Machine Learning Methods for Automatic Segmentation of Images of Field- and Glasshouse-Based Plants for High-Throughput Phenotyping
Abstract
1. Introduction
2. Results
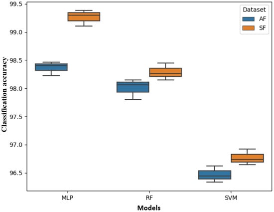
2.1. Performance of the ML Models Based on Different Number of Training Features
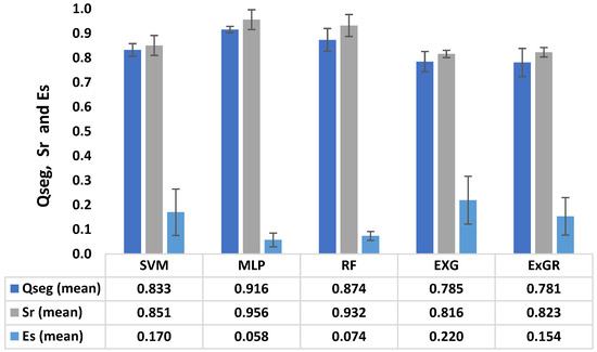
2.2. Segmentation Accuracy Analysis
2.3. Performance of SPAD Prediction Regression Models
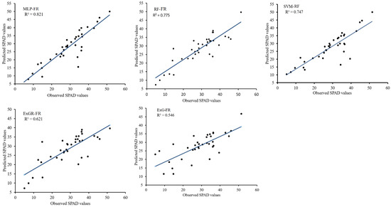
2.3.1. Cowpea SPAD Values Prediction
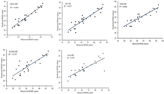
2.3.2. Wheat SPAD Values Prediction
3. Discussion
4. Materials and Methods
4.1. Experimental Setup and Imaging
4.1.1. Cowpea Grown in the Glasshouse
4.1.2. Wheat Grown on the Field
4.2. White Balance and Color Correction
4.3. Machine Learning Segmentation Process
4.3.1. Image Annotation and Color Transformation
4.3.2. Feature Extraction and Selection
4.3.3. Training and Testing the Model
4.4. Regression for SPAD Values Prediction
4.5. Comparing Segmentation Performance
4.6. Model Evaluation Metrics
4.7. Assessment of Performance of SPAD Prediction Models
5. Conclusions
Supplementary Materials
Author Contributions
Funding
Institutional Review Board Statement
Informed Consent Statement
Data Availability Statement
Conflicts of Interest
References
- Lee, U.; Chang, S.; Putra, G.A.; Kim, H.; Kim, D.H. An automated, high-throughput plant phenotyping system using machine learning-based plant segmentation and image analysis. PLoS ONE 2018, 13, e0196615. [Google Scholar] [CrossRef] [PubMed]
- Sugiura, R.; Tsuda, S.; Tsuji, H.; Murakami, N. Virus-infected plant detection in potato seed production field by UAV imagery. In Proceedings of the 2018 ASABE Annual International Meeting, Detroit, MI, USA, 29 July–1 August 2018. [Google Scholar]
- Sadeghi-Tehran, P.; Virlet, N.; Sabermanesh, K.; Hawkesford, M.J. Multi-feature machine learning model for automatic segmentation of green fractional vegetation cover for high-throughput field phenotyping. Plant Methods 2017, 13, 103. [Google Scholar] [CrossRef]
- Li, L.; Zhang, Q.; Huang, D. A Review of Imaging Techniques for Plant Phenotyping. Sensors 2014, 14, 20078–20111. [Google Scholar] [CrossRef] [PubMed]
- Hamuda, E.; Glavin, M.; Jones, E. A survey of image processing techniques for plant extraction and segmentation in the field. Comput. Electron. Agric. 2016, 125, 184–199. [Google Scholar] [CrossRef]
- Zheng, Y.; Zhu, Q.; Huang, M.; Guo, Y.; Qin, J. Maize and weed classification using color indices with support vector data description in outdoor fields. Comput. Electron. Agric. 2017, 141, 215–222. [Google Scholar] [CrossRef]
- Meyer, G.E.; Neto, J.C. Verification of color vegetation indices for automated crop imaging applications. Comput. Electron. Agric. 2008, 63, 282–293. [Google Scholar] [CrossRef]
- Kirk, K.; Andersen, H.J.; Thomsen, A.G.; Jørgensen, J.R.; Jørgensen, R.N. Estimation of leaf area index in cereal crops using red–green images. Biosyst. Eng. 2009, 104, 308–317. [Google Scholar] [CrossRef]
- Iqbal, A.; Talukder, K.H. Detection of Potato Disease Using Image Segmentation and Machine Learning. In Proceedings of the 2020 International Conference on Wireless Communications Signal Processing and Networking (WiSPNET), Chennai, India, 4–6 August 2020; pp. 43–47. [Google Scholar] [CrossRef]
- Aich, S.; Stavness, I. Leaf Counting with Deep Convolutional and Deconvolutional Networks. In Proceedings of the 2017 IEEE International Conference on Computer Vision Workshops (ICCVW), Venice, Italy, 22–29 October 2017; pp. 2080–2089. [Google Scholar]
- Zhang, J.; Min, A.; Steffenson, B.J.; Su, W.-H.; Hirsch, C.D.; Anderson, J.; Wei, J.; Ma, Q.; Yang, C. Wheat-Net: An Automatic Dense Wheat Spike Segmentation Method Based on an Optimized Hybrid Task Cascade Model. Front. Plant Sci. 2022, 13, 834938. [Google Scholar] [CrossRef]
- Adams, J.; Qiu, Y.; Xu, Y.; Schnable, J.C. Plant segmentation by supervised machine learning methods. Plant Phenome J. 2020, 3, e20001. [Google Scholar] [CrossRef]
- Chen, H.; Dou, Q.; Yu, L.; Qin, J.; Heng, P.-A. VoxResNet: Deep voxelwise residual networks for brain segmentation from 3D MR images. NeuroImage 2018, 170, 446–455. [Google Scholar] [CrossRef]
- Morris, D. A Pyramid CNN for Dense-Leaves Segmentation. In Proceedings of the 2018 15th Conference on Computer and Robot Vision (CRV), Toronto, ON, Canada, 8–10 May 2018; pp. 238–245. [Google Scholar] [CrossRef]
- Narisetti, N.; Henke, M.; Neumann, K.; Stolzenburg, F.; Altmann, T.; Gladilin, E. Deep Learning Based Greenhouse Image Segmentation and Shoot Phenotyping (DeepShoot). Front. Plant Sci. 2022, 13, 906410. [Google Scholar] [CrossRef] [PubMed]
- Jiang, Y.; Li, C. Convolutional Neural Networks for Image-Based High-Throughput Plant Phenotyping: A Review. Plant Phenomics 2020, 2020, 4152816. [Google Scholar] [CrossRef] [PubMed]
- Guijarro, M.; Riomoros, I.; Pajares, G.; Zitinski, P. Discrete wavelets transform for improving greenness image segmentation in agricultural images. Comput. Electron. Agric. 2015, 118, 396–407. [Google Scholar] [CrossRef]
- Williamson, S.J.; Cummins, H.Z.; Kidder, J.N. Light and Color in Nature and Art. Am. J. Phys. 1984, 52, 186. [Google Scholar] [CrossRef]
- Ganesan, P.; Sajiv, G.; Leo, L.M. CIELuv color space for identification and segmentation of disease affected plant leaves using fuzzy based approach. In Proceedings of the 2017 Third International Conference on Science Technology Engineering & Management (ICONSTEM), Chennai, India, 23–24 March 2017; pp. 889–894. [Google Scholar] [CrossRef]
- Prasetyo, E.; Adityo, R.D.; Suciati, N.; Fatichah, C. Mango leaf image segmentation on HSV and YCbCr color spaces using Otsu thresholding. In Proceedings of the 2017 3rd International Conference on Science and Technology—Computer (ICST), Yogyakarta, Indonesia, 11–12 July 2017; pp. 99–103. [Google Scholar] [CrossRef]
- Woebbecke, D.M.; Meyer, G.E.; Von Bargen, K.; Mortensen, D.A. Color Indices for Weed Identification Under Various Soil, Residue, and Lighting Conditions. Trans. Am. Soc. Agric. Eng. 1995, 38, 259–269. [Google Scholar] [CrossRef]
- Kataoka, T.; Kaneko, T.; Okamoto, H.; Hata, S. Crop growth estimation system using machine vision. In Proceedings of the 2003 IEEE/ASME International Conference on Advanced Intelligent Mechatronics (AIM 2003), Kobe, Japan, 20–24 July 2003; Volume 2, p. b1079. [Google Scholar] [CrossRef]
- Golzarian, M.R.; Frick, R.A. Classification of images of wheat, ryegrass and brome grass species at early growth stages using principal component analysis. Plant Methods 2011, 7, 28. [Google Scholar] [CrossRef]
- Karcher, D.E.; Richardson, M.D. Quantifying Turfgrass Color Using Digital Image Analysis. Crop. Sci. 2003, 43, 943–951. [Google Scholar] [CrossRef]
- Hassanijalilian, O.; Igathinathane, C.; Doetkott, C.; Bajwa, S.; Nowatzki, J.; Esmaeili, S.A.H. Chlorophyll estimation in soybean leaves infield with smartphone digital imaging and machine learning. Comput. Electron. Agric. 2020, 174, 105433. [Google Scholar] [CrossRef]
- Guijarro, M.; Pajares, G.; Riomoros, I.; Herrera, P.; Burgos-Artizzu, X.; Ribeiro, A. Automatic segmentation of relevant textures in agricultural images. Comput. Electron. Agric. 2011, 75, 75–83. [Google Scholar] [CrossRef]
- Bakhshipour, A.; Jafari, A.; Nassiri, S.M.; Zare, D. Weed segmentation using texture features extracted from wavelet sub-images. Biosyst. Eng. 2017, 157, 1–12. [Google Scholar] [CrossRef]
- Xiong, X.; Yu, L.; Yang, W.; Liu, M.; Jiang, N.; Wu, D.; Chen, G.; Xiong, L.; Liu, K.; Liu, Q. A high-throughput stereo-imaging system for quantifying rape leaf traits during the seedling stage. Plant Methods 2017, 13, 7. [Google Scholar] [CrossRef] [PubMed]
- McCauley, A.; Jones, C.; Jacobsen, J. Plant Nutrient Functions and Deficiency and Toxicity Symptoms. Nutr. Manag. Modul. 2011, 9, 1–16. [Google Scholar]
- Masters-Clark, E.; Shone, E.; Paradelo, M.; Hirsch, P.R.; Clark, I.M.; Otten, W.; Brennan, F.; Mauchline, T.H. Development of a defined compost system for the study of plant-microbe interactions. Sci. Rep. 2020, 10, 7521. [Google Scholar] [CrossRef] [PubMed]
- Barrett-Lennard, E.G.; Robson, A.D.; Greenway, H. Effect of Phosphorus Deficiency and Water Deficit on Phosphatase Activities from Wheat Leaves. J. Exp. Bot. 1982, 33, 682–693. [Google Scholar] [CrossRef]
- Joalland, S.; Screpanti, C.; Liebisch, F.; Varella, H.V.; Gaume, A.; Walter, A. Comparison of visible imaging, thermography and spectrometry methods to evaluate the effect of Heterodera schachtii inoculation on sugar beets. Plant Methods 2017, 13, 73. [Google Scholar] [CrossRef]
- Sunoj, S.; McRoberts, K.C.; Benson, M.; Ketterings, Q.M. Digital image analysis estimates of biomass, carbon, and nitrogen uptake of winter cereal cover crops. Comput. Electron. Agric. 2021, 184, 106093. [Google Scholar] [CrossRef]
- Chopin, J.; Kumar, P.; Miklavcic, S.J. Land-based crop phenotyping by image analysis: Consistent canopy characterization from inconsistent field illumination. Plant Methods 2018, 14, 39. [Google Scholar] [CrossRef]
- Naik, H.S.; Zhang, J.; Lofquist, A.; Assefa, T.; Sarkar, S.; Ackerman, D.; Singh, A.; Singh, A.K.; Ganapathysubramanian, B. A real-time phenotyping framework using machine learning for plant stress severity rating in soybean. Plant Methods 2017, 13, 23. [Google Scholar] [CrossRef]
- Dutta, A.; Zisserman, A. The VIA Annotation Software for Images, Audio and Video. In Proceedings of the 27th ACM International Conference on Multimedia, Nice, France, 21–25 October 2019; pp. 2276–2279. [Google Scholar] [CrossRef]
- Zhang, Q.; Liu, P.; Wang, X.; Zhang, Y.; Han, Y.; Yu, B. StackPDB: Predicting DNA-binding proteins based on XGB-RFE feature optimization and stacked ensemble classifier. Appl. Soft Comput. 2020, 99, 106921. [Google Scholar] [CrossRef]
- Zulfikar, A.F.; Supriyadi, D.; Heryadi, Y. Lukas Comparison Performance of Decision Tree Classification Model for Spam Filtering with or without the Recursive Feature Elimination (RFE) Approach. In Proceedings of the 2019 4th International Conference on Information Technology, Information Systems and Electrical Engineering (ICITISEE), Yogyakarta, Indonesia, 20–21 November 2019. [Google Scholar] [CrossRef]
- Darst, B.F.; Malecki, K.C.; Engelman, C.D. Using recursive feature elimination in random forest to account for correlated variables in high dimensional data. BMC Genet. 2018, 19, 65. [Google Scholar] [CrossRef]
- Kumar, P.; Miklavcic, S.J. Analytical Study of Colour Spaces for Plant Pixel Detection. J. Imaging 2018, 4, 42. [Google Scholar] [CrossRef]
- Atkinson, P.M.; Tatnall, A.R.L. Introduction Neural networks in remote sensing. Int. J. Remote Sens. 1997, 18, 699–709. [Google Scholar] [CrossRef]
- Desai, M.; Shah, M. An anatomization on breast cancer detection and diagnosis employing multi-layer perceptron neural network (MLP) and Convolutional neural network (CNN). Clin. eHealth 2020, 4, 1–11. [Google Scholar] [CrossRef]
- Barbedo, J.G.A. Impact of dataset size and variety on the effectiveness of deep learning and transfer learning for plant disease classification. Comput. Electron. Agric. 2018, 153, 46–53. [Google Scholar] [CrossRef]
- Sopelsa Neto, N.F.; Stefenon, S.F.; Meyer, L.H.; Bruns, R.; Nied, A.; Seman, L.O.; Gonzalez, G.V.; Leithardt, V.R.Q.; Yow, K.-C. A Study of Multilayer Perceptron Networks Applied to Classification of Ceramic Insulators Using Ultrasound. Appl. Sci. 2021, 11, 1592. [Google Scholar] [CrossRef]
- Hesami, M.; Naderi, R.; Tohidfar, M. Modeling and Optimizing in vitro Sterilization of Chrysanthemum via Multilayer Perceptron-Non-dominated Sorting Genetic Algorithm-II (MLP-NSGAII). Front. Plant Sci. 2019, 10, 282. [Google Scholar] [CrossRef]
- Lo, C.; Marculescu, R. MetaNN: Accurate classification of host phenotypes from metagenomic data using neural networks. BMC Bioinform. 2019, 20, 314. [Google Scholar] [CrossRef]
- Thomas, P.; Suhner, M.-C. A New Multilayer Perceptron Pruning Algorithm for Classification and Regression Applications. Neural Process. Lett. 2014, 42, 437–458. [Google Scholar] [CrossRef]
- Arulmozhi, E.; Basak, J.K.; Sihalath, T.; Park, J.; Kim, H.T.; Moon, B.E. Machine Learning-Based Microclimate Model for Indoor Air Temperature and Relative Humidity Prediction in a Swine Building. Animals 2021, 11, 222. [Google Scholar] [CrossRef]
- Sari, T.; Kefali, A.; Bahi, H. An MLP for Binarizing Images of Old Manuscripts. In Proceedings of the 2012 International Conference on Frontiers in Handwriting Recognition, Bari, Italy, 18–20 September 2012; pp. 247–251. [Google Scholar] [CrossRef]
- Hornik, K.; Stinchcombe, M.; White, H. Multilayer feedforward networks are universal approximators. Neural Netw. 1989, 2, 359–366. [Google Scholar] [CrossRef]
- Aslam, M.; Lee, J.-M.; Hong, S. A multi-layer perceptron based deep learning model to quantify the energy potentials of a thin film a-Si PV system. Energy Rep. 2020, 6, 1331–1336. [Google Scholar] [CrossRef]
- Oh, S.; Lee, D.-Y.; Gongora-Canul, C.; Ashapure, A.; Carpenter, J.; Cruz, A.P.; Fernandez-Campos, M.; Lane, B.Z.; Telenko, D.E.P.; Jung, J.; et al. Tar Spot Disease Quantification Using Unmanned Aircraft Systems (UAS) Data. Remote Sens. 2021, 13, 2567. [Google Scholar] [CrossRef]
- Nguyen, G.N.; Panozzo, J.; Spangenberg, G.; Kant, S. Phenotyping approaches to evaluate nitrogen-use efficiency related traits of diverse wheat varieties under field conditions. Crop. Pasture Sci. 2016, 67, 1139. [Google Scholar] [CrossRef]
- Chen, T.; Guestrin, C. XGBoost: A Scalable Tree Boosting System. In Proceedings of the KDD ‘16: 22nd ACM SIGKDD International Conference on Knowledge Discovery and Data Mining, San Francisco, CA, USA, 13–17 August 2016; Association for Computing Machinery: New York, NY, USA, 2016; pp. 785–794. [Google Scholar] [CrossRef]
- Pesantez-Narvaez, J.; Guillen, M.; Alcañiz, M. Predicting Motor Insurance Claims Using Telematics Data—XGBoost versus Logistic Regression. Risks 2019, 7, 70. [Google Scholar] [CrossRef]
- Hindman, T.; Meyer, G.E. Fuzzy Logic Detection Parameters for Plant Species Identification. Syst. Eng. 1998, 3543, 327–335. [Google Scholar]
- Meyer, G.E.; Neto, J.C.; Jones, D.D.; Hindman, T.W. Intensified fuzzy clusters for classifying plant, soil, and residue regions of interest from color images. Comput. Electron. Agric. 2004, 42, 161–180. [Google Scholar] [CrossRef]
- Guo, W.; Rage, U.K.; Ninomiya, S. Illumination invariant segmentation of vegetation for time series wheat images based on decision tree model. Comput. Electron. Agric. 2013, 96, 58–66. [Google Scholar] [CrossRef]
- Yu, K.; Kirchgessner, N.; Grieder, C.; Walter, A.; Hund, A. An image analysis pipeline for automated classification of imaging light conditions and for quantification of wheat canopy cover time series in field phenotyping. Plant Methods 2017, 13, 15. [Google Scholar] [CrossRef]
- Akbarzadeh, S.; Paap, A.; Ahderom, S.; Apopei, B.; Alameh, K. Plant discrimination by Support Vector Machine classifier based on spectral reflectance. Comput. Electron. Agric. 2018, 148, 250–258. [Google Scholar] [CrossRef]
- Angel, Y.; McCabe, M.F. Machine Learning Strategies for the Retrieval of Leaf-Chlorophyll Dynamics: Model Choice, Sequential Versus Retraining Learning, and Hyperspectral Predictors. Front. Plant Sci. 2022, 13, 722442. [Google Scholar] [CrossRef]
- Shi, P.; Wang, Y.; Xu, J.; Zhao, Y.; Yang, B.; Yuan, Z.; Sun, Q. Rice nitrogen nutrition estimation with RGB images and machine learning methods. Comput. Electron. Agric. 2021, 180, 105860. [Google Scholar] [CrossRef]










| All Features Dataset (AL) | Selected Features Dataset (SF) | |||||||
|---|---|---|---|---|---|---|---|---|
| Learning Model | Accuracy | F-Score | Recall | Computational Time (s) | Accuracy | F-Score | Recall | Computational Time (s) |
| MLP | 98.464 a | 96.142 a | 98.144 a | 175.098 a | 99.382 a | 97.423 a | 98.321 a | 113.521 a |
| RF | 98.011 a | 95.331 b | 97.421 a | 191.450 b | 98.354 ab | 96.632 a | 97.931 a | 128.455 b |
| SVM | 96.134 b | 92.402 c | 95.651 b | 560.560 c | 96.624 b | 92.822 b | 96.514 b | 321.502 c |
| CVI | Mathematical Expression | Correlation Coefficient (r) | ||||
|---|---|---|---|---|---|---|
| Segmentation Method | ||||||
| ExG | ExGR | MLP | SVM | RF | ||
| Green | - | 0.420 | 0.291 | 0.554 | 0.418 | 0.459 |
| Blue | - | −0.228 | −0.424 | −0.682 | −0.562 | −0.605 |
| ExG [21] | 0.742 | 0.763 | 0.893 | 0.824 | 0.838 | |
| ExR [7] | 0.692 | 0.822 | 0.885 | 0.745 | 0.820 | |
| CIVE [22] | 0.670 | 0.745 | 0.924 | 0.787 | 0.822 | |
| ERI [23] | −0.551 | −0.568 | −0.661 | −0.517 | −0.642 | |
| DGCI [24] | 0.672 | 0.759 | 0.948 | 0.821 | 0.850 | |
| GR | −0.585 | −0.721 | −0.842 | −0.766 | −0.671 | |
| COM1 [17] | 0.623 | 0.748 | 0.901 | 0.792 | 0.782 | |
| GBRG [21] | 0.689 | 0.824 | 0.870 | 0.844 | 0.802 | |
| EGI [23] | 0.231 | 0.425 | 0.464 | 0.382 | 0.295 | |
| Model | Training Set | Testing Set | ||||
|---|---|---|---|---|---|---|
| R2 | RMSE | MAE | R2 | RMSE | MAE | |
| MLP-GR | 0.942 | 2.152 | 2.120 | 0.904 | 2.682 | 2.931 |
| RF-GR | 0.881 | 3.885 | 2.581 | 0.837 | 3.958 | 3.780 |
| SVM-GR | 0.864 | 4.255 | 3.601 | 0.826 | 3.620 | 3.881 |
| ExGR-GR | 0.790 | 6.102 | 4.512 | 0.747 | 5.790 | 4.910 |
| ExG-GR | 0.772 | 6.881 | 5.155 | 0.701 | 7.151 | 6.851 |
| CVI | Mathematical Expression | Correlation Coefficient(r) | ||||
|---|---|---|---|---|---|---|
| Segmentation Method | ||||||
| ExG | ExGR | MLP | SVM | RF | ||
| Green | - | 0.242 | 0.212 | 0.443 | 0.38 | 0.291 |
| Blue | - | −0.377 | −0.344 | −0.618 | −0.522 | −0.552 |
| ExG [21] | 0.704 | 0.726 | 0.927 | 0.841 | 0.877 | |
| ExR [7] | 0.675 | 0.722 | 0.845 | 0.751 | 0.803 | |
| CIVE [22] | 0.601 | −0.652 | −0.842 | −0.773 | −0.782 | |
| ERI [23] | −0.407 | −0.476 | −0.681 | −0.572 | −0.644 | |
| DGCI [24] | 0.623 | 0.690 | 0.881 | 0.791 | 0.747 | |
| GR | −0.551 | −0.606 | −0.740 | −0.657 | −0.671 | |
| COM1 [17] | 0.532 | 0.682 | 0.813 | 0.722 | 0.78 | |
| GBRG [21] | 0.690 | 0.743 | 0.904 | 0.781 | 0.811 | |
| EGI [23] | 0.111 | 0.251 | 0.412 | 0.322 | 0.352 | |
| Model | Training Set | Testing Set | ||||
|---|---|---|---|---|---|---|
| R2 | RMSE | MAE | R2 | RMSE | MAE | |
| MLP-FR | 0.893 | 3.25 | 2.52 | 0.821 | 3.680 | 3.233 |
| RF-FR | 0.815 | 4.05 | 2.78 | 0.775 | 3.785 | 3.781 |
| SVM-FR | 0.791 | 5.10 | 3.90 | 0.747 | 7.903 | 4.252 |
| ExGR-FR | 0.670 | 7.88 | 5.12 | 0.621 | 8.202 | 6.102 |
| ExG-FR | 0.642 | 9.85 | 7.55 | 0.521 | 13.155 | 11.851 |
| Hyper Parameters | Model | ||
|---|---|---|---|
| MLP | SVM | RF | |
| Hidden layers | 1 | - | - |
| Neurons | 20 | - | - |
| Activation function | ReLU | - | - |
| Kernel | - | RBF | - |
| C | - | 0.001 | - |
| γ | - | 1 | - |
| n_estimator | - | - | 200 |
| max_depth | - | - | 20 |
| min_samples_leaf | - | - | 4 |
Disclaimer/Publisher’s Note: The statements, opinions and data contained in all publications are solely those of the individual author(s) and contributor(s) and not of MDPI and/or the editor(s). MDPI and/or the editor(s) disclaim responsibility for any injury to people or property resulting from any ideas, methods, instructions or products referred to in the content. |
© 2023 by the authors. Licensee MDPI, Basel, Switzerland. This article is an open access article distributed under the terms and conditions of the Creative Commons Attribution (CC BY) license (https://creativecommons.org/licenses/by/4.0/).
Share and Cite
Okyere, F.G.; Cudjoe, D.; Sadeghi-Tehran, P.; Virlet, N.; Riche, A.B.; Castle, M.; Greche, L.; Mohareb, F.; Simms, D.; Mhada, M.; et al. Machine Learning Methods for Automatic Segmentation of Images of Field- and Glasshouse-Based Plants for High-Throughput Phenotyping. Plants 2023, 12, 2035. https://doi.org/10.3390/plants12102035
Okyere FG, Cudjoe D, Sadeghi-Tehran P, Virlet N, Riche AB, Castle M, Greche L, Mohareb F, Simms D, Mhada M, et al. Machine Learning Methods for Automatic Segmentation of Images of Field- and Glasshouse-Based Plants for High-Throughput Phenotyping. Plants. 2023; 12(10):2035. https://doi.org/10.3390/plants12102035
Chicago/Turabian StyleOkyere, Frank Gyan, Daniel Cudjoe, Pouria Sadeghi-Tehran, Nicolas Virlet, Andrew B. Riche, March Castle, Latifa Greche, Fady Mohareb, Daniel Simms, Manal Mhada, and et al. 2023. "Machine Learning Methods for Automatic Segmentation of Images of Field- and Glasshouse-Based Plants for High-Throughput Phenotyping" Plants 12, no. 10: 2035. https://doi.org/10.3390/plants12102035
APA StyleOkyere, F. G., Cudjoe, D., Sadeghi-Tehran, P., Virlet, N., Riche, A. B., Castle, M., Greche, L., Mohareb, F., Simms, D., Mhada, M., & Hawkesford, M. J. (2023). Machine Learning Methods for Automatic Segmentation of Images of Field- and Glasshouse-Based Plants for High-Throughput Phenotyping. Plants, 12(10), 2035. https://doi.org/10.3390/plants12102035

