Foliar Phenotypic Plasticity Reflects Adaptation to Environmental Variability
Abstract
1. Introduction
2. Results
2.1. Responses to Experimental Conditions as a Function of Environmental Variation in Ecotype Habitat
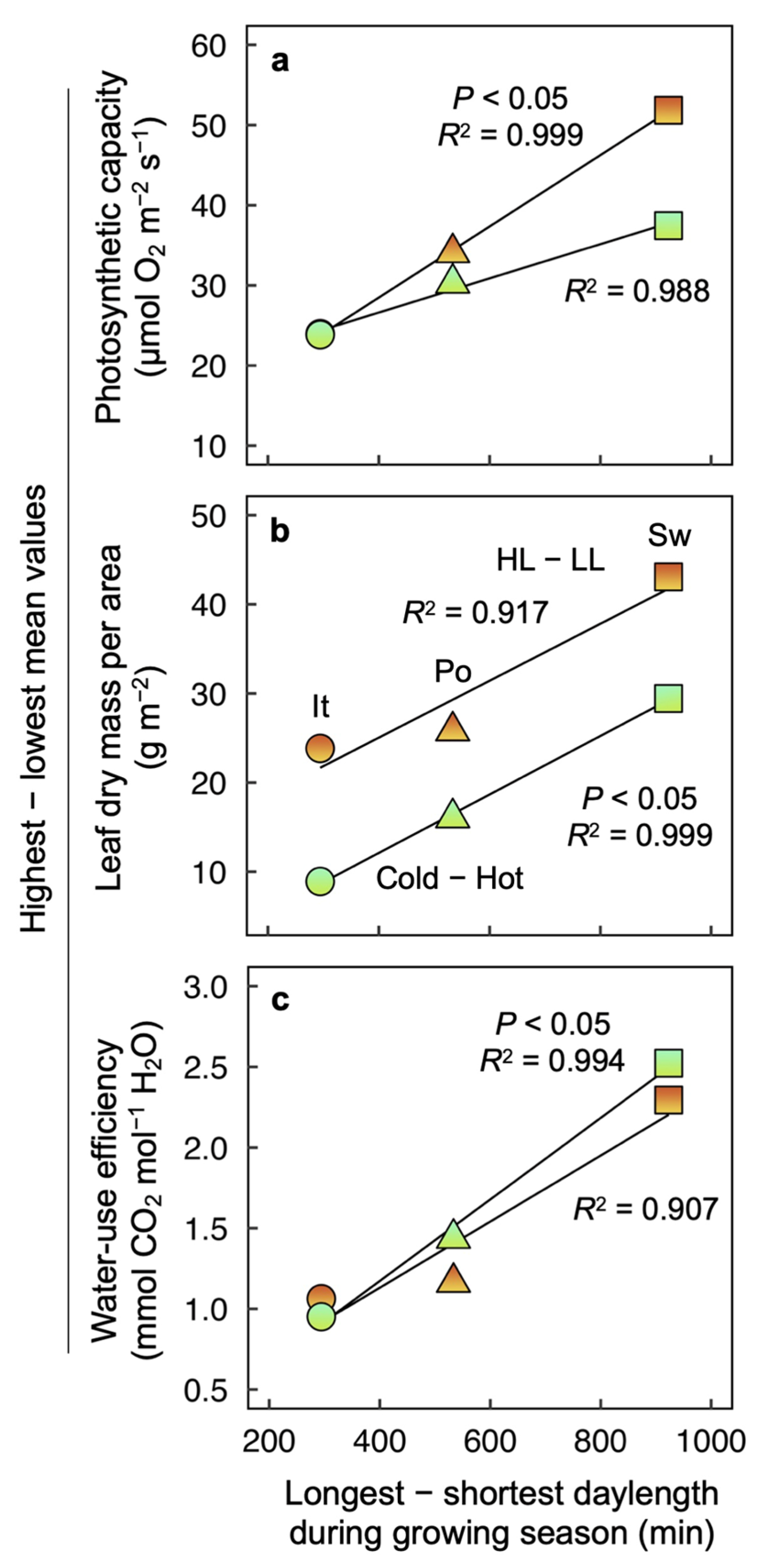
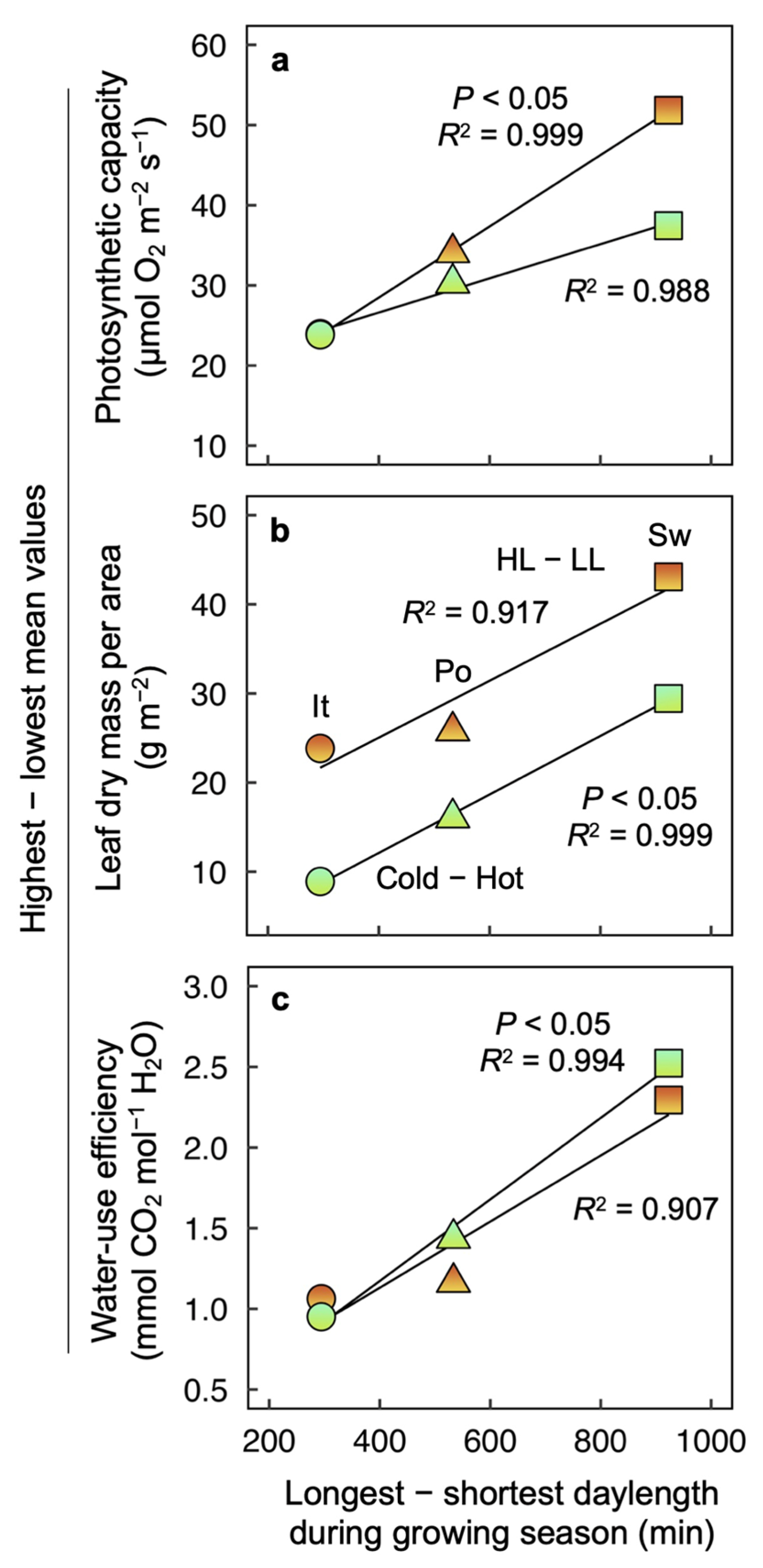
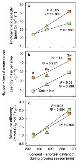
2.2. Magnitude of Response to Growth Environment as a Function of Magnitude of Environmental Variation over the Growing Season in Ecotype Site of Origin
2.3. Interrelationships among Leaf Functional, Morphological, and Multiple Vascular Features
3. Discussion
3.1. Extent of Phenotypic Acclimation to Light and Temperature Mirrors Environmental Variability in Each Ecotype’s Habitat
3.2. The Magnitude of Phenotypic Plasticity Varies by Trait
3.3. Relationships between Photosynthesis and Leaf Structure as Well as among Multiple Leaf Vascular Features
3.4. Recommendations for Future Research
3.5. Summary of Major Findings
4. Materials and Methods
4.1. Plant Material, Climatological Information, and Growth Conditions
4.2. Leaf Metrics
4.3. Data Analyses
Author Contributions
Funding
Data Availability Statement
Acknowledgments
Conflicts of Interest
References
- Sultan, S.E. Phenotypic plasticity for plant development, function and life history. Trends Plant Sci. 2000, 5, 537–542. [Google Scholar] [CrossRef] [PubMed]
- Schlichting, C.D.; Smith, H. Phenotypic plasticity: Linking molecular mechanisms with evolutionary outcomes. Evol. Ecol. 2002, 16, 189–211. [Google Scholar] [CrossRef]
- Donohue, K. Setting the stage: Phenotypic plasticity as habitat selection. Int. J. Plant Sci. 2003, 164, S79–S92. [Google Scholar] [CrossRef]
- Donohue, K. Development in the wild: Phenotypic plasticity. Annu. Plant Rev. 2013, 45, 321–355. [Google Scholar] [CrossRef]
- De Kroon, H.; Huber, H.; Stuefer, J.F.; Van Groenendael, J.M. A modular concept of phenotypic plasticity in plants. New Phytol. 2005, 166, 73–82. [Google Scholar] [CrossRef]
- Van Kleunen, M.; Fischer, M. Constraints on the evolution of adaptive phenotypic plasticity in plants. New Phytol. 2005, 166, 49–60. [Google Scholar] [CrossRef]
- Atkin, O.K.; Loveys, B.R.; Atkinson, L.J.; Pons, T.L. Phenotypic plasticity and growth temperature: Understanding interspecific variability. J. Exp. Bot. 2006, 57, 267–281. [Google Scholar] [CrossRef]
- Valladares, F.; Gianoli, E.; Gómez, J.M. Ecological limits to plant phenotypic plasticity. New Phytol. 2007, 176, 749–763. [Google Scholar] [CrossRef]
- Matesanz, S.; Ramírez-Valiente, J.A. A review and meta-analysis of intraspecific differences in phenotypic plasticity: Implication to forecast plant responses to climate change. Glob. Ecol. Biogeogr. 2019, 28, 1682–1694. [Google Scholar] [CrossRef]
- Stotz, G.C.; Salgado-Luarte, C.; Escobedo, V.M.; Valladares, F.; Gianoli, E. Global trends in phenotypic plasticity. Ecol. Lett. 2021, 24, 2267–2281. [Google Scholar] [CrossRef]
- Schneider, H.M. Characterization, costs, cues and future perspectives of phenotypic plasticity. Ann. Bot. 2022, 130, 131–148. [Google Scholar] [CrossRef] [PubMed]
- Niklas, K.J. Functional adaptation and phenotypic plasticity at the cellular and whole plant level. J. Biosci. 2009, 34, 613–620. [Google Scholar] [CrossRef] [PubMed]
- Yu, P.; White, P.J.; Hochholdinger, F.; Li, C. Phenotypic plasticity of the maize root system in response to heterogeneous nitrogen availability. Planta 2014, 240, 667–678. [Google Scholar] [CrossRef] [PubMed]
- Markesteijn, L.; Poorter, L.; Bongers, F. Light-dependent leaf trait variation in 43 tropical dry forest tree species. Am. J. Bot. 2007, 94, 515–525. [Google Scholar] [CrossRef] [PubMed]
- Legner, N.; Fleck, S.; Leuschner, C. Low light acclimation in five temperate broad-leaved tree species of different successional status: The significance of a shade canopy. Ann. For. Sci. 2013, 70, 557–570. [Google Scholar] [CrossRef]
- Legner, N.; Fleck, S.; Leuschner, C. Within-canopy variation in photosynthetic capacity, SLA and foliar N in temperate broad-leaved trees with contrasting shade tolerance. Trees 2014, 28, 263–280. [Google Scholar] [CrossRef]
- Dos Santos, J.; Marenco, R.A.; Ferreira, W.C.; Dias, D.P. Leaflet phenotypic plasticity in three woody species in two strata of a gallery forest. CERNE 2021, 27, e-102645. [Google Scholar] [CrossRef]
- Rooney, R.; Ishii, H.R.; Cavaleri, M.A. Intra-crown variation of leaf mass per area of Fagus crenata is driven by light acclimation of leaf thickness and hydraulic acclimation of leaf density. Ecol. Res. 2022, 38, 265–278. [Google Scholar] [CrossRef]
- Griffith, C.; Eunsuk, K.; Donohue, K. Life-history variation and adaptation in the historically mobile plant Arabidopsis thaliana (Brassicaceae) in North America. Am. J. Bot. 2004, 91, 837–849. [Google Scholar] [CrossRef]
- Rutter, M.T.; Fenster, C.B. Testing for adaptation to climate in Arabidopsis thaliana: A calibrated common garden approach. Ann. Bot. 2007, 99, 529–536. [Google Scholar] [CrossRef]
- Ågren, J.; Schemske, D.W. Reciprocal transplants demonstrate strong adaptive differentiation of the model organism Arabidopsis thaliana in its native range. New Phytol. 2012, 194, 1112–1122. [Google Scholar] [CrossRef] [PubMed]
- Adams, W.W., III; Stewart, J.J.; Cohu, C.M.; Muller, O.; Demmig-Adams, B. Habitat temperature and precipitation of Arabidopsis thaliana ecotypes determine the response of foliar vasculature, photosynthesis, and transpiration to growth temperature. Front. Plant Sci. 2016, 7, 1026. [Google Scholar] [CrossRef]
- Cohu, C.M.; Muller, O.; Demmig-Adams, B.; Adams, W.W., III. Minor loading vein acclimation for three Arabidopsis thaliana ecotypes in response to growth under different temperature and light regimes. Front. Plant Sci. 2013, 4, 240. [Google Scholar] [CrossRef]
- Cohu, C.M.; Muller, O.; Stewart, J.J.; Demmig-Adams, B.; Adams, W.W., III. Association between minor loading vein architecture and light- and CO2-saturated photosynthetic oxygen evolution among Arabidopsis thaliana ecotypes from different latitudes. Front. Plant Sci. 2013, 4, 264. [Google Scholar] [CrossRef] [PubMed]
- Adams, W.W., III; Stewart, J.J.; Polutchko, S.K.; Demmig-Adams, B. Leaf vasculature and the upper limit of photosynthesis. In The Leaf: A Platform for Performing Photosynthesis. Advances in Photosynthesis and Respiration; Adams, W.W., III, Terashima, I., Eds.; Springer: Cham, The Netherlands, 2018; Volume 44, pp. 27–54. [Google Scholar] [CrossRef]
- Stewart, J.J.; Demmig-Adams, B.; Cohu, C.M.; Wenzl, C.A.; Muller, O.; Adams, W.W., III. Growth temperature impact on leaf form and function in Arabidopsis thaliana ecotypes from northern and southern Europe. Plant Cell Environ. 2016, 39, 1549–1558. [Google Scholar] [CrossRef]
- Stewart, J.J.; Polutchko, S.K.; Adams, W.W., III; Demmig-Adams, B. Acclimation of Swedish and Italian ecotypes of Arabidopsis thaliana to light intensity. Photosynth. Res. 2017, 134, 215–229. [Google Scholar] [CrossRef]
- Stewart, J.J.; Polutchko, S.K.; Adams, W.W., III; Cohu, C.M.; Wenzl, C.A.; Demmig-Adams, B. Light, temperature and tocopherol status influence foliar vascular anatomy and leaf function in Arabidopsis thaliana. Physiol. Plant. 2017, 160, 98–110. [Google Scholar] [CrossRef]
- Oakley, C.G.; Ågren, J.; Atchison, R.A.; Schemske, D.W. QTL mapping of freezing tolerance: Links to fitness and adaptive trade-offs. Mol. Ecol. 2014, 23, 4304–4315. [Google Scholar] [CrossRef]
- Gehan, M.A.; Park, S.; Gilmour, S.J.; An, C.; Lee, C.-M.; Thomashow, M.F. Natural variation in the C-repeat binding factor cold response pathway correlates with local adaptation of Arabidopsis ecotypes. Plant J. 2015, 84, 682–693. [Google Scholar] [CrossRef] [PubMed]
- Park, S.; Gilmour, S.J.; Grumet, R.; Thomashow, M.F. CBF-dependent and CBF-independent regulatory pathways contribute to the differences in freezing tolerance and cold-regulated gene expression of two Arabidopsis ecotypes locally adapted to sites in Sweden and Italy. PLoS ONE 2018, 13, e0207723. [Google Scholar] [CrossRef]
- Sanderson, B.J.; Park, S.; Jameel, M.I.; Kraft, J.C.; Thomashow, M.F.; Schemske, D.W.; Oakley, C.G. Genetic and physiological mechanisms of freezing tolerance in locally adapted populations of a winter annual. Am. J. Bot. 2020, 107, 250–261. [Google Scholar] [CrossRef]
- Baker, C.R.; Stewart, J.J.; Amstutz, C.L.; Johnson, J.D.; Ching, L.G.; Niyogi, K.K.; Adams, W.W., III; Demmig-Adams, B. Genotype-dependent contribution of CBF transcription factors to long-term acclimation to high light and cool temperature. Plant Cell Environ. 2022, 45, 392–411. [Google Scholar] [CrossRef]
- Adams, W.W., III. Preface: The importance of leaves to life and humanity. In The Leaf: A Platform for Performing Photosynthesis. Advances in Photosynthesis and Respiration; Adams, W.W., III, Terashima, I., Eds.; Springer: Cham, The Netherlands, 2018; Volume 44, pp. xxvii–xxxiv. Available online: https://link.springer.com/content/pdf/bfm:978-3-319-93594-2/1?pdf=chapter%20toc (accessed on 18 May 2023).
- Adams, W.W., III; Terashima, I. (Eds.) The Leaf: A Platform for Performing Photosynthesis. Advances in Photosynthesis and Respiration; Springer: Cham, The Netherlands, 2018; Volume 44. [Google Scholar] [CrossRef]
- Niinemets, Ü. Leaf trait plasticity and evolution in different plant functional types. Annu. Plant Rev. 2020, 3, 473–522. [Google Scholar] [CrossRef]
- Anderegg, L.D.L. Why can’t we predict traits from the environment? New Phytol. 2023, 237, 1998–2004. [Google Scholar] [CrossRef]
- Givnish, T.J. Adaptation to sun and shade: A whole-plant perspective. Aust. J. Plant Physiol. 1988, 15, 63–92. [Google Scholar] [CrossRef]
- Boese, S.R.; Huner, N.P.A. Effect of growth temperature and temperature shifts on spinach leaf morphology and photosynthesis. Plant Physiol. 1990, 94, 1830–1836. [Google Scholar] [CrossRef] [PubMed]
- Terashima, I.; Miyazawa, S.I.; Hanba, Y. Why are sun leaves thicker than shade leaves?—Consideration based on analyses of CO2 diffusion in the leaf. J. Plant Res. 2001, 114, 93–105. [Google Scholar] [CrossRef]
- Amiard, V.; Mueh, K.E.; Demmig-Adams, B.; Ebbert, V.; Turgeon, R.; Adams, W.W., III. Anatomical and photosynthetic acclimation to the light environment in species with differing mechanisms of phloem loading. Proc. Natl. Acad. Sci. USA 2005, 102, 12968–12973. [Google Scholar] [CrossRef]
- Li, Z.; Zhang, S.; Hu, H.; Li, D. Photosynthetic performance along a light gradient as related to leaf characteristics of a naturally occurring Cypripedium flavum. J. Plant Res. 2008, 121, 559–569. [Google Scholar] [CrossRef] [PubMed]
- Poorter, H.; Niinemets, Ü.; Poorter, L.; Wright, I.J.; Villar, R. Causes and consequences of variation in leaf mass per area (LMA): A meta-analysis. New Phytol. 2009, 182, 565–588. [Google Scholar] [CrossRef] [PubMed]
- Gorsuch, P.A.; Pandey, S.; Atkin, O.K. Temporal heterogeneity of cold acclimation phenotypes in Arabidopsis leaves. Plant Cell Environ. 2010, 33, 244–258. [Google Scholar] [CrossRef]
- Zhou, S.B.; Liu, K.; Zhang, D.; Li, Q.F.; Zhu, G.P. Photosynthetic performance of Lycoris radiata var. radiata to shade treatments. Photosynthetica 2010, 48, 241–248. [Google Scholar] [CrossRef]
- Dumlao, M.R.; Darehshouri, A.; Cohu, C.M.; Muller, O.; Mathias, J.; Adams, W.W., III; Demmig-Adams, B. Low temperature acclimation of photosynthetic capacity and leaf morphology in the context of phloem loading type. Photosynth. Res. 2012, 113, 181–189. [Google Scholar] [CrossRef] [PubMed]
- Tosens, T.; Niinemets, Ü.; Vislap, V.; Eichelmann, H.; Díez, P.C. Developmental changes in mesophyll diffusion conductance and photosynthetic capacity under different light and water availabilities in Populus tremula: How structure constrains function. Plant Cell Environ. 2012, 35, 839–856. [Google Scholar] [CrossRef] [PubMed]
- Zhang, S.B.; Yin, L.X. Plasticity in photosynthesis and functional leaf traits of Meconopsis horridula var racemosa in response to irradiance. Bot. Stud. 2012, 53, 335–343. [Google Scholar]
- Cai, Y.-F.; Li, S.-F.; Li, S.-F.; Xie, W.-J.; Song, J. How do leaf anatomies and photosynthesis of three Rhododendron species relate to their natural environments? Bot. Stud. 2014, 55, 36. [Google Scholar] [CrossRef]
- Cohu, C.M.; Muller, O.; Adams, W.W., III; Demmig-Adams, B. Leaf anatomical and photosynthetic acclimation to cool temperature and high light in two winter versus two summer annuals. Physiol. Plant. 2014, 152, 164–173. [Google Scholar] [CrossRef]
- Muller, O.; Cohu, C.M.; Stewart, J.J.; Protheroe, J.A.; Demmig-Adams, B.; Adams, W.W., III. Association between photosynthesis and contrasting features of minor veins in leaves of summer annuals loading phloem via symplastic versus apoplastic routes. Physiol. Plant. 2014, 152, 174–183. [Google Scholar] [CrossRef]
- Strand, A.; Hurry, V.; Henkes, S.; Huner, N.; Gustafsson, P.; Gardeström, P.; Stitt, M. Acclimation of Arabidopsis leaves developing at low temperatures. Increasing cytoplasmic volume accompanies increased activities of enzymes in the Calvin Cycle and in the sucrose-biosynthesis pathway. Plant Physiol. 1999, 119, 1387–1398. [Google Scholar] [CrossRef]
- Adams, W.W., III; Stewart, J.J.; Demmig-Adams, B. Photosynthetic modulation in response to plant activity and environment. In The Leaf: A Platform for Performing Photosynthesis. Advances in Photosynthesis and Respiration; Adams, W.W., III, Terashima, I., Eds.; Springer: Cham, The Netherlands, 2018; Volume 44, pp. 493–563. [Google Scholar] [CrossRef]
- Nagel, K.A.; Putz, A.; Gilmer, F.; Heinz, K.; Fischbach, A.; Pfeifer, J.; Faget, M.; Blossfeld, S.; Ernst, M.; Dimaki, C.; et al. GROSCREEN-Rhizo is a novel phenotyping robot enabling simultaneous measurement of root and shoot growth for plants grown in soil-filled rhizotrons. Funct. Plant Biol. 2012, 39, 891–904. [Google Scholar] [CrossRef]
- Adams, W.W., III; Stewart, J.J.; Polutchko, S.K.; Demmig-Adams, B. Foliar sieve elements: Nexus of the leaf. J. Plant Physiol. 2022, 269, 153601. [Google Scholar] [CrossRef] [PubMed]
- Demmig-Adams, B.; Polutchko, S.K.; Baker, C.R.; Stewart, J.J.; Adams, W.W., III. Distinct cold acclimation of productivity traits in Arabidopsis thaliana ecotypes. Int. J. Mol. Sci. 2022, 23, 2129. [Google Scholar] [CrossRef] [PubMed]
- Stewart, J.J.; Muller, O.; Cohu, C.M.; Demmig-Adams, B.; Adams, W.W., III. Quantification of foliar phloem infrastructure with microscopy. In Phloem. Methods and Protocols. Methods in Molecular Biology; Liesche, J., Ed.; Humana Press: New York, NY, USA, 2019; Volume 2014, pp. 55–72. [Google Scholar] [CrossRef]
- Alpert, P.; Simms, E.L. The relative advantages of plasticity and fixity in different environments: When is it good for a plant to adjust? Evol. Ecol. 2002, 16, 285–297. [Google Scholar] [CrossRef]
- Gianoli, E. Plasticity of traits and correlations in two populations of Convolvulus arvensis (Convolvulaceae) differing in environmental heterogeneity. Intl. J. Plant Sci. 2004, 165, 825–832. [Google Scholar] [CrossRef]
- Gianoli, E.; González-Teuber, M. Environmental heterogeneity and population differentiation in plasticity to drought in Convolvulus chilensis (Convolvulaceae). Evol. Ecol. 2005, 19, 603–613. [Google Scholar] [CrossRef]
- Molina-Montenegro, M.A.; Atala, C.; Gianoli, E. Phenotypic plasticity and performance of Taraxacum officinale (dandelion) in habitats of contrasting environmental heterogeneity. Biol. Invasions 2010, 12, 2277–2284. [Google Scholar] [CrossRef]
- Carvajal, D.E.; Loayza, A.P.; Rios, R.S.; Gianoli, E.; Squeo, F.A. Population variation in drought-resistance strategies in a desert shrub along an aridity gradient: Interplay between phenotypic plasticity and ecotypic differentiation. Perspec. Plant Ecol. Evol. Syst. 2017, 29, 12–19. [Google Scholar] [CrossRef]
- Sheepens, J.F.; Deng, Y.; Bossdorf, O. Phenotypic plasticity in response to temperature fluctuations is genetically variable, and relates to climatic variability of origin, in Arabidopsis thaliana. AoB Plants 2018, 10, ply43. [Google Scholar] [CrossRef]
- Molina-Montenegro, M.A.; Naya, D.E. Latitudinal patterns in phenotypic plasticity and fitness-related traits: Assessing the climatic variability hypothesis (CVH) with an invasive plant species. PLoS ONE 2012, 7, e47620. [Google Scholar] [CrossRef] [PubMed]
- Amiard, V.; Demmig-Adams, B.; Mueh, K.E.; Turgeon, R.; Combs, A.F.; Adams, W.W., III. Role of light and jasmonic acid signaling in regulating foliar phloem cell wall ingrowth development. New Phytol. 2007, 173, 722–731. [Google Scholar] [CrossRef]
- Adams, W.W., III; Cohu, C.M.; Amiard, V.; Demmig-Adams, B. Associations between phloem-cell wall ingrowths in minor veins and maximal photosynthesis rate. Front. Plant Sci. 2014, 5, 24. [Google Scholar] [CrossRef] [PubMed]
- Duan, Z.; Homma, A.; Kobayashi, M.; Nagata, N.; Kaneko, Y.; Fujiki, Y.; Nishida, I. Photoassimilation, assimilate translocation and plasmodesmal biogenesis in the source leaves of Arabidopsis thaliana grown under an increased atmospheric CO2 concentration. Plant Cell Physiol. 2014, 55, 358–369. [Google Scholar] [CrossRef]
- Uhl, D.; Mosbrugger, V. Leaf venation density as a climate and environmental proxy: A critical review and new data. Paleogeogr. Paleoclimatol. Paleoecol. 1999, 149, 15–26. [Google Scholar] [CrossRef]
- Sack, L.; Scoffoni, C. Leaf venation: Structure, function, development, evolution, ecology and applications in the past, present and future. New Phytol. 2013, 198, 983–1000. [Google Scholar] [CrossRef]
- Dunbar-Co, S.; Sporck, M.J.; Sack, L. Leaf trait diversification and design in seven rare taxa of the Hawaiian Plantago radiation. Int. J. Plant Sci. 2009, 170, 61–75. [Google Scholar] [CrossRef]
- Han, J.M.; Zhang, Y.J.; Lei, Z.Y.; Zhang, W.F.; Zhang, Y.L. The higher area-based photosynthesis in Gossypium hirsutum L. is mostly attributed to leaf thickness. Photosynthetica 2019, 57, 420–427. [Google Scholar] [CrossRef]
- Momayyezi, M.; Rippner, D.A.; Duong, F.V.; Raja, P.V.; Brown, P.J.; Kluepfel, D.A.; Earles, J.M.; Forrestel, E.J.; Gilbert, M.E.; McElrone, A.J. Structural and functional leaf diversity lead to variability in photosynthetic capacity across a range of Juglans regia genotypes. New Phytol. 2022, 45, 2351–2365. [Google Scholar] [CrossRef]
- Poorter, H.; Niinemets, Ü.; Ntagkas, N.; Siebenkäs, A.; Mäenpää, M.; Matsubara, S.; Pons, T.L. A meta-analysis of plant responses to light intensity for 70 traits ranging from molecules to whole plant performance. New Phytol. 2019, 223, 1073–1105. [Google Scholar] [CrossRef] [PubMed]
- Carriquí, M.; Nadal, M.; Flexas, J. Acclimation of mesophyll conductance and anatomy to light during leaf aging in Arabidopsis thaliana. Physiol. Plant. 2021, 172, 1894–1907. [Google Scholar] [CrossRef]
- Hoshino, R.; Yoshida, Y.; Tsukaya, H. Multiple steps of leaf thickening during sun-leaf formation in Arabidopsis. Plant J. 2019, 100, 738–753. [Google Scholar] [CrossRef] [PubMed]
- Kenzo, T.; Ichie, T.; Yoneda, R.; Kitahashi, Y.; Watanabe, Y.; Ninomiya, I.; Koike, T. Interspecific variation of photosynthesis and leaf characteristics in canopy trees of five species of Diterocarpaceae in a tropical rain forest. Tree Physiol. 2004, 24, 1187–1192. [Google Scholar] [CrossRef]
- Hassiotou, F.; Renton, M.; Ludwig, M.; Evans, J.R.; Veneklaas, E.J. Photosynthesis at an extreme end of the leaf trait spectrum: How does it relate to high leaf dry mass per area and associated parameters? J. Exp. Bot. 2010, 61, 3015–3028. [Google Scholar] [CrossRef]
- Niinemets, Ü. Components of leaf dry mass per area—Leaf thickness and density—Alter leaf photosynthetic capacity in reverse directions in woody plants. New Phytol. 1999, 144, 35–47. [Google Scholar] [CrossRef]
- Tosens, T.; Nishida, K.; Gago, J.; Coopman, R.E.; Cabrera, H.M.; Carriquí, M.; Laanisto, L.; Morales, L.; Nada, M.; Rojas, R.; et al. The photosynthetic capacity in 35 ferns and fern allies: Mesophyll CO2 diffusion as a key trait. New Phytol. 2016, 209, 1576–1590. [Google Scholar] [CrossRef]
- Niinemets, Ü. Is there a species spectrum within the world-wide leaf economics spectrum? Major variations in leaf functional traits in the Mediterranean sclerophyll Quercus ilex. New Phytol. 2015, 205, 79–96. [Google Scholar] [CrossRef] [PubMed]
- Tenkanen, A.; Suprun, S.; Oksanen, E.; Keinänen, M.; Keski-Saari, S.; Kontunen-Soppela, S. Strategy by latitude? Higher photosynthetic capacity and root mass fraction in northern than southern silver birch (Betula pendula Roth) in uniform growing conditions. Tree Physiol. 2021, 41, 974–991. [Google Scholar] [CrossRef] [PubMed]
- Sancho-Knapik, D.; Ecudero, A.; Mediavilla, S.; Scoffoni, C.; Zailaa, J.; Cavender-Bares, J.; Álvarez-Arenas, T.G.; Molins, A.; Alonso-Forn, D.; Ferrio, J.P.; et al. Deciduous and evergreen oaks show contrasting adaptive responses in leaf mass per area across environment. New Phytol. 2021, 230, 521–534. [Google Scholar] [CrossRef]
- Adams, W.W., III; Cohu, C.M.; Muller, O.; Demmig-Adams, B. Foliar phloem infrastructure in support of photosynthesis. Front. Plant Sci. 2013, 4, 194. [Google Scholar] [CrossRef]
- Stewart, J.J.; Adams, W.W., III; Cohu, C.M.; Polutchko, S.K.; Lombardi, E.M.; Demmig-Adams, B. Differences in light-harvesting, acclimation to growth-light environment, and leaf structural development between Swedish and Italian ecotypes of Arabidopsis thaliana. Planta 2015, 242, 1277–1290. [Google Scholar] [CrossRef] [PubMed]
- Ibañez, C.; Poeschl, Y.; Peterson, T.; Bellstädt, J.; Denk, K.; Gogol-Döring, A.; Quint, M.; Delker, C. Ambient temperature and genotype differentially affect developmental and phenotypic plasticity in Arabidopsis thaliana. BMC Plant Biol. 2017, 7, 114. [Google Scholar] [CrossRef] [PubMed]
- Kolodziejczak, M.; Skibior-Blaszczyk, R.; Janska, H. m-AAA complexes are not crucial for the survival of Arabidopsis under optimal growth conditions despite their importance for mitochondrial translation. Plant Cell Physiol. 2018, 59, 1006–1016. [Google Scholar] [CrossRef]
- Duruflé, H.; Ranocha, P.; Mbadinga, D.L.M.; Déjean, S.; Bonhomme, M.; San Clemente, H.; Viudes, S.; Eljebbawi, A.; Delorme-Hinoux, V.; Sáez-Vásquez, J.; et al. Phenotypic trait variation as a response to altitude-related constraints in Arabidopsis populations. Front. Plant Sci. 2019, 10, 430. [Google Scholar] [CrossRef]
- Duruflé, H.; Ranocha, P.; Balliau, T.; Zivy, M.; Albenne, C.; Burlat, V.; Déjean, S.; Jamet, E.; Dunand, C. An integrative study showing the adaptation to sub-optimal growth conditions of natural populations of Arabidopsis thaliana: A focus on cell wall changes. Cells 2020, 9, 2249. [Google Scholar] [CrossRef]
- Gawrónski, P.; Burdiak, P.; Scharff, L.B.; Mielecki, J.; Górecka, M.; Zaborowska, M.; Leister, D.; Waszczak, C.; Karpínski, S. CIA2 and CIA2-LIKE are required for optimal photosynthesis and stress responses in Arabidopsis thaliana. Plant J. 2020, 105, 619–638. [Google Scholar] [CrossRef]
- Velitchkova, M.; Popova, A.V.; Faik, A.; Gerganova, M.; Ivanov, A.G. Low temperature and high light dependent dynamic photoprotective strategies in Arabidopsis thaliana. Physiol. Plant. 2020, 170, 93–108. [Google Scholar] [CrossRef] [PubMed]
- Serrato, A.J.; Rojas-González, J.A.; Torres-Romero, D.; Vargas, P.; Sahrawy, M. Thioredoxins m are major players in the multifaceted light-adaptive response in Arabidopsis thaliana. Plant J. 2021, 108, 120–133. [Google Scholar] [CrossRef]
- Mitchell-Olds, T.; Schmitt, J. Genetic mechanisms and evolutionary significance of natural variation in Arabidopsis. Nature 2006, 441, 947–952. [Google Scholar] [CrossRef] [PubMed]
- Estarague, A.; Vasseur, F.; Sartori, K.; Bastias, C.C.; Cornet, D.; Rouan, L.; Beurier, G.; Exposito-Alonso, M.; Herbette, S.; Bresson, J.; et al. Into the range: A latitudinal gradient or a center-margins differentiation of ecological strategies in Arabidopsis thaliana. Ann. Bot. 2022, 129, 343–356. [Google Scholar] [CrossRef]
- Fletcher, L.R.; Scoffoni, C.; Farrell, C.; Buckley, T.N.; Pellegrini, M.; Sack, L. Testing the association of relative growth rate and adaptation to climate across natural ecotypes of Arabidopsis. New Phytol. 2022, 236, 413–432. [Google Scholar] [CrossRef]
- Bonser, S.P. Misinterpreting the adaptive value of phenotypic plasticity in studies on plant adaptation to new and variable environments. Plant Biol. 2021, 23, 683–685. [Google Scholar] [CrossRef] [PubMed]
- Muller, O.; Stewart, J.J.; Cohu, C.M.; Polutchko, S.K.; Demmig-Adams, B.; Adams, W.W., III. Leaf architectural, vascular, and photosynthetic acclimation to temperature in two biennials. Physiol. Plant. 2014, 152, 763–772. [Google Scholar] [CrossRef] [PubMed]
- Wickham, H. Ggplot2: Elegant Graphics for Data Analysis, 2nd ed.; Springer: New York, NY, USA, 2016. [Google Scholar] [CrossRef]











Disclaimer/Publisher’s Note: The statements, opinions and data contained in all publications are solely those of the individual author(s) and contributor(s) and not of MDPI and/or the editor(s). MDPI and/or the editor(s) disclaim responsibility for any injury to people or property resulting from any ideas, methods, instructions or products referred to in the content. |
© 2023 by the authors. Licensee MDPI, Basel, Switzerland. This article is an open access article distributed under the terms and conditions of the Creative Commons Attribution (CC BY) license (https://creativecommons.org/licenses/by/4.0/).
Share and Cite
Adams, W.W., III; Stewart, J.J.; Polutchko, S.K.; Cohu, C.M.; Muller, O.; Demmig-Adams, B. Foliar Phenotypic Plasticity Reflects Adaptation to Environmental Variability. Plants 2023, 12, 2041. https://doi.org/10.3390/plants12102041
Adams WW III, Stewart JJ, Polutchko SK, Cohu CM, Muller O, Demmig-Adams B. Foliar Phenotypic Plasticity Reflects Adaptation to Environmental Variability. Plants. 2023; 12(10):2041. https://doi.org/10.3390/plants12102041
Chicago/Turabian StyleAdams, William W., III, Jared J. Stewart, Stephanie K. Polutchko, Christopher M. Cohu, Onno Muller, and Barbara Demmig-Adams. 2023. "Foliar Phenotypic Plasticity Reflects Adaptation to Environmental Variability" Plants 12, no. 10: 2041. https://doi.org/10.3390/plants12102041
APA StyleAdams, W. W., III, Stewart, J. J., Polutchko, S. K., Cohu, C. M., Muller, O., & Demmig-Adams, B. (2023). Foliar Phenotypic Plasticity Reflects Adaptation to Environmental Variability. Plants, 12(10), 2041. https://doi.org/10.3390/plants12102041

