Photoperiod Affects Node Appearance Rate and Flowering in Early Maturing Soybean
Abstract
:1. Introduction
2. Results and Discussion
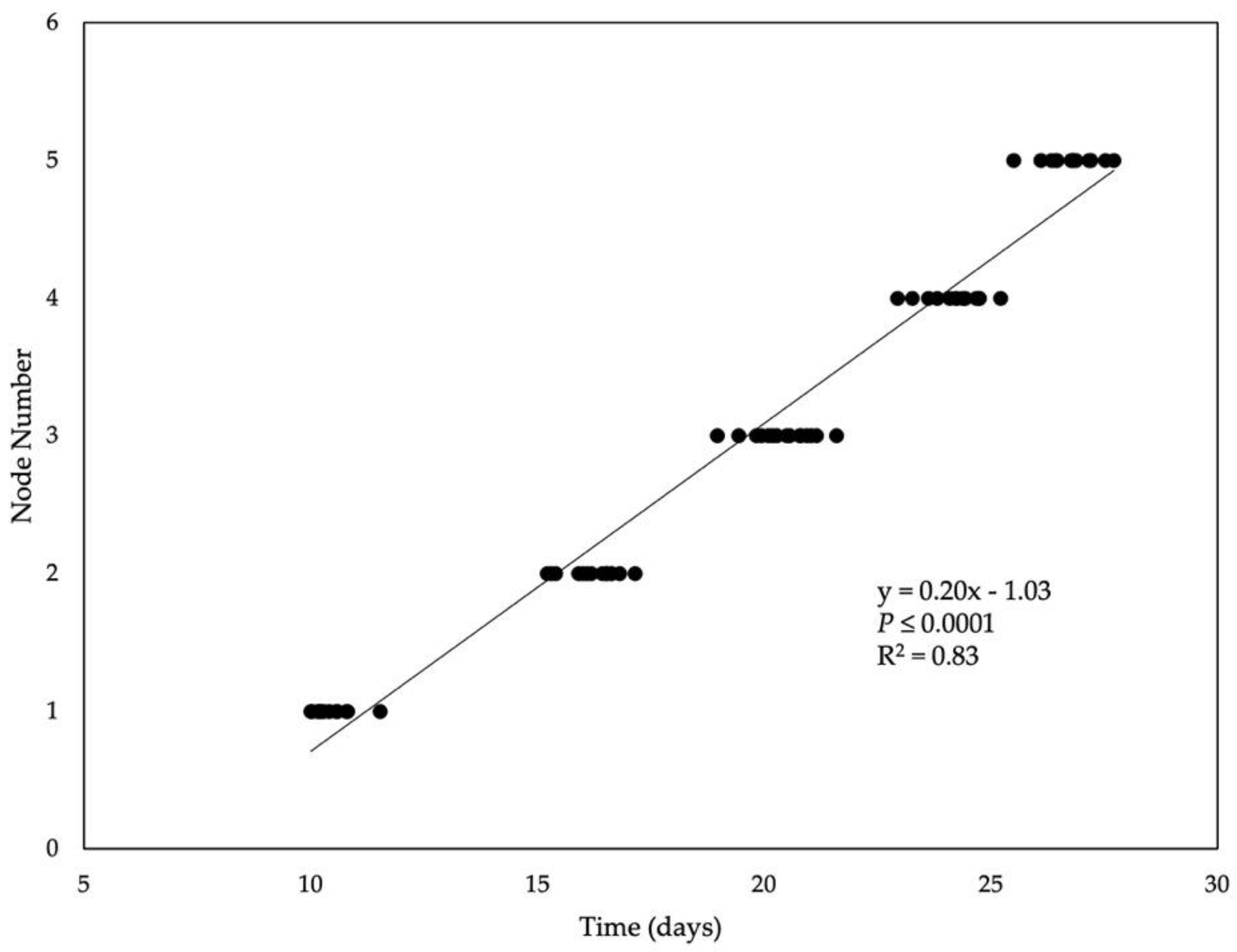
2.1. Node Appearance Rate
2.2. Plant Development Rate and Time to Flowering
2.3. R1 Node Number
3. Conclusions
4. Materials and Methods
Author Contributions
Funding
Institutional Review Board Statement
Informed Consent Statement
Data Availability Statement
Acknowledgments
Conflicts of Interest
References
- Thomas, J.F.; Raper, C.D. Photoperiod and Temperature Regulation of Floral Initiation and Anthesis in Soya Bean. Ann. Bot. 1983, 51, 481–489. [Google Scholar] [CrossRef]
- Zhang, L.X.; Kyei-Boahen, S.; Zhang, J.; Zhang, M.H.; Freeland, T.B.; Watson, C.E.; Liu, X. Modifications of Optimum Adaptation Zones for Soybean Maturity Groups in the USA. Crop Manag. 2007, 6, 1–11. [Google Scholar] [CrossRef]
- Major, D.J.; Johnson, D.R.; Tanner, J.W.; Anderson, I.C. Effects of Daylength and Temperature on Soybean Development. Crop Sci. 1975, 15, 174. [Google Scholar] [CrossRef]
- Purcell, L.C.; Salmeron, M.; Ashlock, L. Soybean Growth and Development. In The Soybean: Botany, Production and Uses; CABI: Wallingford, CT, USA, 2014; pp. 48–73. ISBN 9781845936440. [Google Scholar]
- Cober, E.R.; Stewart, D.W.; Voldeng, H.D. Photoperiod and Temperature Responses in Early-Maturing, Near-Isogenic Soybean Lines. Crop Sci. 2001, 41, 721. [Google Scholar] [CrossRef]
- Taiz, L.; Zeiger, E. Plant Physiology, 5th ed.; Sinauer Associates Inc.: Sunderland, MA, USA, 2010; Volume 1, ISBN 9780878938667. [Google Scholar]
- Samanfar, B.; Molnar, S.J.; Charette, M.; Schoenrock, A.; Dehne, F.; Golshani, A.; Belzile, F.; Cober, E.R. Mapping and identification of a potential candidate gene for a novel maturity locus, E10, in soybean. Theor. Appl. Genet. 2017, 130, 377–390. [Google Scholar] [CrossRef] [PubMed]
- Cober, E.R.; Molnar, S.J.; Charette, M.; Voldeng, H.D. A New Locus for Early Maturity in Soybean. Crop Sci. 2010, 50, 524–527. [Google Scholar] [CrossRef]
- Cao, D.; Takeshima, R.; Zhao, C.; Liu, B.; Jun, A.; Kong, F. Molecular mechanisms of flowering under long days and stem growth habit in soybean. J. Exp. Bot. 2016, 68, erw394. [Google Scholar] [CrossRef] [Green Version]
- Bonato, E.R.; Vello, N.A. E6, a Dominant Gene Conditioning Early Flowering and Maturity in Soybeans. Genet. Mol. Biol. 1999, 22, 229–232. [Google Scholar] [CrossRef] [Green Version]
- Jiang, B.; Nan, H.; Gao, Y.; Tang, L.; Yue, Y.; Lu, S.; Ma, L.; Cao, D.; Sun, S.; Wang, J.; et al. Allelic combinations of soybean maturity loci E1, E2, E3 and E4 result in diversity of maturity and adaptation to different latitudes. PLoS ONE 2014, 9, e106042. [Google Scholar] [CrossRef]
- Stewart, D.W.; Cober, E.R.; Bernard, R.L. Modeling Genetic Effects on the Photothermal Response of Soybean Phenological Development. Agron. J. 2003, 95, 65. [Google Scholar] [CrossRef]
- Xia, Z.; Watanabe, S.; Yamada, T.; Tsubokura, Y.; Nakashima, H.; Zhai, H.; Anai, T.; Sato, S.; Yamazaki, T.; Lu, S.; et al. Positional cloning and characterization reveal the molecular basis for soybean maturity locus E1 that regulates photoperiodic flowering. Proc. Natl. Acad. Sci. USA 2012, 109, E2155–E2164. [Google Scholar] [CrossRef] [PubMed] [Green Version]
- Tenorio, F.M.; Specht, J.E.; Arkebauer, T.J.; Eskridge, K.M.; Graef, G.L.; Grassini, P. Co-ordination between primordium formation and leaf appearance in soybean (Glycine max) as influenced by temperature. Field Crop. Res. 2017, 210, 197–206. [Google Scholar] [CrossRef]
- Major, D.J.; Brown, D.M.; Bootsma, A.; Dupuis, G.; Fairey, N.A.; Grant, E.A.; Green, D.G.; Hamilton, R.I.; Langille, J.; Sonmor, L.G.; et al. An Evaluation of the Corn Heat Unit System for the Short Season Growing Regions Across Canada. Can. J. Plant Sci. 1983, 63, 121–139. [Google Scholar] [CrossRef]
- Fehr, W.R.; Caviness, C.E. Stages of Soybean Development; Special Report; Iowa State University: Ames, IA, USA, 1977. [Google Scholar]
- Garner, W.W.; Allard, H.A. Effect of the Relative Length of Day and Night and other factors of the environment on growth and reproduction in plants. J. Agric. Res. 1920, 18, 553–606. [Google Scholar] [CrossRef]
- Bastidas, A.M.; Setiyono, T.D.; Dobermann, A.; Cassman, K.G.; Elmore, R.W.; Graef, G.L.; Specht, J.E. Soybean Sowing Date: The Vegetative, Reproductive, and Agronomic Impacts. Crop Sci. 2008, 48, 727–740. [Google Scholar] [CrossRef] [Green Version]
- Fehr, W.R.; Caviness, C.E.; Burmood, D.T.; Pennington, J.S. Stage of Development Descriptions for Soybeans, Glycine max (L.) Merrill. Crop Sci. 1971, 11, 929–931. [Google Scholar] [CrossRef]
- Frederick, J.R.; Woolley, J.T.; Hesketh, J.D.; Peters, D.B. Phenological responses of old and modern soybean cultivars to air temperature and soil moisture treatment. Field Crop. Res. 1989, 21, 9–18. [Google Scholar] [CrossRef]
- Sinclair, T.R.; Neumaier, N.; Farias, J.R.B.; Nepomuceno, A.L. Comparison of vegetative development in soybean cultivars for low-latitude environments. Field Crop. Res. 2005, 92, 53–59. [Google Scholar] [CrossRef]
- Grimm, S.S.; Jones, J.W.; Boote, K.J.; Hesketh, J.D. Parameter estimation for predicting flowering date of soybean cultivars. Crop Sci. 1993, 33, 137–144. [Google Scholar] [CrossRef]
- Piper, E.L.; Smit, M.A.; Boote, K.J.; Jones, J.W. The role of daily minimum temperature in modulating the development rate to flowering in soybean. Field Crop. Res. 1996, 47, 211–220. [Google Scholar] [CrossRef]
- Hesketh, J.D.; Myhre, D.L.; Willey, C.R. Temperature Control of Time Intervals Between Vegetative and Reproductive Events in Soybeans. Crop Sci. 1973, 13, 250–254. [Google Scholar] [CrossRef]
- Thomas, J.F.; Raper, D. Photoperiod Effects on Soybean Growth during the Onset of Reproductive Development under Various Temperature Regimes. Bot. Gaz. 1983, 144, 471–476. [Google Scholar] [CrossRef]
- Tenorio, F.A.M. Temperature Control of Node Appearance and Initiation in Soybean; University of Nebraska—Lincoln: Lincoln, NE, USA, 2016. [Google Scholar]
- Nico, M.; Miralles, D.J.; Kantolic, A.G. Post-flowering photoperiod and radiation interaction in soybean yield determination: Direct and indirect photoperiodic effects. Field Crop. Res. 2015, 176, 45–55. [Google Scholar] [CrossRef]
- Kumudini, S.V.; Pallikonda, P.K.; Steele, C. Photoperiod and E-genes Influence the Duration of the Reproductive Phase in Soybean. Crop Sci. 2007, 47, 1510–1517. [Google Scholar] [CrossRef]
- Cober, E.R.; Tanner, J.W.; Voldeng, H.D. Soybean photoperiod-sensitivity loci respond differentially to light quality. Crop Sci. 1996, 36, 606–610. [Google Scholar] [CrossRef]
- Salmerón, M.; Purcell, L.C. Simplifying the prediction of phenology with the DSSAT-CROPGRO-soybean model based on relative maturity group and determinacy. Agric. Syst. 2016, 148, 178–187. [Google Scholar] [CrossRef] [Green Version]
- Câmara, G.M.S.; Sediyama, T.; Dourado-Neto, D.; Bernardes, M.S. Influence of photoperiod and air temperature on the growth, flowering and maturation of soybean (Glycine max (L.) Merrill). Sci. Agric. 1997, 54, 149–154. [Google Scholar] [CrossRef]
- Tsubokura, Y.; Watanabe, S.; Xia, Z.; Kanamori, H.; Yamagata, H.; Kaga, A.; Katayose, Y.; Abe, J.; Ishimoto, M.; Harada, K. Natural variation in the genes responsible for maturity loci E1, E2, E3 and E4 in soybean. Ann. Bot. 2014, 113, 429–441. [Google Scholar] [CrossRef] [Green Version]
- Kumudini, S. Soybean Growth and Development. In The Soybean Botany, Production and Uses; Singh, G., Ed.; CAB International: Oxfordshire, UK, 2010; p. 507. ISBN 9781845936440. [Google Scholar]
- Day, R.W.; Quinn, G.P. Comparison of Treatments After an Analysis of Variance in Ecology. Ecol. Monogr. 1989, 59, 433–463. [Google Scholar] [CrossRef]



| Fixed Effect | p-Value |
|---|---|
| Node Number | <0.0001 |
| Cultivar | 0.0237 |
| Cultivar × Node Number | 0.0003 |
| Photoperiod | <0.0001 |
| Photoperiod × Node Number | 0.0023 |
| Photoperiod × Cultivar | 0.9827 |
| Photoperiod × Cultivar × Node Number | 0.4312 |
| Fixed Effect | MG | NdAR | ||
|---|---|---|---|---|
| 1/h of Daylight | ||||
| Cultivar | Maple Presto | 000.9 | 0.018 | ab † |
| 90A01 | 00.0 | 0.019 | ab | |
| Maple Ridge | 00.3 | 0.018 | ab | |
| Alta | 00.4 | 0.019 | ab | |
| Montcalm | 00.7 | 0.018 | ab | |
| Maple Arrow | 00.9 | 0.019 | ab | |
| OAC Carmen | 00.9 | 0.016 | b | |
| AAC Melika | 0.0 | 0.017 | ab | |
| Roland | 0.0 | 0.018 | ab | |
| Rodeo | 0.3 | 0.018 | ab | |
| 9063 | 0.5 | 0.018 | ab | |
| Dundas | 0.8 | 0.019 | ab | |
| CeryxRR | 1.3 | 0.020 | a | |
| Node Number | 2 | 0.012 | a | |
| 3 | 0.018 | b | ||
| 4 | 0.019 | c | ||
| 5 | 0.024 | d | ||
| Photoperiod | 14 | 0.021 | a | |
| 15 | 0.019 | b | ||
| 16 | 0.017 | c | ||
| 17 | 0.016 | c | ||
| Regression Equation | Flowering Genotype | ||||||||
|---|---|---|---|---|---|---|---|---|---|
| Cultivar | MG | Slope | Slope SE | y-Intercept | R2 | E1-e1 | E2-e2 | E3-e3 | E4-e4 |
| M. Presto | 000.9 | −0.00015 | 0.00003 | 0.00533 | 0.49 | e1-nl | e2 | e3-tr | e4 sore |
| 90A01 | 00.0 | −0.00016 | 0.00005 | 0.00542 | 0.28 | e1-fs | e2 | e3-tr | E4 |
| OAC Carmen | 00.9 | −0.00021 | 0.00003 | 0.00601 | 0.66 | e1-nl | E2 | e3 | e4 |
| M. Ridge | 00.3 | −0.00022 | 0.00003 | 0.00623 | 0.59 | e1-nl | e2 | e3-tr | E4 |
| Alta | 00.4 | −0.00022 | 0.00004 | 0.00636 | 0.59 | e1-nl | e2 | e3-tr | e4 |
| AAC Malika | 0.0 | −0.00023 | 0.00004 | 0.00651 | 0.60 | e1-fs | E2 | e3 | E4 |
| 9063 | 0.5 | −0.00023 | 0.00004 | 0.00636 | 0.60 | e1-as | E2 | e3-tr | e4 sore |
| Montcalm | 00.7 | −0.00025 | 0.00004 | 0.00694 | 0.62 | e1-fs | e2 | e3-tr | E4 |
| Roland | 0.0 | −0.00031 | 0.00003 | 0.00766 | 0.74 | e1-fs | e2 | E3 | E4 |
| M. Arrow | 00.9 | −0.00031 | 0.00004 | 0.00751 | 0.71 | e1-nl | e2 | E3 | e4 |
| Rodeo | 0.3 | −0.00033 | 0.00004 | 0.00788 | 0.76 | e1-fs | e2 | E3 | E4 |
| Dundas | 0.8 | −0.00034 | 0.00004 | 0.00814 | 0.77 | e1-fs | E2 | E3 | e4 |
| CeryxRR | 1.3 | −0.00036 | 0.00004 | 0.00846 | 0.80 | e1-fs | E2 | E3 | E4e4 (H) |
Publisher’s Note: MDPI stays neutral with regard to jurisdictional claims in published maps and institutional affiliations. |
© 2022 by the authors. Licensee MDPI, Basel, Switzerland. This article is an open access article distributed under the terms and conditions of the Creative Commons Attribution (CC BY) license (https://creativecommons.org/licenses/by/4.0/).
Share and Cite
Ort, N.W.W.; Morrison, M.J.; Cober, E.R.; Samanfar, B.; Lawley, Y.E. Photoperiod Affects Node Appearance Rate and Flowering in Early Maturing Soybean. Plants 2022, 11, 871. https://doi.org/10.3390/plants11070871
Ort NWW, Morrison MJ, Cober ER, Samanfar B, Lawley YE. Photoperiod Affects Node Appearance Rate and Flowering in Early Maturing Soybean. Plants. 2022; 11(7):871. https://doi.org/10.3390/plants11070871
Chicago/Turabian StyleOrt, Nathaniel W. W., Malcolm J. Morrison, Elroy R. Cober, Bahram Samanfar, and Yvonne E. Lawley. 2022. "Photoperiod Affects Node Appearance Rate and Flowering in Early Maturing Soybean" Plants 11, no. 7: 871. https://doi.org/10.3390/plants11070871
APA StyleOrt, N. W. W., Morrison, M. J., Cober, E. R., Samanfar, B., & Lawley, Y. E. (2022). Photoperiod Affects Node Appearance Rate and Flowering in Early Maturing Soybean. Plants, 11(7), 871. https://doi.org/10.3390/plants11070871

