Planning Spatial Layout of a Typical Salt Tolerant Forage of Sweet Sorghum in the Yellow River Delta via Considering Resource Constraints, Nitrogen Use Efficiency, and Economic Benefits
Abstract
1. Introduction
2. Results
2.1. Temporal and Spatial Distribution of Climate Suitability for Sweet Sorghum
2.2. Spatial Distribution of Soil Suitability for Sweet Sorghum
2.3. Economic Benefit Analysis of Different Crops in the Yellow River Delta
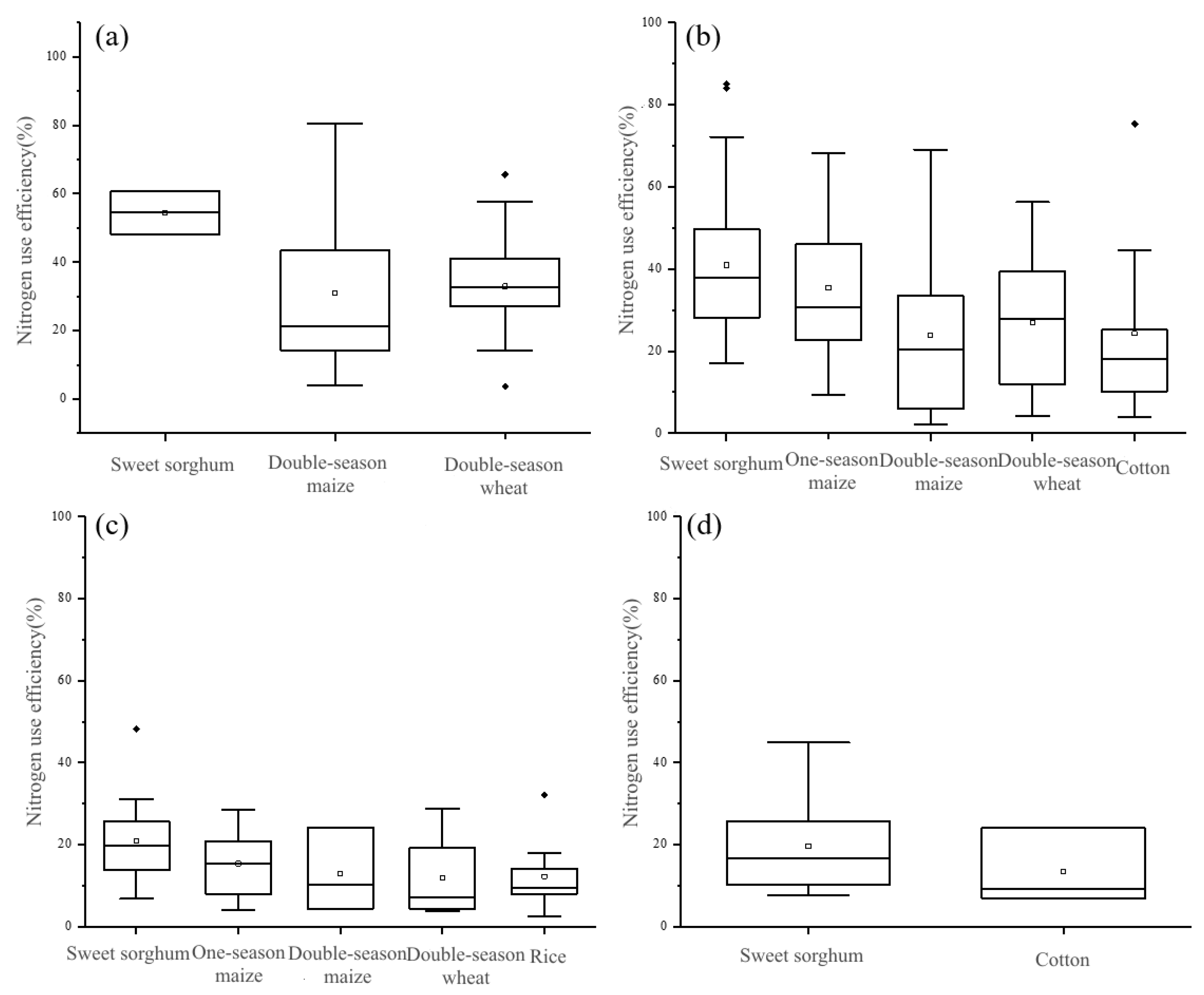
2.4. Fertilizer Utilization Rate in a Typical Agricultural Area of the Yellow River Delta
3. Discussion
3.1. Planting Suitability of Sweet Sorghum
3.2. Comparison of Economic Benefits between Main Crops and Sweet Sorghum in the Yellow River Delta
3.3. Comparative Analysis of Nitrogen Efficiency between Sweet Sorghum and Traditional Cropping Systems
4. Materials and Methods
4.1. Study Area
4.2. Data Source
4.3. Climate Suitability for Sweet Sorghum
4.3.1. Temperature Suitability Index
4.3.2. Water Suitability Index
4.3.3. Sunshine Suitability Index
4.3.4. Comprehensive Suitability Index
4.4. Calculation of Fertilizer Utilization
5. Conclusions
Author Contributions
Funding
Data Availability Statement
Conflicts of Interest
References
- Cheng, Q.; Chang, H.; Yang, X.; Wang, D.; Wang, W. Salinity and nutrient modulate soil bacterial communities in the coastal wetland of the Yellow River Delta, China. Environ. Sci. Pollut. Res. 2021, 28, 14621–14631. [Google Scholar] [CrossRef]
- Pan, C.; Liu, C.; Zhao, H.; Wang, Y. Changes of soil physico-chemical properties and enzyme activities in relation to grassland salinization. Eur. J. Soil Biol. 2013, 55, 13–19. [Google Scholar] [CrossRef]
- Zhao, Q.; Bai, J.; Gao, Y.; Zhao, H.; Zhang, G.; Cui, B. Shifts in the soil bacterial community along a salinity gradient in the Yellow River Delta. Land Degrad. Dev. 2020, 31, 2255–2267. [Google Scholar] [CrossRef]
- Wang, Z.; Zhao, G.; Gao, M.; Chang, C. Spatial variability of soil salinity in coastal saline soil at different scales in the Yellow River Delta, China. Environ. Monit. Assess. 2017, 189, 80. [Google Scholar] [CrossRef]
- Bian, L.; Wang, J.; Liu, J.; Han, B. Spatiotemporal Changes of Soil Salinization in the Yellow River Delta of China from 2015 to 2019. Sustainability 2021, 13, 822. [Google Scholar] [CrossRef]
- Chu, L.; Liu, Q.S.; Huang, C.; Liu, G.H. Monitoring of winter wheat distribution and phenological phases based on MODIS time-series: A case study in the Yellow River Delta, China. J. Integr. Agric. 2016, 15, 2403–2416. [Google Scholar] [CrossRef]
- Guo, B.; Zang, W.; Zhang, R. Soil Salizanation Information in the Yellow River Delta Based on Feature Surface Models Using Landsat 8 OLI Data. IEEE Access 2020, 8, 94394–94403. [Google Scholar] [CrossRef]
- Fan, X.; Pedroli, B.; Liu, G.; Liu, Q.; Liu, H.; Shu, L. Soil salinity development in the yellow river delta in relation to groundwater dynamics. Land Degrad. Dev. 2012, 23, 175–189. [Google Scholar] [CrossRef]
- Qadir, M.; Oster, J.D. Crop and irrigation management strategies for saline-sodic soils and waters aimed at environmentally sustainable agriculture. Sci. Total Environ. 2004, 323, 1–19. [Google Scholar] [CrossRef]
- Jesus, J.M.; Danko, A.S.; Fiúza, A.; Borges, M.-T. Phytoremediation of salt-affected soils: A review of processes, applicability, and the impact of climate change. Environ. Sci. Pollut. Res. 2015, 22, 6511–6525. [Google Scholar] [CrossRef]
- Bharti, P.; Singh, B.; Bauddh, K.; Dey, R.K.; Korstad, J. Efficiency of Bioenergy Plant in Phytoremediation of Saline and Sodic Soil. In Phytoremediation Potential of Bioenergy Plants; Springer: Singapore, 2017; pp. 353–369. [Google Scholar]
- Li, X.Z.; Yan, C.G.; Zan, L.S. Current situation and future prospects for beef production in China—A review. Asian-Australas. J. Anim. Sci. 2018, 31, 984–991. [Google Scholar] [CrossRef] [PubMed]
- Guo, Z.; Qin, F. An Empirical Analysis of the Role of Forage Product Trade on Grassland Quality and Livestock Production in China. Land 2022, 11, 1938. [Google Scholar] [CrossRef]
- Mueller, N.D.; Gerber, J.S.; Johnston, M.; Ray, D.K.; Ramankutty, N.; Foley, J.A. Closing yield gaps through nutrient and water management. Nature 2013, 494, 390. [Google Scholar] [CrossRef]
- Zhuang, D.; Jiang, D.; Liu, L.; Huang, Y. Assessment of bioenergy potential on marginal land in China. Renew. Sustain. Energy Rev. 2011, 15, 1050–1056. [Google Scholar] [CrossRef]
- Huang, Z.; Dunkerley, D.; López-Vicente, M.; Wu, G.-L. Trade-offs of dryland forage production and soil water consumption in a semi-arid area. Agric. Water Manag. 2020, 241, 106349. [Google Scholar] [CrossRef]
- Zhang, W.J.; Ding, C.L.; Shen, Y.X.; Cheng, Y.H.; Xu, N.X. Effect of Cultivation Measures on Forage Production and Quality of Forage Grasses in Coastal Beach Areas. Acta Agrestia Sin. 2012, 20, 318–323. [Google Scholar]
- Qu, H.; Liu, X.B.; Dong, C.F.; Lu, X.Y.; Shen, Y.X. Field performance and nutritive value of sweet sorghum in eastern China. Field Crops Res. 2014, 157, 84–88. [Google Scholar] [CrossRef]
- Zerbini, E.; Thomas, D. Opportunities for improvement of nutritive value in sorghum and pearl millet residues in South Asia through genetic enhancement. Field Crops Res. 2003, 84, 3–15. [Google Scholar] [CrossRef]
- Li, Y.; Mao, P.; Zhang, W.; Wang, X.; You, Y.; Zhao, H.; Zhai, L.; Liu, G. Dynamic expression of the nutritive values in forage sorghum populations associated with white, green and brown midrid genotypes. Field Crops Res. 2015, 184, 112–122. [Google Scholar] [CrossRef]
- Dou, X.; Hongli, L.; Wenjie, G.; Tingting, X.; Qicong, W.; Chunhun, A.; Jiachen, P.; Zhi, D. Dynamic Monitoring and Comprehensive Evaluation of the Effect of Pasture Cultivation on Saline Soil Improvement in the Yellow River Delta. J. Soil Water Conserv. 2022, 36, 394–401. [Google Scholar]
- Mishra, J.S.; Kumar, R.; Rao, S.S. Performance of Sweet Sorghum (Sorghum bicolor) Cultivars as a Source of Green Fodder Under Varying Levels of Nitrogen in Semi-arid Tropical India. Sugar Tech 2017, 19, 532–538. [Google Scholar] [CrossRef]
- Ding, T.; Yang, Z.; Wei, X.; Yuan, F.; Yin, S.; Wang, B. Evaluation of salt-tolerant germplasm and screening of the salt-tolerance traits of sweet sorghum in the germination stage. Funct. Plant Biol. 2018, 45, 1073–1081. [Google Scholar] [CrossRef]
- Vasilakoglou, I.; Dhima, K.; Karagiannidis, N.; Gatsis, T. Sweet sorghum productivity for biofuels under increased soil salinity and reduced irrigation. Field Crops Res. 2011, 120, 38–46. [Google Scholar] [CrossRef]
- Thivierge, M.-N.; Chantigny, M.H.; Seguin, P.; Vanasse, A. Sweet pearl millet and sweet sorghum have high nitrogen uptake efficiency under cool and wet climate. Nutr. Cycl. Agroecosystems 2015, 102, 195–208. [Google Scholar] [CrossRef]
- Yang, Z.; Li, J.-L.; Liu, L.-N.; Xie, Q.; Sui, N. Photosynthetic Regulation Under Salt Stress and Salt-Tolerance Mechanism of Sweet Sorghum. Front. Plant Sci. 2020, 10, 1722. [Google Scholar] [CrossRef]
- Tang, C.; Sun, C.; Du, F.; Chen, F.; Ameen, A.; Fu, T.; Xie, G.H. Effect of Plant Density on Sweet and Biomass Sorghum Production on Semiarid Marginal Land. Sugar Tech 2018, 20, 312–322. [Google Scholar] [CrossRef]
- Alix, H.; Tremblay, G.F.; Chantigny, M.H.; Bélanger, G.; Seguin, P.; Fuller, K.D.; Bittman, S.; Hunt, D.; Larney, F.J.; Acharya, S.N.; et al. Forage yield, nutritive value, and ensilability of sweet pearl millet and sweet sorghum in five Canadian ecozones. Can. J. Plant Sci. 2019, 99, 701–714. [Google Scholar] [CrossRef]
- Zhang, C.; Xie, G.; Li, S.; Ge, L.; He, T. The productive potentials of sweet sorghum ethanol in China. Appl. Energy 2010, 87, 2360–2368. [Google Scholar] [CrossRef]
- Xu, Z.R.; Cheng, K.S.; Xie, G.D. Study on Suitable Area and Energy Resource Potential of Sweet Sorghum. Renew. Energy Resour. 2010, 4, 118–122. [Google Scholar] [CrossRef]
- Fuglie, K.; Peters, M.; Burkart, S. The Extent and Economic Significance of Cultivated Forage Crops in Developing Countries. Front. Sustain. Food Syst. 2021, 5, 2136. [Google Scholar] [CrossRef]
- Barbanti, L.; Grandi, S.; Vecchi, A.; Venturi, G. Sweet and fibre sorghum (Sorghum bicolor (L.) Moench), energy crops in the frame of environmental protection from excessive nitrogen loads. Eur. J. Agron. 2006, 25, 30–39. [Google Scholar] [CrossRef]
- Zhang, X.; Wang, G.; Xue, B.; Zhang, M.; Tan, Z. Dynamic landscapes and the driving forces in the Yellow River Delta wetland region in the past four decades. Sci. Total Environ. 2021, 787, 147644. [Google Scholar] [CrossRef] [PubMed]
- Berenguer, M.; Faci, J. Sorghum (Sorghum bicolor L. Moench) yield compensation processes under different plant densities and variable water supply. Eur. J. Agron. 2001, 15, 43–55. [Google Scholar] [CrossRef]
- Almodares, A.; Hadi, M.R. Production of Bioethanol from Sweet Sorghum: A Review. Afr. J. Agric. Res. 2009, 4, 772–780. [Google Scholar]
- Mastrorilli, M.; Katerji, N.; Rana, G. Productivity and water use efficiency of sweet sorghum as affected by soil water deficit occurring at different vegetative growth stages. Eur. J. Agron. 1999, 11, 207–215. [Google Scholar] [CrossRef]
- Steduto, P.; Katerji, N.; Molina, H.P.; Mastrorilli, M.; Rana, G. Water-use efficiency of sweet sorghum under water stress conditions Gas-exchange investigations at leaf and canopy scales. Field Crops Res. 1997, 54, 221–234. [Google Scholar] [CrossRef]
- de Lacerda, C.F.; Oliveira, H.; de Oliveira, T.S.; Gomes Filho, E. Growth and Leaf Ions Accumulation in Forage Sorghum Subjected to Isoosmotic Solutions of Slats (NaCl + KCl). Ciência Agronômica 2003, 34, 7–12. [Google Scholar]
- Krishnamurthy, P.; Ranathunge, K.; Franke, R.; Prakash, H.S.; Schreiber, L.; Mathew, M.K. The role of root apoplastic transport barriers in salt tolerance of rice (Oryza sativa L.). Planta 2009, 230, 119–134. [Google Scholar] [CrossRef]
- Yang, Z.; Zheng, H.; Wei, X.; Song, J.; Wang, B.; Sui, N. Transcriptome analysis of sweet Sorghum inbred lines differing in salt tolerance provides novel insights into salt exclusion by roots. Plant Soil 2018, 430, 423–439. [Google Scholar] [CrossRef]
- Dai, L.Y.; Zhang, L.J.; Jiang, S.J.; De Yin, K. Saline and alkaline stress genotypic tolerance in sweet sorghum is linked to sodium distribution. Acta Agric. Scand. Sect. B Soil Plant Sci. 2014, 64, 471–481. [Google Scholar] [CrossRef]
- Xue, X.; Zhang, Q.; Wu, J. Research of Reactive Oxygen Species in Plants and Its Application on Stress Tolerance. Biotechnol. Bull. 2013, 6, 6–11. [Google Scholar]
- Chai, Y.Y.; Jiang, C.D.; Shi, L.; Shi, T.S.; Gu, W.B. Effects of exogenous spermine on sweet sorghum during germination under salinity. Biol. Plant. 2010, 54, 145–148. [Google Scholar] [CrossRef]
- Liu, H.; Ren, L.; Spiertz, H.; Zhu, Y.; Xie, G.H. An economic analysis of sweet sorghum cultivation for ethanol production in North China. GCB Bioenergy 2014, 7, 1176–1184. [Google Scholar] [CrossRef]
- Hariprasanna, K.; Rakshit, S. Economic Importance of Sorghum. In The Sorghum Genome. Compendium of Plant Genomes; Springer: Cham, Switzerland, 2016; pp. 1–25. [Google Scholar] [CrossRef]
- Chapke, R.R.; Tonapi, V.A. Adoption and Socio-economic Benefits of Improved Post-rainy Sorghum Production Technology. Agric. Res. 2018, 8, 270–278. [Google Scholar] [CrossRef]
- Cui, B.; Yang, Q.; Yang, Z.; Zhang, K. Evaluating the ecological performance of wetland restoration in the Yellow River Delta, China. Ecol. Eng. 2009, 35, 1090–1103. [Google Scholar] [CrossRef]
- Wang, H.; Wu, X.; Bi, N.; Li, S.; Yuan, P.; Wang, A.; Syvitski, J.P.; Saito, Y.; Yang, Z.; Liu, S.; et al. Impacts of the dam-orientated water-sediment regulation scheme on the lower reaches and delta of the Yellow River (Huanghe): A review. Glob. Planet. Change 2017, 157, 93–113. [Google Scholar] [CrossRef]
- Danzer, A.M.; Grundke, R. Export price shocks and rural labor markets: The role of labor market distortions. J. Dev. Econ. 2020, 145, 102464. [Google Scholar] [CrossRef]
- Wu, X.; Wang, D.; Riaz, M.; Zhang, L.; Jiang, C. Investigating the effect of biochar on the potential of increasing cotton yield, potassium efficiency and soil environment. Ecotoxicol. Environ. Saf. 2019, 182, 109451. [Google Scholar] [CrossRef]
- Widodo, S.; Triastono, J.; Sahara, D.; Pustika, A.B.; Kristamtini; Purwaningsih, H.; Arianti, F.D.; Praptana, R.H.; Romdon, A.S.; Sutardi; et al. Economic Value, Farmers Perception, and Strategic Development of Sorghum in Central Java and Yogyakarta, Indonesia. Agriculture 2023, 13, 516. [Google Scholar] [CrossRef]
- Alexander, M. Biological Nitrogen Fixation: Ecology, Technology and Physiology; Plenum Publishing Corp.: New York, NY, USA, 1984. [Google Scholar]
- Bekki, A.; Trinchant, J.-C.; Rigaud, J. Nitrogen fixation (C2H2 reduction) by Medicago nodules and bacteroids under sodium chloride stress. Physiol. Plant. 1987, 71, 61–67. [Google Scholar] [CrossRef]
- Rai, R.; Nasar, S.K.T.; Singh, S.J.; Prasad, V. Interactions between Rhizobium strains and lentil (Lens culinaris L.) genotypes under salt stress. J. Agric. Sci. 1985, 104, 199–205. [Google Scholar] [CrossRef]
- Craig, G.F.; Atkins, C.A.; Bell, D.T. Effect of salinity on growth of four strains of Rhizobium and their infectivity and effectiveness on two species of Acacia. Plant Soil 1991, 133, 253–262. [Google Scholar] [CrossRef]
- Cordovilla, M.; Ligero, F.; Lluch, C. The effect of salinity on N fixation and assimilation in Vicia faba. J. Exp. Bot. 1994, 45, 1483–1488. [Google Scholar] [CrossRef]
- Bagayoko, M.; Buerkert, A.; Lung, G.; Bationo, A.; Römheld, V. Cereal/legume rotation effects on cereal growth in Sudano-Sahelian West Africa: Soil mineral nitrogen, mycorrhizae and nematodes. Plant Soil 2000, 218, 103–116. [Google Scholar] [CrossRef]
- Okamoto, M.; Okada, K. Differential responses of growth and nitrogen uptake to organic nitrogen in four gramineous crops. J. Exp. Bot. 2004, 55, 1577–1585. [Google Scholar] [CrossRef]
- Zakir, H.A.K.M.; Subbarao, G.V.; Pearse, S.J.; Gopalakrishnan, S.; Ito, O.; Ishikawa, T.; Kawano, N.; Nakahara, K.; Yoshihashi, T.; Ono, H.; et al. Detection, isolation and characterization of a root-exuded compound, methyl 3-(4-hydroxyphenyl) propionate, responsible for biological nitrification inhibition by sorghum (Sorghum bicolor). New Phytol. 2008, 180, 442–451. [Google Scholar] [CrossRef]
- Subbarao, G.V.; Nakahara, K.; Ishikawa, T.; Ono, H.; Yoshida, M.; Yoshihashi, T.; Zhu, Y.; Zakir, H.A.K.M.; Deshpande, S.P.; Hash, C.T.; et al. Biological nitrification inhibition (BNI) activity in sorghum and its characterization. Plant Soil 2013, 366, 243–259. [Google Scholar] [CrossRef]
- Yang, X.; Sun, J.; Gao, J.; Qiao, S.; Zhang, B.; Bao, H.; Feng, X.; Wang, S. Effects of Climate Change on Cultivation Patterns and Climate Suitability of Spring Maize in Inner Mongolia. Sustainability 2021, 13, 8072. [Google Scholar] [CrossRef]
- Cai, J.; Liu, Y.; Lei, T.; Pereira, L.S. Estimating reference evapotranspiration with the FAO Penman–Monteith equation using daily weather forecast messages. Agric. For. Meteorol. 2007, 145, 22–35. [Google Scholar] [CrossRef]
- Allen, R.G.; Pereira, L.S.; Raes, D.; Smith, M. Crop Evapotranspiration: Guidelines for Computing Crop Water Requirements; FAO Irrigation and Drainage Paper no. 56; FAO: Rome, Italy, 1998. [Google Scholar]
- Piccinni, G.; Ko, J.; Marek, T.; Howell, T. Determination of growth-stage-specific crop coefficients (KC) of maize and sorghum. Agric. Water Manag. 2009, 96, 1698–1704. [Google Scholar] [CrossRef]
- Dingkuhn, M.; Kouressy, M.; Vaksmann, M.; Clerget, B.; Chantereau, J. A model of sorghum photoperiodism using the concept of threshold-lowering during prolonged appetence. Eur. J. Agron. 2008, 28, 74–89. [Google Scholar] [CrossRef]
- Hammer, G.; Carberry, P.; Muchow, R. Modelling genotypic and environmental control of leaf area dynamics in grain sorghum. I. Whole plant level. Field Crops Res. 1993, 33, 293–310. [Google Scholar] [CrossRef]
- Hammer, G.; Muchow, R. Assessing climatic risk to sorghum production in water-limited subtropical environments I. Development and testing of a simulation model. Field Crops Res. 1994, 36, 221–234. [Google Scholar] [CrossRef]
- Krauss, A.; Isherwood, K.; Heffer, P. Fertilizer Best Management Practices: General Principles, Strategy for Their Adoption and Voluntary Initiatives vs. Regulations. In Papers Presented at the IFA International Workshop on Fertilizer Best Management Practices, Brussels, Belgium, 7–9 March, 2007; International Fertilizer Industry Association: Paris, France, 2007. [Google Scholar]
- Chen, T.; Zeng, X.; Hu, Q. Utilization Efficiency of Chemical Fertilizers among Different Counties of China. Acta Geogr. Sin. 2002, 57, 531–538. [Google Scholar]
- Miao, Y.; Stewart, B.A.; Zhang, F. Long-term experiments for sustainable nutrient management in China. A review. Agron. Sustain. Dev. 2011, 31, 397–414. [Google Scholar] [CrossRef]
- Gao, L.; Ma, L.; Zhang, W.; Wang, F.; Ma, W.; Zhang, F. Estimation of Nutrient Resource Quantity of Crop Straw and Its Utilization Situation in China. Trans. Chin. Soc. Agric. Eng. 2009, 25, 173–179. [Google Scholar]
- Lou, S.; Gao, Y.; Guo, R.; Zhao, Q.; Zhang, J. Effects of Planting Density on Nutrition Characteristics and Yield of Cotton. Plant Nutr. Fertil. Sci. 2010, 16, 953–958. [Google Scholar]






| Mode of Fitting | Equation | R2 | p-Value |
|---|---|---|---|
| Linear fitting | y = −0.5077x + 5.3384 | 0.3763 | p < 0.05 |
| Polynomial fitting | y = 0.0697x2 − 1.2116x + 6.8317 | 0.4148 | p < 0.05 |
| Suitable Level | Suitable Area | Moderately Suitable Area | Less Suitable Area | Not Suitable Area |
|---|---|---|---|---|
| Ratio of yield to maximum yield (%) | ≥75 | 50–75 | 25–50 | ≤25 |
| Soil salt content (‰) | ≤2.62 | 2.62–5.25 | 5.25–7.88 | ≥7.88 |
| Crop Species | Degree of Soil Salinity | |||||||
|---|---|---|---|---|---|---|---|---|
| Non Saline-Alkali | Mildly Saline-Alkali | Moderately Saline-Alkali | Heavily Saline-Alkali | |||||
| Input-Output Ratio (%) | Economic Output (CNY/ha) | Input-Output Ratio (%) | Economic Output (CNY/ha) | Input-Output Ratio (%) | Economic Output (CNY/ha) | Input-Output Ratio (%) | Economic Output (CNY/ha) | |
| Soybean | 82.78 | 8400 | 71.73 | 7278 | / | / | / | / |
| Cotton | 67.55 | 23,265 | 71.72 | 24,703.5 | 57.92 | 19,950 | 43.11 | 14,850 |
| Rice | / | / | / | / | 137.46 | 17,598 | 128.87 | 16,500 |
| Wheat | 161.52 | 19,407 | 136.03 | 16,041 | 95.17 | 11,223 | / | / |
| Maize | 178.06 | 18,859.5 | 161.65 | 17,121 | 158.59 | 16,797 | / | / |
| Sweet sorghum | 215.80 | 17,712 | 147.32 | 9723 | 90.41 | 5967 | 74.4 | 4911 |
| Developmental Stage | Emergence-Heading | Heading-Flowering | Flowering-Maturity |
|---|---|---|---|
| Date | From mid-May to mid-July | From mid-July to late August | From late August to early October |
| Upper temperature limit/°C | 42 | 42 | 42 |
| Lower temperature limit/°C | 11 | 11 | 5.7 |
| Optimal temperature/°C | 30 | 30 | 22.5 |
| B | 0.63 | 0.63 | 1.16 |
| The most suitable sunshine duration | 11 | ||
| The upper limit of sunshine duration | 13.6 | ||
| Kc | 0.45 | 1.15 | 1.05 |
Disclaimer/Publisher’s Note: The statements, opinions and data contained in all publications are solely those of the individual author(s) and contributor(s) and not of MDPI and/or the editor(s). MDPI and/or the editor(s) disclaim responsibility for any injury to people or property resulting from any ideas, methods, instructions or products referred to in the content. |
© 2023 by the authors. Licensee MDPI, Basel, Switzerland. This article is an open access article distributed under the terms and conditions of the Creative Commons Attribution (CC BY) license (https://creativecommons.org/licenses/by/4.0/).
Share and Cite
Gao, Y.; Shao, C.; Liu, Z.; Sun, Z.; Long, B.; Feng, P. Planning Spatial Layout of a Typical Salt Tolerant Forage of Sweet Sorghum in the Yellow River Delta via Considering Resource Constraints, Nitrogen Use Efficiency, and Economic Benefits. Plants 2023, 12, 2483. https://doi.org/10.3390/plants12132483
Gao Y, Shao C, Liu Z, Sun Z, Long B, Feng P. Planning Spatial Layout of a Typical Salt Tolerant Forage of Sweet Sorghum in the Yellow River Delta via Considering Resource Constraints, Nitrogen Use Efficiency, and Economic Benefits. Plants. 2023; 12(13):2483. https://doi.org/10.3390/plants12132483
Chicago/Turabian StyleGao, Yinan, Changxiu Shao, Zhen Liu, Zhigang Sun, Buju Long, and Puyu Feng. 2023. "Planning Spatial Layout of a Typical Salt Tolerant Forage of Sweet Sorghum in the Yellow River Delta via Considering Resource Constraints, Nitrogen Use Efficiency, and Economic Benefits" Plants 12, no. 13: 2483. https://doi.org/10.3390/plants12132483
APA StyleGao, Y., Shao, C., Liu, Z., Sun, Z., Long, B., & Feng, P. (2023). Planning Spatial Layout of a Typical Salt Tolerant Forage of Sweet Sorghum in the Yellow River Delta via Considering Resource Constraints, Nitrogen Use Efficiency, and Economic Benefits. Plants, 12(13), 2483. https://doi.org/10.3390/plants12132483

