In-Field Rainwater Harvesting Tillage in Semi-Arid Ecosystems: II Maize–Bean Intercrop Water and Radiation Use Efficiency
Abstract
1. Introduction
2. Materials and Methods
2.1. Study Area and Experimental Design
2.2. Field Measurements
2.3. Water Balance Components
2.4. Radiation Canopy Interception
- (i)
- In maize/beans intercropping, the lower canopy layer consists of both maize and beans layers, while the upper layer only includes maize. Incident solar radiation at the top of the intercropping bean canopy is equivalent to F by the maize in the upper (FMU). This will be estimated by using a simple equation (Adopted from Tsubo and Walker, 2002) (Equation (5)):
- (ii)
- To measure radiation intercepted by each component of the crops in intercropping, a partitioning equation adopted from Tsubo and Walker [43] was used. Therefore, the fraction of radiation intercepted by beans (FB) and the fraction of maize at the lower layer (FML) was estimated as follows (Equations (7) and (8)):
- -
- KB and KM is the canopy extinction coefficient for beans and maize (according to Tsubo and Walker [43], it was estimated at 0.64 and 0.43, respectively).
- -
- LML and LB are maize and bean LAI in the lower canopy layer.
- -
- FM/B is a fraction of radiation interception by the crops of maize and beans in the lower canopy layer. This is equivalent to the difference between overall F by the intercrop and F by maize in the upper layer.
- (iii)
- The LAI in the lower maize layer in the intercropping and the total intercepted was radiation estimated as Equation (9):
- (iv)
- Radiation use efficiency (RUE) for beans and maize can be calculated as (Monteith, [44] (Equations (11) and (12)):
2.5. Statistical Analysis
3. Results
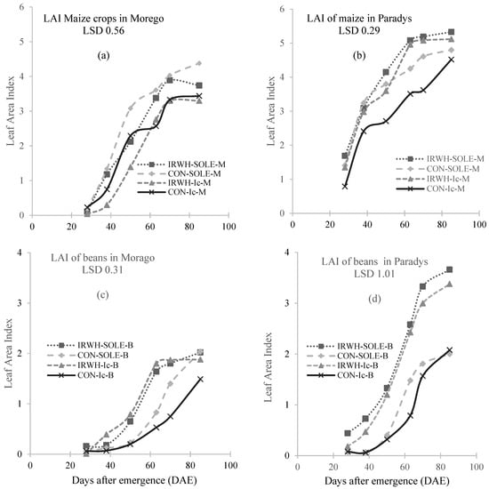
3.1. Leaf Area Index
3.2. Dry Matter Accumulation
3.3. Soil Water Balance Components
3.3.1. Soil Water Content
3.3.2. In-Field Runoff
3.3.3. Estimation of Evapotranspiration
- For maize—S-1 = initial vegetative phase, GS-2 = active vegetative phase, GS-3 = initial grain-filling phase, and GS-4 = active grain-filling phase.
- For beans—GS-1 = emergence and early vegetative growth, GS-2 = branching and rapid vegetative growth, GS-3 = flowering and pod formation, and GS-4 = pod fill and maturation.
3.4. Water Use
3.4.1. Water Productivity (WP)
3.4.2. Water Use Efficiency (WUE)
3.5. Radiation Canopy Interception
3.5.1. Fraction of Intercepted PAR (fIPAR)
3.5.2. Total Intercepted Radiation (TPAR)
3.6. Relationship between Water and Radiation Use
4. Discussion
5. Conclusions
Author Contributions
Funding
Data Availability Statement
Acknowledgments
Conflicts of Interest
References
- Maitra, S.; Shankar, T.; Banerjee, P. Potential and Advantages of Maize-Legume Intercropping System. In Maize-Production and Use; Hossain, A., Ed.; Intech Open: London, UK, 2020. [Google Scholar]
- Pierre, J.F.; Latournerie-Moreno, L.; Garruña, R.; Jacobsen, K.L.; Laboski, C.A.M.; Us-Santamaría, R.; Ruiz-Sánchez, E. Effect of Maize–Legume Intercropping on Maize Physio-Agronomic Parameters and Beneficial Insect Abundance. Sustainability 2022, 14, 12385. [Google Scholar] [CrossRef]
- Manasa, P.; Sairam, M.; Maitra, S. Influence of Maize-Legume Intercropping System on Growth and Productivity of Crops. Int. J. Bioresour. Sci. IJBS 2021, 8, 21–28. [Google Scholar] [CrossRef]
- Duvvada, S.K.; Maitra, S. Sorghum-based intercropping system for agricultural sustainability. Indian J. Nat. Sci. 2020, 10, 20306–20313. [Google Scholar]
- Yin, W.; Guo, Y.; Hu, F.; Fan, Z.; Feng, F.; Zhao, C.; Yu, A.; Chai, Q. Wheat-maize intercropping with reduced tillage and straw retention: A step towards enhancing economic and environmental benefits in arid areas. Front. Plant Sci. 2018, 9, 1328. [Google Scholar] [CrossRef]
- Nasar, J.; Shao, Z.; Gao, Q.; Zhou, X.; Fahad, S.; Liu, S.; Li, C.; John Banda, S.K.; Kgorutla, L.E.; Dawar, K.M. Maize-alfalfa intercropping induced changes in plant and soil nutrient status under nitrogen application. Arch. Agron. Soil Sci. 2020, 68, 151–165. [Google Scholar] [CrossRef]
- Solanki, M.K.; Wang, F.Y.; Wang, Z.; Li, C.N.; Lan, T.J.; Singh, R.K.; Singh, P.; Yang, L.T.; Li, Y.R. Rhizospheric and endospheric diazotrophs mediated soil fertility intensification in sugarcane-legume intercropping systems. J. Soils Sediments 2019, 19, 1911–1927. [Google Scholar] [CrossRef]
- Yu, L.; Tang, Y.; Wang, Z.; Gou, Y.; Wang, J. Nitrogen-cycling genes and rhizosphere microbial community with reduced nitrogen application in maize/soybean strip intercropping. Nutr. Cycle Agroecosyst. 2019, 113, 35–49. [Google Scholar] [CrossRef]
- Fan, F.; Zhang, F.; Song, Y.; Sun, J.; Bao, X.; Guo, T.; Li, L. Nitrogen Fixation of Faba Bean (Vicia faba L.) Interacting with a Non-legume in Two Contrasting Intercropping Systems. Plant Soil 2006, 283, 275–286. [Google Scholar] [CrossRef]
- Mei, P.P.; Gui, L.-G.; Wang, P.; Huang, J.C.; Long, H.-Y.; Christie, P.; Li, L. Maize/faba bean intercropping with rhizobia inoculation enhances productivity and recovery of fertilizer P in a reclaimed desert soil. Field Crop Res. 2012, 130, 19–27. [Google Scholar] [CrossRef]
- Lawson, Y.D.; Dzomeku, I.; Drisah, Y. Time of planting Mucuna and Canavalia in an intercrop system with maize. J. Agron. 2007, 6, 534–540. [Google Scholar]
- Somme, G.T.; Oweis, A.; Abdulal, A.; Bruggeman Ali, A. Micro–Catchment Water Harvesting for Improved Vegetation Cover in the Syrian Badia; On–farm Water Husbandry Series No. 3; International Center for Agricultural Research in the Dry Areas: Aleppo, Syria, 2004. [Google Scholar]
- Oweis, T.; Prinz, D.; Hachum, A. Water Harvesting: Indigenous Knowledge for the Future of the Drier Environments; International Center for Agricultural Research in the Dry Areas (ICARDA): Aleppo, Syria, 2001. [Google Scholar]
- Hensley, M.; Botha, J.J.; Anderson, J.J.; van Staden, P.P.; du Toit, A. Optimising Rainfall Use Efficiency for Developing Farmers with Limited Access to Irrigation Water; Water Research Commission Report, 878/1/00; Water Research Commission: Pretoria, South Africa, 2000. [Google Scholar]
- Tesfuhuney, W.A.; Walker, S.; Van Rensburg, L.D. Comparison of energy available for evapotranspiration under in-field rainwater harvesting with wide and narrow runoff strips. Irrig. Drain. 2012, 61, 59–69. [Google Scholar] [CrossRef]
- Hatibu, N.; Mahoo, H.F.; Senkondo, E.M.; Simalenga, T.E.; Kayombo, B.; Ussiri, D.A.N. Strategies for Soil-Water Management for Dryland Crop Production in Semi-Arid Tanzania; Farm Resource Management Programme, Annual Report 1995; International Centre for Agricultural Research in Dry Areas: Aleppo, Syria, 1995; Volume 4, p. 32. [Google Scholar]
- Botha, J.J.; van Rensburg, L.D.; Anderson, J.J.; Hensley, M.; Macheli, M.S.; Van Staden, P.P.; Kundhlande, G.; Groenewald, D.G.; Baiphethi, M.N. Water Conservation Techniques on Small Plots in Semi-Arid Areas to Enhance Rainfall Use Efficiency, Food Security, and Sustainable Crop Production; Water Research Commission Report 1176/1/03; Water Research Commission: Pretoria, South Africa, 2003; p. 302. [Google Scholar]
- Van Rensburg, L.D.; Botha, J.J.; Anderson, J.J.; Joseph, L.F. A review on the technical aspects of rainwater harvesting for crop production. In Proceedings of the Combined Congress of the Soil Science Society of South Africa, Potchefstroom, South Africa, 10–13 January 2005. [Google Scholar]
- Tesfuhuney, W.A.; Walker, S.; van Rensburg, L.D.; Everson, C.S. Water vapor, temperature and wind profiles within maize canopy under in-field rainwater harvesting with wide and narrow runoff strips. Atmosphere 2013, 4, 428–444. [Google Scholar] [CrossRef]
- Rockström, J.; Hatlbu, N.; Owels, T.Y.; Wani, S.P. Management Water in Rainfed Agriculture. In Water for Food, Water for Life: A Comprehensive Assessment of Management in Agriculture; Routledge: London, UK, 2007; pp. 315–348. [Google Scholar]
- Maitra, S.; Ray, D.P. Enrichment of biodiversity, influence in microbial population dynamics of soil and nutrient utilization in cereal-legume intercropping systems: A Review. Int. J. Biol. Res. Sci. 2019, 6, 11–19. [Google Scholar] [CrossRef]
- Chappa, L.R.; Mugwe, J.; Maitra, S.; Gitari, H.I. Current status, and prospects of improving sunflower production in Tanzania through intercropping with Sunn hemp. International. J. Bioresour. Sci. 2022, 9, 1–8. [Google Scholar]
- Panda, S.K.; Sairam, M.; Sahoo, U.; Shankar, T.; Maitra, S. Growth, productivity and economics of maize as influenced by maize-legume intercropping system. Farming Manag. 2022, 7, 61–66. [Google Scholar] [CrossRef]
- Tsubo, M.; Mukhala, E.; Ogindo, H.O.; Walker, S. Productivity of maize-bean intercropping in a semi-arid region of South Africa. Water S. Afr. 2003, 29, 381–388. [Google Scholar] [CrossRef]
- Willey, R.W. Resource use in intercropping systems. Agric. Water Manag. 1990, 17, 215–231. [Google Scholar] [CrossRef]
- Caviglia, O.P.; Sandra, V.O. Effect of nitrogen supply on crop conductance, water- and radiation-use efficiency of wheat. Field Crops Res. 2001, 69, 259–266. [Google Scholar] [CrossRef]
- Sadras, V.O.; Roget, D. Production and environmental aspects of cropping intensification in a semi-arid environment of South Eastern Australia. Agron. J. 2004, 96, 236–246. [Google Scholar] [CrossRef]
- Sadras, V.O. The N:P stoichiometry of cereal, grain legume and oilseed crops. Field Crops Res. 2006, 95, 13–29. [Google Scholar] [CrossRef]
- Zhou, H.; Zhou, G.; Zhou, L.; Lv, X.; Ji, Y.; Zhou, M. The Interrelationship Between Water Use Efficiency and Radiation Use Efficiency Under Progressive Soil Drying in Maize. Front. Plant Sci. 2021, 12, 794409. [Google Scholar] [CrossRef] [PubMed]
- Calvinõ, P.A.; Studdert, G.A.; Abbate, P.E.; Andrade, F.H.; Redolatti, M. Use of non-selective herbicides for wheat physiological and harvest maturity acceleration. Field Crops Res. 2002, 77, 191–199. [Google Scholar] [CrossRef]
- Calvinõ, P.A.; Sadras, V.O.; Andrade, F.H. Development, growth and yield of late-sown soybean in the southern Pampas. Eur. J. Agron. 2003, 19, 265–275. [Google Scholar] [CrossRef]
- Calvinõ, P.A.; Sadras, V.O.; Andrade, F.H. Quantification of environmental and management effects on the yield of late sown soybean. Field Crops Res. 2003, 83, 67–77. [Google Scholar] [CrossRef]
- Tesfuhuney, W.; Walker, S.; Fouri, A. Uptake of Knowledge, Technology and Practices for Improving Water Productivity in Rainfed Cropping Systems in Eastern Free State; Report 2020, Report No. K/2821/4; Water Research Commission: Pretoria, South Africa, 2020. [Google Scholar]
- Hillel, D. The Field Water Balance and Water Use Efficiency. In Optimising the Soil Physical Environment towards Greater Crop Yields; Hillel, D., Ed.; Academic Press: London, UK, 1972; pp. 79–100. [Google Scholar]
- Bennie, A.T.P.; Hoffman, J.E.; Coetzee, M.J.; Very, H.S. Storage and Utilization of Rainwater in Soils for Stabilizing Crop Production in Semi-Arid Areas; Report 227/1/94; Water Research Commission (WRC): Pretoria, South Africa, 1994; pp. 31–110. [Google Scholar]
- Anderson, J.J. Rainfall-Runoff Relationships and Yield Responses of Maize and Dry Beans on the Glen/Bonheim Ecotope Using Conventional Tillage and In-Field Rainwater Harvesting. Ph.D. Thesis, University of the Free State, Bloemfontein, South Africa, 2007. [Google Scholar]
- Passioura, J.B. Increasing crop productivity when water is scarce—From breeding to field management. Agric. Water Manag. 2006, 80, 176–196. [Google Scholar] [CrossRef]
- Hillel, D. Infiltration and Surface Runoff. In Introduction to Soil Physics; Hillel, D., Ed.; Academic Press: New York, NY, USA, 1982; pp. 211–234. [Google Scholar]
- Sinclair, R. Water Relations of Tropical Epiphytes: I. Relationships between Stomatal Resistance, Relative Water Content and the Components of Water Potential. J. Exp. Bot. 1983, 34, 1652–1663. [Google Scholar] [CrossRef]
- Botha, J.J.; Anderson, J.J.; van Staden, P.P.; van Rensburg, L.D.; Beukes, D.J.; Hensley, M. Quantifying and Modelling the Influence of Different Mulches on Evaporation from the Soil Surface; ARC-ISCW Report No. GW/A/2001/5; OSWU: Pretoria, South Africa, 2001. [Google Scholar]
- Passioura, J.B. Roots and drought resistance. Agric. Water Manag. 1983, 7, 265–280. [Google Scholar] [CrossRef]
- Monsi, M.; Saeki, T. Über den Lichtfaktor in den Pflanzengesellschaften und seine Bedeutung für die Stoffproduktion. Jpn. J. Bot. 1953, 14, 22–52. [Google Scholar]
- Tsubo, M.; Walker, S. A model of radiation interception and use by a maize-bean intercrop canopy. Agric. For. Meteorol. 2002, 110, 203–215. [Google Scholar] [CrossRef]
- Monteith, J.L. Principles of Environmental Physics, 1st ed.; Edward Arnold: London, UK, 1973; pp. 232–244. [Google Scholar]
- Morris, R.A.; Garrity, D.P. Resource capture and utilization in intercropping: Non-nitrogen nutrient. Field Crops Res. 1993, 34, 319–334. [Google Scholar] [CrossRef]
- SAS Institute Inc. SAS Enterprise Guide 4.1 (4.1.0.471); SAS Institute Inc.: Cary, NC, USA, 2006. [Google Scholar]
- Tsubo, M.; Walker, S. Shade effects on Phaseolus vulgaris L. with Zea mays L. under well-watered conditions. J. Agron. Crop Sci. 2004, 190, 168–176. [Google Scholar] [CrossRef]
- Zere:, T.B.; Van Huyssteen, C.W.; Hensley, M. Estimation of runoff at Glen in the Free State Province of South Africa. Water S. Afr. 2005, 31, 17–21. [Google Scholar]
- Welderufael, W.A.; Le Roux, P.A.L.; Hensley, M. Quantifying rainfall-runoff relationships on the Dera Calcic Fluvic Regosol ecotope in Ethiopia. Agric. Water Manag. 2008, 95, 1223–1232. [Google Scholar] [CrossRef]
- Anderson, J.J.; Joseph, L.F.; Botha, J.J. Impact of Techniques and Practices for Water Harvesting and Conservation on Production and Water Use Efficiency; Report to the University of Fort Hare. ARC-ISCW Report No GW/2007/52-064; Water Research Commission: Pretoria, South Africa, 2007. [Google Scholar]
- Doorenbos, J.; Kassam, A.H. Yield Response to Water; FAO Irrigation and Drainage Paper 33; Food and Agriculture Organization of the United Nations: Rome, Italy, 1986. [Google Scholar]
- FAO. The State of the Food Insecurity in the World 2000; FAO: Rome, Italy, 2000. [Google Scholar]
- Ndakidemi, P.A.; Dakora, F.D.; Nkonya, E.M.; Ringo, D.; Mansoor, H. Yield and economic benefits of common bean (Phaseolus vulgaris) and soybean (Glycine max) inoculation in northern Tanzania. Aust. J. Exp. Agric. 2006, 46, 571–577. [Google Scholar] [CrossRef]
- Eskandar, H.; Ghanbari, A. Intercropping of Maize (Zea mays) and Cowpea (Vigna sinensis) as Whole-Crop Forage: Effect of Different Planting Pattern on Total Dry Matter Production and Maize Forage Quality. Not. Bot. Horti Agrobot. 2009, 37, 152–155. [Google Scholar]
- Ogindo, H.O.; Walker, S. Comparison of Measured Changes in Seasonal Soil Water Content by Rained Maize-bean Intercrop and Component Cropping in Semi-arid Region in South Africa. Phys. Chem. Earth 2005, 30, 799–808. [Google Scholar] [CrossRef]
- Thomas, P. Enhancing Water Productivity in Wheat by Optimization of Irrigation Management Using AquaCrop Model. Master’s Thesis, P.G. School IARI, New Delhi, India, 2013. [Google Scholar]
- Gregory, P.J. Water-Use-Efficiency of Crops in the Semi-Arid Tropics. In Soil, Crop and Water Management in the Sudano-Sahelian zone; International Crops Research Institute for the Semi-Arid Tropics (ICRISAT): Patancheru Niger, India, 1989; pp. 85–98. [Google Scholar]
- Sinclair, T.R.; Hammer, G.L.; van Oosterom, E.J. Potential yield and water-use efficiency benefits in sorghum from limited maximum transpiration rate. Funct. Plant Biol. 2005, 32, 945–952. [Google Scholar] [CrossRef]
- Bello, Z.A.; Walker, S.; Tesfuhuney, W. Water relations and productivity of two lines of pearl millet grown on lysimeter with two different soil types. Agric. Water Manag. 2019, 221, 528–537. [Google Scholar] [CrossRef]
- Hunt, R.; Warren Wilson, J.; Hand, D.W. Integrated analysis of resource capture and utilization. Annu. Bot. 1990, 65, 643–648. [Google Scholar] [CrossRef]
- Monteith, J.L. Principles of Resource Capture by Crops Stands. In Resource Capture by Crops; Monteith, J.L., Scott, R.K., Unsworth, M.U., Eds.; Nottingham University Press: Loughborough, UK, 1994; pp. 1–15. [Google Scholar]
- Singh, P.; Sri Rama, Y.V. Influence of water deficit on transpiration and radiation use efficiency of chickpea (Cicer arietinum L.). Agric. For. Meteorol. 1989, 48, 317–330. [Google Scholar] [CrossRef]
- Caviglia, O.P.; Sadras, V.O.; Andrade, F.H. Intensification of agriculture in the south-eastern Pampas. I. Capture and efficiency in the use of water and radiation in double cropped wheat-soybean. Field Crops Res. 2004, 87, 117–129. [Google Scholar] [CrossRef]
- Loomis, R.S.; Connor, D.J. Crop Ecology: Productivity and Management in Agricultural Systems; Cambridge University Press: Cambridge, UK, 1992; pp. 538–541. [Google Scholar]
- Tsubo, M.; Walker, S. Relationships between photosynthetically active radiation and clearness index at Bloemfontein, South Africa. Theory Appl. Climatol. 2005, 80, 17–25. [Google Scholar] [CrossRef]







| DAE | Total AGDM, (g m−2), (Morago Village) | Total AGDM, (g m−2), (Paradys Village) | ||||||||
|---|---|---|---|---|---|---|---|---|---|---|
| Sole Maize | Maize-Ic | Sole Beans | Beans-Ic | Total M + B | Sole Maize | Maize-Ic | Sole Beans | Beans-Ic | Total M + B | |
| IRWH | ||||||||||
| 28 | 1.2 | 0.5 | 3.8 | 1.8 | 2.3 | 1.8 | 4.5 | 2.9 | 2.2 | 6.7 |
| 38 | 1.6 | 0.8 | 7.5 | 2.4 | 3.2 | 14.1 | 9.5 | 12.5 | 9.1 | 18.6 |
| 50 | 31.8 | 4.2 | 23.4 | 19.0 | 23.3 | 42.1 | 69.5 | 48.3 | 29.9 | 99.4 |
| 63 | 34.6 | 21.1 | 89.2 | 70.6 | 91.7 | 128.4 | 90.6 | 109.9 | 106.4 | 197.0 |
| 70 | 196.8 | 88.1 | 544.6 | 311.1 | 399.2 | 216.2 | 107.6 | 534.0 | 241.0 | 348.6 |
| 85 | 243.1 | 220.2 | 549.2 | 476.0 | 696.1 | 272.8 | 126.2 | 642.8 | 261.2 | 367.4 |
| 96 | 231.1 | 205.3 | 530.6 | 440.7 | 646.0 | 312.1 | 146.9 | 738.6 | 665.4 | 812.3 |
| CON | ||||||||||
| 28 | 1.0 | 2.2 | 2.1 | 0.8 | 3.0 | 1.4 | 3.2 | 1.5 | 2.8 | 6.o |
| 38 | 1.5 | 3.1 | 7.2 | 1.0 | 4.1 | 1.6 | 2.4 | 1.6 | 4.5 | 6.9 |
| 50 | 2.4 | 20.3 | 12.8 | 1.9 | 4.2 | 10.4 | 24.2 | 10.4 | 16.3 | 40.5 |
| 63 | 9.9 | 23.0 | 47.4 | 10.4 | 33.4 | 28.8 | 80.5 | 28.8 | 75.8 | 156.3 |
| 70 | 27.4 | 76.5 | 78.7 | 91.1 | 167.6 | 241.1 | 163.2 | 241.1 | 149.5 | 312.3 |
| 85 | 229.1 | 155.1 | 166.5 | 326.6 | 481.7 | 265.7 | 252.8 | 265.7 | 248.9 | 501.7 |
| 96 | 252.4 | 240.2 | 428.3 | 449.6 | 689.7 | 287.9 | 270.2 | 288.0 | 292.1 | 562.3 |
| Treatments | DAE | 1–28 | 29–38 | 39–50 | 51–63 | 64–70 | 71–85 | 85–121 | Total |
| P (mm) | 14.2 | 46.2 | 71.2 | 19.8 | 46.6 | 101.4 | 11.2 | 310.6 | |
| (a) CON Tillage | Run-off (Roff) | 3.8 | 12.4 | 19.1 | 5.3 | 12.5 | 27.2 | 3 | −83.2 |
| Sole-Maize | ΔSW | 4.4 | 6.7 | −6.8 | −2.5 | 16.2 | −32.6 | 27.3 | 12.7 |
| ET | 14.8 | 40.5 | 45.3 | 12.0 | 50.3 | 41.6 | 35.5 | 240 | |
| Sole-Beans | ΔSW | 6.8 | 13.8 | −30.2 | 23.8 | −3.1 | −5.1 | −1.6 | 4.4 |
| ET | 17.2 | 47.6 | 21.9 | 38.3 | 31.0 | 69.1 | 6.6 | 231.7 | |
| Ic-Maize/beans | ΔSW | 4.7 | 11.1 | −9.6 | 19.1 | −10.6 | 16.9 | 3.5 | 35.1 |
| ET | 15.1 | 44.9 | 42.5 | 33.6 | 23.5 | 91.1 | 11.7 | 262.4 | |
| (b) IRWH Tillage | Run-off (Roff) | 0 | 0 | 0 | 0 | 0 | 0 | 0 | 0 |
| Sole-Maize | ΔSW | 6.9 | 31.1 | −3.4 | 5.3 | −12.2 | −17.1 | 19.0 | 29.8 |
| ET | 21.1 | 77.3 | 67.8 | 25.1 | 34.4 | 84.3 | 30.2 | 340.4 | |
| Sole-Beans | ΔSW | 7.1 | 5.0 | −30.1 | 16.8 | −24.4 | 8.0 | 8.9 | -8.8 |
| ET | 21.3 | 51.2 | 41.1 | 36.6 | 22.2 | 109.4 | 20.1 | 301.8 | |
| Ic-Maize/beans | ΔSW | 4.6 | 9.7 | −12.3 | 10.0 | −15.5 | 31.0 | 21.4 | 49.0 |
| ET | 18.8 | 55.9 | 58.9 | 29.8 | 31.1 | 132.4 | 32.6 | 359.6 |
| Treatment | Maize (kg ha−1) | Treatment | Beans (kg ha−1) | ||
|---|---|---|---|---|---|
| AGDM | Yg | AGDM | Yg | ||
| (a) WP | |||||
| IRWH-Sole-M | 12.70b | 3.73a | IRWH-Sole-B | 10.10a | 2.83a |
| IRWH-Ic-M | 15.12a | 3.53b | IRWH-Ic-B | 7.86b | 2.51a |
| CON-Sole-M | 9.58c | 2.67b | CON-Sole-B | 5.43c | 2.21a |
| CON-Ic-M | 8.34c | 2.63b | CON-Ic-B | 5.44c | 1.99a |
| LSD | 2.21 | 1.01 | LSD | 1.95 | 0.91 |
| (b) WUE | |||||
| IRWH-Sole-M | 11.59a | 3.41a | IRWH-Sole-B | 10.40a | 2.91a |
| IRWH-Ic-M | 13.06a | 3.05a | IRWH-Ic-B | 6.79b | 2.17a |
| CON-Sole-M | 12.40a | 3.46a | CON-Sole-B | 7.28b | 2.97a |
| CON-Ic-M | 9.87b | 3.12a | CON-Ic-B | 6.44b | 2.36a |
| LSD | 1.68 | 1.22 | LSD | 2.13 | 1.08 |
| DAE | TPAR (MJ) | RUE (AGDM/TPAR, (g MJ−1) | RUE Improve (%) | |||||||
|---|---|---|---|---|---|---|---|---|---|---|
| Maize-Sole | Maize -Ic | Beans-Sole | Beans-Ic | Maize-Sole | Maize -Ic | Beans-Sole | Beans-Ic | Total M + B | ||
| (a) Morago | ||||||||||
| IRWH | ||||||||||
| 28 | - | - | - | - | - | - | - | - | - | - |
| 38 | 41.1 | 42.2 | 70.7 | 5.1 | 0.04 | 0.02 | 0.11 | 0.47 | 0.49 | −89.5 |
| 50 | 146.3 | 198.9 | 155.0 | 102.8 | 0.22 | 0.02 | 0.15 | 0.19 | 0.21 | −26.0 |
| 63 | 258.9 | 313.1 | 272.2 | 284.5 | 0.13 | 0.07 | 0.33 | 0.25 | 0.32 | 8.4 |
| 70 | 355.5 | 422.0 | 416.2 | 438.4 | 0.55 | 0.21 | 1.31 | 0.71 | 0.92 | 9.4 |
| 85 | 373.1 | 486.5 | 469.1 | 534.2 | 0.65 | 0.45 | 1.17 | 0.89 | 1.34 | 17.9 |
| 96 | 385.9 | 521.3 | 522.5 | 606.4 | 0.60 | 0.39 | 1.02 | 0.73 | 1.12 | 20.1 |
| CON | ||||||||||
| 28 | - | - | - | - | - | - | - | - | - | - |
| 38 | 58.4 | 41.0 | 33.4 | 16.3 | 0.03 | 0.07 | 0.21 | 0.06 | 0.14 | −27.9 |
| 50 | 167.5 | 302.5 | 122.2 | 202.6 | 0.01 | 0.01 | 0.10 | 0.01 | 0.02 | 81.8 |
| 63 | 316.2 | 494.1 | 298.3 | 365.0 | 0.03 | 0.05 | 0.16 | 0.03 | 0.07 | 46.4 |
| 70 | 410.7 | 554.7 | 446.7 | 585.6 | 0.07 | 0.14 | 0.18 | 0.16 | 0.29 | 31.1 |
| 85 | 456.4 | 568.7 | 500.8 | 705.5 | 0.50 | 0.27 | 0.33 | 0.46 | 0.74 | 34.4 |
| 96 | 534.0 | 611.8 | 577.1 | 800.4 | 0.47 | 0.39 | 0.74 | 0.56 | 0.95 | 28.2 |
| (b) Paradys | ||||||||||
| IRWH | ||||||||||
| 28 | 74.8 | 47.2 | 20.6 | 21.5 | 0.02 | 0.09 | 0.14 | 0.10 | 0.20 | −9.5 |
| 38 | 220.5 | 145.2 | 66.9 | 111.9 | 0.06 | 0.07 | 0.19 | 0.08 | 0.15 | 10.8 |
| 50 | 432.1 | 277.5 | 178.4 | 287.3 | 0.10 | 0.25 | 0.27 | 0.10 | 0.35 | 9.1 |
| 63 | 532.5 | 398.5 | 337.8 | 413.1 | 0.24 | 0.25 | 0.33 | 0.26 | 0.51 | 1.9 |
| 70 | 549.8 | 488.6 | 498.4 | 466.2 | 0.39 | 0.14 | 1.07 | 0.52 | 0.66 | −8.4 |
| 85 | 557.3 | 539.3 | 619.7 | 536.6 | 0.49 | 0.20 | 1.04 | 0.49 | 0.68 | −10.5 |
| 96 | 525.1 | 582.0 | 655.9 | 604.0 | 0.59 | 0.25 | 1.13 | 1.10 | 1.35 | −2.5 |
| CON | ||||||||||
| 28 | 60.4 | 36.5 | 26.5 | 12.1 | 0.02 | 0.09 | 0.05 | 0.27 | 0.36 | −50.7 |
| 38 | 131.8 | 153.0 | 106.0 | 95.1 | 0.01 | 0.02 | 0.02 | 0.03 | 0.04 | 2.9 |
| 50 | 250.4 | 237.9 | 218.3 | 186.6 | 0.04 | 0.10 | 0.05 | 0.02 | 0.12 | 0.2 |
| 63 | 316.5 | 334.4 | 314.6 | 369.5 | 0.09 | 0.24 | 0.09 | 0.22 | 0.46 | 11.4 |
| 70 | 332.0 | 374.7 | 382.3 | 425.6 | 0.73 | 0.44 | 0.63 | 0.38 | 0.82 | 8.7 |
| 85 | 368.6 | 429.7 | 430.6 | 498.9 | 0.72 | 0.59 | 0.62 | 0.51 | 1.10 | 12.2 |
| 96 | 381.9 | 452.0 | 471.9 | 521.4 | 0.75 | 0.60 | 0.61 | 0.52 | 1.12 | 9.1 |
| Treatments | Sole-Cropping | Treatments | Intercropping | ||||
|---|---|---|---|---|---|---|---|
| Max. RUE (g MJ−1) | R2 | Slope | Max. RUE (g MJ−1) | R2 | Slope | ||
| IRWH-Sole-M | 8.12 | 0.84 | 0.571 | IRWH-Ic-M | 6.89 | 0.67 | 0.560 |
| IRWH-Sole-B | 5.09 | IRWH-IC-B | 4.05 | ||||
| CON-Sole-M | 7.16 | 0.88 | 0.623 | CON-Ic-M | 8.46 | 0.82 | 0.629 |
| CON-Sole-B | 2.81 | CON-Ic-B | 3.60 | ||||
Disclaimer/Publisher’s Note: The statements, opinions and data contained in all publications are solely those of the individual author(s) and contributor(s) and not of MDPI and/or the editor(s). MDPI and/or the editor(s) disclaim responsibility for any injury to people or property resulting from any ideas, methods, instructions or products referred to in the content. |
© 2023 by the authors. Licensee MDPI, Basel, Switzerland. This article is an open access article distributed under the terms and conditions of the Creative Commons Attribution (CC BY) license (https://creativecommons.org/licenses/by/4.0/).
Share and Cite
Tesfuhuney, W.; Ravuluma, M.; Dzvene, A.R.; Bello, Z.; Andries, F.; Walker, S.; Cammarano, D. In-Field Rainwater Harvesting Tillage in Semi-Arid Ecosystems: II Maize–Bean Intercrop Water and Radiation Use Efficiency. Plants 2023, 12, 2919. https://doi.org/10.3390/plants12162919
Tesfuhuney W, Ravuluma M, Dzvene AR, Bello Z, Andries F, Walker S, Cammarano D. In-Field Rainwater Harvesting Tillage in Semi-Arid Ecosystems: II Maize–Bean Intercrop Water and Radiation Use Efficiency. Plants. 2023; 12(16):2919. https://doi.org/10.3390/plants12162919
Chicago/Turabian StyleTesfuhuney, Weldemichael, Muthianzhele Ravuluma, Admire Rukudzo Dzvene, Zaid Bello, Fourie Andries, Sue Walker, and Davide Cammarano. 2023. "In-Field Rainwater Harvesting Tillage in Semi-Arid Ecosystems: II Maize–Bean Intercrop Water and Radiation Use Efficiency" Plants 12, no. 16: 2919. https://doi.org/10.3390/plants12162919
APA StyleTesfuhuney, W., Ravuluma, M., Dzvene, A. R., Bello, Z., Andries, F., Walker, S., & Cammarano, D. (2023). In-Field Rainwater Harvesting Tillage in Semi-Arid Ecosystems: II Maize–Bean Intercrop Water and Radiation Use Efficiency. Plants, 12(16), 2919. https://doi.org/10.3390/plants12162919

