publisher’s Note: The statements, opinions and data contained in all publications are solely those of the individual author(s) and contributor(s) and not of MDPI and/or the editor(s). MDPI and/or the editor(s) disclaim responsibility for any injury to people or property resulting from any ideas, methods, instructions or products referred to in the content. |
© 2023 by the authors. Licensee MDPI, Basel, Switzerland. This article is an open access article distributed under the terms and conditions of the Creative Commons Attribution (CC BY) license (https://creativecommons.org/licenses/by/4.0/).
Share and Cite
Song, K.E.; Hong, S.S.; Hwang, H.R.; Hong, S.H.; Shim, S.-i. Effect Analysis of Hydrogen Peroxide Using Hyperspectral Reflectance in Sorghum [Sorghum bicolor (L.) Moench] under Drought Stress. Plants 2023, 12, 2958. https://doi.org/10.3390/plants12162958
Song KE, Hong SS, Hwang HR, Hong SH, Shim S-i. Effect Analysis of Hydrogen Peroxide Using Hyperspectral Reflectance in Sorghum [Sorghum bicolor (L.) Moench] under Drought Stress. Plants. 2023; 12(16):2958. https://doi.org/10.3390/plants12162958
Chicago/Turabian StyleSong, Ki Eun, Se Sil Hong, Hye Rin Hwang, Sun Hee Hong, and Sang-in Shim. 2023. "Effect Analysis of Hydrogen Peroxide Using Hyperspectral Reflectance in Sorghum [Sorghum bicolor (L.) Moench] under Drought Stress" Plants 12, no. 16: 2958. https://doi.org/10.3390/plants12162958
APA StyleSong, K. E., Hong, S. S., Hwang, H. R., Hong, S. H., & Shim, S.-i. (2023). Effect Analysis of Hydrogen Peroxide Using Hyperspectral Reflectance in Sorghum [Sorghum bicolor (L.) Moench] under Drought Stress. Plants, 12(16), 2958. https://doi.org/10.3390/plants12162958

