Effect of Various Binders on the Properties of Microalgae-Enriched Urea Granules
Abstract
1. Introduction
2. Results
2.1. Granulation of Microalgae-Enriched Urea Granules
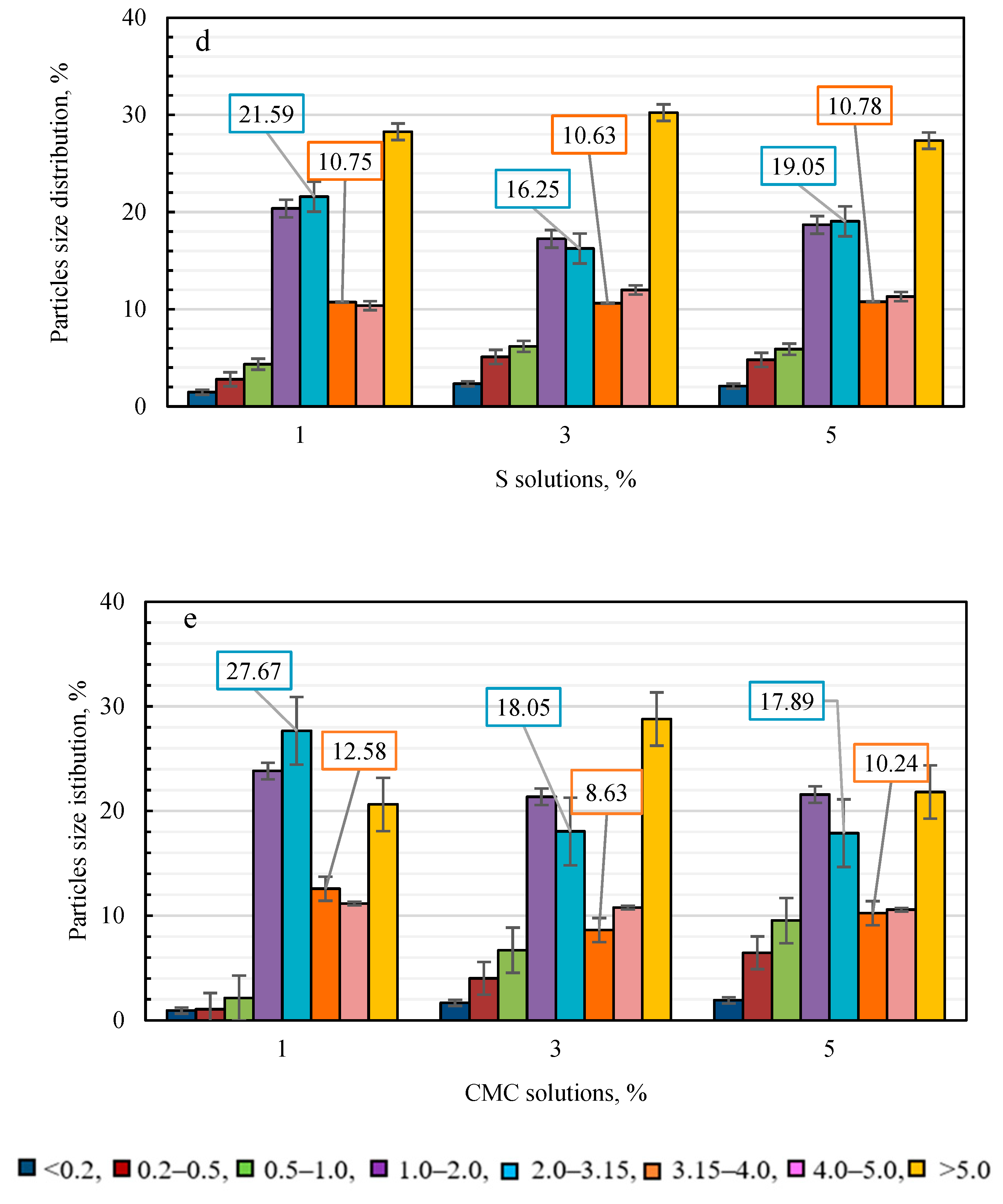
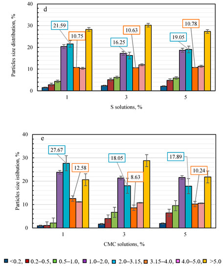
2.2. Particle Size Distribution of Microalgae-Enriched Urea Granules
2.3. Static Crushing Strength of Microalgae-Enriched Urea Granules
2.4. Hygroscopicity of Microalgae-Enriched Urea Granules
2.5. Other Properties of Microalgae-Enriched Urea Granules
2.5.1. pH
2.5.2. Moisture Content
2.5.3. Bulk Density
2.5.4. Size Guide Number (SGN)
2.6. Nitrogen Leaching from Microalgae-Enriched Granular Urea
3. Discussion
4. Materials and Methods
4.1. Materials
4.2. Methods
4.2.1. Fertilizer Granulation
4.2.2. Fractional Composition of Fertilizers
4.2.3. Fertilizer Size Guide Number
4.2.4. Crushing Strength of Fertilizers
4.2.5. Hygroscopicity of Fertilizers
4.2.6. Moisture Content of Fertilizers
4.2.7. Bulk Density of Fertilizers
4.2.8. pH of Fertilizers
4.2.9. Density of Binder Solutions
4.2.10. Optical Microscopy
4.2.11. Leaching of Nitrogen from Fertilizers
4.2.12. Determination of Nitrogen Concentration
4.2.13. Statistical Analysis
Author Contributions
Funding
Institutional Review Board Statement
Informed Consent Statement
Data Availability Statement
Conflicts of Interest
References
- Mycorrhizae. Top 5 Mistakes in Fertilizer Application. Available online: https://mycorrhizae.com/wp-content/uploads/2017/04/Top-5-Mistakes-in-Fertilizer-Application-PDF.pdf (accessed on 29 September 2022).
- Shah, F.; Wu, W. Soil and Crop Management Strategies to Ensure Higher Crop Productivity within Sustainable Environments. Sustainability 2019, 11, 1485. [Google Scholar] [CrossRef]
- Bhadouriya, J.; Coumar, M.V.; Dotaniya, M.L.; Yadav, S.S.; Jadon, P.; Kundu, S.; Singh, A.K.; Selladurai, R. Volatilization and leaching losses of nitrogen from different coated urea fertilizers. J. Soil Sci. Plant Nutr. 2018, 18, 1036–1047. [Google Scholar]
- Ding, Y.; Liu, Y.X.; Wu, W.X.; Shi, D.Z.; Yang, M.; Zhong, Z.K. Evaluation of Biochar Effects on Nitrogen Retention and Leaching in Multi-Layered Soil Columns. Water Air Soil Pollut. 2010, 213, 47–55. [Google Scholar] [CrossRef]
- Hasler, K.; Bröring, S.; Omta, S.W.F.; Olfs, H.W. Life cycle assessment (LCA) of different fertilizer product types. Eur. J. Agron. 2015, 69, 41–51. [Google Scholar] [CrossRef]
- IFASTAT. Nitrogen Products. Available online: https://www.ifastat.org/supply/Nitrogen%20Products (accessed on 29 September 2022).
- European Commission. Managing Nitrogen and Phosphorus Loads to Water Bodies: Characterisation and Solutions Towards Macro-Regional Integrated Nutrient Management; Technical Report by the Joint Research Centre of the European Commission; Publications Office of the European Union: Luxembourg, 2014. [CrossRef]
- FAO; IWMI. Water Pollution from Agriculture: A Global Review. Executive Summary; Food and Agriculture Organization of the United Nations and International Water Management Institute on behalf of the Water Land and Ecosystems Research Program; FAO: Rome, Italy; IWMI: Colombo, Sri Lanka, 2017. [Google Scholar]
- Bingham, A.H.; Cotrufo, M.F. Organic nitrogen storage in mineral soil: Implications for policy and management. Sci. Total Environ. 2016, 551–552, 116–126. [Google Scholar] [CrossRef]
- Branch of the Lithuanian Centre for Agrarian and Forest Sciences, Agrochemical Research Laboratory. Long-Term Monitoring Studies of Soil Agrochemical Properties. Final Report. 2018. Available online: https://www.lammc.lt/data/public/uploads/2021/04/anual-report.pdf (accessed on 15 September 2022).
- Savci, S. Investigation of Effect of Chemical Fertilizers on Environment. APCBEE Procedia 2012, 1, 287–292. [Google Scholar] [CrossRef]
- Sepaskhah, A.R.; Tafteh, A. Yield and nitrogen leaching in rapeseed field under different nitrogen rates and water saving irrigation. Agric. Water Manag. 2019, 112, 55–62. [Google Scholar] [CrossRef]
- Trenkel, M.E. Slow- and Controlled-Release and Stabilized Fertilizers: An Option for Enhancing Nutrient Use Efficiency in Agriculture; International Fertilizer Industry Association (IFA): Paris, France, 2010. [Google Scholar]
- Yusop, M.K.; Mahdavi, F.; Rashid, S.A.; Roshanravan, B.; Soltani, S.M. Enhancement of nitrogen release properties of urea–kaolinite fertilizer with chitosan binder. Chem. Speciat. Bioavailab. 2015, 1, 44–51. [Google Scholar]
- Pursell, T.; Shirley, A.R., Jr.; Cochran, K.D.; Miller, J.M.; Holt, T.G.; Peeden, G.S. Controlled Release Fertilizer with Biopolymer Coating and Process for Making Same. U.S. Patent Application Publication No 13/088,043, 19 April 2012. [Google Scholar]
- Arndt, O.R.; Kleinebudde, P. Influence of binder properties on dry granules and tablets. Powder Technol. 2018, 337, 68–77. [Google Scholar] [CrossRef]
- Denduyver, P.; De Beer, T.; Hausler, O.; Portier, C.; Vandevivere, L.; Vanhoorne, V.; Vervaet, C. Influence of binder attributes on binder effectiveness in a continuous twin screw wet granulation process via wet and dry binder addition. Int. J. Pharm. 2020, 585, 119466. [Google Scholar]
- Hauesler, O. About Starch as Wet Granulation Binder. Pharma Virtual Lab by Roquette. Available online: https://www.roquette.com/innovation-hub/pharma/expert-opinion/starch-wet-granulation-binder (accessed on 4 October 2022).
- Antonyuk, S.; Dopfer, D.; Fries, L.; Haider, C.I.; Heinrich, S.; Palzer, S. Adhesion mechanisms between water soluble particles. Powder Technol. 2011, 238, 35–49. [Google Scholar]
- Bika, D.; Farber, L.; Michaels, J.; Panmai, S.; Tardos, G.I. Strength and morphology of solid bridges in dry granules of pharmaceutical powders. Powder Technol. 2005, 150, 104–116. [Google Scholar] [CrossRef]
- Bika, D.; Farber, L.; Michaels, J.; Panmai, S.; Tardos, G.I. Chapter 26 Morphology and strength development in solid and solidifying interparticle bridges in granules of pharmaceutical powders. Handb. Powder Technol. 2007, 11, 1213–1256. [Google Scholar]
- Hartmann, M.; Palzer, S. Caking of amorphous powders -material aspects, modelling and applications. Res. Gate 2009, 313, 389–401. [Google Scholar] [CrossRef]
- Khan, M.I.; Shin, J.H.; Kim, J.D. The promising future of microalgae: Current status, challenges, and optimization of a sustainable and renewable industry for biofuels, feed, and other products. Microb. Cell Factories 2018, 17, 36. [Google Scholar] [CrossRef]
- Baweja, P.; Kumar, S.; Kumar, G. Organic Fertilizer from Algae: A Novel Approach Towards Sustainable Agriculture. Biofertil. Sustain. Agric. Environ. 2019, 1, 353–370. [Google Scholar]
- Butkauskaitė, A.; Mikolaitienė, A.; Šlinkšienė, R. The influence of algae as a bioactive additive on the properties of suspension fertilizers. Mater. Sci. (Medžiagotyra) 2020, 26, 482–488. [Google Scholar] [CrossRef]
- Nutrien. Urea Granular. Available online: https://www.nutrien.com/search/results?keys=urea+granular (accessed on 30 July 2022).
- Yara. Fertiliser Handling and Safety, Physical Properties of Fertilisers. Available online: https://www.yara.co.uk/crop-nutrition/fertiliser-handling-and-safety2/physical-properties-of-fertilisers (accessed on 30 July 2022).
- Gale, D.J.; Piana, S.; Reyhani, M. Simulating micrometre-scale crystal growth from solution. Nature 2005, 438, 70–73. [Google Scholar]
- Harvey, J. Fertiliser Research Sees Urea Enter the Co-Crystal Palace. Chemistry World. Available online: https://www.chemistryworld.com/news/fertiliser-research-sees-urea-enter-the-co-crystal-palace/3008893.article (accessed on 30 July 2022).
- Morkhade, M.D. Comparative impact of different binder addition methods, binders and diluents on resulting granule and tablet attributes via high shear wet granulation. Powder Technol. 2017, 320, 114–124. [Google Scholar] [CrossRef]
- Dubey, A.; Mailapalli, D.R. Zeolite coated urea fertilizer using different binders: Fabrication, material properties and nitrogen release studies. Environ. Technol. Innov. 2019, 16, 100452. [Google Scholar] [CrossRef]
- Kiwietniak, P. Strength of fertilizer granules and methods for testing it. AGRIS 1985, 34, 5–8. [Google Scholar]
- Werner, E.A. Urea as a Hygroscopic Substance. Nature 1937, 139, 512. [Google Scholar] [CrossRef]
- International Fertilizer Industry Association (IFA). Determination of Moisture of Fertilizers. Available online: https://www.fertilizer.org/images/Library_Downloads/2014_ifa_moisture_determination.pdf (accessed on 1 April 2022).
- Nutrien. Urea Granular Agricultural Grade 46-0-0. Available online: https://agproducts.nutrien.com/products/code/509-14027RFO/en_US/Spec/509-14027RFO_Spec_en_US.pdf (accessed on 30 July 2022).
- Capitaine, S.; Carlson, C. Physical Specifications for Granular Fertilizer and Soil Amendment Products. FEECO International. Available online: https://feeco.com/physical-specifications-for-granular-fertilizer-and-soil-amendment-products/ (accessed on 1 October 2022).
- Lebanonturf. Choosing the Right Granular Fertilizer. Available online: https://www.lebanonturf.com/education-center/turf-fertilizer/choosing-the-right-granular-fertilizer (accessed on 1 April 2022).
- Ferguson, R.; Shapiro, C.; Wortmann, C. Nitrogen Fertilizer—How Much Is Left? Available online: https://cropwatch.unl.edu/nitrogen-fertilizer-how-much-left (accessed on 30 September 2022).
- Dimkpa, C.O.; Fugice, J.; Singh, U.; Lewis, T.D. Development of fertilizers for enhanced nitrogen use efficiency—Trends and perspectives. Sci. Total Environ. 2020, 731, 139113. [Google Scholar] [CrossRef] [PubMed]
- Hermida, L.; Agustian, J. Slow release urea fertilizer synthesized through recrystallization of urea incorporating natural bentonite using various binders. Environ. Technol. Innov. 2019, 13, 113–121. [Google Scholar] [CrossRef]
- Souza, T.L.; Guelfi, D.R.; Silva, A.L.; Andrade, A.B.; Chagas, W.F.T.; Cancellier, E.L. Ammonia and carbon dioxide emissions by stabilized conventional nitrogen fertilizers and controlled release in corn crop. Agric. Sci. 2017, 41, 494–510. [Google Scholar] [CrossRef][Green Version]
- Fulton, J.; Port, K. Physical Properties of Granular Fertilizers and Impact on Spreading. Available online: https://ohioline.osu.edu/factsheet/fabe-5501 (accessed on 1 April 2022).
- LST CR 12333:2006; Trašos.Trąšų granulių stiprio nustatymas. Lietuvos Standartizacijos Departamentas: Vilnius, Lietuva, 2006.
- Regulation (EC) No 2003/2003 of the European Parliament and of the Council of 13 October 2003 Relating to Fertilizers. Official Journal, 304-1. Available online: https://www.legislation.gov.uk/eur/2003/2003 (accessed on 10 July 2022).
- Fūson. Storage, Handling, and Blending. Available online: http://simplotfusn.com/documents/FUSN-Storage-and-Handling.pdf (accessed on 30 July 2022).
- ESN. Nitrogen Fundamentals—Understanding Nitrogen Loss: Leaching. Available online: https://smartnitrogen.com/smart-talk/understanding-nitrogen-leaching/ (accessed on 1 October 2022).









| Binder | Binder Solution Concentration, % | Binder Solution Density, g/cm3 | Amount of Binder, % (w/w) | Amount of Marketable Fraction, % |
|---|---|---|---|---|
| W | – | 1.000 ± 0.000 | 12.6 | 38.72 ± 1.113 |
| – | 1.000 ± 0.000 | 13.3 | 37.54 ± 3.662 | |
| – | 1.000 ± 0.000 | 13.9 | 21.89 ± 2.575 | |
| PVAD | 1.0 | 0.999 ± 0.001 | 11.3 | 31.51 ± 3.503 |
| 3.0 | 1.006 ± 0.002 | 11.3 | 36.17 ± 4.428 | |
| 5.0 | 1.021 ± 0.002 | 11.3 | 36.18 ± 2.787 | |
| 7.0 | 1.036 ± 0.001 | 11.3 | 35.91 ±4.529 | |
| M | 2.5 | 1.012 ± 0.002 | 11.4 | 37.86 ± 2.391 |
| 5.0 | 1.020 ± 0.004 | 11.4 | 43.01 ± 3.068 | |
| 7.5 | 1.042 ± 0.001 | 11.4 | 38.53 ± 1.744 | |
| 10.0 | 1.054 ± 0.002 | 11.4 | 36.91 ± 1.006 | |
| S | 1.0 | 1.027 ± 0.004 | 11.0 | 32.34 ± 1.451 |
| 3.0 | 1.031 ± 0.001 | 11.0 | 29.84 ± 2.386 | |
| 5.0 | 1.045 ± 0.001 | 11.0 | 26.88 ± 1.627 | |
| CMC | 1.0 | 1.032 ± 0.002 | 11.1 | 40.25 ± 2.150 |
| 3.0 | 1.042 ± 0.001 | 11.1 | 28.13 ± 2.617 | |
| 5.0 | 1.057 ± 0.001 | 11.1 | 26.68 ± 1.490 |
| Binder | Concentration of Binder, % | pH of 10% Fertilizer Solution | Humidity of Fertilizers, % | Loose Bulk Density of Fertilizers, kg/m3 | SGN | |
|---|---|---|---|---|---|---|
| 2.0–3.15 mm | 3.15–4.0 mm | |||||
| W | 5.85 ± 0.000 | 1.23 ± 0.038 | 391.0 ± 2.484 | 386.0 ± 2.609 | 295 | |
| 6.05 ± 0.000 | 1.30 ± 0.028 | 401.0 ± 7.452 | 400.1 ± 7.825 | 297 | ||
| 6.10 ± 0.000 | 1.22 ± 0.038 | 412.0 ± 2.484 | 393.7 ± 2.484 | 304 | ||
| PVAD | 1 | 6.00 ± 0.038 | 1.03 ± 0.038 | 355.9 ± 0.497 | 353.5 ± 1.120 | 291 |
| 3 | 6.05 ± 0.014 | 1.02 ± 0.025 | 364.2 ± 6.713 | 370.5 ± 3.229 | 294 | |
| 5 | 6.10 ± 0.038 | 1.07 ± 0.063 | 363.7 ± 0.799 | 346.4 ± 0.872 | 287 | |
| 7 | 6.10 ± 0.014 | 1.05 ± 0.014 | 364.1 ± 7.137 | 351.2 ± 2.981 | 294 | |
| M | 2.5 | 6.50 ± 0.029 | 1.32 ± 0.038 | 355.7 ± 1.368 | 350.2 ± 0.872 | 288 |
| 5.0 | 6.40 ± 0.000 | 1.36 ±0.029 | 367.1 ± 0.872 | 357.7 ± 0.379 | 293 | |
| 7.5 | 6.60 ± 0.014 | 1.37 ± 0.038 | 372.1 ± 1.616 | 371.4 ± 1.120 | 293 | |
| 10.0 | 6.65 ± 0.087 | 1.41 ± 0.052 | 416.0 ± 0.872 | 387.2 ± 0.379 | 287 | |
| S | 1 | 6.30 ± 0.014 | 1.32 ± 0.038 | 358.4 ± 1.616 | 347.0 ± 0.799 | 291 |
| 3 | 6.35 ± 0.014 | 1.31 ± 0.025 | 356.3 ± 1.120 | 354.3 ± 1.225 | 297 | |
| 5 | 6.35 ± 0.130 | 1.29 ± 0.025 | 430.0 ± 1.120 | 418.1 ± 0.798 | 294 | |
| CMC | 1 | 6.35 ± 0.014 | 1.22 ± 0.038 | 377.0 ± 0.379 | 338.5 ± 0.379 | 289 |
| 3 | 6.40 ± 0.014 | 1.17 ± 0.049 | 341.2 ± 1.368 | 336.3 ± 1.225 | 290 | |
| 5 | 6.40 ± 0.025 | 1.21 ± 0.014 | 305.1 ± 2.609 | 331.8 ± 1.034 | 294 | |
Publisher’s Note: MDPI stays neutral with regard to jurisdictional claims in published maps and institutional affiliations. |
© 2022 by the authors. Licensee MDPI, Basel, Switzerland. This article is an open access article distributed under the terms and conditions of the Creative Commons Attribution (CC BY) license (https://creativecommons.org/licenses/by/4.0/).
Share and Cite
Mikolaitienė, A.; Šlinkšienė, R. Effect of Various Binders on the Properties of Microalgae-Enriched Urea Granules. Plants 2022, 11, 3362. https://doi.org/10.3390/plants11233362
Mikolaitienė A, Šlinkšienė R. Effect of Various Binders on the Properties of Microalgae-Enriched Urea Granules. Plants. 2022; 11(23):3362. https://doi.org/10.3390/plants11233362
Chicago/Turabian StyleMikolaitienė, Austėja, and Rasa Šlinkšienė. 2022. "Effect of Various Binders on the Properties of Microalgae-Enriched Urea Granules" Plants 11, no. 23: 3362. https://doi.org/10.3390/plants11233362
APA StyleMikolaitienė, A., & Šlinkšienė, R. (2022). Effect of Various Binders on the Properties of Microalgae-Enriched Urea Granules. Plants, 11(23), 3362. https://doi.org/10.3390/plants11233362

