Cadmium up Taking and Allocation in Wood Species Associated to Cacao Agroforestry Systems and Its Potential Role for Phytoextraction
Abstract
1. Introduction
2. Materials and Methods
2.1. Plant Material and Experimental Conditions
2.2. Growth Analysis and Total Cadmium Content
2.3. Experimental Design and Statistical Analysis
3. Results
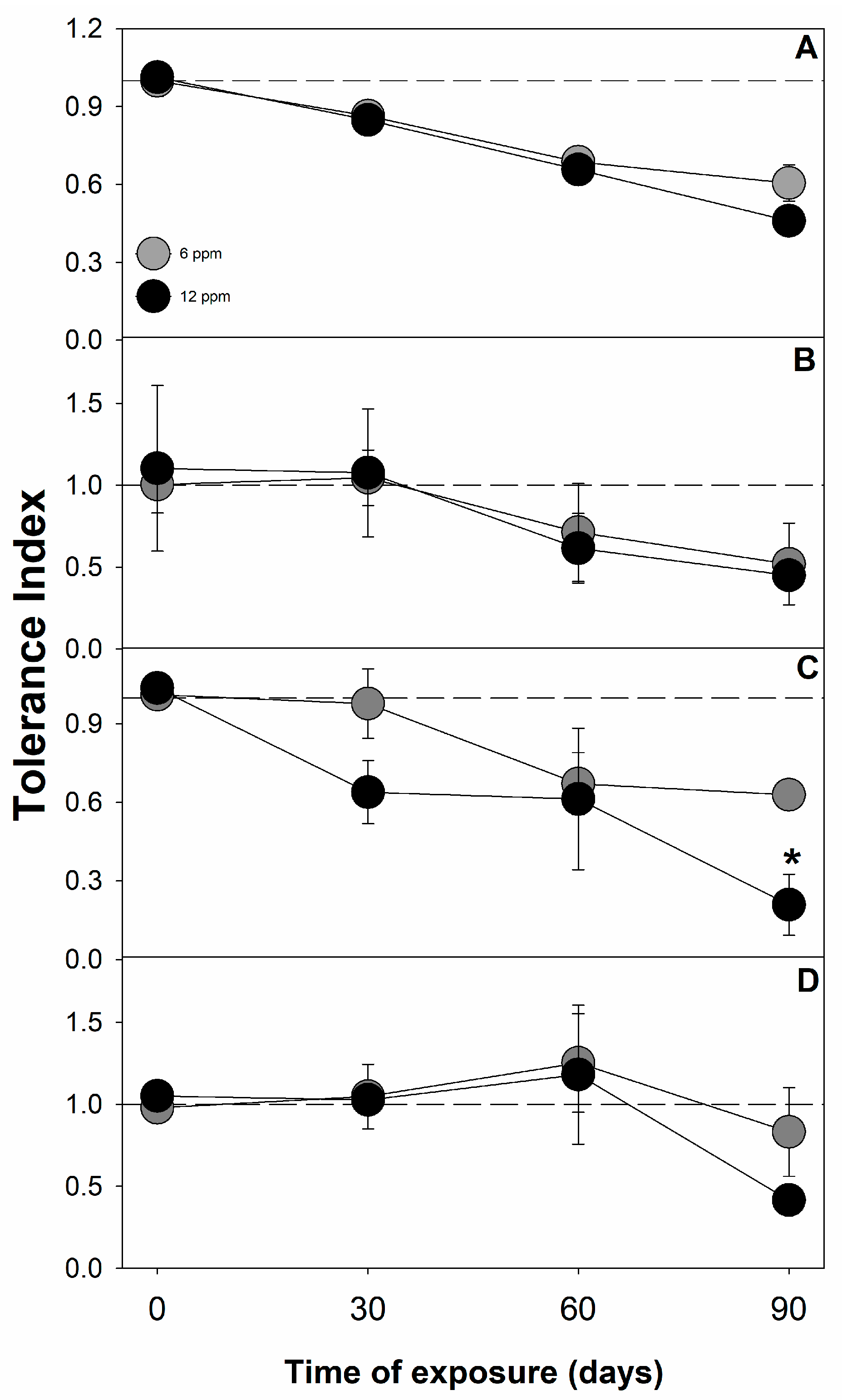
3.1. Terminalia superba Showed Hypertolerance to Moderate Cadmium Contamination
3.2. Terminalia superba Showed High Allocation of Cadmium to Stem Tissues
4. Discussion
5. Conclusions
Supplementary Materials
Author Contributions
Funding
Institutional Review Board Statement
Informed Consent Statement
Data Availability Statement
Acknowledgments
Conflicts of Interest
References
- MADR Ministerio de Agricultura y Desarrollo Rural. Cadena de Valor de Cacao; Bogotá, Colombia, 2021. Available online: https://sioc.minagricultura.gov.co/Cacao/Documentos/2021-03-31%20Cifras%20Sectoriales.pdf (accessed on 1 July 2023).
- Amadi, C.N.; Igweze, Z.N.; Orisakwe, O.E. Heavy Metals in Miscarriages and Stillbirths in Developing Nations. Middle East Fertil. Soc. J. 2017, 22, 91–100. [Google Scholar] [CrossRef]
- Antoine, J.M.R.; Fung, L.A.H.; Grant, C.N. Assessment of the Potential Health Risks Associated with the Aluminium, Arsenic, Cadmium and Lead Content in Selected Fruits and Vegetables Grown in Jamaica. Toxicol. Rep. 2017, 4, 181–187. [Google Scholar] [CrossRef] [PubMed]
- Contam EFSA. Statement on Tolerable Weekly Intake for Cadmium. EFSA J. 2014, 9, 10–14. [Google Scholar] [CrossRef]
- Argüello, D.; Chavez, E.; Lauryssen, F.; Vanderschueren, R.; Smolders, E.; Montalvo, D. Soil Properties and Agronomic Factors Affecting Cadmium Concentrations in Cacao Beans: A Nationwide Survey in Ecuador. Sci. Total Environ. 2019, 649, 120–127. [Google Scholar] [CrossRef]
- Pabón, M.G.; Sepúlveda, W.; Herrera Roa, L. Caracterización de La Producción de Cacao En Santander y Análisis de La Presencia de Cadmio En Suelos y Cultivos; Santander; Bogotá, Colombia, 2014. Available online: http://repositorio.colciencias.gov.co:80/handle/11146/2440. (accessed on 1 July 2023).
- Bravo, D.; Leon-Moreno, C.; Martínez, C.A.; Varón-Ramírez, V.M.; Araujo-Carrillo, G.A.; Vargas, R.; Quiroga-Mateus, R.; Zamora, A.; Rodríguez, E.A.G. The First National Survey of Cadmium in Cacao Farm Soil in Colombia. Agronomy 2021, 11, 761. [Google Scholar] [CrossRef]
- Raskin, L.; Smith, R.D.; Salt, D.E. Phytoremediation of Metals: Using Plants to Remove Pollutants from the Environment Abbreviation EDTA Ethylenediaminetetraacetic Acid. Curr. Opin. Biotechnol. 1997, 8, 221–8226. [Google Scholar] [CrossRef]
- Padmavathiamma, P.K.; Li, L.Y. Phytoremediation Technology: Hyper-Accumulation Metals in Plants. Water Air Soil Pollut. 2007, 184, 105–126. [Google Scholar] [CrossRef]
- Pilon-Smits, E. Phytoremediation. Annu. Rev. Plant Biol. 2005, 56, 15–39. [Google Scholar] [CrossRef] [PubMed]
- Pouresmaieli, M.; Ataei, M.; Forouzandeh, P.; Azizollahi, P.; Mahmoudifard, M. Recent Progress on Sustainable Phytoremediation of Heavy Metals from Soil. J. Environ. Chem. Eng. 2022, 10, 108482. [Google Scholar] [CrossRef]
- Fedecacao, F.N.D.C. Fedecacao, 2020 El Cultivo Del Cacao y Su Contribución Al Medio Ambiente 2020. Available online: https://www.fedecacao.com.co/portal/index.php/es/20 (accessed on 1 July 2023).
- Mejía, L.A.; Palencia, G.E. Una Aproximacion a Los Sistemas Agroforestales; Corporación colombiana de investigación agropecuaria - AGROSAVIA: Bogotá, Colombia, 2004; 34p. [Google Scholar]
- Álvarez-Carrillo, F.; Rojas-Molina, J.; Suarez-Salazar, J.C. Simulación de Arreglos Agroforestales de Cacao Como Una Estrategia de Diagnóstico y Planificación Para Productores. Cienc. Tecnol. Agropecu. 2013, 13, 145–150. [Google Scholar] [CrossRef]
- Marín, M.d.P.; Andrade, H.J.; Sandoval, A.P. Fijación de Carbono Atmosférico En La Biomasa Total de Sistemas de Producción de Cacao En El Departamento Del Tolima, Colombia. Rev. UDCA Actual. Divulg. Científica 2016, 19, 351–360. [Google Scholar] [CrossRef]
- Sonwa, D.J.; Nkongmeneck, B.A.; Weise, S.F.; Tchatat, M.; Adesina, A.A.; Janssens, M.J.J. Diversity of Plants in Cocoa Agroforests in the Humid Forest Zone of Southern Cameroon. Biodivers. Conserv. 2007, 16, 2385–2400. [Google Scholar] [CrossRef]
- Mercedes Ordoñez, C.; Rangel-Ch, J.O. Composición Florística y Aspectos de La Estructura de La Vegetación En Sistemas Agroforestales Con Cacao (Theobroma cacao L.—Malvaceae) En El Departamento Del Huila, Colombia. Rev. Acad. Colomb. Cienc. Exactas Físicas Nat. 2020, 44, 1033–1046. [Google Scholar] [CrossRef]
- Agudelo-Castañeda, G.A.; Cadena-Torres, J.; Almanza-Merchán, P.J.; Pinzón-Sandoval, E.H. Desempeño Fisiológico de Nueve Genotipos de Cacao (Theobroma cacao L.) Bajo La Sombra de Tres Especies Forestales En Santander, Colombia. Rev. Colomb. Cienc. Hortícolas 2018, 12, 223–232. [Google Scholar] [CrossRef]
- Carvalho, F.E.L.; Escobar-Pachajoa, L.D.; Camargo, I.D.; Rojas-Molina, J.; Jaimes-Suárez, Y.Y.; Rivera-Meneses, J.J. The Interspecific Interactions in Agroforestry Systems Enhance Leaf Water Use Efficiency and Carbon Storage in Cocoa. Environ. Exp. Bot. 2023, 205, 105119. [Google Scholar] [CrossRef]
- Awa, S.H.; Hadibarata, T. Removal of Heavy Metals in Contaminated Soil by Phytoremediation Mechanism: A Review. Water Air Soil Pollut. 2020, 231, 47. [Google Scholar] [CrossRef]
- Krämer, U. Metal Hyperaccumulation in Plants. Annu. Rev. Plant Biol. 2010, 61, 517–534. [Google Scholar] [CrossRef]
- Nedjimi, B. Phytoremediation: A Sustainable Environmental Technology for Heavy Metals Decontamination. SN Appl. Sci. 2021, 3, 286. [Google Scholar] [CrossRef]
- Greger, M.; Landberg, T. Use of Willow in Phytoexfraction. Int. J. Phytoremediat. 1999, 1, 115–123. [Google Scholar] [CrossRef]
- Fischerová, Z.; Tlustoš, P.; Száková, J.; Šichorová, K. A Comparison of Phytoremediation Capability of Selected Plant Species for given Trace Elements. Environ. Pollut. 2006, 144, 93–100. [Google Scholar] [CrossRef]
- Balraju, W.; Upadhyay, K.K.; Tripathi, S.K. Remediation of Toxic Metals by Forest Trees: Concepts and Strategies Remediation of Toxic Metals by Forest Trees: Concepts and Strategies. Environ. Ecol. 2022, 40, 1798–1810. [Google Scholar]
- Pulford, I.D.; Watson, C. Phytoremediation of Heavy Metal-Contaminated Land by Trees—A Review. Environ. Int. 2003, 29, 529–540. [Google Scholar] [CrossRef] [PubMed]
- Mayerová, M.; Petrová, Š.; Madaras, M.; Lipavský, J.; Šimon, T.; Vaněk, T. Non-Enhanced Phytoextraction of Cadmium, Zinc, and Lead by High-Yielding Crops. Environ. Sci. Pollut. Res. 2017, 24, 14706–14716. [Google Scholar] [CrossRef]
- Punshon, T.; Dickinson, N. Heavy Metal Resistance and Accumulation Characteristics in Willows. Int. J. Phytoremediat. 1999, 1, 361–385. [Google Scholar] [CrossRef]
- Laureysens, I.; Blust, R.; De Temmerman, L.; Lemmens, C.; Ceulemans, R. Clonal Variation in Heavy Metal Accumulation and Biomass Production in a Poplar Coppice Culture: I. Seasonal Variation in Leaf, Wood and Bark Concentrations. Environ. Pollut. 2004, 131, 485–494. [Google Scholar] [CrossRef] [PubMed]
- Dickinson, N.M.; Pulford, I.D. Cadmium Phytoextraction Using Short-Rotation Coppice Salix: The Evidence Trail. Environ. Int. 2005, 31, 609–613. [Google Scholar] [CrossRef]
- Kuzovkina, Y.A.; Quigley, M.F. Willows beyond Wetlands: Uses of Salix L. Species for Environmental Projects. Water Air Soil Pollut. 2005, 162, 183–204. [Google Scholar] [CrossRef]
- Al-Sayaydeh, R.S.; Al-Hawadi, J.S.; Al-Habahbeh, K.A.; Al-Nawaiseh, M.B.; Albdaiwi, R.N.; Ayad, J.Y. Phytoremediation Potential of Selected Ornamental Woody Species to Heavy Metal Accumulation in Response to Long-Term Irrigation with Treated Wastewater. Water 2022, 14, 2086. [Google Scholar] [CrossRef]
- Guidi Nissim, W.; Labrecque, M. Field Assessment of Trace Element Phytoextraction by Different Populus Clones Established on Brownfields in Southern Quebec (Canada). Int. J. Phytoremediat. 2023, 25, 283–292. [Google Scholar] [CrossRef] [PubMed]
- Amabogha, O.N.; Garelick, H.; Jones, H.; Purchase, D. Combining Phytoremediation with Bioenergy Production: Developing a Multi-Criteria Decision Matrix for Plant Species Selection. Environ. Sci. Pollut. Res. 2023, 30, 40698–40711. [Google Scholar] [CrossRef]
- Günthardt-Goerg, M.S.; Vollenweider, P.; Schulin, R. Metal Accumulation and Biomass Production in Young Afforestations Established on Soil Contaminated by Heavy Metals. Plants 2022, 11, 523. [Google Scholar] [CrossRef]
- Bedair, H.; Ghosh, S.; Abdelsalam, I.M.; Keerio, A.A.; AlKafaas, S.S. Potential Implementation of Trees to Remediate Contaminated Soil in Egypt. Environ. Sci. Pollut. Res. 2022, 29, 78132–78151. [Google Scholar] [CrossRef] [PubMed]
- Liu, W.; Ni, J.; Zhou, Q. Uptake of Heavy Metals by Trees: Prospects for Phytoremediation. Mater. Sci. Forum 2013, 743–744, 768–781. [Google Scholar] [CrossRef]
- Ávila-Lovera, E.; Blanco, H.; Móvil, O.; Santiago, L.S.; Tezara, W. Shade Tree Species Affect Gas Exchange and Hydraulic Conductivity of Cacao Cultivars in an Agroforestry System. Tree Physiol. 2021, 41, 240–253. [Google Scholar] [CrossRef]
- Prato, A.I.; Sánchez, S.N.; Zuluaga, J.J.; De Souza, P.V.D. Substrates, Seedling Age and Environment in the Initial Growth of Cariniana Pyriformis Miers. Floresta 2020, 50, 1287–1296. [Google Scholar] [CrossRef]
- Lahive, F.; Hadley, P.; Daymond, A.J. The Physiological Responses of Cacao to the Environment and the Implications for Climate Change Resilience. A Review. Agron. Sustain. Dev. 2019, 39, 5. [Google Scholar] [CrossRef]
- Suárez, L.R.; Suárez Salazar, J.C.; Casanoves, F.; Ngo Bieng, M.A. Cacao Agroforestry Systems Improve Soil Fertility: Comparison of Soil Properties between Forest, Cacao Agroforestry Systems, and Pasture in the Colombian Amazon. Agric. Ecosyst. Environ. 2021, 314, 107349. [Google Scholar] [CrossRef]
- Ruiz-Russi, D.A.; Escobar-Pachajoa, L.D.; Montealegre-Bustos, F.; Galvis-Neira, D.A.; Camacho-Díaz, J.E.; Jaimes-Suárez, Y.Y.; Rojas-Molina, J. Characterization of agroforestry systems with cocoa (Theobroma cacao L.) In three municipalities of the department of boyacá, colombia. Trop. Subtrop. Agroecosyst. 2023, 26, 1–12. [Google Scholar]
- Hoagland, D.R.; Arnon, D.I. The Water-Culture Method for Growing Plants without Soil. Calif. Agric. Exp. Stn. 1950, 347, 32. [Google Scholar]
- Carrier, P.; Baryla, A.; Havaux, M. Cadmium Distribution and Microlocalization in Oilseed Rape (Brassica napus) after Long-Term Growth on Cadmium-Contaminated Soil. Planta 2003, 216, 939–950. [Google Scholar] [CrossRef] [PubMed]
- Hunt, R. Plant Growth Curves; Edward Arnold: London, UK, 1982. [Google Scholar]
- Wilkins, D.A. The Measurement of Tolerance to Edaphic Factors by Means of Root Growth. New Phytol. 1978, 80, 623–633. [Google Scholar] [CrossRef]
- Wieshammer, G.; Unterbrunner, R.; García, T.B.; Zivkovic, M.F.; Puschenreiter, M.; Wenzel, W.W. Phytoextraction of Cd and Zn from Agricultural Soils by Salix sp. and Intercropping of Salix caprea and Arabidopsis halleri. Plant Soil 2007, 298, 255–264. [Google Scholar] [CrossRef]
- Xu, X.; Yang, B.; Qin, G.; Wang, H.; Zhu, Y.; Zhang, K.; Yang, H. Growth, Accumulation, and Antioxidative Responses of Two Salix Genotypes Exposed to Cadmium and Lead in Hydroponic Culture. Environ. Sci. Pollut. Res. 2019, 26, 19770–19784. [Google Scholar] [CrossRef] [PubMed]
- El-Mahrouk, E.S.M.; Eisa, E.A.H.; Hegazi, M.A.; Abdel-Gayed, M.E.S.; Dewir, Y.H.; El-Mahrouk, M.E.; Naidoo, Y. Phytoremediation of Cadmium-, Copper-, and Lead-Contaminated Soil by Salix mucronata (Synonym Salix safsaf). HortScience 2019, 54, 1249–1257. [Google Scholar] [CrossRef]
- Fan, K.-C.; Hsi, H.-C.; Chen, C.-W.; Lee, H.-L.; Hseu, Z.-Y. Cadmium Accumulation and Tolerance of Mahogany (Swietenia macrophylla) Seedlings for Phytoextraction Applications. J. Environ. Manag. 2011, 92, 2818–2822. [Google Scholar] [CrossRef] [PubMed]
- Zeng, P.; Guo, Z.; Xiao, X.; Peng, C.; Liu, L.; Yan, D.; He, Y. Physiological Stress Responses, Mineral Element Uptake and Phytoremediation Potential of Morus alba L. in Cadmium-Contaminated Soil. Ecotoxicol. Environ. Saf. 2020, 189, 109973. [Google Scholar] [CrossRef]
- Jiang, Y.; Jiang, S.; Li, Z.; Yan, X.; Qin, Z.; Huang, R. Field Scale Remediation of Cd and Pb Contaminated Paddy Soil Using Three Mulberry (Morus Alba L.) Cultivars. Ecol. Eng. 2019, 129, 38–44. [Google Scholar] [CrossRef]
- Yang, W.; Yang, Y.; Ding, Z.; Yang, X.; Zhao, F.; Zhu, Z. Uptake and Accumulation of Cadmium in Flooded versus Non-Flooded Salix Genotypes: Implications for Phytoremediation. Ecol. Eng. 2019, 136, 79–88. [Google Scholar] [CrossRef]
- Ali, H.; Khan, E.; Sajad, M.A. Phytoremediation of Heavy Metals-Concepts and Applications. Chemosphere 2013, 91, 869–881. [Google Scholar] [CrossRef]
- Samara, T.; Spanos, I.; Papachristou, T.G.; Platis, P. Assessment of Heavy Metal Pollution Using Forest Species Plantations of Post-Mining Landscapes, Ptolemais, N. Greece. Mining 2022, 2, 578–588. [Google Scholar] [CrossRef]
- Yin, Z.; Yu, J.; Han, X.; Wang, H.; Yang, Q.; Pan, H.; Lou, Y.; Zhuge, Y. A Novel Phytoremediation Technology for Polluted Cadmium Soil: Salix Integra Treated with Spermidine and Activated Carbon. Chemosphere 2022, 306, 135582. [Google Scholar] [CrossRef]
- Maddela, N.R.; Kakarla, D.; García, L.C.; Chakraborty, S.; Venkateswarlu, K.; Megharaj, M. Cocoa-Laden Cadmium Threatens Human Health and Cacao Economy: A Critical View. Sci. Total Environ. 2020, 720, 137645. [Google Scholar] [CrossRef] [PubMed]
- Yang, L.P.; Zhu, J.; Wang, P.; Zeng, J.; Tan, R.; Yang, Y.Z.; Liu, Z.M. Effect of Cd on Growth, Physiological Response, Cd Subcellular Distribution and Chemical Forms of Koelreuteria Paniculata. Ecotoxicol. Environ. Saf. 2018, 160, 10–18. [Google Scholar] [CrossRef]
- Giuliani, R.; Koteyeva, N.; Voznesenskaya, E.; Evans, M.A.; Cousins, A.B.; Edwards, G.E. Coordination of Leaf Photosynthesis, Transpiration, and Structural Traits in Rice and Wild Relatives (Genus oryza). Plant Physiol. 2013, 162, 1632–1651. [Google Scholar] [CrossRef]
- Schippers, J.H.M.; Schmidt, R.; Wagstaff, C.; Jing, H.C. Living to Die and Dying to Live: The Survival Strategy behind Leaf Senescence. Plant Physiol. 2015, 169, 914–930. [Google Scholar] [CrossRef]
- Sousa, R.T.; Paiva, A.L.S.; Carvalho, F.E.L.; Alencar, V.T.C.B.; Silveira, J.A.G. Ammonium Overaccumulation in Senescent Leaves as a Novel Exclusion Mechanism to Avoid Toxicity in Photosynthetically Active Rice Leaves. Environ. Exp. Bot. 2021, 186, 104452. [Google Scholar] [CrossRef]
- Sánchez Fonseca, C.; Lama, D.; Suatunce Cunuhay, P. Hojas Caídas Y Aporte De Nutrientes De Diez Especies Forestales Tropicales. Cienc. Tecnol. 2008, 1, 73. [Google Scholar] [CrossRef]
- Engbersen, N.; Gramlich, A.; Lopez, M.; Schwarz, G.; Hattendorf, B.; Gutierrez, O.; Schulin, R. Cadmium Accumulation and Allocation in Different Cacao Cultivars. Sci. Total Environ. 2019, 678, 660–670. [Google Scholar] [CrossRef] [PubMed]
- Huamaní-Yupanqui, H.A.; Huauya-Rojas, M.Á.; Mansilla-Minaya, L.G.; Florida-Rofner, N.; Neira-Trujillo, G.M. Presence of Heavy Metals in Organic Cacao (Theobroma cacao L.) Crop. Acta Agronómica 2012, 61, 339–344. [Google Scholar]
- Barraza, F.; Schreck, E.; Lévêque, T.; Uzu, G.; López, F.; Ruales, J.; Prunier, J.; Marquet, A.; Maurice, L. Cadmium Bioaccumulation and Gastric Bioaccessibility in Cacao: A Field Study in Areas Impacted by Oil Activities in Ecuador. Environ. Pollut. 2017, 229, 950–963. [Google Scholar] [CrossRef]
- Luo, Z.B.; He, J.; Polle, A.; Rennenberg, H. Heavy Metal Accumulation and Signal Transduction in Herbaceous and Woody Plants: Paving the Way for Enhancing Phytoremediation Efficiency. Biotechnol. Adv. 2016, 34, 1131–1148. [Google Scholar] [CrossRef]
- Lux, A.; Šottníková, A.; Opatrná, J.; Greger, M. Differences in Structure of Adventitious Roots in Salix Clones with Contrasting Characteristics of Cadmium Accumulation and Sensitivity. Physiol. Plant. 2004, 120, 537–545. [Google Scholar] [CrossRef]
- Souza, G.M.; Lüttge, U. Stability as a Phenomenon Emergent from Plasticity–Complexity–Diversity in Eco-Physiology. In Progress in Botany; Lüttge, U., Beyschlag, W., Eds.; Springer International Publishing: Cham, Switzerland, 2015; Volume 76, pp. 211–239. ISBN 978-3-319-08806-8. [Google Scholar]
- Lin, Y.F.; Aarts, M.G.M. The Molecular Mechanism of Zinc and Cadmium Stress Response in Plants. Cell. Mol. Life Sci. 2012, 69, 3187–3206. [Google Scholar] [CrossRef] [PubMed]
- Ullah, I.; Wang, Y.; Eide, D.J.; Dunwell, J.M. Evolution, and Functional Analysis of Natural Resistance-Associated Macrophage Proteins (NRAMPs) from Theobroma cacao and Their Role in Cadmium Accumulation. Sci. Rep. 2018, 8, 14412. [Google Scholar] [CrossRef] [PubMed]




| Treatment | Species | RGR (gg−1 day−1) (0–30 days) | RGR (gg−1 day−1) (30–60 days) | RGR (gg−1 day−1) (60–90 days) |
|---|---|---|---|---|
| 0 ppm | C. pyriformis | 0.006 ± 0.002 b | 0.008 ± 0.001 b | 0.012 ± 0.001 b |
| A. guachapele | 0.010 ± 0.002 ab | 0.026 ± 0.009 a | 0.030 ± 0.010 a | |
| T. rosea | 0.012 ± 0.002 ab | 0.013 ± 0.002 b | 0.012 ± 0.005 b | |
| T. superba | 0.018 ± 0.002 a | 0.018 ± 0.002 a | 0.025 ± 0.004 a | |
| 6 ppm | C. pyriformis | 0.001 ± 0.002 b | 0.001 ± 0.000 b | 0.005 ± 0.001 b |
| A. guachapele | 0.012 ± 0.006 ab | 0.011 ± 0.005 a | 0.018 ± 0.006 a | |
| T. rosea | 0.010 ± 0.002 ab | 0.000 ± 0.000 b | 0.010 ± 0.001 ab | |
| T. superba | 0.020 ± 0.006 a | 0.015 ± 0.004 a | 0.017 ± 0.004 ab | |
| 12 ppm | C. pyriformis | 0.000 ± 0.000 b | −0.001 ± 0.001 b | 0.001 ± 0.002 b |
| A. guachapele | 0.012 ± 0.005 a | 0.007 ± 0.004 a | 0.022 ± 0.005 a | |
| T. rosea | −0.005 ± 0.002 b | −0.008 ± 0.002 b | −0.025 ± 0.015 b | |
| T. superba | 0.017 ± 0.002 a | 0.011 ± 0.002 a | −0.008 ± 0.003 b |
Disclaimer/Publisher’s Note: The statements, opinions and data contained in all publications are solely those of the individual author(s) and contributor(s) and not of MDPI and/or the editor(s). MDPI and/or the editor(s) disclaim responsibility for any injury to people or property resulting from any ideas, methods, instructions or products referred to in the content. |
© 2023 by the authors. Licensee MDPI, Basel, Switzerland. This article is an open access article distributed under the terms and conditions of the Creative Commons Attribution (CC BY) license (https://creativecommons.org/licenses/by/4.0/).
Share and Cite
Galvis, D.A.; Jaimes-Suárez, Y.Y.; Rojas Molina, J.; Ruiz, R.; Carvalho, F.E.L. Cadmium up Taking and Allocation in Wood Species Associated to Cacao Agroforestry Systems and Its Potential Role for Phytoextraction. Plants 2023, 12, 2930. https://doi.org/10.3390/plants12162930
Galvis DA, Jaimes-Suárez YY, Rojas Molina J, Ruiz R, Carvalho FEL. Cadmium up Taking and Allocation in Wood Species Associated to Cacao Agroforestry Systems and Its Potential Role for Phytoextraction. Plants. 2023; 12(16):2930. https://doi.org/10.3390/plants12162930
Chicago/Turabian StyleGalvis, Donald A., Yeirme Y. Jaimes-Suárez, Jairo Rojas Molina, Rosalba Ruiz, and Fabricio Eulalio Leite Carvalho. 2023. "Cadmium up Taking and Allocation in Wood Species Associated to Cacao Agroforestry Systems and Its Potential Role for Phytoextraction" Plants 12, no. 16: 2930. https://doi.org/10.3390/plants12162930
APA StyleGalvis, D. A., Jaimes-Suárez, Y. Y., Rojas Molina, J., Ruiz, R., & Carvalho, F. E. L. (2023). Cadmium up Taking and Allocation in Wood Species Associated to Cacao Agroforestry Systems and Its Potential Role for Phytoextraction. Plants, 12(16), 2930. https://doi.org/10.3390/plants12162930

