Comparative Study of the Antioxidant Constituents, Activities and the GC-MS Quantification and Identification of Fatty Acids of Four Selected Helichrysum Species
Abstract
:1. Introduction
2. Methods
2.1. Collection of Plant Material
2.2. Plant Extraction
2.3. Chemicals and Reagents
2.4. In Vitro Evaluation
DPPH Radical Scavenging Activity Assay
2.5. Nitric Oxide Scavenging Activity Assay
2.6. Reducing Power Assay
2.7. Estimation of Total Phenolic Compounds
2.8. Total Flavonoid Content Estimation
2.9. Determination of Total Antioxidant Capacity
2.10. GC-MS/MS Quantification
2.10.1. Analysis of Phenolic Acids and Phenolic Aldehydes in H. pandurifolium, H. foetidum, H. petiolare, and H. cymocum Aqueous Acetone ExtractsSample Preparation
Chromatographic Separation
2.10.2. Analysis of Fatty Acid Methyl Esters (FAMEs) in H. pandurifolium, H. foetidum, H. petiolare, and H. cymocum Aqueous Acetone Extracts
Sample Preparation
Chromatographic Separation
2.11. Statistical Analysis
3. Results
3.1. In Vitro Antioxidant Capacities and Profiles of the Four Helichrysum Species
3.2. DPPH Scavenging Activity
3.3. Nitric Oxide Scavenging Activity
3.4. Reducing Power Activity
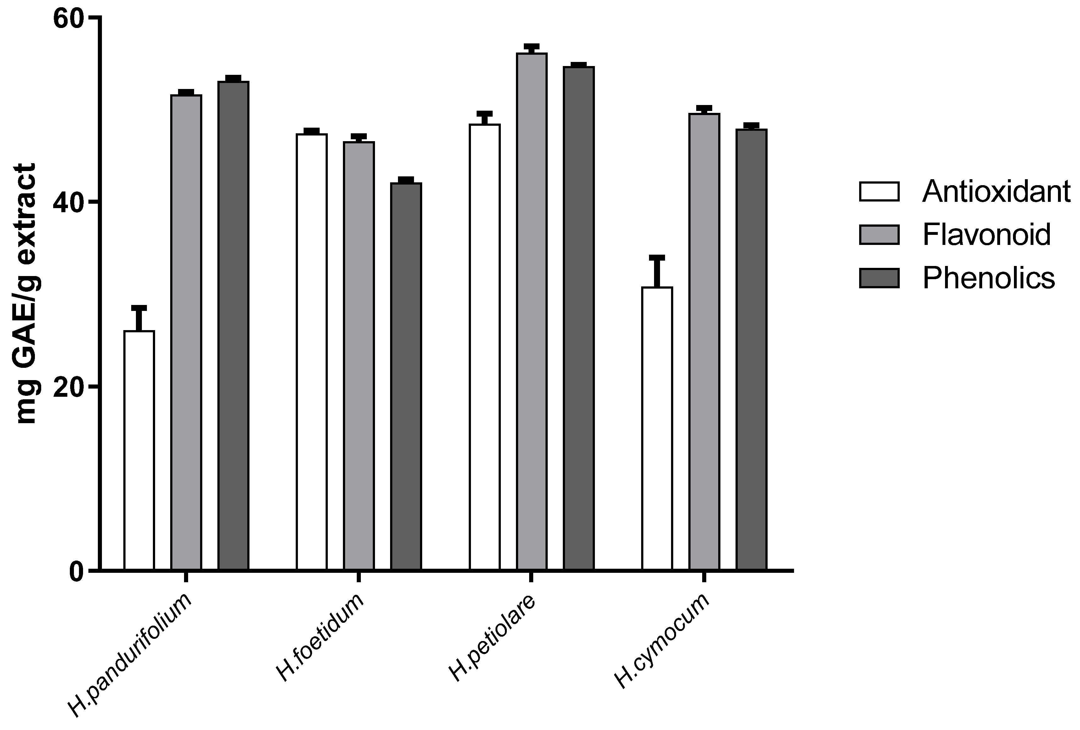
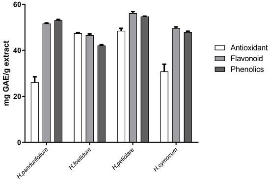
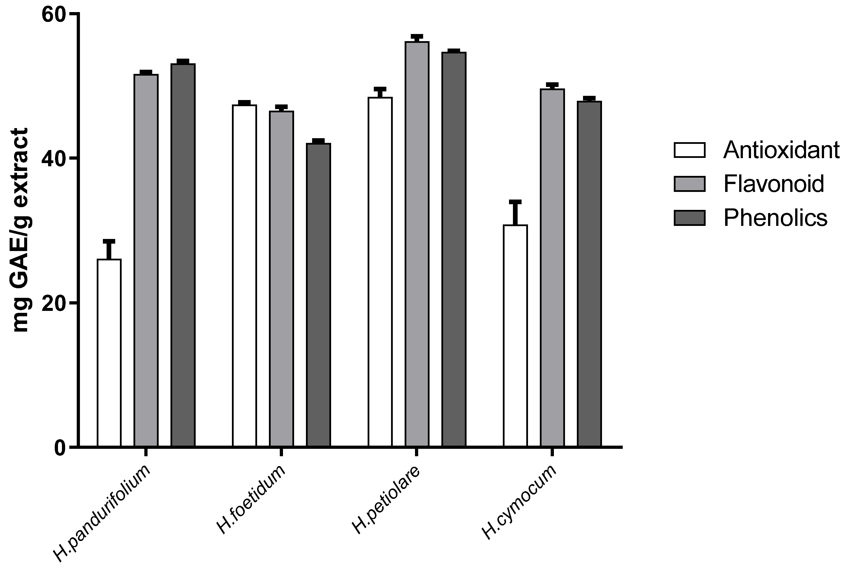
3.5. Total Antioxidant Capacity (TAC), Total Flavonoid (TF), and Total Phenolic (TP) Content
3.6. Total Phenolic Acid and Phenolic Aldehyde Composition
3.7. Composition of Saturated Fatty Acids
4. Discussion
Author Contributions
Funding
Institutional Review Board Statement
Informed Consent Statement
Data Availability Statement
Acknowledgments
Conflicts of Interest
References
- Sies, H. Oxidative stress: Oxidants and antioxidants. Exp. Physiol. Transl. Integr. 1997, 82, 291–295. [Google Scholar] [CrossRef] [PubMed]
- Halliwell, B. Free radicals and antioxidants–quo vadis? Trends Pharmacol. Sci. 2011, 32, 125–130. [Google Scholar] [CrossRef] [PubMed]
- Pryor, W.A. Free radical reactions and their importance in biochemical systems. In Federation Proceedings; Federation of American Societies For Experimental Biology: Bethesda, MD, USA, 1973; pp. 1862–1869. [Google Scholar]
- Mittler, R. Oxidative stress, antioxidants and stress tolerance. Trends Plant Sci. 2002, 7, 405–410. [Google Scholar] [CrossRef]
- Saeed, N.; Khan, M.R.; Shabbir, M. Antioxidant activity, total phenolic and total flavonoid contents of whole plant extracts Torilis leptophylla L. BMC Comple. Altern. Med. 2012, 12, 1–12. [Google Scholar] [CrossRef] [PubMed] [Green Version]
- Olajuyigbe, O.O.; Afolayan, A.J. Phenolic content and antioxidant property of the bark extracts of Ziziphus mucronata Willd. subsp. mucronata Willd. BMC Complement. Altern. Med. 2011, 11, 1–8. [Google Scholar] [CrossRef] [Green Version]
- Zhao, Y.; Zhao, Q.; Lu, Q. Purification, structural analysis, and stability of antioxidant peptides from purple wheat bran. BMC Chem. 2020, 14, 1–12. [Google Scholar] [CrossRef]
- Ng, K.L.; Tan, G.H.; Khor, S.M. Graphite nanocomposites sensor for multiplex detection of antioxidants in food. Food Chem. 2017, 237, 912–920. [Google Scholar] [CrossRef]
- Li, Z.-j.; Yang, F.-j.; Yang, L.; Zu, Y.-g. Comparison of the antioxidant effects of carnosic acid and synthetic antioxidants on tara seed oil. Chem. Cent. J. 2018, 12, 1–6. [Google Scholar] [CrossRef] [Green Version]
- Zhao, H.-J.; Xu, J.-K.; Yan, Z.-H.; Ren, H.-Q.; Zhang, Y. Microplastics enhance the developmental toxicity of synthetic phenolic antioxidants by disturbing the thyroid function and metabolism in developing zebrafish. Environ. Int. 2020, 140, 105750. [Google Scholar] [CrossRef]
- Yang, X.; Sun, Z.; Wang, W.; Zhou, Q.; Shi, G.; Wei, F.; Jiang, G. Developmental toxicity of synthetic phenolic antioxidants to the early life stage of zebrafish. Sci. Total Environ. 2018, 643, 559–568. [Google Scholar] [CrossRef]
- Ham, J.; Lim, W.; You, S.; Song, G. Butylated hydroxyanisole induces testicular dysfunction in mouse testis cells by dysregulating calcium homeostasis and stimulating endoplasmic reticulum stress. Sci. Total Environ. 2020, 702, 134775. [Google Scholar] [CrossRef] [PubMed]
- Chen, J.; Liu, H. Nutritional indices for assessing fatty acids: A mini-review. Int. J. Mol. Sci. 2020, 21, 5695. [Google Scholar] [CrossRef] [PubMed]
- Nwakiban, A.P.A.; Cicolari, S.; Piazza, S.; Gelmini, F.; Sangiovanni, E.; Martinelli, G.; Bossi, L.; Carpentier-Maguire, E.; Tchamgoue, A.D.; Agbor, G. Oxidative stress modulation by cameroonian spice extracts in hepg2 cells: Involvement of nrf2 and improvement of glucose uptake. Metabolites 2020, 10, 182. [Google Scholar] [CrossRef]
- Khan, M.S.A.; Ahmad, I. Herbal medicine: Current trends and future prospects. In New Look to Phytomedicine; Elsevier: Amsterdam, The Netherlands, 2019; pp. 3–13. [Google Scholar]
- Reidel, R.V.B.; Cioni, P.L.; Ruffoni, B.; Cervelli, C.; Pistelli, L. Aroma profile and essential oil composition of Helichrysum species. Nat. Prod. Commun. 2017, 12, 1934578. [Google Scholar]
- Aslan, M.; Orhan, D.D.; Orhan, N.; Sezik, E.; Yeşilada, E. A study of antidiabetic and antioxidant effects of Helichrysum graveolens capitulums in streptozotocin-induced diabetic rats. J. Med. Food 2007, 10, 396–400. [Google Scholar] [CrossRef] [PubMed]
- Akinyede, K.A.; Cupido, C.N.; Hughes, G.D.; Oguntibeju, O.O.; Ekpo, O.E. Medicinal Properties and In Vitro Biological Activities of Selected Helichrysum Species from South Africa: A Review. Plants 2021, 10, 1566. [Google Scholar] [CrossRef]
- Tirillini, B.; Menghini, L.; Leporini, L.; Scanu, N.; Marino, S.; Pintore, G. Antioxidant activity of methanol extract of Helichrysum foetidum Moench. Nat. Prod. Res. 2013, 27, 1484–1487. [Google Scholar] [CrossRef]
- François, T.; Lambert, S.M.; Dongmo, J.; Michel, P.; Gaby, N.; Fabrice, F.; Zache, N.; Henri, A.; Chantal, M. Composition, radical scavenging and antifungal activities of essential oils from 3 Helichrysum species growing in Cameroon against Penicillium oxalicum a yam rot fungi. Afr. J. Agric. Res. 2010, 5, 121–127. [Google Scholar]
- Lourens, A.; Reddy, D.; Başer, K.; Viljoen, A.; Van Vuuren, S. In vitro biological activity and essential oil composition of four indigenous South African Helichrysum species. J. Ethnopharmacol. 2004, 95, 253–258. [Google Scholar] [CrossRef]
- Nasr, A.; Zhou, X.; Liu, T.; Yang, J.; Zhu, G.-P. Acetone-water mixture is a competent solvent to extract phenolics and antioxidants from four organs of Eucalyptus camaldulensis. Turk. J. Biochem. 2019, 44, 231–239. [Google Scholar] [CrossRef]
- Chen, Y.-X.; Liu, X.-Y.; Xiao, Z.; Huang, Y.-F.; Liu, B. Antioxidant activities of polysaccharides obtained from Chlorella pyrenoidosa via different ethanol concentrations. Int. J. Biol. Macromol. 2016, 91, 505–509. [Google Scholar] [CrossRef]
- Silva, I.K.; Soysa, P. Evaluation of phytochemical composition and antioxidant capacity of a decoction containing Adenanthera pavonina L. and Thespesia populnea L. Pharmacogn. Mag. 2011, 7, 193. [Google Scholar]
- Oraiza, M. Studies on product of browning reaction prepared from glucosamine. Jpn. J. Nutr. 1986, 44, 307–315. [Google Scholar]
- McDonald, S.; Prenzler, P.D.; Antolovich, M.; Robards, K. Phenolic content and antioxidant activity of olive extracts. Food Chem. 2001, 73, 73–84. [Google Scholar] [CrossRef]
- Chang, C.-C.; Yang, M.-H.; Wen, H.-M.; Chern, J.-C. Estimation of total flavonoid content in propolis by two complementary colorimetric methods. J. Food Drug Anal. 2002, 10, 155. [Google Scholar]
- Prieto, P.; Pineda, M.; Aguilar, M. Spectrophotometric quantitation of antioxidant capacity through the formation of a phosphomolybdenum complex: Specific application to the determination of vitamin E. Anal. Biochem. 1999, 269, 337–341. [Google Scholar] [CrossRef] [PubMed]
- Motalleb, G.; Hanachi, P.; Kua, S. Evaluation of phenolic content and total antioxidant activity in Berberis vulgaris fruit extract. J. Biol. Sci. 2005, 5, 648–653. [Google Scholar]
- Kumar, V.; Roy, B.K. Population authentication of the traditional medicinal plant Cassia tora L. based on ISSR markers and FTIR analysis. Sci. Rep. 2018, 8, 1–11. [Google Scholar] [CrossRef]
- Aryal, S.; Baniya, M.K.; Danekhu, K.; Kunwar, P.; Gurung, R.; Koirala, N. Total phenolic content, flavonoid content and antioxidant potential of wild vegetables from Western Nepal. Plants 2019, 8, 96. [Google Scholar] [CrossRef] [Green Version]
- Doshi, P.; Adsule, P.; Banerjee, K. Phenolic composition and antioxidant activity in grapevine parts and berries (Vitis vinifera L.) cv. Kishmish Chornyi (Sharad Seedless) during maturation. Int. J. Food Sci. Technol. 2006, 41, 1–9. [Google Scholar] [CrossRef]
- Bland, J.S. Oxidants and antioxidants in clinical medicine: Past, present and future potential. J. Nutr. Environ. Med. 1995, 5, 255–280. [Google Scholar] [CrossRef]
- Thomas, M.J. The role of free radicals and antioxidants: How do we know that they are working? Crit. Rev. Food Sci. Nutr. 1995, 35, 21–39. [Google Scholar] [CrossRef] [PubMed]
- Pokorný, J. Are natural antioxidants better–and safer–than synthetic antioxidants? Eur. J. Lipid Sci. Technol. 2007, 109, 629–642. [Google Scholar] [CrossRef]
- Riedl, K.M.; Lee, J.H.; Renita, M.; St Martin, S.K.; Schwartz, S.J.; Vodovotz, Y. Isoflavone profiles, phenol content, and antioxidant activity of soybean seeds as influenced by cultivar and growing location in Ohio. J. Sci. Food Agric. 2007, 87, 1197–1206. [Google Scholar] [CrossRef]
- Kotha, R.R.; Luthria, D.L. Curcumin: Biological, pharmaceutical, nutraceutical, and analytical aspects. Molecules 2019, 24, 2930. [Google Scholar] [CrossRef] [Green Version]
- Gunathilake, K.; Ranaweera, K.; Rupasinghe, H. Change of phenolics, carotenoids, and antioxidant capacity following simulated gastrointestinal digestion and dialysis of selected edible green leaves. Food Chem. 2018, 245, 371–379. [Google Scholar] [CrossRef]
- Wang, T.-y.; Li, Q.; Bi, K.-S. Bioactive flavonoids in medicinal plants: Structure, activity and biological fate. Asian J. Pharm. Sci. 2018, 13, 12–23. [Google Scholar] [CrossRef]
- Tapiero, H.; Tew, K.; Ba, G.N.; Mathe, G. Polyphenols: Do they play a role in the prevention of human pathologies? Biomed. Pharmacother. 2002, 56, 200–207. [Google Scholar] [CrossRef]
- Croteau, R.; Kutchan, T.M.; Lewis, N.G. Natural products (secondary metabolites). Biochem. Mol. Biol. Plants 2000, 24, 1250–1319. [Google Scholar]
- Tungmunnithum, D.; Thongboonyou, A.; Pholboon, A.; Yangsabai, A. Flavonoids and other phenolic compounds from medicinal plants for pharmaceutical and medical aspects: An overview. Medicines 2018, 5, 93. [Google Scholar] [CrossRef]
- Kumar, S.; Pandey, A.K. Chemistry and biological activities of flavonoids: An overview. Sci. World J. 2013, 2013, 3506. [Google Scholar] [CrossRef] [PubMed] [Green Version]
- Leyva-Porras, C.; Román-Aguirre, M.; Cruz-Alcantar, P.; Pérez-Urizar, J.T.; Saavedra-Leos, M.Z. Application of Antioxidants as an Alternative Improving of Shelf Life in Foods. Polysaccharides 2021, 2, 594–607. [Google Scholar] [CrossRef]
- Frankel, E.N.; Meyer, A.S. The problems of using one-dimensional methods to evaluate multifunctional food and biological antioxidants. J. Sci. Food Agric. 2000, 80, 1925–1941. [Google Scholar] [CrossRef]
- Nunes, X.P.; Silva, F.S.; Almeida, J.R.G.d.S.; Barbosa Filho, J.M.; de Lima, J.T.; de Araújo Ribeiro, L.A.; Júnior, L.J.Q. Biological Oxidations and Antioxidant Activity of Natural Products; Intech Open Access Publisher: New York, NY, USA, 2012. [Google Scholar]
- Kaurinovic, B.; Vastag, D. Flavonoids and phenolic acids as potential natural antioxidants. In Antioxidants; IntechOpen: London, UK, 2019; pp. 1–20. [Google Scholar]
- Krishnaiah, D.; Sarbatly, R.; Nithyanandam, R. A review of the antioxidant potential of medicinal plant species. Food Bioprod. Processing 2011, 89, 217–233. [Google Scholar] [CrossRef]
- Tepe, B.; Sokmen, M.; Akpulat, H.A.; Sokmen, A. In vitro antioxidant activities of the methanol extracts of four Helichrysum species from Turkey. Food Chem. 2005, 90, 685–689. [Google Scholar] [CrossRef]
- Czinner, E.; Hagymasi, K.; Blazovics, A.; Kery, A.; Szőke, É.; Lemberkovics, E. The in vitro effect of Helichrysi flos on microsomal lipid peroxidation. J. Ethnopharmacol. 2001, 77, 31–35. [Google Scholar] [CrossRef]
- Balakrishnan, N.; Panda, A.; Raj, N.; Shrivastava, A.; Prathani, R. The evaluation of nitric oxide scavenging activity of Acalypha indica Linn root. Asian J. Res. Chem. 2009, 2, 148–150. [Google Scholar]
- Sayah, K.; El Omari, N.; Kharbach, M.; Bouyahya, A.; Kamal, R.; Marmouzi, I.; Cherrah, Y.; Faouzi, M.E.A. Comparative Study of Leaf and Rootstock Aqueous Extracts of Foeniculum vulgare on Chemical Profile and In Vitro Antioxidant and Antihyperglycemic Activities. Adv. Pharmacol. Pharm. Sci. 2020, 2020, 122. [Google Scholar] [CrossRef]
- Zengin, G.; Sinan, K.I.; Ak, G.; Angeloni, S.; Maggi, F.; Caprioli, G.; Kaplan, A.; Çakılcıoğlu, U.; Akan, H.; Jugreet, S. Preliminary investigation on chemical composition and bioactivity of differently obtained extracts from Symphytum aintabicum Hub.-Mor. &Wickens. Biochem. Syst. Ecol. 2021, 94, 104203. [Google Scholar]
- Govindan, P.; Muthukrishnan, S. Evaluation of total phenolic content and free radical scavenging activity of Boerhavia erecta. J. Acute Med. 2013, 3, 103–109. [Google Scholar] [CrossRef] [Green Version]
- Hazra, B.; Biswas, S.; Mandal, N. Antioxidant and free radical scavenging activity of Spondias pinnata. BMC Complementary Altern. Med. 2008, 8, 1–10. [Google Scholar] [CrossRef] [PubMed] [Green Version]
- Sharma, S.; Vig, A.P. Preliminary phytochemical screening and in vitro antioxidant activities of Parkinsonia aculeata Linn. BioMed Res. Int. 2014, 2014, 26. [Google Scholar] [CrossRef] [PubMed] [Green Version]
- Turkoglu, A.; Duru, M.E.; Mercan, N.; Kivrak, I.; Gezer, K. Antioxidant and antimicrobial activities of Laetiporus sulphureus (Bull.) Murrill. Food Chem. 2007, 101, 267–273. [Google Scholar] [CrossRef]
- Lakhanpal, P.; Rai, D.K. Quercetin: A versatile flavonoid. Internet J. Med. Update 2007, 2, 22–37. [Google Scholar] [CrossRef] [Green Version]
- Boora, F.; Chirisa, E.; Mukanganyama, S. Evaluation of nitrite radical scavenging properties of selected Zimbabwean plant extracts and their phytoconstituents. J. Food Processing 2014, 2014, 149. [Google Scholar] [CrossRef] [Green Version]
- Eder, K. Gas chromatographic analysis of fatty acid methyl esters. J. Chromatogr. B: Biomed. Sci. Appl. 1995, 671, 113–131. [Google Scholar] [CrossRef]
- Foseid, L.; Devle, H.; Stenstrøm, Y.; Naess-Andresen, C.F.; Ekeberg, D. Fatty acid profiles of stipe and blade from the Norwegian brown macroalgae Laminaria hyperborea with special reference to acyl glycerides, polar lipids, and free fatty acids. J. Lipids 2017, 2017, 257. [Google Scholar] [CrossRef] [Green Version]
- Schmid, M.; Stengel, D.B. Intra-thallus differentiation of fatty acid and pigment profiles in some temperate Fucales and Laminariales. J. Phycol. 2015, 51, 25–36. [Google Scholar] [CrossRef]
- Ahmad, S.; Ahmad, S.; Bibi, A.; Ishaq, M.S.; Afridi, M.S.; Kanwal, F.; Zakir, M.; Fatima, F. Phytochemical analysis, antioxidant activity, fatty acids composition, and functional group analysis of Heliotropium bacciferum. Sci. World J. 2014, 2014, 29. [Google Scholar] [CrossRef]
- Calder, P. Dietary fatty acids and the immune system. Lipids 1999, 34, S137–S140. [Google Scholar] [CrossRef]
- Acet, T.; Ozcan, K.; Zengin, G. An assessment of phenolic profiles, fatty acid compositions, and biological activities of two Helichrysum species: H. plicatum and H. chionophilum. J. Food Biochem. 2020, 44, e13128. [Google Scholar] [CrossRef] [PubMed]
- Sabudak, T.; Ozturk, M.; Goren, A.C.; Kolak, U.; Topcu, G. Fatty acids and other lipid composition of five Trifolium species with antioxidant activity. Pharm. Biol. 2009, 47, 137–141. [Google Scholar] [CrossRef] [Green Version]
- Kang, M.J.; Shin, M.S.; Park, J.N.; Lee, S.S. The effects of polyunsaturated: Saturated fatty acids ratios and peroxidisability index values of dietary fats on serum lipid profiles and hepatic enzyme activities in rats. Br. J. Nutr. 2005, 94, 526–532. [Google Scholar] [CrossRef] [PubMed] [Green Version]





| Extract Concentration (µg/mL) | H. pandurifolium | H. foetidum | H. petiolare | H. cymocum | Ascorbic Acid |
|---|---|---|---|---|---|
| 10 | 33.04 ± 1.78 bde | 19.06 ± 3.22 acde | 27.08 ± 5.33 bde | 47.31 ± 1.41 bce | 73.77 ± 5.10 abcd |
| 25 | 76.53 ± 2.65 bcd | 35.39 ± 2.34 ade | 41.72 ± 8.80 ade | 58.86 ± 6.3 abce | 83.38 ± 0.79 bcd |
| 50 | 91.10 ± 0.67 b | 53.50 ± 3.52 acde | 86.31 ± 1.81 be | 88.67 ± 0.46 b | 94.11 ± 0.55 bc |
| 125 | 91.61 ± 1.11 b | 81.83 ± 0.67 ace | 89.62 ± 0.45 b | 85. 58 ± 2.67 e | 94.63 ± 0.67 bd |
| 250 | 90.36 ± 1.00 | 85.28 ± 1.34 e | 89.18 ± 0.59 | 89.55 ± 1.22 | 94.99 ± 0.55 b |
| Extract Concentration (µg/mL) | H. pandurifolium | H. foetidum | H. petiolare | H. cymocum | Ascorbic Acid |
|---|---|---|---|---|---|
| 10 | 33.27 ± 0.50 bcde | 42.85 ± 0.29 ade | 44.24 ± 0.50 ade | 40.52 ± 0.58 abce | 79.58 ± 0.87 abcd |
| 25 | 41.78 ± 2.05 bcde | 47.95 ± 0.66 acde | 50.79 ± 1.47 abe | 50.09 ±0.38 abe | 86.14 ± 0.48 abcd |
| 50 | 54.51 ± 0.85 cde | 54.44 ± 0.38 cde | 56.27 ± 0.66 bde | 52.17 ± 1.14 abce | 91.37 ± 0.61 abcd |
| 125 | 68.24 ± 0.87 bcde | 70.63 ± 0.58 ade | 71.52 ± 0.61 ade | 76.05 ± 0.29 abce | 93.63 ± 0.40 abcd |
| 250 | 78.64 ± 0.38 cde | 80.34 ± 0.38 ce | 82.67 ± 0.58 abe | 81.98 ± 0.48 ae | 95.71 ± 0.40 abcd |
| Extract Concentration (µg/mL) | H. pandurifolium | H. foetidum | H. petiolare | H. cymocum | Ascorbic Acid |
|---|---|---|---|---|---|
| 10 | 0.140 ± 0.002 bcde | 0.181 ± 0.003 acde | 0.158 ± 0.003 abe | 0.152 ± 0.003 abe | 0.262 ± 0.005 abcd |
| 25 | 0.224 ± 0.003 bd | 0.296 ± 0.006 acde | 0.234 ± 0.007 bde | 0.174 ± 0.003 bce | 0.398 ± 0.005 abcd |
| 50 | 0.307 ± 0.004 bcde | 0.480 ± 0.004 acde | 0.282 ± 0.003 abde | 0.363 ± 0.004 abce | 0.572 ± 0.005 abcd |
| 125 | 0.522 ± 0.003 bcde | 0.549 ± 0.002 acde | 0.429 ± 0.005 abde | 0.537 ± 0.004 abce | 0.763 ± 0.008 abcd |
| 250 | 0.602 ± 0.007 bcde | 0.619 ± 0.005 acde | 0.505 ± 0.010 abde | 0.636 ± 0.005 bce | 0.853 ± 0.008 abcd |
| TMS Derivative | Mass Spectrum | Plant Extracts (Concentration, µg/g) | ||||
|---|---|---|---|---|---|---|
| Pseudomolecular Ions | Fragment Ions | H. pandurifolium | H. foetidum | H. petiolare | H. cymocum | |
| Vanillin | 224 | 209 | 70.1 | 41.9 | 78.5 | 27.5 |
| trans-cinnamic acid | 220 | 205 | 2.22 | 2.12 | 29.6 | 46.4 |
| Syringaldehyde | 254 | 224 | 23.1 | 8.23 | 14.1 | 8.11 |
| Vanillic acid | 312 | 282 | 10.6 | 43.5 | 14.8 | 13.6 |
| Protocatechuic acid | 355 | 311 | 94.6 | 84.5 | 297.5 | 115.9 |
| Coniferaldehyde | 250 | 235 | 3.7 | 1.19 | 13.5 | 2.19 |
| m-coumaric acid | 293 | 249 | 0.392 | 0.259 | 0.192 | 0.237 |
| p-coumaric acid | 308 | 203 | 0.064 | 0.122 | 0.046 | 0.022 |
| Syringic_Acid | 342 | 312 | 2.02 | 4.51 | 2.95 | 13.7 |
| Gallic_acid | 458 | 281 | 31.5 | 13.7 | 180.6 | 685.7 |
| Sinapinaldehyde | 280 | 265 | 11.2 | 74.3 | 18.2 | 16.9 |
| Ferulic_Acid | 338 | 308 | 144.3 | 61.2 | 98.4 | 53.7 |
| Caffeic_Acid | 396 | 219 | 1328.2 | 928.6 | 1424.3 | 1363.2 |
| SFA | MUFA | PUFA | |||||||||||||||||||||
|---|---|---|---|---|---|---|---|---|---|---|---|---|---|---|---|---|---|---|---|---|---|---|---|
| Concentration (µg/g) | C12:0 | C13:0 | C14:0 | C15:0 | C16:0 | C17:0 | C18:0 | C20:0 | C21:0 | C22:0 | C24:0 | C16:1 | C18:1n9 (cis) | C18:2n6 (cis) | C18:3n3 | SFA | MUFA | PUFA | PUFA:SFA | n − 6 | n − 3 | (n − 6)/(n − 3) | TFA |
| H. pandurifolium | 18.6 | 12.8 | 451.8 | 126.3 | 2446.8 | 223.1 | 572.1 | 240.2 | 39.0 | 286.9 | 166.4 | 76.7 | 595.9 | 2144.1 | 624.9 | 4584.0 | 672.7 | 2768.9 | 0.604 | 2144.1 | 624.9 | 3.43 | 8025.6 |
| H. foetidum | 62.3 | 25.3 | 493.2 | 349.4 | 2128.7 | 160.3 | 644.7 | 466.9 | 83.5 | 497.6 | 467.8 | 92.4 | 1057.9 | 2759.6 | 1147.9 | 5379.8 | 1150.3 | 3907.5 | 0.726 | 2759.6 | 1147.9 | 2.40 | 10437.5 |
| H. petiolare | 22.1 | 7.9 | 621.6 | 318.8 | 3064.0 | 261.6 | 728.3 | 695.8 | 100.0 | 705.7 | 656.2 | 286.4 | 740.3 | 4688.6 | 2316.8 | 7182.0 | 1026.7 | 7005.5 | 0.975 | 4688.6 | 2316.8 | 2.02 | 15214.2 |
| H. cymocum | 17.3 | 3.1 | 372.0 | 135.4 | 2487.8 | 218.4 | 563.7 | 329.3 | 54.1 | 439.4 | 238.0 | 90.1 | 516.7 | 3796.9 | 2041.3 | 4858.5 | 606.8 | 5838.2 | 1.202 | 3796.9 | 2041.3 | 1.86 | 11303.5 |
| H. pandurifolium | H. foetidum | H. petiolare | H. cymocum | ||||||||||
|---|---|---|---|---|---|---|---|---|---|---|---|---|---|
| S/N | Name | R. Time | Area | Area Ratio | R. Time | Area | Area Ratio | R. Time | Area | Area Ratio | R. Time | Area | Area Ratio |
| 1 | C12:0 | 26.83 | 129390 | 0.329 | 26.83 | 669469 | 1.043 | 26.84 | 120139 | 0.336 | 26.84 | 196681 | 0.379 |
| 2 | C13:0 | 29.48 | 84201 | 0.214 | 29.47 | 297564 | 0.464 | 29.47 | 55448 | 0.155 | 29.49 | 67203 | 0.129 |
| 3 | C14:0 | 32.02 | 1908002 | 4.854 | 32.02 | 5051443 | 7.869 | 32.02 | 2077992 | 5.817 | 32.02 | 2843872 | 5.478 |
| 4 | C15:0 | 34.47 | 492091 | 1.252 | 34.47 | 3564716 | 5.553 | 34.47 | 1036856 | 2.903 | 34.47 | 985986 | 1.899 |
| 5 | C16:0 | 36.84 | 11057456 | 28.128 | 36.86 | 23592767 | 36.752 | 36.84 | 11014044 | 30.834 | 36.86 | 20445571 | 39.383 |
| 6 | C16:1 | 38.35 | 206058 | 0.524 | 38.34 | 462768 | 0.891 | 38.42 | 670890 | 1.878 | 38.34 | 462768 | 0.891 |
| 7 | C17 | 39.06 | 1269355 | 3.229 | 39.07 | 2190159 | 3.412 | 39.06 | 1175330 | 3.29 | 39.07 | 2097968 | 4.041 |
| 8 | C18:0 | 41.22 | 3120778 | 7.939 | 41.28 | 8058156 | 12.553 | 41.22 | 3107496 | 8.699 | 41.24 | 5352632 | 10.311 |
| 9 | C18:1n9c | 42.46 | 2106853 | 5.359 | 42.48 | 8959105 | 13.956 | 42.45 | 2075141 | 5.809 | 42.46 | 3297951 | 6.353 |
| 10 | C19:1STD | 43.28 | 393119 | N/A | 43.33 | 641949 | N/A | 43.28 | 357208 | N/A | 42.28 | 519143 | N/A |
| 11 | C182n6c | 44.35 | 5314280 | 13.518 | 44.37 | 16679594 | 25.983 | 44.35 | 9199072 | 25.753 | 44.37 | 16995730 | 32.738 |
| 12 | C20:0 | 45.26 | 1337418 | 3.402 | 45.31 | 5943454 | 9.258 | 45.26 | 2891326 | 8.094 | 45.27 | 3170962 | 6.108 |
| 13 | C18:3n3 | 46.48 | 1700259 | 4.325 | 46.52 | 7547519 | 11.757 | 46.48 | 4938911 | 13.826 | 46.5 | 9919610 | 19.108 |
| 14 | C21:0 | 47.16 | 187898 | 0.478 | 47.19 | 1035681 | 1.613 | 47.15 | 398686 | 1.116 | 47.16 | 490302 | 0.944 |
| 15 | C22:0 | 49 | 1673819 | 4.258 | 49.04 | 6573385 | 10.24 | 49 | 3058160 | 8.561 | 49.01 | 4354287 | 8.387 |
| 16 | C24 | 52.48 | 1797182 | 4.572 | 52.53 | 10192435 | 15.877 | 52.48 | 4709445 | 13.184 | 52.49 | 4136416 | 7.968 |
Publisher’s Note: MDPI stays neutral with regard to jurisdictional claims in published maps and institutional affiliations. |
© 2022 by the authors. Licensee MDPI, Basel, Switzerland. This article is an open access article distributed under the terms and conditions of the Creative Commons Attribution (CC BY) license (https://creativecommons.org/licenses/by/4.0/).
Share and Cite
Akinyede, K.A.; Hughes, G.D.; Ekpo, O.E.; Oguntibeju, O.O. Comparative Study of the Antioxidant Constituents, Activities and the GC-MS Quantification and Identification of Fatty Acids of Four Selected Helichrysum Species. Plants 2022, 11, 998. https://doi.org/10.3390/plants11080998
Akinyede KA, Hughes GD, Ekpo OE, Oguntibeju OO. Comparative Study of the Antioxidant Constituents, Activities and the GC-MS Quantification and Identification of Fatty Acids of Four Selected Helichrysum Species. Plants. 2022; 11(8):998. https://doi.org/10.3390/plants11080998
Chicago/Turabian StyleAkinyede, Kolajo Adedamola, Gail Denise Hughes, Okobi Eko Ekpo, and Oluwafemi Omoniyi Oguntibeju. 2022. "Comparative Study of the Antioxidant Constituents, Activities and the GC-MS Quantification and Identification of Fatty Acids of Four Selected Helichrysum Species" Plants 11, no. 8: 998. https://doi.org/10.3390/plants11080998
APA StyleAkinyede, K. A., Hughes, G. D., Ekpo, O. E., & Oguntibeju, O. O. (2022). Comparative Study of the Antioxidant Constituents, Activities and the GC-MS Quantification and Identification of Fatty Acids of Four Selected Helichrysum Species. Plants, 11(8), 998. https://doi.org/10.3390/plants11080998

