Effects of Long-Term Use of Organic Fertilizer with Different Dosages on Soil Improvement, Nitrogen Transformation, Tea Yield and Quality in Acidified Tea Plantations
Abstract
:1. Introduction
2. Results and Discussion
2.1. Effects of Sheep Manure Fertilizer on Soil pH and Tea Yield
2.2. Effect of Sheep Manure Fertilizer on Tea Quality
2.3. Effects of Sheep Manure Fertilizer on Ammonium and Nitrate Nitrogen Contents in Soil
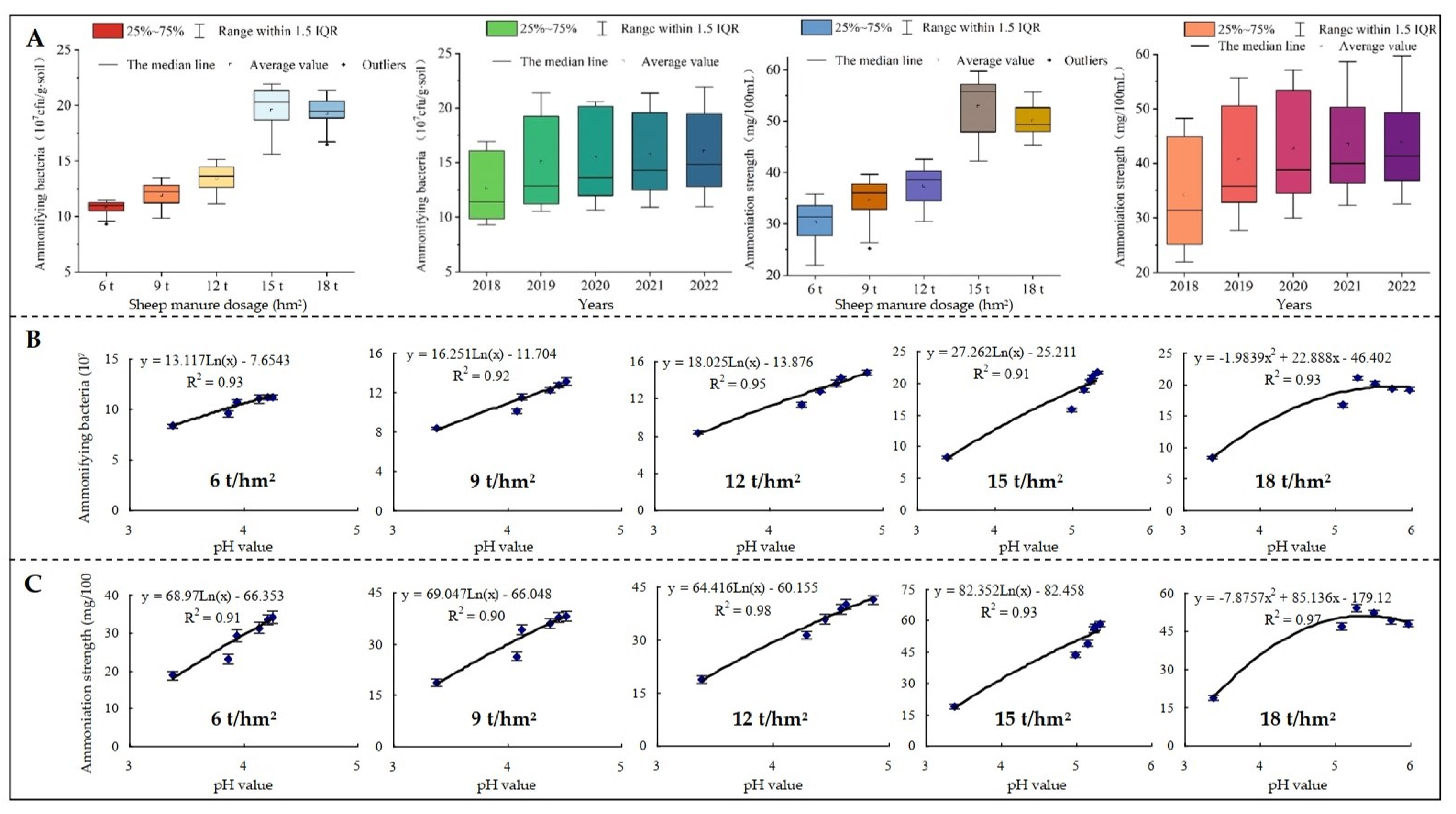
2.4. Effects of Sheep Manure Fertilizer on the Number and the Intensity of Soil Nitrogen Transforming Microorganisms
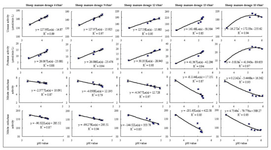
2.5. Effects of Sheep Manure Fertilizer on Soil Enzyme Activities
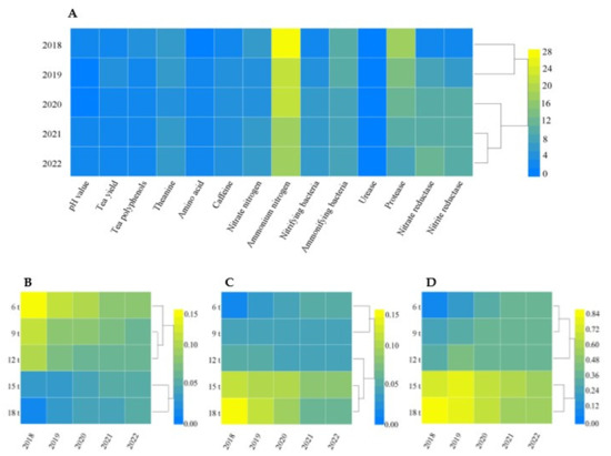
2.6. Principal Component Analysis and Interaction Network Analysis
2.7. Optimal Effect Analysis of the Topsis Method with Different Fertilization Dosages
3. Materials and Methods
3.1. Test Tea Plantation and Sample Collection
3.2. Fertilization Treatment Method
3.3. Sample Collection
3.4. Determination of Soil pH Value
3.5. Determination of Tea Yield
3.6. Determination of Tea Quality Index
3.7. Determination of Ammonium and Nitrate Nitrogen in Soil
3.8. Determination of the Number of Soil Nitrogen Transforming Bacteria
3.9. Determination of the Intensity of Soil Biochemical Processes
3.10. Determination of Soil Enzyme Activity
3.11. Statistical Analysis
4. Conclusions
Supplementary Materials
Author Contributions
Funding
Institutional Review Board Statement
Informed Consent Statement
Data Availability Statement
Conflicts of Interest
References
- Mehra, A.; Baker, C.L. Leaching and bioavailability of aluminium, copper and manganese from tea (Camellia sinensis). Food Chem. 2017, 100, 1456–1463. [Google Scholar] [CrossRef]
- Mohammad, N.; Samar, M.; Alireza, I. Levels of Cu, Zn, Pb and Cd in the leaves of the tea plant (Camellia sinensis) and in the soil of Gilan and Mazandaran farms of Iran. Food Meas. 2014, 8, 277–282. [Google Scholar]
- Wang, Y.; Wang, Y.M.; Lu, Y.T.; Qiu, Q.L.; Fan, D.M.; Wang, X.C.; Zheng, X.Q. Influence of different nitrogen sources on carbon and nitrogen metabolism and gene expression in tea plants (Camellia sinensis L.). Plant Physiol. Bioch. 2021, 167, 561–566. [Google Scholar] [CrossRef] [PubMed]
- Rebello, R.; Burgess, P.J.; Girkin, N.T. Identifying sustainable nitrogen management practices for tea plantations. Nitrogen 2022, 3, 3. [Google Scholar] [CrossRef]
- Ni, K.; Liao, W.Y.; Yi, X.Y.; Niu, S.Y.; Ma, L.F.; Shi, Y.Z.; Zhang, Q.F.; Liu, M.Y.; Ruan, J.Y. Fertilization status and reduction potential in tea gardens of China. J. Plant Nutr. Fert. 2019, 25, 421–432. (In Chinese) [Google Scholar]
- Wang, H.B.; Chen, X.T.; Ding, L.; Ye, J.H.; Jia, X.L.; Kong, X.H.; He, H.B. Effect of soil acidification on yield and quality of tea tree in tea plantations from Anxi county, Fujian Province. J. Appl. Environ. Biol. 2018, 24, 1398–1403. (In Chinese) [Google Scholar]
- Yang, W.L. Remedy for soil acidification at tea plantations in Anxi, Fujian. Acta Tea Sin. 2021, 62, 89–93. (In Chinese) [Google Scholar]
- Lin, S.X.; Liu, Z.J.; Wang, Y.C.; Li, J.Y.; Wang, G.G.; Zhang, W.; Wang, H.B.; He, H.B. Soil acidification associated with changes in inorganic forms of N reduces the yield of tea (Camellia sinensis). Arch. Agron. Soil Sci. 2022, 1–14. [Google Scholar] [CrossRef]
- Wang, Y.H.; Hong, L.; Wang, Y.C.; Yang, Y.W.; Lin, L.W.; Ye, J.H.; Jia, X.L.; Wang, H.B. Effects of soil nitrogen and pH in tea plantation soil on yield and quality of tea leaves. Allelopathy J. 2022, 55, 51–60. [Google Scholar] [CrossRef]
- Chernov, T.I.; Semenov, M.V. Management of soil microbial communities: Opportunities and prospects (a review). Eurasian Soil Sci. 2021, 54, 1888–1902. [Google Scholar] [CrossRef]
- Chepkorir, B.M.; Ann, S.; Mbira, K.G. Effect of enriched sheep manure rates on physico-chemical parameters of tea soil in Timbilil tea estate, Kericho, Kenya. Int. J. Plant Soil Sci. 2018, 25, 1–7. [Google Scholar] [CrossRef]
- Das, P.P.; Singh, K.R.B.; Nagpure, G.; Mansoori, A.; Singh, R.P.; Ghazi, I.A.; Kumar, a.; Singh, J. Plant-soil-microbes: A tripartite interaction for nutrient acquisition and better plant growth for sustainable agricultural practices. Environ. Res. 2022, 214, 113821. [Google Scholar]
- NY/T 525-2021; Organic Fertilizer. China Standards Press: Beijing, China, 2021; pp. 1–17. (In Chinese)
- Dalólio, F.S.; da Silva, J.N.; de Oliveira, A.C.C.; Tinôco, I.D.F.F.; Barbosa, R.C.; de Oliveira Resende, M.; Albino, L.F.T.; Coelho, S.T. Poultry litter as biomass energy: A review and future perspectives. Renew. Sust. Energ. Rev. 2017, 76, 941–949. [Google Scholar] [CrossRef]
- Le, V.S.; Herrmann, L.; Hudek, L.; Nguyen, T.B.; Bräu, L.; Lesueur, D. How application of agricultural waste can enhance soil health in soils acidified by tea cultivation: A review. Environ. Chem. Lett. 2022, 20, 813–839. [Google Scholar] [CrossRef]
- Li, Y.C.; Li, Z.W.; Lin, W.W.; Jiang, Y.H.; Weng, B.Q.; Lin, W.X. Effects of biochar and sheep manure on rhizospheric soil microbial community in continuous ratooning tea orchards. J. Appl. Ecol. 2018, 29, 1273–1282. (In Chinese) [Google Scholar]
- Yin, S.J.; Zhang, X.; Suo, F.Y.; You, X.W.; Yuan, Y.; Cheng, Y.D.; Zhang, C.S.; Li, Y.Q. Effect of biochar and hydrochar from cow manure and reed straw on lettuce growth in an acidified soil. Chemosphere 2022, 298, 134191. [Google Scholar] [CrossRef]
- Ye, G.Q.; Lin, Y.X.; Liu, D.Y.; Chen, Z.M.; Luo, M.J.F.; Bolan, N.; Fan, J.B.; Ding, W.X. Long-term application of manure over plant residues mitigates acidification, builds soil organic carbon and shifts prokaryotic diversity in acidic ultisols. Appl. Soil Ecol. 2019, 133, 24–33. [Google Scholar] [CrossRef]
- Cai, Z.J.; Wang, B.R.; Zhang, L.; Wen, S.L.; Xu, M.G.; Misselbrook, T.H.; Carswell, A.M.; Gao, S. Striking a balance between N sources: Mitigating soil acidification and accumulation of phosphorous and heavy metals from manure. Sci. Total Environ. 2021, 754, 142189. [Google Scholar] [CrossRef]
- Ding, L.; Zhang, Q.X.; Chen, X.T.; Ye, J.H.; Jia, X.L.; Kong, X.H.; Lin, W.M.; Wang, H.B. Effects of organic fertilizer of animal origin on the growth of tea tree and rhizosphere soil enzyme activities. Jiangsu Agr. Sci. 2018, 46, 121–125. (In Chinese) [Google Scholar]
- Sun, L.L.; Zhang, M.S.; Liu, X.M.; Mao, Q.Z.; Shi, C.; Kochian, L.V.; Liao, H. Aluminium is essential for root growth and development of tea plants (Camellia sinensis). J. Integr. Plant Biol. 2020, 62, 984–997. [Google Scholar] [CrossRef]
- Ding, L.; Hong, L.; Wang, Y.H.; Wang, Y.C.; Lin, S.X.; Li, M.Z.; Yang, J.B.; Ye, J.H.; Jia, X.L.; Wang, H.B. Allelopathic effects of soil pH on nitrogen uptake, its utilization efficiency and soil enzymes in tea bush soil. Allelopathy J. 2022, 56, 181–192. [Google Scholar] [CrossRef]
- Xie, S.W.; Yang, F.; Feng, H.X.; Yu, Z.Z.; Liu, C.S.; Wei, C.Y.; Liang, T. Organic fertilizer reduced carbon and nitrogen in runoff and buffered soil acidification in tea plantations: Evidence in nutrient contents and isotope fractionations. Sci. Total Environ. 2021, 762, 143059. [Google Scholar] [CrossRef] [PubMed]
- Bhargava, A.; Bansal, A.; Goyal, V.; Bansal, P. A review on tea quality and safety using emerging parameters. J. Food Meas. Charact. 2022, 16, 1291–1311. [Google Scholar] [CrossRef]
- Corato, U.D. Agricultural waste recycling in horticultural intensive farming systems by on-farm composting and compost-based tea application improves soil quality and plant health: A review under the perspective of a circular economy. Sci. Total Environ. 2020, 738, 139840. [Google Scholar] [CrossRef] [PubMed]
- Wang, H.B.; Lin, L.W.; Wang, Y.H. Technical Specification for Tea Production, Processing and Safety Inspection; Xiamen University Press: Xiamen, China, 2020. [Google Scholar]
- Chen, X.T.; Wang, Y.H.; Lin, L.W.; Zhang, Q.X.; Ding, L.; Guo, W.C.; Wang, H.B. Effects of soil acidity on tea yield and contents of leave quality components. J. Trop Crops. 2021, 42, 260–266. (In Chinese) [Google Scholar]
- Dai, J.; Sameen, D.E.; Zeng, Y.; Li, S.; Qin, W.; Liu, Y. An overview of tea polyphenols as bioactive agents for food packaging applications. LWT 2022, 167, 113845. [Google Scholar] [CrossRef]
- Jia, X.L.; Ye, J.H.; Wang, H.B.; Li, L.; Wang, F.Q.; Zhang, Q.; Chen, J.B.; Zheng, X.Y.; He, H.B. Characteristic amino acids in tea leaves as quality indicator for evaluation of Wuyi Rock Tea in different cultured regions. J. Appl. Bot. Food Qual. 2018, 91, 187–193. [Google Scholar]
- Yan, P.; Wu, L.Q.; Wang, D.H.; Fu, J.Y.; Shen, C.; Li, X.; Zhang, L.P.; Fan, L.C.; Han, W.W. Soil acidification in Chinese tea plantations. Sci. Total Environ. 2020, 715, 136963. [Google Scholar] [CrossRef]
- Tang, S.; Pan, W.; Tang, R.; Ma, Q.; Zhou, J.; Zheng, N.; Wang, J.; Sun, T.; Wu, L. Effects of balanced and unbalanced fertilisation on tea quality, yield, and soil bacterial community. Appl. Soil Ecol. 2022, 175, 104442. [Google Scholar] [CrossRef]
- Wen, B.; Li, R.; Zhao, X.; Ren, S.; Chang, Y.; Zhang, K.; Wang, S.; Guo, G.; Zhu, X. A Quadratic regression model to quantify plantation soil factors that affect tea quality. Agriculture 2021, 11, 1225. [Google Scholar] [CrossRef]
- Zhang, C.; Song, Z.L.; Zhuang, D.H.; Wang, J.; Xie, S.S.; Liu, G.B. Urea fertilization decreases soil bacterial diversity, but im proves microbial biomass, respiration, and N-cycling po tential in a semiarid grassland. Biol. Fert. Soils 2019, 55, 229–242. [Google Scholar] [CrossRef]
- Li, R.; Kang, W.; Wang, L.Y.; Chen, H.; Wu, L.Y.; Li, H.L. Characteristics of free amino acids (the quality chemical components of tea) under spatial heterogeneity of different nitrogen forms in tea (Camellia sinensis) plants. Molecules 2019, 24, 415–443. [Google Scholar]
- Duan, Y.; Shen, J.Z.; Zhang, X.L.; Wen, B.; Ma, Y.C.; Wang, Y.H.; Fang, W.P.; Zhu, X.J. Effects of soybean–tea intercropping on soil-available nutrients and tea quality. Acta Physiol. Plant. 2019, 41, 140–149. [Google Scholar] [CrossRef]
- Shen, J.; Tao, Q.; Dong, Q.; Luo, Y.; Luo, J.; He, Y.; Li, B.; Li, Q.; Xu, Q.; Li, M.; et al. Long-term conversion from rice-wheat to rice-vegetable rotations drives variation in soil microbial communities and shifts in nitrogen-cycling through soil profiles. Geoderma 2021, 404, 115299. [Google Scholar] [CrossRef]
- Scarlett, K.; Denman, S.; Clark, D.R.; Forster, J.; Vanguelova, E.; Brown, N.; Whitby, C. Relationships between nitrogen cycling microbial community abundance and composition reveal the indirect effect of soil pH on oak decline. ISME J. 2021, 15, 623–635. [Google Scholar] [CrossRef]
- Li, J.; Wang, G.; Yan, B.; Liu, G. The responses of soil nitrogen transformation to nitrogen addition are mainly related to the changes in functional gene relative abundance in artificial Pinus tabulaeformis forests. Sci. Total Environ. 2020, 723, 137679. [Google Scholar] [CrossRef]
- Li, M.; Zhang, J.; Yang, X.; Zhou, Y.; Zhang, L.; Yang, Y.; Luo, L.; Yan, Q. Responses of ammonia-oxidizing microorganisms to biochar and compost amendments of heavy metals-polluted soil. J. Environ. Sci. 2021, 102, 263–272. [Google Scholar] [CrossRef]
- Yan, G.Y.; Xing, Y.J.; Han, S.J.; Zhang, J.H.; Wang, Q.G.; Mu, C.C. Long-time precipitation reduction and nitrogen deposition increase alter soil nitrogen dynamic by influencing soil bacterial communities and functional groups. Pedosphere 2020, 30, 363–377. [Google Scholar] [CrossRef]
- Bojarszczuk, J.; Księżak, J.; Gałązka, A.; Niedźwiecki, J. Influence of soil microbial activity and physical properties on soil respiration under maize (Zea mays L.). Appl. Ecol. Environ. Res. 2019, 17, 8011–8022. [Google Scholar] [CrossRef]
- Yu, J.; Zhang, J.; Zheng, X.; Zhang, Y.; Chen, D.; Ding, H. Divergent modulation of land use-driven changes in soil properties and herbicide acetochlor application on soil nitrogen cycling. Soil Till. Res. 2022, 215, 105231. [Google Scholar] [CrossRef]
- Wang, H.B.; Zhang, D.S.; He, J.X.; Wang, L.J.; Ren, J.M.; Zhang, S.T.; Bai, W.B.; Song, J.Q.; Lv, G.H.; Li, J.S. Changes in soil properties, bacterial communities and wheat roots responding to subsoiling in south loess plateau of China. Agronomy 2022, 12, 2288. [Google Scholar] [CrossRef]
- Lin, S.X.; Liu, Z.J.; Wang, Y.C.; Li, J.Y.; Wang, G.G.; Ye, J.H.; Wang, H.B.; He, H.B. Soil metagenomic analysis on changes of functional genes and microorganisms involved in nitrogen-cycle process of acidified tea soils. Front. Plant Sci. 2022, 13, 998178. [Google Scholar] [CrossRef] [PubMed]
- Li, J.Y.; Xu, K.N.; Liu, T.S.; Bai, G.; Liu, Y.C.; Wang, C.W.; Zheng, M. Achieving stable partial nitritation in an acidic nitrifying bioreactor. Environ. Sci. Technol. 2020, 54, 456–463. [Google Scholar] [CrossRef]
- Takahashi, Y.; Fujitani, H.; Hirono, Y.; Tago, K.; Wang, Y.; Hayatsu, M.; Tsuneda, S. Enrichment of comammox and nitrite-oxidizing Nitrospira from acidic soils. Front. Microbiol. 2020, 11, 1737. [Google Scholar] [CrossRef] [PubMed]
- Li, Y.; Chapman, S.J.; Nicol, G.W.; Yao, H. Nitrification and nitrifiers in acidic soils. Soil Biol. Biochem. 2018, 116, 290–301. [Google Scholar] [CrossRef]
- Xu, H.W.; Qu, Q.; Chen, Y.H.; Liu, G.B.; Xue, S. Responses of soil enzyme activity and soil organic carbon stability over time after cropland abandonment in different vegetation zones of the loess plateau of China. Catena 2021, 196, 104812. [Google Scholar] [CrossRef]
- Rana, M.A.; Mahmood, R.; Ali, S. Soil urease inhibition by various plant extracts. PLoS ONE 2021, 16, e0258568. [Google Scholar] [CrossRef]
- Nie, Z.J.; Qin, S.Y.; Liu, H.E.; Zhao, P.; Wu, X.T.; Gao, W.; Li, C.; Zhang, W.W.; Sui, F.Q. Effects of combined application of nitrogen and zinc on winter wheat yield and soil enzyme activities related to nitrogen transformation. J. Plant Nutr. Fertil. 2020, 26, 431–441. (In Chinese) [Google Scholar]
- Koyama, L.A.; Terai, M.; Tokuchi, N. Nitrate reductase activities in plants from different ecological and taxonomic groups grown in Japan. Ecol. Res. 2020, 35, 708–712. [Google Scholar] [CrossRef]
- Rajsz, A.; Wojtuń, B.; Mróz, L.; Żołnierz, L.; Kempers, A.J. Nitrate reductase activity in high-mountain plants: A test across species, growth form and habitat type. J. plant Ecol. 2019, 12, 519–530. [Google Scholar] [CrossRef]
- Al-Thani, N.A.; Al-Ansari, T.; Haouari, M. Integrated TOPSIS-COV approach for selecting a sustainable PET waste management technology: A case study in Qatar. Heliyon 2022, 8, e10274. [Google Scholar] [CrossRef]
- GBT8313-2018; Determination of Total Polyphenols and Catechins Content in Tea. China Standards Press: Beijing, China, 2019; pp. 1–9.
- GBT23193-2017; Determination of Theanine in Tea-Using High Performance Liquid Chromatography. China Standards Press: Beijing, China, 2018; pp. 1–8.
- GBT 8314-2013; Tea-Determination of Free Amino Acids Content. China Standards Press: Beijing, China, 2014; pp. 1–8.
- GBT8312-2013; Tea-Determination of Caffeine Content. Method Using High-Performance Liquid Chromatography. China Standards Press: Beijing, China, 2014; pp. 1–5.
- Li, H.R.; Mei, X.R.; Vinay, N.G.; Guo, R.; Liu, Y.E.; Hao, W.P.; Wang, J.D. Effects of different nitrogen fertilizers on the yield, water- and nitrogen-use efficiencies of drip-fertigated wheat and maize in the North China Plain. Agr. Water Manage. 2021, 243, 106471. [Google Scholar] [CrossRef]
- Li, Z.G.; Luo, Y.M.; Teng, Y. Soil and Environmental Microbiology Research Method; Science Press: Beijing, China, 2008; pp. 435–480. (In Chinese) [Google Scholar]









positive correlation;
negative correlation.
positive correlation;
negative correlation.



Disclaimer/Publisher’s Note: The statements, opinions and data contained in all publications are solely those of the individual author(s) and contributor(s) and not of MDPI and/or the editor(s). MDPI and/or the editor(s) disclaim responsibility for any injury to people or property resulting from any ideas, methods, instructions or products referred to in the content. |
© 2022 by the authors. Licensee MDPI, Basel, Switzerland. This article is an open access article distributed under the terms and conditions of the Creative Commons Attribution (CC BY) license (https://creativecommons.org/licenses/by/4.0/).
Share and Cite
Ye, J.; Wang, Y.; Kang, J.; Chen, Y.; Hong, L.; Li, M.; Jia, Y.; Wang, Y.; Jia, X.; Wu, Z.; et al. Effects of Long-Term Use of Organic Fertilizer with Different Dosages on Soil Improvement, Nitrogen Transformation, Tea Yield and Quality in Acidified Tea Plantations. Plants 2023, 12, 122. https://doi.org/10.3390/plants12010122
Ye J, Wang Y, Kang J, Chen Y, Hong L, Li M, Jia Y, Wang Y, Jia X, Wu Z, et al. Effects of Long-Term Use of Organic Fertilizer with Different Dosages on Soil Improvement, Nitrogen Transformation, Tea Yield and Quality in Acidified Tea Plantations. Plants. 2023; 12(1):122. https://doi.org/10.3390/plants12010122
Chicago/Turabian StyleYe, Jianghua, Yuhua Wang, Jiaqian Kang, Yiling Chen, Lei Hong, Mingzhe Li, Yun Jia, Yuchao Wang, Xiaoli Jia, Zeyan Wu, and et al. 2023. "Effects of Long-Term Use of Organic Fertilizer with Different Dosages on Soil Improvement, Nitrogen Transformation, Tea Yield and Quality in Acidified Tea Plantations" Plants 12, no. 1: 122. https://doi.org/10.3390/plants12010122
APA StyleYe, J., Wang, Y., Kang, J., Chen, Y., Hong, L., Li, M., Jia, Y., Wang, Y., Jia, X., Wu, Z., & Wang, H. (2023). Effects of Long-Term Use of Organic Fertilizer with Different Dosages on Soil Improvement, Nitrogen Transformation, Tea Yield and Quality in Acidified Tea Plantations. Plants, 12(1), 122. https://doi.org/10.3390/plants12010122

