Lipo-Chitooligosaccharides (LCOs) as Elicitors of the Enzymatic Activities Related to ROS Scavenging to Alleviate Oxidative Stress Generated in Tomato Plants under Stress by UV-B Radiation
Abstract
1. Introduction
2. Results
2.1. Effect of LCOs on Height and Flowering of Tomato Plants
2.2. Effects of LCOs on Tomato Plants Treated with UV-B Radiation
2.3. Non-Enzymatic Antioxidants (Total Phenols and Total Flavonoids)
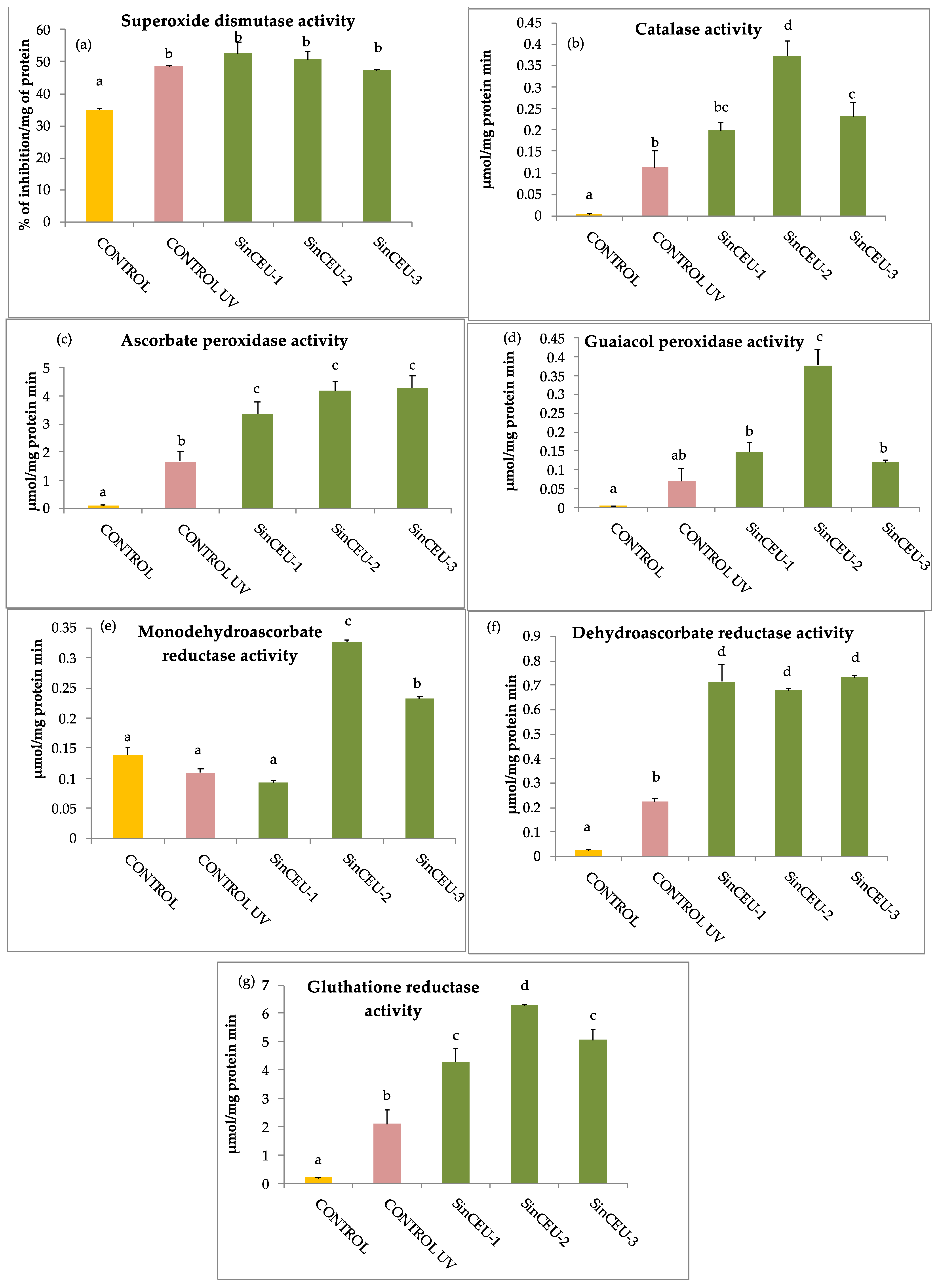
2.4. Enzyme Activities Related to Oxidative Stress
2.5. Antioxidant Activity
2.6. Malondialdehyde (MDA)
2.7. Chlorophyll Fluorescence. Photosynthetic Efficiency
3. Discussion
4. Materials and Methods
4.1. Bacterial Strain Used
4.2. Isolation and Purification of Lipo-Chitooligosaccharides (LCOs)
4.3. Degradation of Chitooligosaccharides by Glusulase
4.4. Determination of N-Acetyl Glucosamine (GlcNAc) from LCOs
4.5. Biological Activity Assay of LCOs
4.6. Experimental Design to Check the Effect of LCOs on Growth (Height and Flowering) of Tomato Plants
4.7. Experimental Design to Check the Effects of LCOs on Tomato Plants Treated with UV-B Radiation
4.8. Non-Enzymatic Antioxidants (Total Phenolics Compounds and Total Flavonoids)
4.9. Enzyme Activities Related to Oxidative Stress
4.10. Determination of Antioxidant Activity with the β-Carotene-Linoleic Acid Bleaching Method
4.11. Malondialdehyde (MDA) Determination
4.12. Chlorophyll Fluorescence Measurements
4.13. Statistical Analysis
5. Conclusions
Author Contributions
Funding
Institutional Review Board Statement
Informed Consent Statement
Data Availability Statement
Acknowledgments
Conflicts of Interest
References
- Zlatev, Z.S.; Lidon, F.J.C.; Kaimakanova, M. Plant physiological responses to UV-B radiation. Emir. J. Food Agr. 2012, 24, 481–501. [Google Scholar] [CrossRef]
- Guzman, M.G.; Cellini, F.; Fotopoulos, V.; Balestrini, R.; Arbona, V. New approaches to improve crop tolerance to biotic and abiotic stresses. Physiol. Plant. 2021, 1, 1–18. [Google Scholar]
- Taalas, P.; Kaurola, J.; Kylling, A.; Shindell, D.; Sausen, R.; Dameris, M.; Grewe, V.; Herman, J.; Damski, J.; Steil, B. The impact of greenhouse gases and halogenated species on future solar UV radiation doses. Geophys. Res. Lett. 2000, 27, 1127–1130. [Google Scholar] [CrossRef]
- Crutzen, P.J. SSTs—A threat to the earth’s ozone shield. Ambio 1972, 1, 41–51. [Google Scholar]
- Molina, M.J.; Rowland, F.S. Stratospheric sink for chlorofluoromethanes: Chlorine atom catalysed destruction of ozone. Nature 1974, 249, 810–812. [Google Scholar] [CrossRef]
- Blumthaler, M.; Ambach, W. Indication of increasing solar ultraviolet—B radiation flux in alpine regions. Science 1990, 248, 206–208. [Google Scholar] [CrossRef]
- Xiong, F.S.; Day, T.A. Effect of solar ultraviolet-B radiation during springtime ozone depletion on photosynthesis and biomass production of antarctic vascular plants. Plant Physiol. 2001, 125, 738–751. [Google Scholar] [CrossRef]
- Booij—James, I.S.; Dube, S.K.; Jansen, M.A.; Edelamn, M.; Mattoo, A.K. Ultraviolet-B radiation impacts light-mediated turnover of the photosystem II reaction centre heterodimer in Arabidopsis mutants altered in phenolic metabolism. Plant Physiol. 2000, 124, 1275–1284. [Google Scholar] [CrossRef]
- Jiang, L.; Wang, Y.; Li, Q.F.; Bjorn, L.O.; He, J.X.; Li, S.S. Arabidopsis STO/BBX24 negatively regulates UV-B signaling by interacting with COP1 and repressing HY5 transcriptional activity. Cell Res. 2012, 22, 1046–1057. [Google Scholar] [CrossRef]
- Dias, M.C.; Pinto, D.C.G.A.; Freitas, H.; Santos, C.; Silva, A.M.S. The antioxidant system in Olea europaea to enhanced UV-B radiation also depends on flavonoids and secoiridoids. Phytochemistry 2020, 170, 112199. [Google Scholar] [CrossRef]
- Rastogi, R.P.; Singh, S.P.; Häder, D.P.; Sinha, R.P. Detection of reactive oxygen species (ROS) by the oxidant—sensing probe 2′,7′-Dichlorodihydrofluorescein diacetate in the cyanobacterium Anabaena variabilis PCC 7937. Biochem. Biophys. Res. Comm. 2010, 397, 603–607. [Google Scholar] [CrossRef] [PubMed]
- Singh, S.P.; Rastogi, R.P.; Häder, D.P.; Sinha, R.P. Temporal dynamics of ROS biogenesis under simulated solar radiation in the cyanobacterium Anabaena variabilis PCC 7937. Protoplasma 2014, 251, 1223–1230. [Google Scholar] [CrossRef] [PubMed]
- Pathak, J.R.; Chatterjee, A.; Singh, S.P.; Sinha, R.P. Detection of reactive oxygen species (ROS) in cyanobacteria using the oxidant—sensing probe 2’7’—Dichlorodihydrofluorescein diacetate (DCFH—DA). Bio Protoc. 2017, 7, 1–8. [Google Scholar]
- Wilhelmová, N.; Procházková, D.; Macháčková, I.; Vagner, M.; Srbova, M.; Wilhelm, J. The role of cytokinins and ethylene in bean cotyledon senescence. The effect of free radicals. Biol. Plant. 2004, 48, 523–529. [Google Scholar] [CrossRef]
- Mariz-Ponte, N.; Mendes, R.J.; Sario, S.; Ferreira de Oliveira, J.M.P.; Melo, P.; Santos, C. Tomato plants use non-enzymatic antioxidant pathways to cope with moderate UV-A/B irradiation: A contribution to the use of UV-A/B in horticulture. J. Plant Physiol. 2018, 221, 32–42. [Google Scholar] [CrossRef]
- Rácz, A.; Hideg, E.; Czégény, G. Selective responses of class III plant peroxidase isoforms to environmentally relevant UV-B doses. J. Plant Physiol. 2018, 221, 101–106. [Google Scholar] [CrossRef]
- Pathak, J.R.; Ahmed, H.; Singh, D.K.; Singh, P.P.; Kumar, D.; Kannaujiya, V.K.; Singh, S.P.; Sinha, R.P. Oxidative stress and antioxidant defense. In Plants Exposed to Ultraviolet Radiation. In Reactive Oxygen, Nitrogen and Sulfur Species in Plants: Production, Metabolism, Signaling and Defense Mechanisms; Hasanuzzaman, Y.M., Fotopoulos, V., Nahar, K., Fujita., M., Eds.; John Willey & Sons Ltd.: Hoboken, NJ, USA, 2019. [Google Scholar]
- Neugart, S.; Fiol, M.; Schreiner, M.; Rohn, S.; Zrenner, R.; Kroh, L.W.; Krumbein, A. Interaction of moderate UV-B exposure and temperature on the formation of structurally diÔ¨Äerent Ô¨Çavonol glycosides and hydroxycinnamic acid derivatives in kale (Brassica oleracea var. sabellica). J. Agric. Food Chem. 2014, 62, 4054–4062. [Google Scholar] [CrossRef]
- Escobar, A.L.; Alberdi, M.; Acevedo, P.; Machado, M.; Nunes-Nesi, A.; Inostroza Blancheteau, C.; Reyes-Díaz, M. Distinct physiological and metabolic reprogramming by highbush blueberry (Vaccinium corymbosum) cultivars revealed during long-term UV-B radiation. Physiol. Plant. 2017, 160, 46–64. [Google Scholar] [CrossRef]
- Schoner, S.; Krause, G.H. Protective systems against active oxygen species in spinach: Responses to cold acclimation in excess light. Planta 1990, 180, 383–389. [Google Scholar] [CrossRef]
- Bowler, C.; Van Montagu, M.; Inze, D. Superoxide dismutase and stress tolerance. Ann. Rev. Plant Physiol. Plant Mol. Biol. 1992, 43, 83–116. [Google Scholar] [CrossRef]
- Smirnoff, N. The role of active oxygen in the response of plants to water deficit and desiccation. New Phytol. 1993, 125, 27–58. [Google Scholar] [CrossRef] [PubMed]
- Noctor, G. Metabolic signalling in defence and stress: The central roles of soluble redox couples. Plant Cell Environ. 2006, 29, 409–425. [Google Scholar] [CrossRef] [PubMed]
- Qi, J.; Song, C.P.; Wang, B.; Zhou, J.; Kangasjärvi, J.; Zhu, J.K.; Gong, Z. Reactive oxygen species signaling and stomatal movement in plant responses to drought stress and pathogen attack. J. Integr. Plant Biol. 2018, 60, 805–826. [Google Scholar] [CrossRef] [PubMed]
- Kovtun, Y.; Chiu, W.L.; Tena, G.; Sheen, J. Functional analysis of oxidative stress-activated mitogen-activated protein kinase cascade in plants. Proc. Natl. Acad. Sci. USA 2000, 97, 2940–2945. [Google Scholar] [CrossRef]
- Nadarajah, K.K. ROS Homeostasis in Abiotic Stress Tolerance in Plants. Int. J. Mol. Sci. 2020, 21, 5208. [Google Scholar] [CrossRef]
- Conrath, U.; Pieterse, C.M.J.; Mauch-Mani, B. Priming in plant-pathogen interactions. Trends Plant Sci. 2002, 7, 210–216. [Google Scholar] [CrossRef]
- Conrath, U.; Beckers, G.J.; Flors, V.; García-Agustín, P.; Jakab, G.; Mauch, F.; Newman, M.-A.; Pieterse, C.M.J.; Poinssot, B.; Pozo, M.J.; et al. Priming: Getting ready for battle. Mol. Plant Microbe Interact. 2006, 19, 1062–1071. [Google Scholar] [CrossRef]
- Garcia-Cristobal, J.; García-Villaraco, A.; Ramos, B.; Gutierrez-Maíero, J.; Lucas, J.A. Priming of pathogenesis related-proteins and enzymes related to oxidative stress by plant growth promoting rhizobacteria on rice plants upon abiotic and biotic stress challenge. J. Plant Physiol. 2015, 188, 72–79. [Google Scholar] [CrossRef]
- Martin-Rivilla, H.; Garcia-Villaraco, A.; Ramos-Solano, B.; Gutierrez-Mañero, F.J.; Lucas, J.A. Extracts from cultures of Pseudomonas fluorescens induce defensive patterns of gene expression and enzyme activity while depressing visible injury and reactive oxygen species (ROS) in Arabidopsis thaliana challenged with pathogenic Pseudomonas syringae. Aob Plants 2019, 11, plz049. [Google Scholar] [CrossRef]
- Martin-Rivilla, H.; Garcia-Villaraco, A.; Ramos-Solano, B.; Mañero, F.J.G.; Lucas, J.A. Bioeffectors as Biotechnological Tools to Boost Plant Innate Immunity: Signal Transduction Pathways Involved. Plants 2020, 9, 1731. [Google Scholar] [CrossRef]
- García-Villaraco, A.; Boukerma, L.; Lucas, J.A.; Gutierrez-Mañero, F.J.; Ramos-Solano, B. Tomato Bio-Protection Induced by Pseudomonas fluorescens N21.4 Involves ROS Scavenging Enzymes and PRs, without Compromising Plant Growth. Plants 2021, 10, 331. [Google Scholar] [CrossRef] [PubMed]
- Chen, C.; McIver, J.; Yang, Y.; Bai, Y.; Schultz, B.; McIver, A. Foliar application of lipo-chitooligosaccharides (Nod factors) to tomato (Lycopersicon esculentum) enhances flowering and fruit production. Can. J. Plant Sci. 2007, 87, 365–372. [Google Scholar]
- Heidstra, R.; Bisseling, T. Nod Factor-Induced Host Responses and Mechanisms of Nod Factor Perception. New Phytol. 1996, 133, 25–43. [Google Scholar] [CrossRef]
- Long, S.R. Rhizobium symbiosis: Nod factors in perspective. Plant Cell 1996, 8, 1885–1898. [Google Scholar]
- Downie, J.A.; Walker, S.A. Plant responses to nodulation factors. Curr. Opin. Plant Biol. 1999, 2, 483–489. [Google Scholar] [CrossRef]
- Khan, W. Signal Compounds Involved with Plant Perception and Response to Microbes Alter Plant Physiological Activities and Growth of Crop Plants. Ph.D. Thesis, McGill University, Montreal, QC, Canada, 2003. [Google Scholar]
- Nandhini, D.U.; Somasundaram, E.; Amanullah, M.M. Effect of rhizobial nod factors (lipo-chitooligosaccharide) on seedling growth of blackgram under salt stress. Legume Res. Int. J. 2018, 41, 159–162. [Google Scholar]
- Nandhini, D.U.; Somasundaram, E. Effects of rhizobial nod factors (lipo-chitooligosaccharide) on seedling growth of maize (Zea mays L.) under salt stress. Bangladesh J. Bot. 2018, 47, 831–837. [Google Scholar] [CrossRef]
- Vincent, J.M. A Manual for the Practical Study of Root-Nodule Bacteria. IBP Handbook 15; Blackwell Scientific Publications: Oxford, UK, 1970; p. 164. [Google Scholar]
- Spaink, H.P. Rhizobial lipo-oligosaccharides: Answers and questions. Plant Mol. Biol. 1992, 20, 977–986. [Google Scholar] [CrossRef]
- Souleimanov, A.; Prithiviraj, B.; Smith, D.L. The major Nod factor of Bradyrhizobium japonicum promotes early growth of soybean and corn. J. Exp. Bot. 2002, 53, 1929–1934. [Google Scholar] [CrossRef]
- Maillet, F.; Poinsot, V.; André, O.; Puech-Pagès, V.; Haouy, A.; Gueunier, M.; Cromer, L.; Giraudet, D.; Formey, D.; Niebel, A.; et al. Fungal lipochitooligosaccharide symbiotic signals in arbuscular mycorrhiza. Nature 2011, 469, 58–63. [Google Scholar] [CrossRef]
- Egertsdotter, U.; Von Arnod, S. Development of somatic embryos in Norway spruce. J. Exp. Bot. 1998, 49, 155–162. [Google Scholar] [CrossRef]
- Ferguson and Mathesius. The mechanisms for Nod factor effects. J. Plant Growth Regul. 2003, 22, 47–72. [Google Scholar]
- Prithiviraj, B.; Zhou, X.; Souleimanov, A.; Wajahatullah, M.K.; Smith, D.L. A host specific bacteria-to-plant signal molecule (Nod factor) enhances germination and early growth of diverse crop plants. Planta 2003, 216, 437–445. [Google Scholar] [CrossRef] [PubMed]
- Spaink, H.P. Regulation of plant morphogenesis by lipo-chitinoligosaccharides. Crit. Rev. Plant Sci. 1996, 15, 559–582. [Google Scholar]
- Khan, W.; Prithiviraj, B.; Smith, D.L. Nod factor [Nod Bj V (C18:1, MeFuc)] and lumichrome enhance photosynthesis and growth of corn and soybean. J. Plant Physiol. 2008, 165, 1342–1351. [Google Scholar] [CrossRef] [PubMed]
- Ballaré, C.L.; Caldwell, M.M.; Flint, S.D.; Robinson, S.A.; Bornman, J.F. Effects of solar ultraviolet radiation on terrestrial ecosystems. Patterns, mechanisms, and interactions with climate change. Photochem. Photobiol. Sci. 2011, 10, 226–241. [Google Scholar] [CrossRef]
- Li, F.R.; Peng, S.L.; Chen, B.M.; Hou, Y.P. A meta-analysis of the responses of woody and herbaceous plants to elevated ultraviolet-B radiation. Acta Oecologica 2010, 36, 1–9. [Google Scholar] [CrossRef]
- Paul, N.; Gwynn-Jones, D. Ecological roles of solar UV radiation: Towards an integrated approach. Trends Ecol. Evol. 2003, 18, 48–55. [Google Scholar] [CrossRef]
- Hideg, É.; Jansen, M.A.K.; Strid, Ä. UV-B exposure, ROS, and stress: Inseparable companions or loosely linked associates? Trends Plant Sci. 2013, 18, 107–115. [Google Scholar] [CrossRef]
- Ozgur, R.; Uzilday, B.; Yalcinkaya, T.; Akyol, T.Y.; Yildirim, H.; Turkan, I. Differential responses of the scavenging systems for reactive oxygen species (ROS) and reactive carbonyl species (RCS) to UV-B irradiation in Arabidopsis thaliana and its high altitude perennial relative Arabis alpina. Photochem. Photobiol. 2021, 20, 889–901. [Google Scholar] [CrossRef]
- Garg, N.; Manchanda, G. ROS generation in plants: Boon or bane? Plant Biosyst. 2009, 143, 81–96. [Google Scholar] [CrossRef]
- Pandey, A.; Agrawal, S.B. Ultraviolet-B radiation: A potent regulator of flavonoids biosynthesis, accumulation and functions in plants. Curr. Sci. 2020, 2, 176. [Google Scholar] [CrossRef]
- Lucas, J.A.; Velasco, A.G.-V.; Ramos, B.; Gutierrez-Mañero, F.J. Changes of enzyme activities related to oxidative stress in rice plants inoculated with random mutants of a Pseudomonas fluorescens strain able to improve plant fitness upon biotic and abiotic conditions. Funct. Plant Biol. 2017, 44, 1063–1074. [Google Scholar] [CrossRef] [PubMed]
- Lucas, J.A.; Gutierrez-Albanchez, E.; Alfaya, T.; Feo-Brito, F.; Gutiérrez-Mañero, F.J. Oxidative stress in ryegrass growing under different air pollution levels and its likely effects on pollen allergenicity. Plant Physiol. Bioch. 2019, 135, 331–340. [Google Scholar] [CrossRef]
- Kummerov, M.; Vànovà, L.; Krulovà, J.; Zezulka, S. The use of physiological characteristics for comparison of organic compounds phytotoxicity. Chemosphere 2008, 71, 2050–2059. [Google Scholar] [CrossRef]
- Nwugo, C.C.; Huerta, A.J. Effects of silicon nutrition on cadmium uptake, growth and photosynthesis of rice plants exposed to low-level cadmium. Plant Soil 2008, 311, 73–86. [Google Scholar] [CrossRef]
- Rohàcek, K. Chlorophyll fluorescence parameters: The definitions, photosynthetic meaning, and mutual relationships. Photosynthetica 2002, 40, 13–29. [Google Scholar] [CrossRef]
- Baker, N.R. Chlorophyll Fluorescence: A Probe of Photosynthesis In Vivo. Annu. Rev. Plant Biol. 2008, 59, 89–113. [Google Scholar] [CrossRef]
- Bradbury, M.; Baker, N.R. The kinetics of photoinhibition of the photosynthetic apparatus in pea chloroplasts. Plant Cell Environ. 1986, 9, 289–297. [Google Scholar]
- Osmond, C.B. What is photoinhibition? Some insights from comparisons of shade and sun plants. In Photoinhibition of Photosynthesis, from Molecular Mechanisms to the Eield; Baker, N.R., Bowyer, J.R., Eds.; BIOS Scientic Publishers: Oxford, UK, 1994; pp. 1–24. [Google Scholar]
- Foyer, C.H.; Shigeoka, S. Understanding Oxidative Stress and Antioxidant Functions to Enhance Photosynthesis. Plant Physiol. 2011, 155, 93–100. [Google Scholar] [CrossRef]
- Jahns, P.; Holzwarth, A.R. The role of the xanthophyll cycle and of lutein in photoprotection of photosystem. Biochim. Biophys. Acta BBA Bioenerg. 2012, 1817, 182–193. [Google Scholar] [CrossRef] [PubMed]
- Kumar, A.; Singh, V.K.; Tripathi, V.; Singh, P.P.; Singh, A.K. Plant growth promoting rhizobacteria (PGPR): Perspective in agriculture under biotic and abiotic stress. In New and Future Developments in Microbial Biotechnology and Bioengineering: Crop Improvement through Microbial Biotechnology; Prasad, R., Gill, S.S., Tuteja, N., Eds.; Elsevier: Amsterdam, The Netherlands, 2018; pp. 333–342. [Google Scholar]
- Wu, G.; Liu, Y.; Xu, Y.; Zhang, G.; Shen, Q.; Zhang, R. Exploring Elicitors of the Beneficial Rhizobacterium Bacillus amyloliquefaciens SQR9 to Induce Plant Systemic Resistance and Their Interactions with Plant Signaling Pathways. Mol. Plant Microb. Interact. 2018, 31, 560–567. [Google Scholar] [CrossRef] [PubMed]
- Wei, Z.; Li, C.; Gao, T.; Zhang, Z.; Liang, B.; Lv, Z.; Zou, Y.; Ma, F. Melatonin increases the performance of Malus hupehensis after UV-B exposure. Plant Physiol. Biochem. 2019, 139, 630–641. [Google Scholar] [CrossRef] [PubMed]
- Haskirli, H.; Yilmaz, O.; Ozgur, R.; Uzilday, B.; Turkan, I. Melatonin mitigates UV-B stress via regulating oxidative stress response, cellular redox and alternative electron sinks in Arabidopsis thaliana. Phytochemistry 2021, 182, 112592. [Google Scholar] [CrossRef] [PubMed]
- Cleyet-Marel, I.C. Dynamique des Populations de Rhizobium et de Bradyrhizobium dans Ie Sol et la Rhizosphere. Ph.D Thesis, University Claude Bernard, Lyon, France, 1987. [Google Scholar]
- Khan, W.; Costa, C.; Souleimanov, A.; Prithiviraj, B.; Smith, D.L. Response of Arabidopsis thaliana roots to lipo-chitooligosaccharide from Bradyrhizobium japonicum and other chitin-like compounds. Plant Growth Regul. 2011, 63, 243–249. [Google Scholar] [CrossRef]
- Reissig, J.L.; Storminger, J.L.; Leloir, L.F. A modified colorimetric method for the estimation of N-acetylamino sugars. J. Biol. Chem. 1955, 217, 959–966. [Google Scholar] [CrossRef]
- Kidaj, D.; Wielbo, J.; Skorupska, A. Nod factors stimulate seed germination and promote growth and nodulation of pea and vetch under competitive conditions. Microbiol. Res. 2012, 167, 144–150. [Google Scholar] [CrossRef]
- Renier, A.; Maillet, F.; Fardoux, J.; Poinsot, V.; Giraud, E.; Nouwen, N. Photosynthetic Bradyrhizobium Sp. strain ORS285 synthesizes 2-O-methylfucosylated lipochitooligosaccharides for nod gene? Dependent interaction with Aeschynomene plants. Mol. Plant Microb. Interact. 2011, 24, 1440–1447. [Google Scholar] [CrossRef]
- Mabood, F.; Souleimanov, A.; Khan, W.; Smith, D.L. Jasmonates induce Nod factor production by Bradyrhizobium japonicum. Plant Physiol. Biochem. 2006, 44, 759–765. [Google Scholar] [CrossRef]
- Prithiviraj, B.; Souleimanov, A.; Zhou, X.; Smith, D.L. Differential response of soybean (Glycine max (L.) Merr.) genotypes to lipo—chitooligosaccharide Nod Bj V (C18:1 MeFuc). J. Exp. Bot. 2000, 51, 2045–2051. [Google Scholar] [CrossRef][Green Version]
- Xu, B.J.; Chan, S.K.C.A. Comparative study on phenolic profiles and antioxidant activities of legumes as affected by extraction solvents. J. Food Sci. 2007, 72, S159–S166. [Google Scholar] [CrossRef] [PubMed]
- Zhishen, J.; Mengcheng, T.; Jianming, W. The determination of flavonoid contents in mulberry and their scavenging effects on superoxide radicals. Food Chem. 1999, 64, 555–559. [Google Scholar] [CrossRef]
- García-Limones, C.; Hervàs, A.; Navas-Cortés, J.A.; Jiménez-Díaz, R.M.; Tena, M. Induction of an antioxidant enzyme system and other oxidative stress markers associated with compatible and incompatible interactions between chickpea (Cicer arietinum L.) and Fusarium oxysporum f. sp.ciceris. Physiol. Mol. Plant Pathol. 2002, 61, 325–337. [Google Scholar] [CrossRef]
- Xu, C.; Natarajan, S.; Sullivan, J.H. Impact of solar ultraviolet-B radiation on the antioxidant defense system in soybean lines differing in flavonoid contents. Environ. Exp. Bot. 2008, 63, 39–48. [Google Scholar] [CrossRef]
- Matthäus, B. Antioxidant Activity of Extracts Obtained from Residues of Different Oilseeds. J. Agr. Food Chem. 2002, 50, 3444–3452. [Google Scholar] [CrossRef] [PubMed]
- Hu, Z.; Fan, J.; Chen, K.; Amombo, E.; Chen, L.; Fu, J. Effects of ethylene on photosystem II and antioxidant enzyme activity in Bermuda grass under low temperature. Photosynth. Res. 2016, 128, 59–72. [Google Scholar] [CrossRef]
- Sokal, R.R.; Rohlf, F.J. Introducción a la Bioestadística; Reverté: Barcelona, Spain, 1980; p. 380. [Google Scholar]









| Concentration of LCOs (M) | |||||
|---|---|---|---|---|---|
| LCOs from: | 1.00 × 10−7 | 1.00 × 10−8 | 1.00 × 10−10 | 1.00 × 10−12 | without LCOs |
| Control | - | - | - | - | 12% |
| SinCEU-1 | 18.57% | 26.92% * | 21.59% | 11.33% | - |
| SinCEU-2 | 14.44% | 41.05% * | 17.33% | 24.29% | - |
| SinCEU-3 | 34% * | 34.15% * | 34.15% * | 32.4% * | - |
Publisher’s Note: MDPI stays neutral with regard to jurisdictional claims in published maps and institutional affiliations. |
© 2022 by the authors. Licensee MDPI, Basel, Switzerland. This article is an open access article distributed under the terms and conditions of the Creative Commons Attribution (CC BY) license (https://creativecommons.org/licenses/by/4.0/).
Share and Cite
Lucas, J.A.; García-Villaraco, A.; Ramos-Solano, B.; Akdi, K.; Gutierrez-Mañero, F.J. Lipo-Chitooligosaccharides (LCOs) as Elicitors of the Enzymatic Activities Related to ROS Scavenging to Alleviate Oxidative Stress Generated in Tomato Plants under Stress by UV-B Radiation. Plants 2022, 11, 1246. https://doi.org/10.3390/plants11091246
Lucas JA, García-Villaraco A, Ramos-Solano B, Akdi K, Gutierrez-Mañero FJ. Lipo-Chitooligosaccharides (LCOs) as Elicitors of the Enzymatic Activities Related to ROS Scavenging to Alleviate Oxidative Stress Generated in Tomato Plants under Stress by UV-B Radiation. Plants. 2022; 11(9):1246. https://doi.org/10.3390/plants11091246
Chicago/Turabian StyleLucas, José A., Ana García-Villaraco, Beatriz Ramos-Solano, Khalid Akdi, and Francisco Javier Gutierrez-Mañero. 2022. "Lipo-Chitooligosaccharides (LCOs) as Elicitors of the Enzymatic Activities Related to ROS Scavenging to Alleviate Oxidative Stress Generated in Tomato Plants under Stress by UV-B Radiation" Plants 11, no. 9: 1246. https://doi.org/10.3390/plants11091246
APA StyleLucas, J. A., García-Villaraco, A., Ramos-Solano, B., Akdi, K., & Gutierrez-Mañero, F. J. (2022). Lipo-Chitooligosaccharides (LCOs) as Elicitors of the Enzymatic Activities Related to ROS Scavenging to Alleviate Oxidative Stress Generated in Tomato Plants under Stress by UV-B Radiation. Plants, 11(9), 1246. https://doi.org/10.3390/plants11091246

