Elucidation of Geniposide and Crocin Accumulation and Their Biosysnthsis-Related Key Enzymes during Gardenia jasminoides Fruit Growth
Abstract
1. Introduction
2. Results
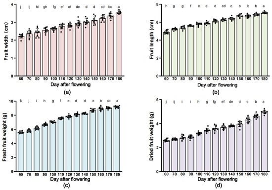
2.1. Morphological Characteristics of G. jasminoides Fruit
2.2. Dynamic Accumulation of Geniposide and Crocin during G. jasminoides Fruit Growth
2.3. Analysis of DEGs in Geniposide and Crocin Biosysnthsis
2.3.1. Sequencing, Assembly, Function Annotation, Classification and DEGs Analysis
2.3.2. Candidate Genes Involved in Geniposide and Crocin Biosynthesis in G. jasminoides Fruit
2.3.3. Analysis of Key Genes Involved in Geniposide and Crocin Biosynthesis
2.4. Validation of RNA-Seq Data by qPCR
3. Discussion
3.1. Phenotypic Results
3.2. Dynamic Accumulation of Geniposide and Crocin
3.3. DEGs Related to Geniposide and Crocin Biosysnthsis
4. Materials and Methods
4.1. Plant Materials
4.2. Investigation of Morphological Traits
4.3. Determination of Geniposide and Crocin-Ⅰ Content
4.4. RNA Extraction and Sequencing
4.5. Function Annotation and Analysis of Differentially Expressed Genes
4.6. Validation of RNA-Seq by Quantitative PCR
4.7. Statistical Analysis
5. Conclusions
Supplementary Materials
Author Contributions
Funding
Data Availability Statement
Acknowledgments
Conflicts of Interest
References
- Chen, L.; Li, M.; Yang, Z.; Tao, W.; Wang, P.; Tian, X.; Li, X.; Wang, W. Gardenia jasminoides Ellis: Ethnopharmacology, phytochemistry, and pharmacological and industrial applications of an important traditional Chinese medicine. J. Ethnopharmacol. 2020, 257, e112829. [Google Scholar] [CrossRef]
- Çelikel, F.G.; Reid, M.S.; Jiang, C.Z. Postharvest physiology of cut Gardenia jasminoides flowers. Sci. Hortic. 2020, 261, e108983. [Google Scholar] [CrossRef]
- Chen, Q.C.; Youn, U.; Min, B.S.; Bae, K. Pyronane monoterpenoids from the fruit of Gardenia jasminoides. J. Nat. Prod. 2008, 71, 995–999. [Google Scholar] [CrossRef] [PubMed]
- Debnath, T.; Park, P.-J.; Deb Nath, N.C.; Samad, N.B.; Park, H.W.; Lim, B.O. Antioxidant activity of Gardenia jasminoides Ellis fruit extracts. Food Chem. 2011, 128, 697–703. [Google Scholar] [CrossRef]
- Carmona, M.; Zalacain, A.; Sanchez, A.M.; Novella, J.L.; Alonso, G.L. Crocetin esters, picrocrocin and its related compounds present in Crocus sativus stigmas and Gardenia jasminoides fruits. Tentative identification of seven new compounds by LC-ESI-MS. J. Agric. Food Chem. 2006, 54, 973–979. [Google Scholar] [CrossRef] [PubMed]
- Coran, S.A.; Mulas, S.; Vasconi, A. Profiling of components and validated determination of iridoids in Gardenia jasminoides Ellis fruit by a high-performance-thin-layer-chromatography/mass spectrometry approach. J. Chromatogr. A 2014, 1325, 221–226. [Google Scholar] [CrossRef]
- Yu, Y.; Feng, X.L.; Gao, H.; Xie, Z.L.; Dai, Y.; Huang, X.J.; Kurihara, H.; Ye, W.C.; Zhong, Y.; Yao, X.S. Chemical constituents from the fruits of Gardenia jasminoides Ellis. Fitoterapia 2012, 83, 563–567. [Google Scholar] [CrossRef]
- Xu, Z.; Pu, X.; Gao, R.; Demurtas, O.C.; Fleck, S.J.; Richter, M.; He, C.; Ji, A.; Sun, W.; Kong, J.; et al. Tandem gene duplications drive divergent evolution of caffeine and crocin biosynthetic pathways in plants. BMC Biol. 2020, 18, 63. [Google Scholar] [CrossRef]
- Yang, C.X.; Zhang, T.; Xu, M.; Zhu, P.L.; Deng, S.Y. Insights into biosynthetic genes involved in the secondary metabolism of Gardenia jasminoides Ellis using transcriptome sequencing. Biochem. Syst. Ecol. 2016, 67, 7–16. [Google Scholar] [CrossRef]
- Ye, P.; Liang, S.; Wang, X.; Duan, L.; Jiang-Yan, F.; Yang, J.; Zhan, R.; Ma, D. Transcriptome analysis and targeted metabolic profiling for pathway elucidation and identification of a geraniol synthase involved in iridoid biosynthesis from Gardenia jasminoides. Ind. Crops Prod. 2019, 132, 48–58. [Google Scholar] [CrossRef]
- Yu, Y.; Xie, Z.L.; Gao, H.; Ma, W.W.; Dai, Y.; Wang, Y.; Zhong, Y.; Yao, X.S. Bioactive iridoid glucosides from the fruit of Gardenia jasminoides. J. Nat. Prod. 2009, 72, 1459–1464. [Google Scholar] [CrossRef]
- Cho, Y.S. Genipin, an Inhibitor of UCP2 as a Promising New Anticancer Agent: A Review of the Literature. Int. J. Mol. Sci. 2022, 23, 5637. [Google Scholar] [CrossRef]
- Wei, Y.; Liu, C.; Li, L. Geniposide improves bleomycin-induced pulmonary fibrosis by inhibiting NLRP3 inflammasome activation and modulating metabolism. J. Funct. Foods 2023, 104, e105503. [Google Scholar] [CrossRef]
- Tang, L.; Liu, H.; Fu, M.; Xu, Y.; Wen, J.; Wu, J.; Yu, Y.; Lin, X.; Li, L.; Bu, Z.; et al. Yellow pigment from gardenia fruit: Structural identification and evaluation of cytotoxic activity in HepG2 cells by induction of apoptosis. Food Sci. Biotechnol. 2022, 31, 1389–1399. [Google Scholar] [CrossRef] [PubMed]
- Yin, F.; Liu, J.-H. Research and application progress of Gardenia jasminoides. Chin. Herb. Med. 2018, 10, 362–370. [Google Scholar] [CrossRef]
- Chen, Y.; Zhang, H.; Li, Y.X.; Cai, L.; Huang, J.; Zhao, C.; Jia, L.; Buchanan, R.; Yang, T.; Jiang, L.J. Crocin and geniposide profiles and radical scavenging activity of gardenia fruits (Gardenia jasminoides Ellis) from different cultivars and at the various stages of maturation. Fitoterapia 2010, 81, 269–273. [Google Scholar] [CrossRef]
- Shen, T.; Zheng, Y.; Liu, Q.; Chen, C.; Huang, L.; Deng, S.; Xu, M.; Yang, C. Integrated SMRT and Illumina Sequencing Provide New Insights into Crocin Biosynthesis of Gardenia jasminoides. Int. J. Mol. Sci. 2022, 23, 6321. [Google Scholar] [CrossRef]
- Finley, J.W.; Gao, S. A Perspective on Crocus sativus L. (Saffron) Constituent Crocin: A Potent Water-Soluble Antioxidant and Potential Therapy for Alzheimer’s Disease. J. Agric. Food Chem. 2017, 65, 1005–1020. [Google Scholar] [CrossRef] [PubMed]
- Ma, W.; Xiao, L.; Liu, H.; Hao, X. Hypoglycemic natural products with in vivo activities and their mechanisms: A review. Food Sci. Hum. Wellness 2022, 11, 1087–1100. [Google Scholar] [CrossRef]
- Sangare, R.; Madhi, I.; Kim, J.-H.; Kim, Y. Crocin Attenuates NLRP3 Inflammasome Activation by Inhibiting Mitochondrial Reactive Oxygen Species and Ameliorates Monosodium Urate-Induced Mouse Peritonitis. Curr. Issues Mol. Biol. 2023, 45, 2090–2104. [Google Scholar] [CrossRef]
- Li, Y.; Wang, J.; Li, L.; Song, W.; Li, M.; Hua, X.; Wang, Y.; Yuan, J.; Xue, Z. Natural products of pentacyclic triterpenoids: From discovery to heterologous biosynthesis. Nat. Prod. Rep. 2023. Advance Article. [Google Scholar] [CrossRef] [PubMed]
- Gao, S.; Feng, Q. The Beneficial Effects of Geniposide on Glucose and Lipid Metabolism: A Review. Drug Des. Dev. Ther. 2022, 16, 3365–3383. [Google Scholar] [CrossRef] [PubMed]
- Nagata, Y.; Watanabe, T.; Nagasaka, K.; Yamada, M.; Murai, M.; Takeuchi, S.; Murase, M.; Yazaki, T.; Murase, T.; Komatsu, K.; et al. Total dosage of gardenia fruit used by patients with mesenteric phlebosclerosis. BMC Complement. Altern. Med. 2016, 16, 207. [Google Scholar] [CrossRef] [PubMed]
- Peng, K.; Yang, L.; Zhao, S.; Chen, L.; Zhao, F.; Qiu, F. Chemical constituents from the fruit of Gardenia jasminoides and their inhibitory effects on nitric oxide production. Bioorganic Med. Chem. Lett. 2013, 23, 1127–1131. [Google Scholar] [CrossRef]
- Tsanakas, G.F.; Manioudaki, M.E.; Economou, A.S.; Kalaitzis, P. De novo transcriptome analysis of petal senescence in Gardenia jasminoides Ellis. BMC Genom. 2014, 15, 554. [Google Scholar] [CrossRef]
- Zhao, D.; Wang, R.; Meng, J.; Li, Z.; Wu, Y.; Tao, J. Ameliorative effects of melatonin on dark-induced leaf senescence in gardenia (Gardenia jasminoides Ellis): Leaf morphology, anatomy, physiology and transcriptome. Sci. Rep. 2017, 7, 10423. [Google Scholar] [CrossRef]
- Ahrazem, O.; Rubio-Moraga, A.; Lopez, R.C.; Gomez-Gomez, L. The expression of a chromoplast-specific lycopene beta cyclase gene is involved in the high production of saffron’s apocarotenoid precursors. J. Exp. Bot. 2010, 61, 105–119. [Google Scholar] [CrossRef]
- Francis, X.; Cunningham, J.; Sun, Z.; Chamovitz, D.; Hirschberg, J.; Gantt, E. Molecular Structure and Enzymatic Function of Lycopene Cyclase from the Cyanobacterium Synechococcus sp Strain PCC7942. Plant Cell 1994, 1, 1107–1121. [Google Scholar]
- Kai, G.; Xu, H.; Zhou, C.; Liao, P.; Xiao, J.; Luo, X.; You, L.; Zhang, L. Metabolic engineering tanshinone biosynthetic pathway in Salvia miltiorrhiza hairy root cultures. Metab. Eng. 2011, 13, 319–327. [Google Scholar] [CrossRef]
- Zhu, Y.H.; Zhao, L.; Dong, C.M.; Zheng, X.K.; Feng, W.S. Analysis of Genes Involved in the Synthesis and Modification of Iridoids of Rehmannia glutinosa. Mod. Food Sci. Technol. 2016, 39, 38–44. [Google Scholar]
- Wang, W.; Shao, F.; Deng, X.; Liu, Y.; Chen, S.; Li, Y.; Guo, W.; Jiang, Q.; Liang, H.; Zhang, X. Genome surveying reveals the complete chloroplast genome and nuclear genomic features of the crocin-producing plant Gardenia jasminoides Ellis. Genet. Resour. Crop Evol. 2020, 68, 1165–1180. [Google Scholar] [CrossRef]
- Li, B.J.; Wang, H.; Gong, T.; Chen, J.J.; Chen, T.J.; Yang, J.L.; Zhu, P. Improving 10-deacetylbaccatin III-10-beta-O-acetyltransferase catalytic fitness for Taxol production. Nat. Commun. 2017, 8, 15544. [Google Scholar] [CrossRef]
- Paddon, C.J.; Westfall, P.J.; Pitera, D.J.; Benjamin, K.; Fisher, K.; Mcphee, D.; Leavell, M.D.; Tai, A.; Main, A.; Eng, D.; et al. High-level semi-synthetic production of the potent antimalarial artemisinin. Nature 2013, 496, 528–532. [Google Scholar] [CrossRef] [PubMed]
- Ye, X.; Feng, W.-H.; Zhang, D.; Liu, X.-Q.; Liang, Y.-H.; Li, C.; Wang, Z.-M. Correlation of non-crocin components of Gardeniae Fructus with its external properties. China J. Chin. Mater. Med. 2022, 47, 4098–4109. [Google Scholar]
- Zhou, X.; Chen, C.; Ye, X.; Song, F.; Fan, G.; Wu, F. Study of Separation and Identification of the Active Ingredients in Gardenia jasminoides Ellis Based on a Two-Dimensional Liquid Chromatography by Coupling Reversed Phase Liquid Chromatography and Hydrophilic Interaction Liquid Chromatography. J. Chromatogr. Sci. 2017, 55, 75–81. [Google Scholar] [CrossRef] [PubMed]
- Ye, X.; Liu, X.Q.; Zhang, D.; Feng, W.H.; Liang, Y.H.; Li, C.; Wang, Z.M. Comprehensive profiling of phytochemicals in the fruits of Gardenia jasminoides Ellis and its variety using liquid chromatography coupled with electrospray ionization quadrupole time-of-flight mass spectrometry. J. Nat. Med. 2022, 76, 774–795. [Google Scholar] [CrossRef]
- Fu, X.M.; Yang, C.; Wu, Z.G.; Liu, J.; Wu, J.-H.; Pei, J.-G.; Huang, G.X.; Wang, F. Correlation between color and content of eight components of Gardeniae Fructus at different harvest time. China J. Chin. Mater. Med. 2020, 45, 3191–3202. [Google Scholar]
- Liu, H.P.; Xu, Y.; Shang, Q.; Min, J.-H.; Zhou, G.-X. Content Variations of Crocin I, Crocin II and Gardenoside in Gardenia jasminoides var. grandiflora with Different Harvesting Times. Nat. Prod. Res. 2017, 29, 1333–1338. [Google Scholar]
- Yuan, Y.; Luo, G.; Wei, C.; Rao, Y.; Gong, Y.H.; Zhang, L.; Shao, J.; Dong, Y.K. Study on the correlation between the peel color and the six components of Gardenia. LISHIZHEN Med. Mater. Med. Res. 2016, 27, 1480–1483. [Google Scholar]
- Xu, W.; Lou, Q.; Hao, L.; Hu, K.; Cao, M.; Liu, Y.; Han, R.; He, C.; Song, J. O-methyltransferases catalyze the last step of geniposide biosynthesis in Gardenia jasminoides. Ind. Crops Prod. 2022, 177, 114438. [Google Scholar] [CrossRef]
- Ji, A.; Jia, J.; Xu, Z.; Li, Y.; Bi, W.; Ren, F.; He, C.; Liu, J.; Hu, K.; Song, J. Transcriptome-Guided Mining of Genes Involved in Crocin Biosynthesis. Front. Plant Sci. 2017, 8, 518. [Google Scholar] [CrossRef]
- Xu, C.; Ye, P.; Wu, Q.; Liang, S.; Wei, W.; Yang, J.; Chen, W.; Zhan, R.; Ma, D. Identification and functional characterization of three iridoid synthases in Gardenia jasminoides. Planta 2022, 255, 58. [Google Scholar] [CrossRef]
- Choi, H.B.; Shim, S.; Wang, M.H.; Choi, Y.E. De Novo Transcriptome Sequencing of Codonopsis lanceolata for Identification of Triterpene Synthase and Triterpene Acetyltransferase. Int. J. Mol. Sci. 2023, 24, 5769. [Google Scholar] [CrossRef]
- Kim, J.; Kang, S.H.; Park, S.G.; Yang, T.J.; Lee, Y.; Kim, O.T.; Chung, O.; Lee, J.; Choi, J.P.; Kwon, S.J.; et al. Whole-genome, transcriptome, and methylome analyses provide insights into the evolution of platycoside biosynthesis in Platycodon grandiflorus, a medicinal plant. Hortic. Res. 2020, 7, 112. [Google Scholar] [CrossRef]
- Walter, M.H.; Hans, J.; Strack, D. Two distantly related genes encoding 1-deoxy-d-xylulose 5-phosphate synthases: Differential regulation in shoots and apocarotenoid-accumulating mycorrhizal roots. Plant J. 2002, 31, 243–254. [Google Scholar] [CrossRef]
- Champagne, A.; Boutry, M. Proteomic snapshot of spearmint (Mentha spicata L.) leaf trichomes: A genuine terpenoid factory. Proteomics 2013, 13, 3327–3332. [Google Scholar] [CrossRef] [PubMed]
- Zhan, Z.-G. Advances in molecular identification and functional genes of Rehmannia glutinosa. Chin. Tradit. Herb. Drugs 2019, 50, 5611–5620. [Google Scholar]
- Liu, T.; Yu, S.; Xu, Z.; Tan, J.; Wang, B.; Liu, Y.G.; Zhu, Q. Prospects and progress on crocin biosynthetic pathway and metabolic engineering. Comput. Struct. Biotechnol. J. 2020, 18, 3278–3286. [Google Scholar] [CrossRef] [PubMed]
- Wu, C.; Gao, P.; Liu, S.; Lv, H.; Luan, F. Functional analysis of Lycopene β-cyclase genes from two watermelon cultivars LSW-177 (red-flesh) and COS (pale-yellow flesh). Pak. J. Bot. 2020, 52, 129–137. [Google Scholar] [CrossRef] [PubMed]
- Tang, Z.; Lu, X.; Zhao, R.; Liu, Q.; Li, M.; Lei, F.; Xu, X. Identification of Enzyme Genes Related to Carotenoid Synthesis and Cloning Analysis of PSY1 and LCYE2 in Yellow Peeled Zucchini. North China J. Agric. Sci. 2022, 37, 60–67. [Google Scholar]
- Chen, M. Based on lycopene metabolism pathway to study on the cause of tomato fruit color change. Ph.D. Thesis, Hunan Agricultural University, Changsha, China, 2020. [Google Scholar]
- Frusciante, S.; Diretto, G.; Bruno, M.; Ferrante, P.; Pietrella, M.; Prado-Cabrero, A.; Rubio-Moraga, A.; Beyer, P.; Gomez-Gomez, L.; Al-Babili, S.; et al. Novel carotenoid cleavage dioxygenase catalyzes the first dedicated step in saffron crocin biosynthesis. Proc. Natl. Acad. Sci. USA 2014, 111, 12246–12251. [Google Scholar] [CrossRef] [PubMed]









| Category | Name | Symbol | Enzyme No. | Unigene Number |
|---|---|---|---|---|
| Geniposide | 1-deoxy-D-xylulose-5-phosphate synthase | DXS | EC:2.2.1.7 | 15 |
| 1-deoxy-D-xylulose-5-phosphate reductoisomerase | DXR | EC:1.1.1.267 | 7 | |
| dimethylallyltranstransferase | GPPS | EC:2.5.1.1 | 14 | |
| 8-oxocitronellyl enol synthase | IS | EC:1.3.1.122 | 14 | |
| Crocin | 15-cis-phytoene synthase | crtB | EC:2.5.1.32 | 8 |
| phytoene desaturase | PDS | EC:1.3.99.29 | 3 | |
| 9,9′-dicis-ζ-carotene desaturase | ZDS | EC:1.3.5.6 | 3 | |
| lycopene β-cyclase | lcyB | EC:5.5.1.19 | 4 | |
| lycopene ε-cyclase | lcyE | EC:5.5.1.18 | 4 | |
| carotenoid ε-hydroxylase | LUT | EC:1.14.14.158 | 11 | |
| crocetin dialdehyde synthase | CCD | EC:1.13.11.84 | 8 |
| Category | Enzymes | Unigenes | FPKM | Fold Change (T1 vs. T3) | ||
|---|---|---|---|---|---|---|
| T1 | T2 | T3 | ||||
| Geniposide | DXS | DN80963_c0_g1_i1 | 42.17 | 9.62 | 14.02 | 2.6618 |
| DXR | DN79711_c0_g1_i12 | 29.47 | 5.04 | 44.40 | 0.5532 | |
| GPPS | DN85670_c2_g5_i2 | 90.39 | 6.66 | 297.59 | 0.2600 | |
| DN67890_c0_g1_i2 | 5.19 | 10.36 | 0.56 | 7.4014 | ||
| DN79822_c0_g2_i1 | 14.52 | 9.56 | 39.63 | 0.3253 | ||
| IS | DN78530_c1_g1_i2 | 85.83 | 44.95 | 67.42 | 1.1134 | |
| Crocin | crtB | DN81678_c1_g1_i5 | 51.93 | 27.67 | 65.78 | 0.6261 |
| PDS | DN85606_c3_g3_i1 | 15.58 | 15.76 | 35.09 | 0.3805 | |
| ZDS | DN82463_c0_g1_i6 | 18.09 | 12.80 | 34.09 | 0.4459 | |
| lcyB | DN81253_c0_g1_i1 | 9.56 | 1.99 | 10.66 | 0.7729 | |
| lcyE | DN79477_c0_g1_i2 | 8.88 | 8.91 | 10.06 | 1.2696 | |
| LUT | DN84511_c2_g4_i1 | 11.97 | 10.36 | 39.36 | 0.2633 | |
| CCD | DN84975_c1_g7_i11 | 12.64 | 11.32 | 13.81 | 2.7433 | |
| Reaction Reagent | Sample Volume |
|---|---|
| 2× ChamQ SYBR qPCR Master Mix | 10 μL |
| Primer1 (10 μM) | 0.4 μL |
| Primer2 (10 μM) | 0.4 μL |
| 50× ROX Reference Dye 1 | 0.4 μL |
| Template DNA/cDNA | 2.0 μL |
| Double distilled H2O | 6.8 μL |
Disclaimer/Publisher’s Note: The statements, opinions and data contained in all publications are solely those of the individual author(s) and contributor(s) and not of MDPI and/or the editor(s). MDPI and/or the editor(s) disclaim responsibility for any injury to people or property resulting from any ideas, methods, instructions or products referred to in the content. |
© 2023 by the authors. Licensee MDPI, Basel, Switzerland. This article is an open access article distributed under the terms and conditions of the Creative Commons Attribution (CC BY) license (https://creativecommons.org/licenses/by/4.0/).
Share and Cite
Zhang, L.; Ai, Y.; Chen, Y.; Li, C.; Li, P.; Chen, J.; Jiang, L.; Pan, Y.; Sun, A.; Yang, Y.; et al. Elucidation of Geniposide and Crocin Accumulation and Their Biosysnthsis-Related Key Enzymes during Gardenia jasminoides Fruit Growth. Plants 2023, 12, 2209. https://doi.org/10.3390/plants12112209
Zhang L, Ai Y, Chen Y, Li C, Li P, Chen J, Jiang L, Pan Y, Sun A, Yang Y, et al. Elucidation of Geniposide and Crocin Accumulation and Their Biosysnthsis-Related Key Enzymes during Gardenia jasminoides Fruit Growth. Plants. 2023; 12(11):2209. https://doi.org/10.3390/plants12112209
Chicago/Turabian StyleZhang, Luhong, Yang Ai, Yunzhu Chen, Changzhu Li, Peiwang Li, Jingzhen Chen, Lijuan Jiang, Yuhong Pan, An Sun, Yan Yang, and et al. 2023. "Elucidation of Geniposide and Crocin Accumulation and Their Biosysnthsis-Related Key Enzymes during Gardenia jasminoides Fruit Growth" Plants 12, no. 11: 2209. https://doi.org/10.3390/plants12112209
APA StyleZhang, L., Ai, Y., Chen, Y., Li, C., Li, P., Chen, J., Jiang, L., Pan, Y., Sun, A., Yang, Y., & Liu, Q. (2023). Elucidation of Geniposide and Crocin Accumulation and Their Biosysnthsis-Related Key Enzymes during Gardenia jasminoides Fruit Growth. Plants, 12(11), 2209. https://doi.org/10.3390/plants12112209

