Mapping QTL for Phenological and Grain-Related Traits in a Mapping Population Derived from High-Zinc-Biofortified Wheat
Abstract
1. Introduction
2. Materials and Methods
2.1. Plant Material and Field Experiments
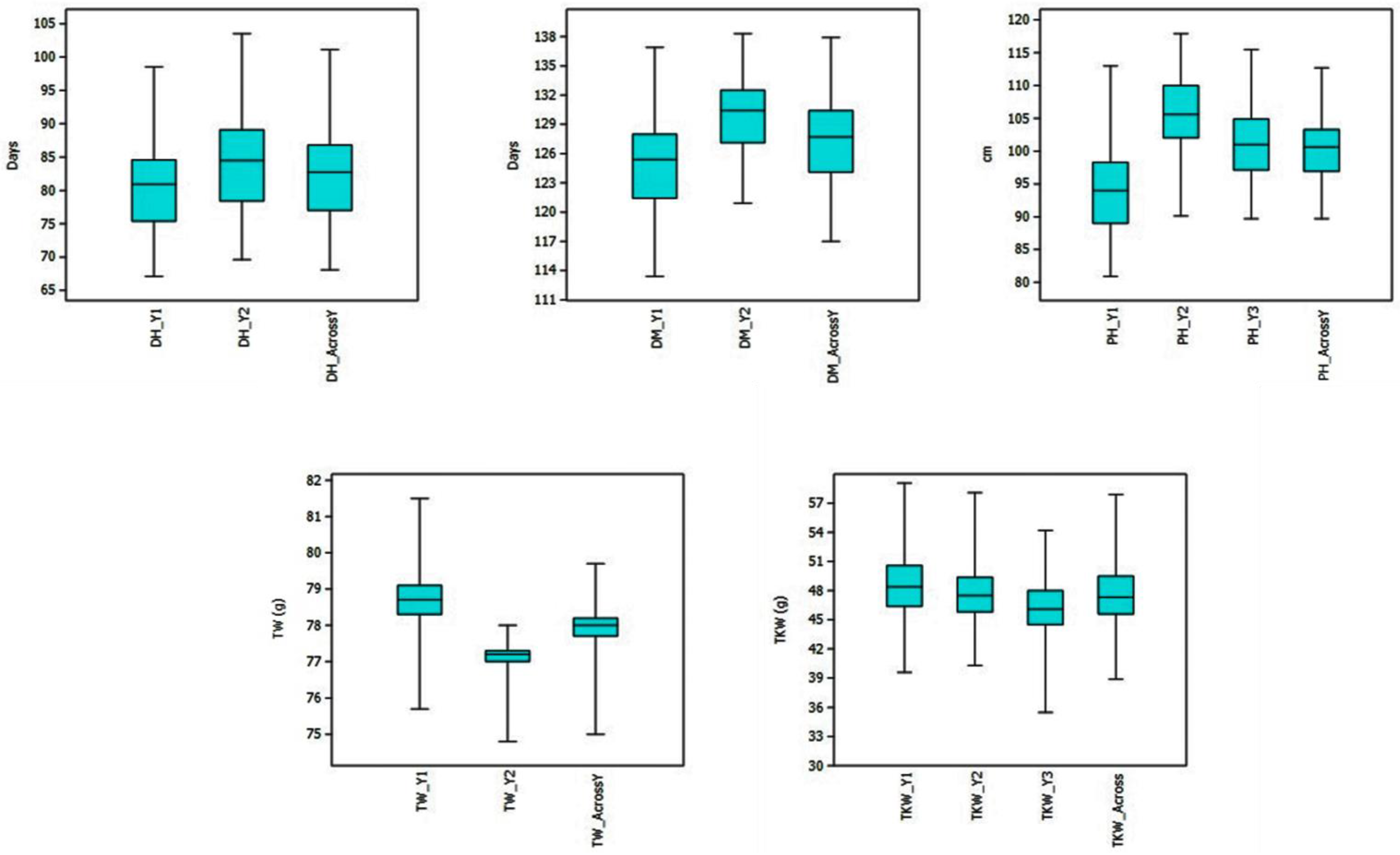
2.2. Phenotyping and Data Analysis
2.3. Genotyping, Linkage Map Construction, and QTL Analysis
2.4. In Silico Analysis of QTL and QTL Additive-Effects Estimation
3. Results
3.1. Genetic Variability and Correlation Analysis
3.2. Linkage-Map Construction
3.3. QTL Mapping
3.3.1. Agro-Morphological Traits
3.3.2. Grain-Related Traits
3.3.3. Co-localized QTLs
3.3.4. Quantitative-Trait-Locus Additive-Effects
3.3.5. Putative Candidate Genes Associated with QTLs
4. Discussion
4.1. Mapping Population
4.2. Correlation Studies
4.3. Linkage Map
4.4. QTL Analysis
4.5. Pleiotropic QTL Regions
4.6. QTL Utilization Strategy
4.7. Putative Candidate Genes
5. Conclusions
Supplementary Materials
Author Contributions
Funding
Informed Consent Statement
Conflicts of Interest
References
- WHO. Children: Improving Survival and Well-Being. 2020. Available online: https://www.who.int/en/news-room/fact-sheets/detail/children-reducing-mortality (accessed on 1 March 2022).
- WHO. The Double Burden of Malnutrition: Policy Brief. 2017. Available online: http://www.who.int/nutrition/publications/doubleburdenmalnutrition-policybrief/en/ (accessed on 1 March 2022).
- Hotz, C.; Brown, K.H. Assessment of the risk of zinc deficiency in populations and options for its control. Food Nutr. Bull. 2004, 25, 91–204. [Google Scholar]
- Nube, M.; Voortman, R.L. Human micronutrient deficiencies: Linkages with micronutrient deficiencies in soils, crops and animal nutrition. In Combating Micronutrient Deficiencies: Food-Based Approaches; VU-University: Amsterdam, The Netherlands, 2011; p. 289. [Google Scholar]
- Tontisirin, K.; Nantel, G.; Bhattacharjee, L. Food-based strategies to meet the challenges of micronutrient malnutrition in the developing world. Proc. Nutr. Soc. 2002, 61, 243–250. [Google Scholar] [CrossRef]
- Meenakshi, J.V.; Johnson, N.L.; Manyong, V.M.; DeGroote, H.; Javelosa, J.; Yanggen, D.R.; Naher, F.; Gonzalez, C.; Garcia, J.; Meng, E.; et al. How cost-effective is biofortification in combating micronutrient malnutrition? An ex ante assessment. World Dev. 2010, 38, 64–75. [Google Scholar] [CrossRef]
- Graham, R.D.; Welch, R.M.; Saunders, D.A.; Ortiz-Monasterio, I.; Bouis, H.E.; Bonierbale, M.; de Haan, S.; Burgos, G.; Thiele, G.; Liria, R.; et al. Nutritious subsistence food systems. Adv. Agron. 2007, 92, 1–74. [Google Scholar] [CrossRef]
- Velu, G.; Singh, R.P.; Joshi, A.K. A decade of progress on genetic enhancement of grain zinc and iron in CIMMYT wheat germplasm. In Wheat and Barley Grain Biofortification; Series in Food Science, Technology and Nutrition; Woodhead Publishing: Sawston, UK, 2020; pp. 129–138. [Google Scholar] [CrossRef]
- Chen, X.; Min, D.; Yasir, T.A.; Hu, Y.G. Evaluation of 14 morphological, yield-related, and physiological traits as indicators of drought tolerance in Chinese winter bread wheat revealed by analysis of the membership function value of drought tolerance (MFVD). Field Crop Res. 2012, 137, 195–201. [Google Scholar] [CrossRef]
- Sukumaran, S.; Reynolds, M.P.; Sansaloni, C. Genome-wide association analyses identify QTL hotspots for yield and component traits in durum wheat grown under yield potential, drought, and heat stress environments. Front. Plant Sci. 2018, 9, 81. [Google Scholar] [CrossRef]
- Snape, J.W.; Butterworth, K.; Whitechurch, E.; Worland, A.J. Waiting for fine times: Genetics of flowering time in wheat. In Wheat in a Global Environment; Springer: Dordrecht, The Netherlands, 2001; pp. 67–74. [Google Scholar]
- Muhleisen, J.; Piepho, H.P.; Maurer, H.P.; Longin, C.F.H.; Reif, J.C. Yield stability of hybrids versus lines in wheat, barley, and triticale. Theor. Appl. Genet. 2014, 127, 309–316. [Google Scholar] [CrossRef]
- Worland, A.J.; Borner, A.; Korzun, V.; Li, W.M.; Petrovic, S.; Sayers, E.J. The influence of photoperiod genes on the adaptability of European winter wheats. Euphytica 1998, 100, 385–394. [Google Scholar] [CrossRef]
- Kato, K.; Yamagata, H. Method for evaluation of chilling requirement and narrow-sense earliness of wheat cultivars. Jpn. J. Breed. 1988, 38, 172–186. [Google Scholar] [CrossRef]
- Wang, Z.; Hu, H.; Jiang, X.; Tao, Y.; Lin, Y.; Wu, F.; Hou, S.; Liu, S.; Li, C.; Chen, G.; et al. Identification and Validation of a Novel Major Quantitative Trait Locus for Plant Height in Common Wheat (Triticum aestivum L.). Front. Genet. 2020, 11, 602495. [Google Scholar] [CrossRef]
- Donald, C.M. The breeding of crop ideotypes. Euphytica 1968, 17, 385–403. [Google Scholar] [CrossRef]
- Krishnappa, G.; Savadi, S.; Tyagi, B.S.; Singh, S.K.; Mamrutha, H.M.; Kumar, S.; Mishra, C.N.; Khan, H.; Gangadhara, K.; Uday, G.; et al. Integrated genomic selection for rapid improvement of crops. Genomics 2021, 113, 1070–1086. [Google Scholar] [CrossRef]
- Li, F.; Wen, W.; He, Z.; Liu, J.; Jin, H.; Cao, S.; Geng, H.; Yan, J.; Zhang, P.; Wan, Y.; et al. Genome-wide linkage mapping of yield-related traits in three Chinese bread wheat populations using high-density SNP markers. Theor. Appl. Genet. 2018, 131, 1903–1924. [Google Scholar] [CrossRef]
- Gahlaut, V.; Jaiswal, V.; Singh, S.; Balyan, H.S.; Gupta, P.K. Multi-locus genome wide association mapping for yield and its contributing traits in hexaploid wheat under diferent water regimes. Sci. Rep. 2019, 9, 1–15. [Google Scholar] [CrossRef]
- Rahimi, Y.; Bihamta, M.R.; Taleei, A.; Alipour, H.; Ingvarsson, P.K. Genome-wide association study of agronomic traits in bread wheat reveals novel putative alleles for future breeding programs. BMC Plant Biol. 2019, 19, 541. [Google Scholar] [CrossRef]
- Hu, P.; Zheng, Q.; Luo, Q.; Teng, W.; Li, H.; Li, B.; Li, Z. Genome-wide association study of yield and related traits in common wheat under salt-stress conditions. BMC Plant Biol. 2021, 21, 27. [Google Scholar] [CrossRef]
- Khan, H.; Krishnappa, G.; Kumar, S.; Mishra, C.N.; Krishna, H.; Devate, N.B.; Rathan, N.D.; Parkash, O.; Yadav, S.S.; Srivastava, P.; et al. Genome-wide association study for grain yield and component traits in bread wheat (Triticum aestivum L.). Front. Genet. 2022, 13, 982589. [Google Scholar] [CrossRef]
- Krishnappa, G.; Khan, H.; Krishna, H.; Kumar, S.; Mishra, C.N.; Parkash, O.; Devate, N.B.; Nepolean, T.; Rathan, N.D.; Mamrutha, H.M.; et al. Genetic dissection of grain iron and zinc, and thousand kernel weight in wheat (Triticum aestivum L.) using genome wide association study. Sci. Rep. 2022, 12, 12444. [Google Scholar] [CrossRef]
- Rathan, N.D.; Krishna, H.; Ellur, R.K.; Sehgal, D.; Govindan, V.; Ahlawat, A.K.; Krishnappa, G.; Jaiswal, J.P.; Singh, J.B.; Saiprasad, S.V.; et al. Genome-wide association study identifies loci and candidate genes for grain micronutrients and quality traits in wheat (Triticum aestivum L.). Sci. Rep. 2022, 12, 7037. [Google Scholar] [CrossRef]
- Zhang, J.; Yao, Q.; Li, R.; Lu, Y.; Zhou, S.; Han, H.; Liu, W.; Li, X.; Yang, X.; Li, L.; et al. Identification of Genetic Loci on Chromosome 4B for Improving the Grain Number per Spike in Pre-Breeding Lines of Wheat. Agronomy 2022, 12, 171. [Google Scholar] [CrossRef]
- Huang, X.Q.; Kempf, H.; Ganal, M.W.; Roder, M.S. Advanced backcross QTL analysis in progenies derived from a cross between a German elite winter wheat variety and a synthetic wheat (Triticumaestivum L.). Theor. Appl. Genet. 2004, 109, 933–943. [Google Scholar] [CrossRef]
- Ramya, P.; Chaubal, A.; Kulkarni, K.; Gupta, L.; Kadoo, N.; Dhaliwal, H.S.; Chhuneja, P.; Lagu, M.; Gupta, V. QTL mapping of 1000-kernel weight, kernel length, and kernel width in bread wheat (Triticum aestivum L.). J. Appl. Genet. 2010, 51, 421–429. [Google Scholar] [CrossRef]
- Tsilo, T.J.; Hareland, G.A.; Simsek, S.; Chao, S.; Anderson, J.A. Genome mapping of kernel characteristics in hard red spring wheat breeding lines. Theor. Appl. Genet. 2010, 121, 717–730. [Google Scholar] [CrossRef]
- Kumar, A.; Mantovani, E.E.; Seetan, R.; Soltani, A.; Echeverry-Solarte, M.; Jain, S.; Simsek, S.; Doehlert, D.; Alamri, M.S.; Elias, E.M.; et al. Dissection of Genetic Factors underlying Wheat Kernel Shape and Size in an Elite’ Non adapted Cross using a High Density SNP Linkage Map. Plant Genome 2016, 9, 1–22. [Google Scholar] [CrossRef]
- Chen, H.; Bemister, D.H.; Iqbal, M.; Strelko, S.E.; Spaner, D.M. Mapping genomic regions controlling agronomic traits in spring wheat under conventional and organic managements. Crop Sci. 2020, 60, 2038–2052. [Google Scholar] [CrossRef]
- Isham, K.; Wang, R.; Zhao, W.; Wheeler, J.; Klassen, N.; Akhunov, E.; Chen, J. QTL mapping for grain yield and three yield components in a population derived from two high-yielding spring wheat cultivars. Theor. Appl. Genet. 2021, 134, 2079–2095. [Google Scholar] [CrossRef]
- Rathan, N.D.; Sehgal, D.; Thiyagarajan, K.; Singh, R.; Singh, A.-M.; Govindan, V. Identification of Genetic Loci and Candidate Genes Related to Grain Zinc and Iron Concentration Using a Zinc-Enriched Wheat ‘Zinc-Shakti’. Front. Genet. 2021, 12, 652653. [Google Scholar] [CrossRef]
- Ren, T.; Fan, T.; Chen, S.; Li, C.; Chen, Y.; Ou, X.; Jiang, Q.; Ren, Z.; Tan, F.; Luo, P.; et al. Utilization of a Wheat 55K SNP array-derived high-density genetic map for high-resolution mapping of quantitative trait loci for important kernel-related traits in common wheat. Theor. Appl. Genet. 2021, 134, 807–821. [Google Scholar] [CrossRef]
- Sunil, H.; Upadhyay, D.; Gajghate, R.; Shashikumara, P.; Chouhan, D.; Singh, S.; Sunilkumar, V.P.; Manu, B.; Sinha, N. QTL mapping for heat tolerance related traits using backcross inbred lines in wheat (Triticum aestivum L.). Indian J. Genet. 2020, 80, 242–249. [Google Scholar]
- Marschner; Kirkby, E.A.; Cakmak, I. Efect of mineral nutritional status on shoot-root partitioning of photoassimilates and cycling of mineral nutrients. J. Exp. Bot. 1996, 47, 1255–1263. [Google Scholar] [CrossRef]
- Harikrishna, P.; Shashikumara, P.; Gajghate, R.; Devate, N.B.; Shiv, A.; Mehta, B.K.; Sunilkumar, V.P.; Rathan, N.D.; Mottaleb, K.A.; Sukumaran, S.; et al. Breaking the Yield Barriers to Enhance Genetic Gains in Wheat. In New Horizons in Wheat and Barley Research; Springer: Singapore, 2022. [Google Scholar] [CrossRef]
- Sun, C.; Zhang, F.; Yan, X.; Zhang, X.; Dong, Z.; Cui, D.; Chen, F. Genome-wide association study for 13 agronomic traits reveals distribution of superior alleles in bread wheat from the Yellow and Huai Valley of China. Plant Biotech. J. 2017, 15, 953–969. [Google Scholar] [CrossRef]
- Rathan, N.D.; Mahendru-Singh, A.; Govindan, V.; Ibba, M.I. Impact of High and Low-Molecular-Weight Glutenins on the Processing Quality of a Set of Biofortified Common Wheat (Triticum aestivum L.) Lines. Front. Sustain. Food Syst. 2020, 4, 583367. [Google Scholar] [CrossRef]
- Edet, O.U.; Gorafi, Y.S.A.; Nasuda, S.; Tsujimoto, H. DArTseq-based analysis of genomic relationships among species of tribe Triticeae. Sci. Rep. 2018, 8, 16397. [Google Scholar] [CrossRef]
- Liu, J.; Wu, B.; Singh, R.P.; Velu, G. QTL mapping for micronutrients concentration and yield component traits in a hexaploid wheat mapping population. J. Cereal Sci. 2019, 88, 57–64. [Google Scholar] [CrossRef]
- Singh, K.; Batra, R.; Sharma, S.; Saripalli, G.; Gautam, T.; Singh, R.; Pal, S.; Malik, P.; Kumar, M.; Jan, I.; et al. WheatQTLdb: A QTL database for wheat. Mol. Genet. Genom. 2021, 296, 1051–1056. [Google Scholar] [CrossRef]
- Baye, A.; Berihun, B.; Bantayehu, M.; Derebe, B. Genotypic and phenotypic correlation and path coefficient analysis for yield and yield-related traits in advanced bread wheat (Triticum aestivum L.) lines. Cogent Food Agric. 2020, 6, 1752603. [Google Scholar] [CrossRef]
- Krishnappa, G.; Singh, A.M.; Chaudhary, S.; Ahlawat, A.K.; Singh, S.K.; Shukla, R.B.; Jaiswal, J.P.; Singh, G.P.; Solanki, I.S. Molecular mapping of the grain iron and zinc concentration, protein content and thousand kernel weight in wheat (Triticum aestivum L.). PLoS ONE 2017, 12, e0174972. [Google Scholar] [CrossRef]
- Krishnappa, G.; Rathan, N.D.; Sehgal, D.; Ahlawat, A.K.; Singh, S.K.; Singh, S.K.; Shukla, R.B.; Jaiswal, J.P.; Solanki, I.S.; Singh, G.P.; et al. Identification of Novel Genomic Regions for Biofortification Traits Using an SNP Marker-Enriched Linkage Map in Wheat (Triticum aestivum L.). Front. Nutr. 2021, 8, 669444. [Google Scholar] [CrossRef]
- Ain, Q.U.; Rasheed, A.; Anwar, A.; Mahmood, T.; Imtiaz, M.; Mahmood, T.; Xia, X.; He, Z.; Quraishi, U.M. Genome-wide association for grain yield under rainfed conditions in historical wheat cultivars from Pakistan. Front. Plant Sci. 2015, 6, 743. [Google Scholar] [CrossRef]
- Edae, E.A.; Byrne, P.F.; Haley, S.D.; Lopes, M.S.; Reynolds, M.P. Genome-Wide Association Mapping of Yield and Yield Components of Spring Wheat under Contrasting Moisture Regimes. Theor. Appl. Genet. 2014, 127, 791–807. [Google Scholar] [CrossRef]
- Li, F.; Wen, W.; Liu, J.; Zhang, Y.; Cao, S.; He, Z.; Rasheed, A.; Jin, H.; Zhang, C.; Yan, J.; et al. Genetic architecture of grain yield in bread wheat based on genome-wide association studies. BMC Plant Biol. 2019, 19, 168. [Google Scholar] [CrossRef]
- Sukumaran, S.; Dreisigacker, S.; Lopes, M.; Chavez, P.; Reynolds, M.P. Genome Wide Association Study for Grain Yield and Related Traits in an Elite Spring Wheat Population Grown in Temperate Irrigated Environments. Theor. Appl. Genet. 2015, 128, 353–363. [Google Scholar] [CrossRef]
- Cuthbert, J.L.; Somers, D.J.; Brule-Babel, A.L.; Brown, P.D.; Crow, G.H. Molecular mapping of quantitative trait loci for yield and yield components in spring wheat (Triticum aestivum L.). Theor. Appl. Genet. 2008, 117, 595–608. [Google Scholar] [CrossRef]
- Ward, B.P.; Brown-Guedira, G.; Kolb, F.L.; Van Sanford, D.A.; Tyagi, P.; Sneller, C.H.; Griffey, C.A. Genome-wide association studies for yield-related traits in soft red winter wheat grown in Virginia. PLoS ONE 2019, 14, e0208217. [Google Scholar] [CrossRef]
- Sheoran, S.; Jaiswal, S.; Kumar, D.; Raghav, N.; Sharma, R.; Pawar, S.; Paul, S.; Iquebal, M.A.; Jaiswar, A.; Sharma, P.; et al. Uncovering genomic regions associated with 36 agro-morphological traits in Indian spring wheat using GWAS. Front. Plant Sci. 2019, 10, 527. [Google Scholar] [CrossRef]
- Alemu, A.; Suliman, S.; Hagras, A.; Thabet, S.; Al-Abdallat, A.; Abdelmula, A.A.; Tadesse, W. Multi-model genome-wide association and genomic prediction analysis of 16 agronomic, physiological and quality related traits in ICARDA spring wheat. Euphytica 2021, 217, 205. [Google Scholar] [CrossRef]
- Godoy, J.; Gizaw, S.; Chao, S.; Blake, N.; Carter, A.; Cuthbert, R.; Dubcovsky, J.; Hucl, P.; Kephart, K.; Pozniak, C.; et al. Genome-wide Association Study of Agronomic Traits in a Spring-Planted North American Elite Hard Red Spring Wheat Panel. Crop Sci. 2018, 58, 1838–1852. [Google Scholar] [CrossRef]
- Ma, F.; Xu, Y.; Ma, Z.; Li, L.; An, D. Genome-wide association and validation of key loci for yield-related traits in wheat founder parent Xiaoyan 6. Mol. Breed. 2018, 38, 91. [Google Scholar] [CrossRef]
- Li, T.; Li, Q.; Wang, J.; Yang, Z.; Tang, Y.; Su, Y.; Zhang, J.; Qiu, X.; Pu, X.; Pan, Z.; et al. High-resolution detection of quantitative trait loci for seven important yield-related traits in wheat (Triticum aestivum L.) using a high-density SLAF-seq genetic map. BMC Genom. Data 2022, 23, 1–16. [Google Scholar] [CrossRef]
- Lv, D.; Zhang, C.; Yv, R.; Yao, J.; Wu, J.; Song, X.; Jian, J.; Song, P.; Zhang, Z.; Han, D.; et al. Utilization of a Wheat50K SNP Microarray-Derived High-Density Genetic Map for QTL Mapping of Plant Height and Grain Traits in Wheat. Plants 2021, 10, 1167. [Google Scholar] [CrossRef]
- Elangovan, M.; Dholakia, B.B.; Rai, R.; Lagu, M.D.; Tiwari, R.; Gupta, R.K.; Gupta, V.S. Mapping QTL associated with agronomic traits in bread wheat (Triticum aestivum L.). J. Wheat Res. 2011, 3, 14–23. [Google Scholar]
- Gao, L.; Meng, C.; Yi, T.; Xu, K.; Cao, H.; Zhang, S.; Yang, X.; Zhao, Y. Genome-wide association study reveals the genetic basis of yield- and quality-related traits in wheat. BMC Plant Biol. 2021, 21, 144. [Google Scholar] [CrossRef]
- Nguyen, V.N.T.; Vo, K.T.X.; Park, H.; Jeon, J.S.; Jung, K.H. A Systematic View of the MLO Family in Rice Suggests Their Novel Roles in Morphological Development, Diurnal Responses, the Light-Signaling Pathway, and Various Stress Responses. Front. Plant Sci. 2016, 7, 1413. [Google Scholar] [CrossRef]
- Pankin, A.; Campoli, C.; Dong, X.; Kilian, B.; Sharma, R.; Himmelbach, A.; Saini, R.; Davis, S.J.; Stein, N.; Schneeberger, K.; et al. Mapping-by-sequencing identifies HvPHYTOCHROME C as a candidate gene for the early maturity 5 locus modulating the circadian clock and photoperiodic flowering in barley. Genetics 2014, 198, 383–396. [Google Scholar] [CrossRef] [PubMed]
- Song, M.F.; Zhang, S.; Hou, P.; Shang, H.Z.; Gu, H.K.; Li, J.J.; Xiao, Y.; Guo, L.; Su, L.; Gao, J.W. Ectopic expression of a phytochrome B gene from Chinese cabbage (Brassica rapa L. ssp. pekinensis) in Arabidopsis thaliana promotes seedling de-etiolation, dwarfing in mature plants, and delayed flowering. Plant Mol. Biol. 2015, 87, 633–643. [Google Scholar] [CrossRef] [PubMed]
- Yang, Y.; Ma, C.; Xu, Y.; Wei, Q.; Imtiaz, M.; Lan, H.; Gao, S.; Cheng, L.; Wang, M.; Fei, Z.; et al. A Zinc Finger Protein Regulates Flowering Time and Abiotic Stress Tolerance in Chrysanthemum by Modulating Gibberellin Biosynthesis. Plant Cell 2014, 26, 2038–2054. [Google Scholar] [CrossRef] [PubMed]
- Perrella, G.; Davidson, M.L.H.; O’Donnell, L.; Nastase, A.M.; Herzyk, P.; Breton, G.; Pruneda-Paz, J.L.; Kay, S.A.; Chory, J.; Kaiserli, E.; et al. ZINC-FINGER interactions mediate transcriptional regulation of hypocotyl growth in Arabidopsis. Proc. Natl. Acad. Sci. USA 2018, 115, E4503–E4511. [Google Scholar] [CrossRef] [PubMed]
- Sun, J.; Sun, Y.; Ahmed, R.I.; Ren, A.; Xie, M. Research Progress on Plant RING-Finger Proteins. Genes 2019, 10, 973. [Google Scholar] [CrossRef] [PubMed]
- Zombori, Z.; Nagy, B.; Mihaly, R.; Pauk, J.; Cseri, A.; Sass, L.; Horvath, V.G.; Dudits, D. RING-Type E3 Ubiqitin Ligase Barley Genes (HvYrg1-2) Control Characteristics of Both Vegetative Organs and Seeds as Yield Components. Plants 2020, 9, 1693. [Google Scholar] [CrossRef]
- Yan, P.; Zhu, Y.; Wang, Y.; Ma, F.; Lan, D.; Niu, F.; Dong, S.; Zhang, X.; Hu, J.; Liu, S.; et al. A New RING Finger Protein, PLANT ARCHITECTURE and grain NUMBER 1, Affects Plant Architecture and Grain Yield in Rice. Int. J. Mol. Sci. 2022, 23, 824. [Google Scholar] [CrossRef]
- Wang, H.; Li, W.; Qin, Y.; Pan, Y.; Wang, X.; Weng, Y.; Chen, P.; Li, Y. The Cytochrome P450 Gene CsCYP85A1 Is a Putative Candidate for Super Compact-1 (Scp-1) Plant Architecture Mutation in Cucumber (Cucumis sativus L.). Front. Plant Sci. 2017, 8, 266. [Google Scholar] [CrossRef]
- Ramamoorthy, R.; Jiang, S.Y.; Ramachandran, S. Oryza sativa Cytochrome P450 Family Member OsCYP96B4 Reduces Plant Height in a Transcript Dosage Dependent Manner. PLoS ONE 2011, 6, e28069. [Google Scholar] [CrossRef] [PubMed]
- Wang, X.; Yang, G.; Shi, M.; Hao, D.; Wei, Q.; Wang, Z.; Fu, S.; Su, Y.; Xia, J. Disruption of an amino acid transporter LHT1 leads to growth inhibition and low yields in rice. BMC Plant Biol. 2009, 19, 268. [Google Scholar] [CrossRef] [PubMed]
- Huang, J.; Lu, G.; Liu, L.; Raihan, M.S.; Xu, J.; Jian, L.; Zhao, L.; Tran, T.M.; Zhang, Q.; Liu, J.; et al. The Kernel Size-Related Quantitative Trait Locus qKW9 Encodes a Pentatricopeptide Repeat Protein That Aaffects Photosynthesis and Grain Filling. Plant Physiol. 2020, 183, 1696–1709. [Google Scholar] [CrossRef] [PubMed]
- Fang, Z.; Bai, G.; Huang, W.; Wang, Z.; Wang, X.; Zhang, M. The Rice Peptide Transporter OsNPF7.3 Is Induced by Organic Nitrogen, and Contributes to Nitrogen Allocation and Grain Yield. Front Plant Sci. 2017, 8, 1338. [Google Scholar] [CrossRef] [PubMed]


| Trait | Env | Kachu | ZincShakti | RIL Population | ||
|---|---|---|---|---|---|---|
| Parent 1 | Parent 2 | CV (%) | H2BS | Genotypic Variance | ||
| TKW (g) | 2017–2018 | 48.4 | 47.5 | 2.32 | 0.95 | 11.28 *** |
| 2018–2019 | 44.7 | 45.5 | 4.02 | 0.83 | 8.93 *** | |
| 2019–2020 | 44.6 | 43.6 | 3.4 | 0.86 | 7.65 *** | |
| Across Years | 45.9 | 45.5 | 3.31 | 0.95 | 9.02 *** | |
| TW (g) | 2017–2018 * | 79.8 | 76.2 | 0.76 | 0.81 | 0.78 *** |
| 2018–2019 * | 78.2 | 74.8 | 3.31 | 0.19 | 0.75*** | |
| Across Years * | 79 | 75.5 | 2.38 | 0.46 | 0.75 *** | |
| DH (Days) | 2017–2018 | 81 | 74 | 3.24 | 0.92 | 40.84 *** |
| 2018–2019 ** | 84.5 | 70.5 | 3.41 | 0.93 | 53.22 *** | |
| Across Years * | 82.8 | 72.3 | 3.32 | 0.96 | 46.58 *** | |
| DM (Days) | 2017–2018 * | 127.5 | 119 | 2.05 | 0.89 | 26.11 *** |
| 2018–2019 | 134 | 131 | 2.18 | 0.83 | 19.30 *** | |
| Across Years | 130.8 | 125 | 2.12 | 0.91 | 21.81 *** | |
| PH (cm) | 2017–2018 * | 82.8 | 89.5 | 3.52 | 0.9 | 51.15 *** |
| 2018–2019 * | 97 | 103 | 0.66 | 0.99 | 36.57 *** | |
| 2019–2020 ** | 97.5 | 107.5 | 1.14 | 0.98 | 31.32 *** | |
| Across Years ** | 92.4 | 100.3 | 2.06 | 0.84 | 26.48 *** | |
| Traits | Env. | DH | DM | PH | TKW |
|---|---|---|---|---|---|
| DM | 2017–2018 | 0.93 *** | |||
| 2018–2019 | 0.90 *** | ||||
| 2019–2020 | NA | ||||
| Across Years | 0.94 *** | ||||
| PH | 2017–2018 | 0.61 *** | 0.44 *** | ||
| 2018–2019 | 0.49 *** | 0.41 *** | |||
| 2019–2020 | NA | NA | |||
| Across Years | 0.77 *** | 0.63 *** | |||
| TKW | 2017–2018 | −0.48 *** | −0.55 *** | −0.31 *** | |
| 2018–2019 | −0.4 2*** | −0.55 *** | −0.20 ** | ||
| 2019–2020 | NA | NA | −0.09 | ||
| Across Years | −0.44 *** | −0.54 *** | −0.27 *** | ||
| TW | 2017–2018 | −0.14 | −0.12 | 0.13 | 0.04 |
| 2018–2019 | −0.28 *** | −0.36 *** | −0.12 | −0.20 ** | |
| 2019–2020 | NA | NA | NA | NA | |
| Across Years | −0.18 * | −0.19 ** | 0.21 ** | −0.03 |
| Chromosome | 1 | 2 | 3 | 4 | 5 | 6 | 7 | Total |
|---|---|---|---|---|---|---|---|---|
| Genome | RIL Population | |||||||
| A | 62 | 80 | 54 | 67 | 45 | 67 | 37 | 412 |
| B | 46 | 109 | 46 | 9 | 90 | 31 | 39 | 370 |
| D | 11 | 17 | 38 | 01 | 05 | 12 | 43 | 127 |
| QTL Name | Envi | Chr | Position (cM) | Flanking Markers | LOD | PVE(%) | Add | Confidence Interval |
|---|---|---|---|---|---|---|---|---|
| Days to Heading (DH) | ||||||||
| QDH-2B | 1, 2, 4 | 2B | 290 | 1036899–3935335 | 5.17, 6.49, 6.10 | 5.17, 5.67, 5.75 | 1.40, 1.71, 1.60 | 288.5–292.5 |
| QDH-5A.1 | 1, 2, 4 | 5A | 122 | 5411867–1141498 | 30.31, 24.79, 28.92 | 37.98, 26.21, 33.82 | 3.87, 3.75, 3.94 | 121.5–122.5 |
| QDH-5A.2 | 1, 2, 4 | 5A | 132–134 | 1135154–1084162 | 6.39, 11.11, 9.04 | 6.53, 10.76, 8.98 | 1.56, 2.33, 1.97 | 129.5–137.5 |
| QDH-5B | 1, 2, 4 | 5B | 109 | 3029056–1287956 | 4.78, 3.87, 4.33 | 4.42, 3.20, 3.83 | 1.30, 1.28, 1.30 | 106.5–109.5 |
| QDH-7D | 1, 2, 4 | 7D | 104 | 100029981–2249010 | 11.89, 15.86, 13.96 | 12.52, 16.49, 14.46 | −2.17, −2.90, −2.52 | 100.5–105.5 |
| QDH-5A.3 | 2, 4 | 5A | 257 | 1215677–1091474 | 3.53, 2.74 | 4.30, 3.75 | 1.47, 1.27 | 246.5–271.5 |
| Days to Maturity (DM) | ||||||||
| QDM-2B | 1, 2, 4 | 2B | 289–290 | 3570063–3935335 | 4.08, 5.39, 6.80 | 3.39, 5.69, 6.29 | 1.02, 1.07, 1.26 | 287.5–292.5 |
| QDM-5A | 1, 2, 4 | 5A | 122 | 5411867–1141498 | 31.10, 23.41, 30.43 | 36.65, 31.54, 38.23 | 3.42, 2.58, 3.16 | 121.5–122.5 |
| QDM-7D | 1, 2, 4 | 7D | 105–106 | 2249010–100024878 | 12.62, 10.98, 12.02 | 11.69, 11.81, 11.65 | −1.88, −1.54, −1.70 | 104.5–106.5 |
| QDM-5B | 1 | 5B | 110 | 1287956–1863891 | 4.95 | 4.32 | 1.15 | 108.5–112.5 |
| QDM-6A | 2 | 6A | 111 | 1698406–100027274 | 3.36 | 3.33 | 0.81 | 110.5–112.5 |
| Plant Height (PH) | ||||||||
| QPH-3D | 1,2,3,4 | 3D | 135–136 | 985805–5411730 | 7.25, 6.92, 8.59, 8.84 | 6.70, 8.4, 11.54, 9.66 | −2.04, −1.86, −2.06, −1.61 | 132.5–140.5 |
| QPH-2B.1 | 1,2,4 | 2B | 245–248 | 3959402–1126452 | 6.25, 7.15, 4.14 | 5.61, 8.35, 4.05 | −1.87, −1.85, −1.04 | 243.5–249.5 |
| QPH-3A | 1,2, 4 | 3A | 124–127 | 3570121–100027199 | 6.54, 9.15, 11.22 | 5.92, 11.23, 11.99 | −1.96, −2.17, −1.82 | 123.5–127.5 |
| QPH-5A | 1,2,4 | 5A | 122–123 | 5411867–100024127 | 23.38, 11.25, 17.15 | 25.73, 13.92, 19.20 | 4.13, 2.5, 2.34 | 121.5–123.5 |
| QPH-7B.1 | 2,4 | 7B | 187 | 100016361–3946798 | 4.04, 6.15 | 4.55, 6.0 | −1.37, −1.27 | 186.5–188.5 |
| QPH-7B.2 | 3 | 7B | 192 | 100029970–6037503 | 4.04 | 4.54 | −1.3 | 191.5–192 |
| QPH-1B | 2 | 1B | 115 | 3064864–100032506 | 2.67 | 3.03 | −1.11 | 114.5–116.5 |
| QPH-2B.2 | 3 | 2B | 218 | 1221834–4989098 | 5.81 | 6.7 | −1.59 | 217.5–218.5 |
| QPH-3B | 3 | 3B | 195 | 3022574–1088815 | 6.18 | 7.71 | 1.73 | 194.5–195.5 |
| QPH-4A | 3 | 4A | 41 | 1208402–3024473 | 4.06 | 4.58 | −1.3 | 39.5–45.5 |
| QPH-5D | 3 | 5D | 6 | 100021862–1089439 | 8.24 | 11.3 | −2.09 | 2.5–8.5 |
| QPH-7D | 1 | 7D | 42 | 1039399–1100827 | 4.94 | 4.55 | −1.68 | 39.5–52.5 |
| Thousand-Kernel Weight (TKW) | ||||||||
| QTKW-3A.1 | 1, 4 | 3A | 126 | 1078217–1125410 | 2.98, 55.88 | 4.93, 32.76 | 0.70, 3.87 | 125.5–127.5 |
| QTKW-5B | 1,2 | 5B | 71–73 | 4911018–1695891 | 3.49, 37.09 | 5.98, 14.69 | −0.77, −2.34 | 70.5–73.5 |
| QTKW-6A.1 | 2, 3 | 6A | 111 | 1698406–100027274 | 29.48, 23.12 | 10.1, 17.4 | −1.90, −1.69 | 110.5–111.5 |
| QTKW-7D | 1, 3 | 7D | 132–137 | 1068196–3570113 | 5.54, 7.81 | 10.31, 5.6 | 1.04, 0.98 | 129.5–142.5 |
| QTKW-3A.2 | 3 | 3A | 62 | 1134717–1007203 | 3.53 | 6.25 | 1.01 | 44.5–76.5 |
| QTKW-4A | 1 | 4A | 142 | 1095278–100020833 | 7 | 12.22 | −1.09 | 140.5–142.5 |
| QTKW-5A | 1 | 5A | 126 | 1714015–2341646 | 5.49 | 9.89 | −1 | 125.5–126.5 |
| QTKW-6A.2 | 2 | 6A | 108 | 1206846–1082014 | 37.54 | 14.63 | 2.3 | 107.5–108.5 |
| Test Weight (TW) | ||||||||
| QTW-1B | 2, 4 | 1B | 382 | 3020779–1217237 | 3.31, 4.03 | 9.30, 10.23 | 0.10, 0.16 | 381.5–382.5 |
| QTW-6A.1 | 2, 4 | 6A | 34 | 1114250–100020323 | 2.83, 4.01 | 6.85, 10.23 | −0.09, −0.15 | 33.5–35.5 |
| QTW-6A.2 | 1 | 6A | 117 | 4993395–2252585 | 11.58 | 3.66 | −0.3 | 116.5–117.5 |
| QTW-6A.3 | 4 | 6A | 108 | 1206846–1082014 | 2.6 | 6.75 | −0.13 | 106.5–108.5 |
| QTW-1A | 4 | 1A | 109 | 994818–7487530 | 3.97 | 10.01 | 0.15 | 107.5–109.5 |
| QTW-7D | 1 | 7D | 180 | 3533158–1276810 | 64.74 | 42.31 | 1.05 | 178.5–181 |
| QTL | Flanking Markers | Marker Type | No. of RILs | Environments | |||
|---|---|---|---|---|---|---|---|
| QTL Additive-Effect for Days to Heading (DH) | Y1 | Y2 | Y3 | Across Yrs | |||
| 5A.1 | 5411867 + 1141498 | A + A | 107 | 84.05 | 88.30 | - | 86.31 |
| 5A.2 | 1135154 + 1084162 | A + A | 74 | 84.06 | 88.63 | - | 86.48 |
| 7D | 100029981 + 2249010 | B + B | 16 | 82.70 | 87.57 | - | 85.24 |
| 5A.1 + 5A.2 | 5411867 + 1141498 + 1135154 + 1084162 | A + A + A + A | 70 | 84.64 | 89.22 | - | 87.09 |
| 5A.1 + 7D | 5411867 + 1141498 + 100029981 + 2249010 | A + A + B + B | 11 | 85.39 | 89.70 | - | 87.73 |
| 5A.2 + 7D | 1135154 + 1084162 + 100029981 + 2249010 | A + A + B + B | 7 | 84.64 | 88.65 | - | 86.79 |
| 5A.1 + 5A.2 + 7D * | 5411867 + 1141498 + 1135154 + 1084162 + 100029981 + 2249010 | A + A + A + A + B + B | 6 | 86.33 | 89.58 | - | 88.15 |
| QTL additive-effect for Days to Maturity (DM) | |||||||
| 2B | 3570063 + 3935335 | A + A | 67 | 125.25 | 130.22 | - | 127.77 |
| 5A | 5411867 + 1141498 | A + A | 103 | 126.90 | 131.58 | - | 129.35 |
| 7D | 2249010 + 100024878 | B + B | 81 | 125.13 | 130.45 | - | 127.83 |
| 2B + 5A | 3570063 + 3935335 + 5411867 + 1141498 | A + A + A + A | 33 | 127.99 | 132.47 | - | 130.39 |
| 2B + 7D | 3570063 + 3935335 + 2249010 + 100024878 | A + A + B + B | 21 | 126.32 | 131.09 | - | 128.78 |
| 5A + 7D | 5411867 + 1141498 + 2249010 + 100024878 | A + A + B + B | 35 | 128.50 | 132.74 | - | 130.80 |
| 2B + 5A + 7D * | 3570063 + 3935335 + 5411867 + 1141498 + 2249010 + 100,024878 | A + A + A + A + B + B | 7 | 130.77 | 134.41 | - | 132.87 |
| QTL additive-effect for Plant Height (PH) | |||||||
| 3A | 3570121 + 100027,199 | B + B | 95 | 95.56 | 107.35 | 102.79 | 101.71 |
| 3D | 985805 + 5411730 | B + B | 47 | 95.84 | 107.44 | 103.55 | 102.04 |
| 5A | 5411867 + 100024127 | A + A | 86 | 97.14 | 107.78 | 102.01 | 102.10 |
| 3A + 3D | 3570121 + 100027199 + 985805 + 5411730 | B + B + B + B | 24 | 97.73 | 108.91 | 105.02 | 103.46 |
| 3D + 5A | 985805 + 5411730 + 5411867 + 100024127 | B + B + A + A | 24 | 98.68 | 109.89 | 103.79 | 103.67 |
| 3A + 5A | 3570121 + 100027199 + 5411867 + 100024127 | B + B + A + A | 43 | 98.99 | 109.50 | 102.98 | 103.43 |
| 3A + 3D + 5A * | 3570121 + 100027199 + 985805 + 5411730 + 5411867 + 100024127 | B + B + B + B + A + A | 10 | 102.71 | 112.13 | 105.68 | 106.09 |
| QTL additive-effect for Thousand-Kernel Weight (TKW) | |||||||
| 3A.1 | 1078217 + 1125410 | A + A | 71 | 49.23 | 48.31 | 46.79 | 48.17 |
| 5B | 4911018 + 1695891 | B + B | 90 | 48.92 | 48.35 | 46.71 | 48.05 |
| 6A.1 | 1698406 + 100027274 | B + B | 72 | 48.31 | 47.83 | 46.16 | 47.44 |
| 3A.1 + 5B | 1078217 + 1125410 + 4911018 + 1695891 | A + A + B + B | 39 | 49.74 | 48.78 | 47.07 | 48.62 |
| 3A.1 + 6A.1 | 1078217 + 1125410 + 1698406 + 100027274 | A + A + B + B | 32 | 49.49 | 48.65 | 46.90 | 48.42 |
| 5B + 6A.1 | 4911018 + 1695891 + 1698406 + 100027274 | B + B + B + B | 43 | 48.97 | 48.47 | 46.85 | 48.16 |
| 3A.1 + 5B + 6A.1 | 1078217 + 1125410 + 4911018 + 1695891 + 1698406 + 100027274 | A + A + B + B + B + B | 20 | 49.59 | 48.62 | 47.08 | 48.51 |
| QTL additive-effect for Test Weight (TW) | |||||||
| 1B | 3020779 + 1217237 | A + A | 61 | 78.95 | 77.24 | - | 78.14 |
| 6A.1 | 1114250 + 100020323 | B + B | 59 | 78.92 | 77.22 | - | 78.11 |
| 7D | 3533158 + 1276810 | A + A | 61 | 78.75 | 77.14 | - | 77.96 |
| 1B + 6A.1 | 3020779 + 1217237 + 1114250 + 100020323 | A + A + B + B | 24 | 79.15 | 77.32 | - | 78.30 |
| 1B + 7D | 3020779 + 1217237 + 3533158 + 1276810 | A + A + A + A | 32 | 78.74 | 77.20 | - | 78.04 |
| 6A.1 + 7D | 1114250 + 100020323 + 3533158 + 1276810 | B + B + A + A | 34 | 78.85 | 77.24 | - | 78.11 |
| 1B + 6A.1 + 7D | 3020779 + 1217237 + 1114250 + 100020323 + 3533158 + 1276810 | A + A + B + B + A + A | 13 | 78.97 | 77.13 | - | 78.01 |
| QTLs | Chr | Physical Position (Mb) | TraesID | Putative Candidate Genes | Molecular Function |
|---|---|---|---|---|---|
| QDH-2B QDM-2B | 2B | 46.67–57.78 | TraesCS2B02G097900 | MLO-like protein | Calmodulin binding |
| TraesCS2B02G083700 | UDP-glucuronosyl/UDP-glycosyltransferase | UDP-glycosyltransferase activity | |||
| QDH-5A.1, QDM-5A QPH-5A | 5A | 581.13–586.6 | TraesCS5A02G391300 | Phytochrome | Photoreceptor activity |
| TraesCS5A02G388800 | Leucine-rich repeat-domain superfamily, protein kinase-like domain superfamily | Protein serine/threonine kinase activity, protein binding | |||
| TraesCS5A02G388900 | Glycoside hydrolase superfamily | Hydrolase activity, hydrolyzing O-glycosyl compounds | |||
| TraesCS5A02G383400 | Heavy-metal transporting P1B-ATPase 3 | Transporter activity | |||
| QDH-7D QDM-7D | 7D | 58.63–59.47 | TraesCS7D02G099300 | Gnk2-homologous domain superfamily, Protein kinase-like domain superfamily | Protein kinase activity, ATP binding |
| TraesCS7D02G096600 | Acetyl-CoA carboxylase, ClpP/crotonase-like domain superfamily | Ligase activity | |||
| QDH-5A.2 | 5A | 572.02–584.72 | TraesCS5A02G387800 | RNA-binding domain superfamily, Nucleotide-binding alpha-beta plait domain superfamily | Nucleic acid binding |
| TraesCS5A02G380100 | Deoxyhypusine synthase | Peptidyl-lysine modification to peptidyl-hypusine | |||
| TraesCS5A02G374000 | 9-cis-epoxycarotenoid dioxygenase | Carotenoid dioxygenase activity | |||
| QPH-3D | 3D | 37.96–48.84 | TraesCS3D02G095600 | Zinc finger, RING-type | Ubiquitin-protein-ligase activity |
| TraesCS3D02G077400 | Cytochrome P450 | Heme binding, oxidoreductase activity | |||
| TraesCS3D02G096500 | Amino acid/polyamine transporter I | Transmembrane transporter activity | |||
| QPH-3A and QTKW-3A.1 | 3A | 143.53–510.83 | TraesCS3A02G282400 | Peptidase S8 propeptide/proteinase inhibitor I9 superfamily | - |
| TraesCS3A02G261800 | Serine-threonine/tyrosine-protein kinase, wall-associated receptor kinase | Protein kinase activity, polysaccharide binding | |||
| TraesCS3A02G232800 | Tetratricopeptide-like helical domain superfamily, pentatricopeptide repeat | Protein binding | |||
| TraesCS3A02G153000 | Cytochrome P450 | Heme binding, oxidoreductase activity | |||
| QTKW-6A.1 | 6A | 490.48–561.59 | TraesCS6A02G265500 | C2 domain superfamily, PH-like domain superfamily, prolycopenC2 and GRAM domain-containing protein, VASt domain | - |
| TraesCS6A02G265600 | RNA-binding domain superfamily, Nucleotide-binding alpha-beta plait domain superfamily | Nucleic acid binding, RNA binding | |||
| TraesCS6A02G265800 | Tetrapeptide transporter, Oligopeptide transporter superfamily | Oligopeptide transmembrane transporter-activity | |||
| QTKW-6A.2 and QTW-6A.3 | 6A | 106.47–183.52 | TraesCS6A02G134100 | Domain of unknown function DUF4220, protein of unknown function DUF594 | - |
| TraesCS6A02G134000 | Sugar/inositol transporter, MFS transporter superfamily | Carbohydrate/monosaccharide transmembrane transporter-activity | |||
| TraesCS6A02G172500 | Double-stranded RNA-binding domain, Ribonuclease III | RNA binding | |||
| TraesCS6A02G172400 | P-loop containing nucleoside triphosphate hydrolase, aminotransferase | - |
Disclaimer/Publisher’s Note: The statements, opinions and data contained in all publications are solely those of the individual author(s) and contributor(s) and not of MDPI and/or the editor(s). MDPI and/or the editor(s) disclaim responsibility for any injury to people or property resulting from any ideas, methods, instructions or products referred to in the content. |
© 2023 by the authors. Licensee MDPI, Basel, Switzerland. This article is an open access article distributed under the terms and conditions of the Creative Commons Attribution (CC BY) license (https://creativecommons.org/licenses/by/4.0/).
Share and Cite
Rathan, N.D.; Krishnappa, G.; Singh, A.-M.; Govindan, V. Mapping QTL for Phenological and Grain-Related Traits in a Mapping Population Derived from High-Zinc-Biofortified Wheat. Plants 2023, 12, 220. https://doi.org/10.3390/plants12010220
Rathan ND, Krishnappa G, Singh A-M, Govindan V. Mapping QTL for Phenological and Grain-Related Traits in a Mapping Population Derived from High-Zinc-Biofortified Wheat. Plants. 2023; 12(1):220. https://doi.org/10.3390/plants12010220
Chicago/Turabian StyleRathan, Nagenahalli Dharmegowda, Gopalareddy Krishnappa, Anju-Mahendru Singh, and Velu Govindan. 2023. "Mapping QTL for Phenological and Grain-Related Traits in a Mapping Population Derived from High-Zinc-Biofortified Wheat" Plants 12, no. 1: 220. https://doi.org/10.3390/plants12010220
APA StyleRathan, N. D., Krishnappa, G., Singh, A.-M., & Govindan, V. (2023). Mapping QTL for Phenological and Grain-Related Traits in a Mapping Population Derived from High-Zinc-Biofortified Wheat. Plants, 12(1), 220. https://doi.org/10.3390/plants12010220

