Effect of Mineral Nutrition and Salt Spray on Cucumber Downy Mildew (Pseudoperonospora cubensis)
Abstract
:1. Introduction
2. Results
2.1. Pot Experiments—Relationship between the Concentrations of Supplemental Nutrients in the Fertigation Solution and CDM Severity
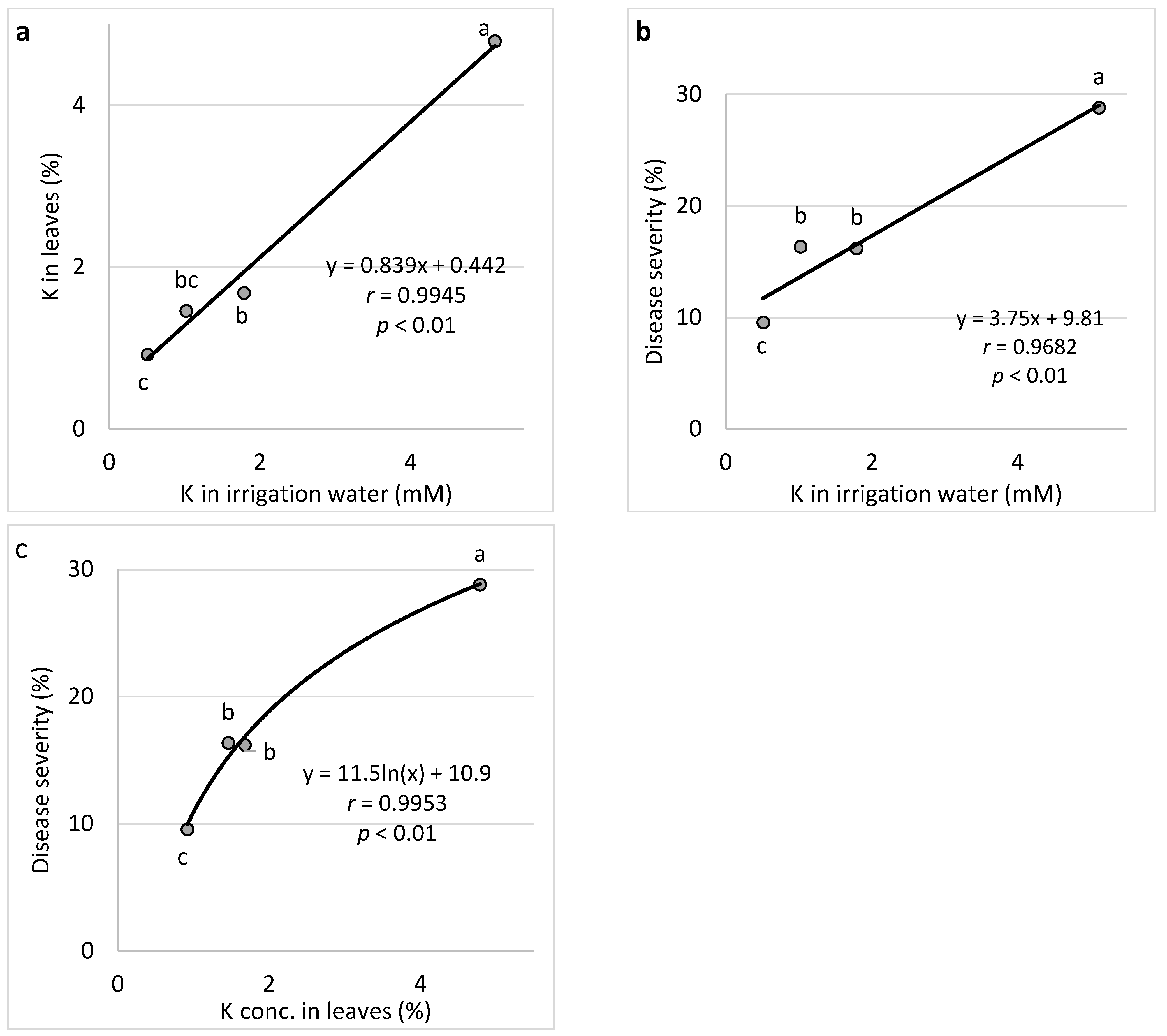
2.1.1. Relationship between N, P, and K Nutrition through the Fertigation Solution with CDM Severity
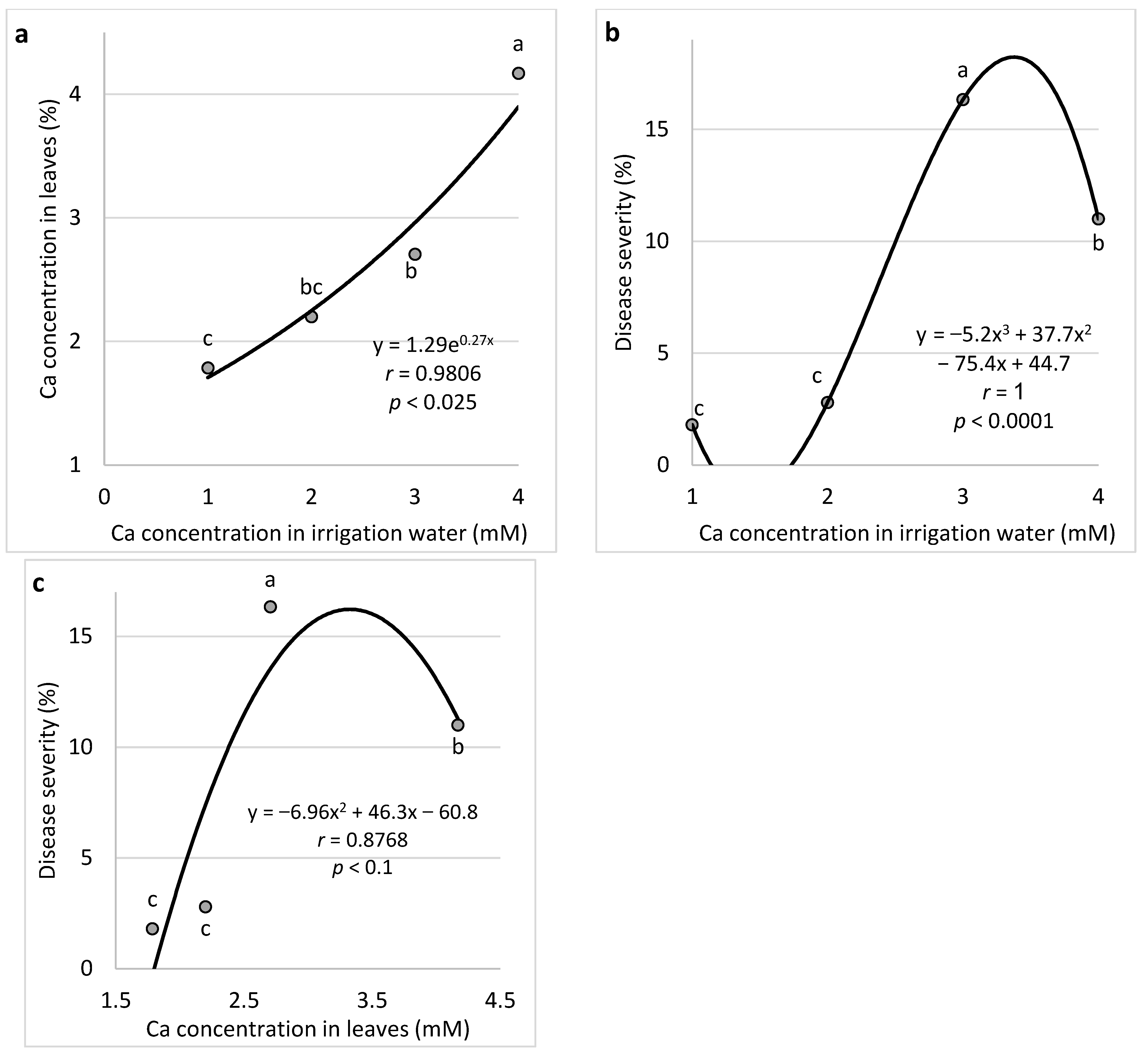
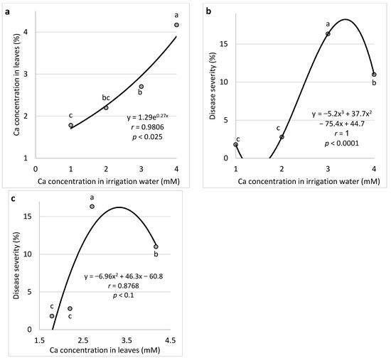
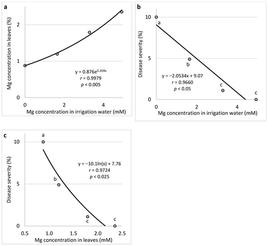
2.1.2. Relationship between Ca and Mg Nutrition through the Fertigation Solution with CDM Severity
2.2. Spray of Salts for the Control of CDM
2.2.1. Spray Application of Salts for CDM Suppression (Expt. A-s1)
2.2.2. Effect of NaCl Spray on CDM (Expt. B-s1)
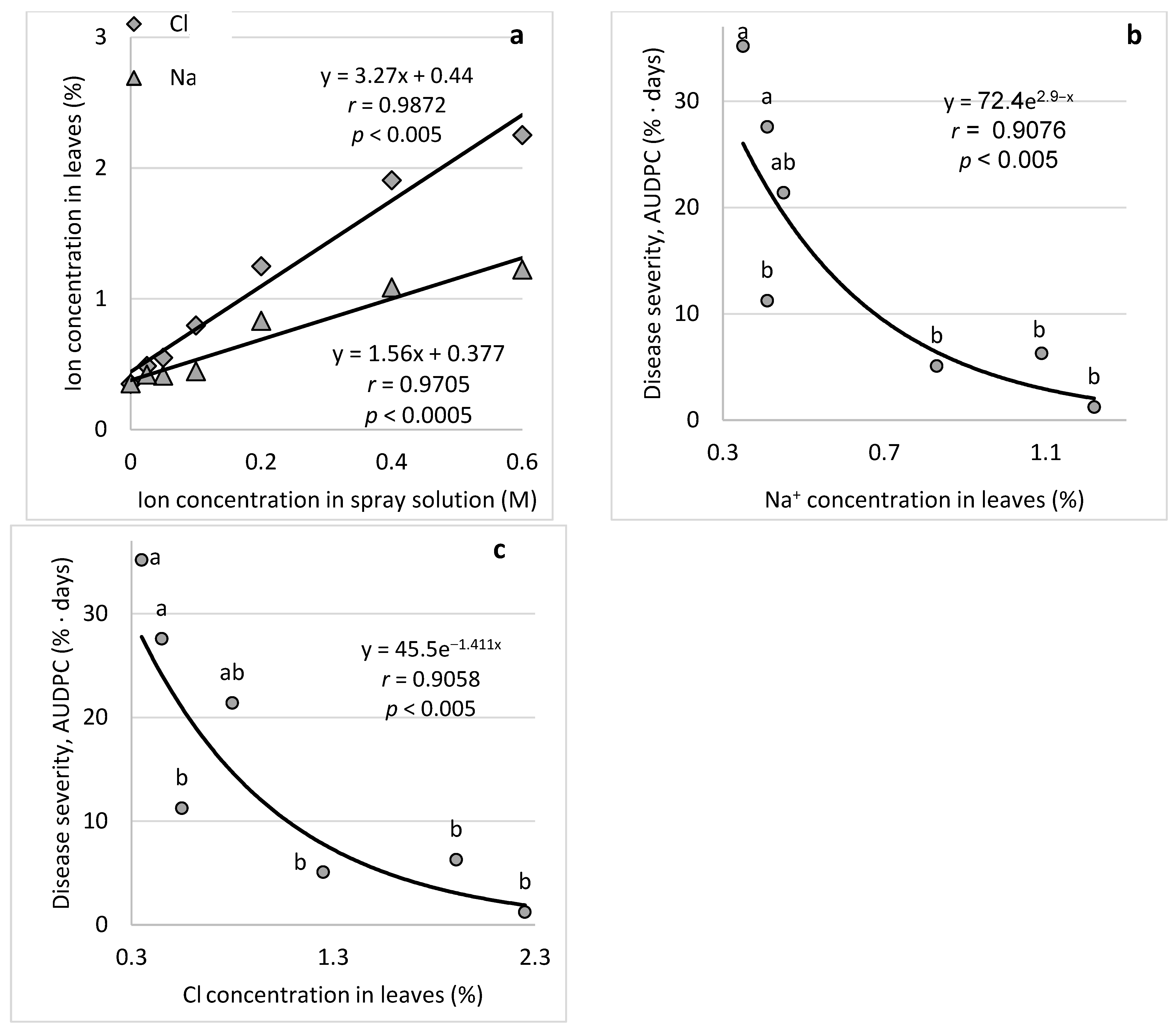
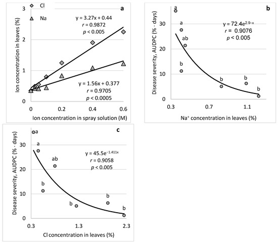
2.2.3. Effect of Na and Cl Concentrations in the Leaves on CDM Severity (Expt. B-s2)
2.2.4. Effect of the Spray of Cl and SO4 Salt Solutions on CDM of Cucumber Plants Grown in Pots (Expts B-s3)
2.3. Semi-Commercial Experiments to Test the Effects of Spray Applications of Various Salts on CDM (Expts B-SCs-a/b)
2.4. Effect of Spray Treatments on CDM under Commercial-Like Conditions
3. Discussion
3.1. Application of Nutritional Elements in the Irrigation Water
3.2. Spraying of Salts over the Plant’s Canopy
4. Materials and Methods
4.1. General
4.2. Effects of Different Concentrations of N, P, K, Ca, and Mg in the Fertigation Solution on CDM (Expts B-#-f)
4.3. Foliar Application of Salt Solutions to Potted Cucumber Plants (Expts A-s 1 and B-s 1 to 3)
4.4. Foliar Application of Salt Solutions to Cucumber Plants Grown under Semi-Commercial Conditions (Expts A-SCs a and b)
4.5. Commercial-Like Net House Experiments (CL) to Test Fertigation through Irrigation and Spray
4.6. Pathogen and Disease
4.7. Element Analysis
4.8. Statistics
5. Conclusions
Author Contributions
Funding
Institutional Review Board Statement
Informed Consent Statement
Data Availability Statement
Acknowledgments
Conflicts of Interest
References
- Marschner, H. Marschner’s Mineral Nutrition of Higher Plants; Academic Press: London, UK, 2011. [Google Scholar]
- Marschner, H.; Rimmington, G. Mineral nutrition of higher plants. Plant Cell Environ. 1988, 11, 147–148. [Google Scholar]
- Dordas, C. Role of nutrients in controlling plant diseases in sustainable agriculture. A review. Agron. Sustain. Dev. 2008, 28, 33–46. [Google Scholar] [CrossRef] [Green Version]
- Graham, R.D.; Webb, M.J. Micronutrients and disease resistance and tolerance in plants. Micronutr. Agric. 1991, 2, 329–370. [Google Scholar]
- Huber, D.M.; Graham, R.D. Effects of nutrient stress on susceptibility of plants to disease with particular reference to the trace elements. Adv. Bot. Res. 1983, 10, 221–276. [Google Scholar]
- Walters, D.R.; Bingham, I.J. Influence of nutrition on disease development caused by fungal pathogens: Implications for plant disease control. Ann. Appl. Biol. 2007, 151, 307–324. [Google Scholar] [CrossRef]
- Elad, Y.; Barnea, D.; Rav-David, D.; Yermiyahu, U. Nutrient status of cucumber plants affects powdery mildew (Podosphaera xanthii). Plants 2021, 10, 2216. [Google Scholar] [CrossRef]
- Elad, Y.; Kleinman, Z.; Nisan, Z.; Rav-David, D.; Yermiyahu, U. Effects of calcium, magnesium and potassium on sweet basil downy mildew (Peronospora belbahrii). Agronomy 2021, 11, 688. [Google Scholar] [CrossRef]
- Elad, Y.; Nisan, Z.; Kleinman, Z.; Rav-David, D.; Yermiyahu, U. Effects of microelements on downy mildew (Peronospora belbahrii) of sweet basil. Plants 2021, 10, 1793. [Google Scholar] [CrossRef]
- Rav-David, D.; Yermiyahu, U.; Fogel, M.; Faingold, I.; Elad, Y. Plant nutrition for management of white mold in sweet basil. Phytoparasitica 2019, 47, 99–115. [Google Scholar] [CrossRef]
- Yermiyahu, U.; Israeli, L.; Rav-David, D.; Faingold, I.; Elad, Y. Higher potassium concentration in shoots reduces gray mold in sweet basil. Phytopathology 2015, 105, 1059–1068. [Google Scholar] [CrossRef]
- Elad, Y.; Nisan, Z.; Kleinman, Z.; Rav-David, D.; Yermiyahu, U. The effect of nitrogen and NH4+ fertilization on Peronospora belbahrii downy mildew of sweet basil. Phytoparasitica 2021, 49, 1013–1026. [Google Scholar] [CrossRef]
- Hoffland, E.; Jeger, M.J.; Van Beusichem, M.L. Effect of nitrogen supply rate on disease resistance in tomato depends on the pathogen. Plant Soil 2000, 218, 239–247. [Google Scholar] [CrossRef]
- Cohen, Y. Downy mildew of cucurbits. In The Downy Mildews; Spencer, D.M., Ed.; Academic Press: New York, NY, USA, 1981; pp. 341–354. [Google Scholar]
- Colucci, S.J.; Holmes, G.J. Downy Mildew of Cucurbits. Plant Health Instr. 2010. [Google Scholar] [CrossRef]
- McGrath, M.T.; Gugino, B.; Everts, K.; Rideout, S.; Kleczewski, N.; Wyenandt, A. Effectively Managing Cucurbit Downy Mildew in the Northeast and Mid-Atlantic Regions of the US in 2013. Penn State Extension. 2013. Available online: http://extension.psu.edu/plants/vegetable-fruit/news/2013/effectively-managing-cucurbit-downy-mildew-in-the-mid-atlantic-and-northeast-regions-in-2013 (accessed on 23 May 2021).
- Zitter, T.A.; Hopkins, D.L.; Thomas, C.E. Compendium of Cucurbit Diseases; American Phytopathological Society Press: St. Paul, MN, USA, 1996. [Google Scholar]
- Papadaki, A.A.; Markakis, G.; Ladomenou, K.; Goumas, D.; Magan, N. Effect of nitrogen fertilization on cucumber downy mildew. J. Appl. Hortic. 2019, 21, 31–36. [Google Scholar] [CrossRef]
- Reuveni, M.; Agapov, V.; Reuveni, R. Controlling powdery mildew caused by Sphaerotheca fuliginea in cucumber by foliar sprays of phosphate and potassium salts. Crop Prot. 1996, 15, 49–53. [Google Scholar] [CrossRef]
- Bains, S.S.; Jhooty, J.S. Relationship between mineral nutrition of muskmelon and development of downy mildew caused by Pseudoperonospora cubensis. Plant Soil 1978, 49, 85–90. [Google Scholar] [CrossRef]
- Rathore, B.S.; Pathak, V.N. Influence of host nutrition on downy mildew of blond psyllium. Indian Phytopathol. 2003, 56, 91–93. [Google Scholar]
- Ehetisham-ul-Haq, M.; Kamran, M.; Sahib, A.; Yaseen, M.; Faraz, A.M.; Abbas, H.; Chand, S.A.; Hameed, A.; Rashid, A.; Khan, Q.A.T.; et al. Nitrogen application accelerates the downy mildew disease severity with leaf age in canola plants. Arch. Phytopathol. Plant Protect. 2021, 54, 1569–1577. [Google Scholar] [CrossRef]
- Yunfei, J.; Caldwell, C.D. Effect of nitrogen fertilization on camelina seed yield, yield components, and downy mildew infection. Can. J. Plant Sci. 2016, 96, 17–26. [Google Scholar]
- Shama, S. Effect of different nutrition solution programs on reducing vegetables fungal diseases to produce high quality and safety vegetables products. Acta Hortic. 2006, 712, 527–534. [Google Scholar] [CrossRef]
- Tomesh, R.J.; Struckmeyer, B.E. Effect of nutrient stress on elemental concentrations and powdery mildew growth with cucumber. J. Am. Soc. Hortic. Sci. 1979, 104, 70–74. [Google Scholar]
- Yáñez Juárez, M.G.; Partida Ruvalcaba, L.; Zavaleta-Mejía, E.; Ayala Tafoya, F.; Velázquez Alcaraz, T.D.J.; Díaz Valdés, T. Mineral salts for control of powdery mildew (Oidium sp.) in cucumber. Rev. Mex. Cienc. Agrícolas 2016, 7, 1551–1561. [Google Scholar]
- Abdel-Kader, M.M.; El-Mougy, N.S.; Lashin, S.M. Biological and chemical resistance inducers approaches for controlling foliar diseases of some vegetables under protected cultivation system. J. Plant Pathol. Microbiol. 2013, 4, 200. [Google Scholar]
- Reuveni, M.; Agapov, V.; Reuveni, R. Suppression of cucumber powdery mildew (Sphaerotheca fuliginea) by foliar sprays of phosphate and potassium salts. Plant Pathol. 1995, 44, 31–39. [Google Scholar] [CrossRef]
- Reuveni, R.; Dor, G.; Raviv, M.; Reuveni, M.; Tuzun, S. Systemic resistance against Sphaerotheca fuliginea in cucumber plants exposed to phosphate in hydroponics system, and its control by foliar spray of mono-potassium phosphate. Crop Prot. 2000, 19, 355–361. [Google Scholar] [CrossRef]
- Napier, D.R.; Oosthuyse, S.A. Mono potassium phosphate (MKP) as part of an integrated pest management program to control powdery mildew. Deciduous Fruit Grow. 1999, 49, S1–S4. [Google Scholar]
- Geetha, H.M.; Shetty, H.S. Induction of resistance in pearl millet against downy mildew disease caused by Sclerospora graminicola using benzothiadiazole, calcium chloride and hydrogen peroxide—A comparative evaluation. Crop Prot. 2002, 21, 601–610. [Google Scholar] [CrossRef]
- Hamza, A.; Mohamed, A.; Derbalah, A. Chemical inducers for resistance induction against powdery mildew of cucumber under greenhouse conditions. Acta Phytopathol. Entomol. Hung. 2017, 52, 49–60. [Google Scholar] [CrossRef] [Green Version]
- Yu, Y.; Schjoerring, J.K.; Du, X. Effects of silicon on the activities of defense-related enzymes in cucumber inoculated with Pseudoperonospora cubensis. J. Plant Nutr. 2011, 34, 243–257. [Google Scholar] [CrossRef]
- Erel, R.; Dag, A.; Ben-Gal, A.; Schwartz, A.; Yermiyahu, U. Flowering and fruit-set of young olive (Olea europea L. cv. Barnea) trees in response to nitrogen, phosphorus and potassium. J. Am. Soc. Hort. Sci. 2008, 133, 639–647. [Google Scholar]
- Yermiyahu, U.; Zipori, I.; Faingold, I.; Yusopov., L.; Faust, N.; Bar-Tal, A. Polyhalite as a multi nutrient fertilizer—Potassium, magnesium, calcium and sulfate. Isr. J. Plant Sci. 2017, 64, 145–157. [Google Scholar]
- Snell, F.D.; Snell, C.T. Colorimetric methods of analysis including some turbidimetric and nephelometric methods. In Inorganic Chemistry; Van Nostrand Company: New York, NY, USA, 1949; Volume 2, pp. 1950–1971. [Google Scholar]
- Schachtman, D.P.; Shin, R. Nutrient sensing and signaling: NPKS. Annu. Rev. Plant Biol. 2006, 58, 47–69. [Google Scholar] [CrossRef] [PubMed]












| Site | Code | Growing Setting | Elements Tested | Application | Season |
|---|---|---|---|---|---|
| B | B-N-f | Pots | N | Fertigation (f) | All year |
| B | B-P-f | Pots | P | Fertigation | All year |
| B | B-K-f | Pots | K | Fertigation | All year |
| B | B-Ca-f | Pots | Ca (Cl) | Fertigation | All year |
| B | B-Mg-f | Pots | Mg (Cl) | Fertigation | All year |
| A | A-s1 | Pots | K2SO4, KCl, MgCl2, CaCl2 | Foliar (spray, “s”) | All year |
| B | B-s1 | Pots | NaCl | Foliar | All year |
| B | B-s2 | Pots | NaCl | Foliar | All year |
| B | B-s3 | Pots | MgSO4, MgCl2, K2SO4, KCl, NaCl | Foliar | All year |
| A | A-SCs-a | Large pots (semi-commercial) | MgCl2, CaCl2, K2SO4, MgCl2 + CaCl2 + K2SO4 | Foliar | Autumn–Winter |
| A | A-SCs-b | Large pots (semi-commercial) | Monopotassium phosphate (MKP), K2Ca2Mg(SO4)4·2(H2O) (polyhalite as polysulfate) | Foliar | Winter–Spring |
| C | CL1 | Boxes (commercial-like) | MgCl2 + K2SO4 | Fertigation and foliar | Spring |
| C | CL2 | Boxes (commercial-like) | MgCl2, K2SO4, MgCl2 + K2SO4, MKP | Foliar | Spring |
Publisher’s Note: MDPI stays neutral with regard to jurisdictional claims in published maps and institutional affiliations. |
© 2022 by the authors. Licensee MDPI, Basel, Switzerland. This article is an open access article distributed under the terms and conditions of the Creative Commons Attribution (CC BY) license (https://creativecommons.org/licenses/by/4.0/).
Share and Cite
Barnea, D.; Yermiyahu, U.; Rav-David, D.; Elad, Y. Effect of Mineral Nutrition and Salt Spray on Cucumber Downy Mildew (Pseudoperonospora cubensis). Plants 2022, 11, 1007. https://doi.org/10.3390/plants11081007
Barnea D, Yermiyahu U, Rav-David D, Elad Y. Effect of Mineral Nutrition and Salt Spray on Cucumber Downy Mildew (Pseudoperonospora cubensis). Plants. 2022; 11(8):1007. https://doi.org/10.3390/plants11081007
Chicago/Turabian StyleBarnea, Dor, Uri Yermiyahu, Dalia Rav-David, and Yigal Elad. 2022. "Effect of Mineral Nutrition and Salt Spray on Cucumber Downy Mildew (Pseudoperonospora cubensis)" Plants 11, no. 8: 1007. https://doi.org/10.3390/plants11081007
APA StyleBarnea, D., Yermiyahu, U., Rav-David, D., & Elad, Y. (2022). Effect of Mineral Nutrition and Salt Spray on Cucumber Downy Mildew (Pseudoperonospora cubensis). Plants, 11(8), 1007. https://doi.org/10.3390/plants11081007

