Image Analysis of Adventitious Root Quality in Wild Sage and Glossy Abelia Cuttings after Application of Different Indole-3-Butyric Acid Concentrations
Abstract
:1. Introduction
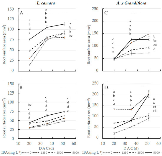
2. Results
3. Discussion
4. Materials and Methods
4.1. Plant Materials and Rooting Environment
4.2. Experimental Design
- (i)
- Four IBA concentrations: 0 (control), 1250, 2500 and 5000 mg L−1 (Sigma, St. Louis, MO, USA); control (0 mg L−1 IBA) cuttings were soaked in distilled water;
- (ii)
- Two cultivars: ‘Little Lucky’ (marked as cv1) and ‘Yellow’ (cv2) from Lantana and ‘Canyon Creek’ (cv1) and ‘Eduard Goucher’ (cv2) from Abelia.
4.3. Rooting Ability Measurements
4.4. Root Image Analysis
4.5. Statistical Analysis
5. Conclusions
- (i)
- Stem cutting propagation in early autumn is possible;
- (ii)
- IBA application is not needed to enhance rooting ability;
- (iii)
- IBA concentration is an important factor determining the best overall AR quality in both taxa;
- (iv)
- In wild sage cv1 (‘Little Lucky’), 5000 mg L−1 IBA improved AR quality by increasing root number, length, surface area and number of forks and crossings; cv2 (‘Yellow’) did not perform as well as cv1;
- (v)
- In glossy abelia cv2 (‘Edouard Goucher’), 5000 mg L−1 IBA increased the root number, but only 1250 mg L−1 IBA was needed to improve AR quality; cv1 (‘Canyon Creek’) did not perform as well as cv2.
Author Contributions
Funding
Institutional Review Board Statement
Informed Consent Statement
Data Availability Statement
Acknowledgments
Conflicts of Interest
References
- Hartmann, H.T.; Kester, D.E.; Davies, F.T.; Geneve, R.L. Plant Propagation: Principles and Practices; Prentice Hall: Upper Saddle River, NJ, USA, 2003; p. 772. [Google Scholar]
- Winkelmann, T. Recent advances in propagation of woody plants. Acta Hortic. 2013, 990, 375–381. [Google Scholar] [CrossRef]
- Maghdouri, M.; Ghasemnezhad, M.; Rabiei, B.; Golmohammadi, M.; Atak, A. Optimizing Seed Germination and Seedling Growth in Different Kiwifruit Genotypes. Horticulturae 2021, 7, 314. [Google Scholar] [CrossRef]
- Cafourek, J.; Maděra, P.; Střítecký, J.; Adolt, R.; Smola, M. Experimental Examination of Vegetative Propagation Methods of Nothofagus antarctica (G. Forst.) Oerst. for Restoration of Fire-Damaged Forest in Torres del Paine National Park, Chile. Forests 2021, 12, 1238. [Google Scholar] [CrossRef]
- Kentelky, E.; Jucan, D.; Cantor, M.; Szekely-Varga, Z. Efficacy of Different Concentrations of NAA on Selected Ornamental Woody Shrubs Cuttings. Horticulturae 2021, 7, 464. [Google Scholar] [CrossRef]
- Tsaktsira, M.; Chavale, E.; Kostas, S.; Pipinis, E.; Tsoulpha, P.; Hatzilazarou, S.; Ziogou, F.-T.; Nianiou-Obeidat, I.; Iliev, I.; Economou, A.; et al. Vegetative Propagation and ISSR-Based Genetic Identification of Genotypes of Ilex aquifolium ‘Agrifoglio Commune’. Sustainability 2021, 13, 10345. [Google Scholar] [CrossRef]
- Braun, L.; Wyse, D. Optimizing IBA Concentration and Stem and Segment Size for Rooting of Hybrid Hazelnuts from Hardwood Stem Cuttings. J. Environ. Hortic. 2019, 37, 1–8. [Google Scholar] [CrossRef]
- Baron, D.; Amaro, A.C.E.; Pina, A.; Ferreira, G. An overview of grafting re-establishment in woody fruit species. Sci. Hortic. 2019, 243, 84–91. [Google Scholar] [CrossRef] [Green Version]
- Rasool, A.; Mansoor, S.; Bhat, K.M.; Hassan, G.I.; Baba, T.R.; Alyemeni, M.N.; Alsahli, A.A.; El-Serehy, H.A.; Paray, B.A.; Ahmad, P. Mechanisms underlying graft union formation and rootstock scion interaction in horticultural plants. Front. Plant Sci. 2020, 11, 1778. [Google Scholar] [CrossRef]
- Lesmes-Vesga, R.A.; Chaparro, J.X.; Sarkhosh, A.; Ritenour, M.A.; Cano, L.M.; Rossi, L. Effect of Propagation Systems and Indole-3-Butyric Acid Potassium Salt (K-IBA) Concentrations on the Propagation of Peach Rootstocks by Stem Cuttings. Plants 2021, 10, 1151. [Google Scholar] [CrossRef]
- Gianguzzi, V.; Barone, E.; Sottile, F. In Vitro rooting of Capparis spinosa L. as affected by genotype and by the proliferation method adopted during the multiplication phase. Plants 2020, 9, 398. [Google Scholar] [CrossRef] [Green Version]
- Park, H.Y.; Kim, K.-S.; Ak, G.; Zengin, G.; Cziáky, Z.; Jekő, J.; Adaikalam, K.; Song, K.; Kim, D.H.; Sivanesan, I. Establishment of a rapid micropropagation system for Kaempferia parviflora wall. Ex Baker: Phytochemical analysis of leaf extracts and evaluation of biological activities. Plants 2021, 10, 698. [Google Scholar] [CrossRef] [PubMed]
- Read, P.E. Tough nuts to crack: Advances in micropropagation of woody species. In V International Symposium on Acclimatization and Establishment of Micropropagated Plants; International Society for Horticultural Science: Leuven, Belgium, 2011; Volume 988, pp. 115–122. [Google Scholar]
- Díaz-Sala, C. Molecular dissection of the regenerative capacity of forest tree species: Special focus on conifers. Front. Plant Sci. 2019, 9, 1943. [Google Scholar] [CrossRef] [PubMed] [Green Version]
- Kaviani, B.; Negahdar, N. Propagation, micropropagation and cryopreservation of Buxus hyrcana Pojark., an endangered ornamental shrub. S. Afr. J. Bot. 2017, 111, 326–335. [Google Scholar] [CrossRef]
- Druege, U.; Hilo, A.; Perez-Perez, J.M.; Klopotek, Y.; Acosta, M.; Shahinnia, F.; Zerche, S.; Franken, P.; Hajirezaei, M.R. Molecular and physiological control of adventitious rooting in cuttings: Phytohormone action meets resource allocation. Ann. Bot. 2019, 123, 929–949. [Google Scholar] [CrossRef] [Green Version]
- Ross, S.; Speroni, G.; Souza-Pérez, M.; Ávila, N.; Pietro, F.; González, A.M.; Speranza, P. Stem-cutting anatomy and biochemical responses associated with competence for adventitious root differentiation in Acca sellowiana (Myrtaceae). Trees 2021, 35, 1221–1232. [Google Scholar] [CrossRef]
- Assis, T.F.; Fett-Neto, A.G.; Alfenas, A.C. Current techniques and prospects for the clonal propagation of hardwoods with emphasis on Eucalyptus. In Plantation Forest Biotechnology for the 21st Century; Walter, C., Carson, M., Eds.; Research Signpost: Trivandrum, India, 2004; pp. 303–333. [Google Scholar]
- Oinam, G.; Yeung, E.; Kurepin, L.; Haslam, T.; Lopez-Villalobos, A. Adventitious root formation in ornamental plants: I. General overview and recent successes. Propag. Ornam. Plants 2011, 11, 78–90. [Google Scholar]
- Geiss, G.; Gutierrez, L.; Bellini, C. Adventitious Root Formation: New Insights and Perspectives; Wiley-Blackwell: Hoboken, NJ, USA, 2009. [Google Scholar]
- Atkinson, D. Root characteristics: Why and what to measure. In Root Methods: A Handbook; Smit, A.L., Bengough, A.G., Engels, C., van Noordwijk, M., Pellerin, S., van de Geijn, S.C., Eds.; Springer: Berlin, Germany, 2000; pp. 175–210. [Google Scholar]
- Franco, J.A.; Bañón, S.; Vicente, M.J.; Miralles, J.; Martínezsánchez, J.J. Review article: Root development in horticultural plants grown under abiotic stress conditions—A review. J. Hortic. Sci. Biotechnol. 2011, 86, 543–556. [Google Scholar] [CrossRef]
- Khan, M.A.; Gemenet, D.C.; Villordon, A. Root system architecture and abiotic atress tolerance: Current knowledge in root and tuber crops. Front. Plant Sci. 2016, 7, 1584. [Google Scholar] [CrossRef] [Green Version]
- Koevoets, I.T.; Venema, J.H.; Elzenga, J.T.; Testerink, C. Roots Withstanding their Environment: Exploiting Root System Architecture Responses to Abiotic Stress to Improve Crop Tolerance. Front. Plant Sci. 2016, 7, 1335. [Google Scholar] [CrossRef] [Green Version]
- Dirr, M.A. Effects of P-ITB and IBA on the Rooting Response of 19 Landscape Taxa. J. Environ. Hortic. 1990, 8, 83–85. [Google Scholar] [CrossRef]
- Díaz-Sala, C. Adventitious Root Formation in Tree Species. Plants 2021, 10, 486. [Google Scholar] [CrossRef] [PubMed]
- Justamante, M.S.; Acosta-Motos, J.R.; Cano, A.; Villanova, J.; Birlanga, V.; Albacete, A.; Cano, E.Á.; Acosta, M.; Pérez-Pérez, J.M. Integration of phenotype and hormone data during adventitious rooting in carnation (Dianthus caryophyllus L.) stem cuttings. Plants 2019, 8, 226. [Google Scholar] [CrossRef] [PubMed] [Green Version]
- Pacholczak, A.; Szydło, W.; Łukaszewska, A. The effect of etiolation and shading of stock plants on rhizogenesis in stem cuttings of Cotinus coggygria. Acta Physiol. Plant. 2005, 27, 417–428. [Google Scholar] [CrossRef]
- Brickell, C. A–Z Encyclopedia Garden Plants, 1st ed.; DK ADULT: New York, NY, USA, 2002. [Google Scholar]
- Rutter, J.M. Paclobutrazol application method influences growth and flowering of ‘New Gold’ lantana. HortTechnology 1996, 6, 19–20. [Google Scholar] [CrossRef] [Green Version]
- Scheiber, S.M.; Robacker, C.D. Interspecific hybridization in Abelia. In XXVI International Horticultural Congress: Nursery Crops; Development, Evaluation, Production and Use; International Society for Horticultural Science: Leuven, Belgium, 2002; Volume 630, pp. 71–76. [Google Scholar]
- Landrein, S.; Buerki, S.; Wang, H.F.; Clarkson, J.J. Untangling the reticulate history of species complexes and horticultural breeds in Abelia (Caprifoliaceae). Ann. Bot. 2017, 120, 257–269. [Google Scholar] [CrossRef] [Green Version]
- Learn, Garden & Reflect with Cornell Garden-Based Learning. Available online: http://www.gardening.cornell.edu/ (accessed on 29 October 2021).
- Environmental Horticulture. Available online: https://hort.ifas.ufl.edu/database/lppi/sp001.shtml (accessed on 29 October 2021).
- Blythe, E.K.; Sibley, J.L.; Tilt, K.M.; Ruter, J.M. Foliar application of auxin for rooting stem cuttings of selected ornamental crops. J. Environ. Hortic. 2003, 21, 131–136. [Google Scholar] [CrossRef]
- Lei, C.; Fan, S.; Li, K.; Meng, Y.; Mao, J.; Han, M.; Zhao, C.; Bao, L.; Zhang, D. iTRAQ-based proteomic analysis reveals potential regulation networks of IBA-induced adventitious root formation in apple. Int. J. Mol. Sci. 2018, 19, 667. [Google Scholar] [CrossRef] [Green Version]
- Li, S.W.; Xue, L.; Xu, S.; Feng, H.; An, L. Mediators, genes and signaling in adventitious rooting. Bot. Rev. 2009, 75, 230–247. [Google Scholar] [CrossRef]
- Della Rovere, F.; Fattorini, L.; D’Angeli, S.; Veloccia, A.; Falasca, G.; Altamura, M.M. Auxin and cytokinin control formation of the quiescent centre in the adventitious root apex of Arabidopsis. Ann. Bot. 2013, 112, 1395–1407. [Google Scholar] [CrossRef] [Green Version]
- Amri, E.; Lyaruu, H.V.M.; Nyomora, A.S.; Kanyeka, Z.L. Vegetative propagation of African Blackwood (Dalbergia melanoxylon Guill. & Perr.): Effects of age of donor plant, IBA treatment and cutting position on rooting ability of stem cuttings. New For. 2010, 39, 183–194. [Google Scholar] [CrossRef]
- Christiaens, A.; Gobin, B.; Huylenbroeck, J.V.; Labeke, M.V. Adventitious rooting of Chrysanthemum is stimulated by a low red: Far-red ration. J. Plant Physiol. 2019, 236, 117–123. [Google Scholar] [CrossRef]
- Salazar-Villa, E.; Angulo-Escalante, M.; Castro-Valenzuela, J.; Báez-Parra, K.; Soriano-Melgar, L.; Soto-Landeros, F. Rooting of Stem Cuttings of Jatropha platyphylla (Euphorbiaceae) in the Obtaining of Axillary Buds for Grafting. Am. J. Plant Sci. 2021, 12, 1880–1893. [Google Scholar] [CrossRef]
- Štefančič, M.; Štampar, F.; Veberič, R.; Osterc, G. The levels of IAA, IAAsp and some phenolics in cherry rootstock ‘GiSelA 5′ leafy cuttings pretreated with IAA and IBA. Sci. Hortic. 2007, 112, 399–405. [Google Scholar] [CrossRef]
- Galavi, M.; Karimian, M.A.; Mousavi, S.R. Effects of different auxin (IBA) concentrations and planting-beds on rooting grape cuttings (Vitis vinifera). Annu. Res. Rev. Biol. 2013, 3, 517–523. [Google Scholar]
- Daskalakis, I.; Biniari, K.; Bouza, D.; Stavrakaki, M. The effect that indolebutyric acid (IBA) and position of cane segment have on the rooting of cuttings from grapevine rootstocks and from Cabernet franc (Vitis vinifera L.) under conditions of a hydroponic culture system. Sci. Hortic. 2018, 227, 79–84. [Google Scholar] [CrossRef]
- Šípošová, K.; Labancová, E.; Kučerová, D.; Kollárová, K.; Vivodová, Z. Effects of Exogenous Application of Indole-3-Butyric Acid on Maize Plants Cultivated in the Presence or Absence of Cadmium. Plants 2021, 10, 2503. [Google Scholar] [CrossRef] [PubMed]
- Trigiano, R.N.; Boggess, S.L.; Wyman, C.R.; Hadziabdic, D.; Wilson, S. Propagation Methods for the Conservation and Preservation of the Endangered Whorled Sunflower (Helianthus verticillatus). Plants 2021, 10, 1565. [Google Scholar] [CrossRef]
- Dawa, S.; Rather, Z.A.; Sheikh, M.Q.; Nazki, N.T.; Hussain, A. Influence of growth regulators on rhizogenesis in semi-hardwood cuttings of some cut flower roses. Appl. Biol. Res. 2013, 15, 97–103. [Google Scholar]
- Naderi Samani, E.; Jabbarzadeh, Z.; Ghobadi, C. Micropropagation of Lantana camara Through Axillary Shoots Proliferation. J. Ornam. Plants 2016, 6, 217–223. [Google Scholar]
- Márquez, G.; Alarcón, M.V.; Salguero, J. Differential responses of primary and lateral roots to indole-3-acetic acid, indole-3-butyric acid, and 1-naphthaleneacetic acid in maize seedlings. Biol. Plant. 2016, 60, 367–375. [Google Scholar] [CrossRef]
- Holik, L.; Volánek, J.; Vranová, V. Effect of Plant Growth Regulators on Protease Activity in Forest Floor of Norway Spruce Stand. Forests 2021, 12, 665. [Google Scholar] [CrossRef]
- Kim, S.H.; Kim, J.H.; Oh, H.J.; Kim, S.Y.; Suh, G.U. Vegetative propagation of Veronica dahurica and Veronica pusanensis by stem cuttings with auxins. Rhizosphere 2021, 17, 100315. [Google Scholar] [CrossRef]
- Caruso, T.; Mafrica, R.; Bruno, M.; Vescio, R.; Sorgonà, A. Root architectural traits of rooted cuttings of two fig cultivars: Treatments with arbuscular mycorrhizal fungi formulation. Sci. Hortic. 2021, 283, 110083. [Google Scholar] [CrossRef]
- Böhm, W. Methods of Studying Root Systems; Springer Science and Business Media: Heidelberg, Germany, 2012. [Google Scholar]



| TMTS | Roots Per Cutting (No.) | |||
|---|---|---|---|---|
| L. camara | A. x grandiflora | |||
| IBA (mg L−1) | cv1 | cv2 | cv1 | cv2 |
| 0 | 3.0 ± 0.3 d | 7.6 ± 1.2 c | 6.6 ± 0.9 d | 1.3 ± 0.3 e |
| 1250 | 9.0 ± 0.6 bc | 7.3 ± 0.7 c | 9.3 ± 1.3 d | 11.7 ± 1.2 c |
| 2500 | 6.0 ± 0.6 c | 11.0 ± 0.6 b | 6.3 ± 0.9 d | 23.0 ± 1.7 b |
| 5000 | 15.0 ± 0.6 a | 17.0 ± 1.1 a | 19.6 ± 0.7 b | 27.0 ± 1.5 a |
| TMTS | Root Diameter (mm) | |||
|---|---|---|---|---|
| L. camara | A. x grandiflora | |||
| IBA (mg L−1) | cv1 | cv2 | cv1 | cv2 |
| 0 | 0.41 ± 0.03 a | 0.33 ± 0.02 a | 0.40 ± 0.03 cd | 0.44 ± 0.02 cd |
| 1250 | 0.49 ± 0.05 a | 0.43 ± 0.02 a | 0.49 ± 0.02 bc | 0.37 ± 0.03 d |
| 2500 | 0.46 ± 0.02 a | 0.33 ± 0.01 a | 0.51 ± 0.01 b | 0.41 ± 0.03 cd |
| 5000 | 0.42 ± 0.01 a | 0.35 ± 0.02 a | 0.57 ± 0.03 a | 0.54 ± 0.02 a |
| TMTS | Root Tips (No.) | |||||||||||
|---|---|---|---|---|---|---|---|---|---|---|---|---|
| DAC | ||||||||||||
| 20 | 35 | 50 | 20 | 35 | 50 | |||||||
| L. camara | A. x grandiflora | |||||||||||
| IBA (mg L−1) | cv1 | cv2 | cv1 | cv2 | cv1 | cv2 | cv1 | cv2 | cv1 | cv2 | cv1 | cv2 |
| 0 | 36 ± 1 e | 35 ± 3 e | 59 ± 7 bc | 60 ± 1 bc | 225 ± 20 b | 141 ± 1 d | 133 ± 6 e | 92 ± 6 f | 195 ± 27 c | 310 ± 3 b | 288 ± 15 d | 649 ± 16 b |
| 1250 | 38 ± 4 e | 40 ± 1 e | 51 ± 2 c | 65 ± 2 bc | 237 ± 17 b | 175 ± 2 c | 255 ± 10 bc | 401 ± 41 a | 295 ± 13 b | 542 ± 13 a | 343 ± 46 cd | 819 ± 2 a |
| 2500 | 57 ± 1 c | 49 ± 2 d | 61 ± 2 bc | 75 ± 2 b | 242 ± 20 b | 198 ± 4 bc | 180 ±8 de | 264 ± 8 bc | 322 ± 9 b | 390 ± 7 b | 452 ± 40 c | 706 ± 12 b |
| 5000 | 111 ± 3 a | 73 ± 4 b | 103 ± 5 a | 95 ± 2 a | 272 ± 15 ab | 335 ± 4 a | 324 ± 10 b | 217 ± 10 cd | 329 ± 8 b | 366 ± 40 b | 354 ± 40 cd | 724 ± 5 b |
| TMTS | Root Forks (No.) | |||||||||||
|---|---|---|---|---|---|---|---|---|---|---|---|---|
| DAC | ||||||||||||
| 20 | 35 | 50 | 20 | 35 | 50 | |||||||
| L. camara | A. x grandiflora | |||||||||||
| IBA (mg L−1) | cv1 | cv2 | cv1 | cv2 | cv1 | cv2 | cv1 | cv2 | cv1 | cv2 | cv1 | cv2 |
| 0 | 69 ± 4 f | 93 ± 2 e | 239 ± 8 c | 130 ± 3 e | 387 ± 10 c | 175 ± 2 f | 113 ± 9 d | 89 ± 18 d | 212 ± 15 c | 102 ± 6 d | 183 ± 44 e | 683 ± 20 b |
| 1250 | 133 ± 2 d | 120 ± 3 d | 353 ± 16 b | 155 ± 1 de | 384 ± 13 c | 206 ± 2 ef | 207 ± 16 c | 566 ± 31 a | 268 ± 5 b | 367 ± 17 a | 398 ± 11 d | 1078 ± 23 a |
| 2500 | 176 ± 6 b | 129 ± 4 d | 327 ± 20 b | 174 ± 1 d | 492 ± 16 b | 227 ± 2 de | 191 ± 28 c | 357 ± 21 b | 272 ± 33 b | 372 ± 3 a | 231 ± 44 e | 576 ± 12 c |
| 5000 | 385 ± 12 a | 152 ± 3 c | 458 ± 18 a | 225 ± 1 c | 570 ± 25 a | 253 ± 2 d | 201 ± 11 c | 250 ± 15 c | 407 ± 35 a | 442 ± 15 a | 375 ± 59 d | 1142 ± 4 a |
| TMTS | Root Crossings (No.) | |||||||||||
|---|---|---|---|---|---|---|---|---|---|---|---|---|
| DAC | ||||||||||||
| 20 | 35 | 50 | 20 | 35 | 50 | |||||||
| L. camara | A. x grandiflora | |||||||||||
| IBA (mg L−1) | cv1 | cv2 | cv1 | cv2 | cv1 | cv2 | cv1 | cv2 | cv1 | cv2 | cv1 | cv2 |
| 0 | 7 ± 1 e | 10 ± 1 e | 41 ± 3 b | 21 ± 1 d | 56 ± 4 b | 31 ± 1 c | 21 ± 2 c | 12 ± 3 c | 15 ± 1 e | 23 ± 2 d | 40 ± 7 d | 117 ± 7 b |
| 1250 | 11 ± 1 e | 16 ± 1 d | 23 ± 1 d | 25 ± 1 d | 54 ± 4 b | 46 ± 2 b | 27 ± 5 c | 70 ± 5 a | 37 ± 2 c | 64 ± 3 a | 71 ± 6 c | 198 ± 4 a |
| 2500 | 19 ± 1 cd | 22 ± 1 c | 35 ± 2 bc | 29 ± 1 cd | 88 ± 7 a | 56 ± 1 b | 20 ± 5 c | 51 ± 5 b | 58 ± 4 ab | 49 ± 3 bc | 62 ± 4 c | 73 ± 5 c |
| 5000 | 45 ± 3 a | 27 ± 2 b | 49 ± 3 a | 40 ± 2 b | 90 ± 8 a | 63 ± 2 b | 43 ± 2 b | 19 ± 3 c | 45 ± 5 bc | 63 ± 6 a | 66 ± 7 c | 210 ± 7 a |
Publisher’s Note: MDPI stays neutral with regard to jurisdictional claims in published maps and institutional affiliations. |
© 2022 by the authors. Licensee MDPI, Basel, Switzerland. This article is an open access article distributed under the terms and conditions of the Creative Commons Attribution (CC BY) license (https://creativecommons.org/licenses/by/4.0/).
Share and Cite
Loconsole, D.; Cristiano, G.; De Lucia, B. Image Analysis of Adventitious Root Quality in Wild Sage and Glossy Abelia Cuttings after Application of Different Indole-3-Butyric Acid Concentrations. Plants 2022, 11, 290. https://doi.org/10.3390/plants11030290
Loconsole D, Cristiano G, De Lucia B. Image Analysis of Adventitious Root Quality in Wild Sage and Glossy Abelia Cuttings after Application of Different Indole-3-Butyric Acid Concentrations. Plants. 2022; 11(3):290. https://doi.org/10.3390/plants11030290
Chicago/Turabian StyleLoconsole, Danilo, Giuseppe Cristiano, and Barbara De Lucia. 2022. "Image Analysis of Adventitious Root Quality in Wild Sage and Glossy Abelia Cuttings after Application of Different Indole-3-Butyric Acid Concentrations" Plants 11, no. 3: 290. https://doi.org/10.3390/plants11030290
APA StyleLoconsole, D., Cristiano, G., & De Lucia, B. (2022). Image Analysis of Adventitious Root Quality in Wild Sage and Glossy Abelia Cuttings after Application of Different Indole-3-Butyric Acid Concentrations. Plants, 11(3), 290. https://doi.org/10.3390/plants11030290

