Simulating the Effects of Different Textural Soils and N Management on Maize Yield, N Fates, and Water and N Use Efficiencies in Northeast China
Abstract
1. Introduction
2. Results
2.1. Model Calibration and Validation
2.2. Crop Yield, Water Consumption, and Water Use Efficiency under Two Textural Soils
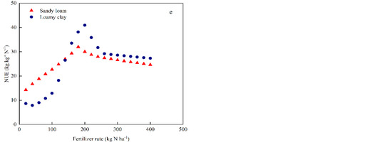
2.3. Optimizing N Fertilizer Management for Two Textural Soils under Rainfed Conditions
3. Materials and Methods
3.1. Experimental Site Description
3.2. Experiment Design
3.3. Field Sampling and Laboratory Analysis
3.4. Model Description and Inputs
3.5. Evaluation of Model Simulation Effect
- (i)
- The normalized root-mean-squared error (nRMSE):
- (ii)
- Nash–Sutcliffe efficiency (E):
- (iii)
- Agreement index (d):where n is the number of data pairs. Pi and Oi are the predicted and observed values, respectively. O is the mean of the observed data. nRMSE represents the percentage of the average deviation to the measured mean. nRMSE < 15%, nRMSE = 15–30%, and nRMSE > 30% are considered “good,” “moderate,” and “poor” agreement, respectively [31]. E ranges between −∞ and 1 and allows for a negative error. The d value is a descriptive measure that ranges from 0 to 1, wherein a value close to 1 indicates satisfactory model performance. Quantities of d ≥ 0.75 and E ≥ 0 are minimum threshold values for crop growth. Quantities of d ≥ 0.60 and E ≥ −1 are minimum threshold values for N-output evaluation [34].
3.6. Integrated Index Method
3.7. N Fertilizer Scenarios
4. Discussion
4.1. Effects of Soil Texture and N Management on Crop Yield, ET, and WUE
4.2. Effects of Soil Texture and N Management on N Loss
4.3. Effects of Soil Texture and N Management on N Uptake and N Use Efficiency
5. Conclusions
Supplementary Materials
Author Contributions
Funding
Institutional Review Board Statement
Informed Consent Statement
Data Availability Statement
Conflicts of Interest
References
- FAO. 2020. Available online: http://www.fao.org/faostat/zh/#data (accessed on 19 December 2020).
- National Bureau of Statistics of China (NBSC). China Statistics Yearbook; China Statistics Press: Beijing, China, 2020. [Google Scholar]
- Liu, X.B.; Zhang, X.Y.; Wang, Y.X.; Sui, Y.Y.; Zhang, S.L.; Herbert, S.J.; Ding, G. Soil degradation: A problem threatening the sustainable development of agriculture in Northeast China. Plant. Soil. Environ. 2010, 56, 87–97. [Google Scholar] [CrossRef]
- Zhang, W.F.; Dou, Z.X.; He, P.; Ju, X.T.; Powlson, D.; Chadwick, D.; Norse, D.; Lu, Y.L.; Zhang, Y.; Wu, L.; et al. New technologies reduce greenhouse gas emissions from nitrogenous fertilizer in China. Proc. Natl. Acad. Sci. USA 2013, 110, 8375–8380. [Google Scholar] [CrossRef] [PubMed]
- Cui, Z.L.; Chen, X.P.; Zhang, F.S. Current nitrogen management status and measures to improve the intensive wheat-maize system in China. Ambio 2010, 39, 376–384. [Google Scholar] [CrossRef] [PubMed]
- Wick, K.; Heumesser, C.; Schmid, E. Ground water nitrate contamination: Factors and indicators. J. Environ. Manage. 2012, 111, 178–186. [Google Scholar] [CrossRef] [PubMed]
- Zhang, X.Y.; Chen, S.Y.; Sun, H.Y.; Shao, L.; Wang, Y. Changes in evapotranspiration over irrigated winter wheat and maize in North China Plain over three decades. Agr. Water. Manage. 2011, 98, 1097–1104. [Google Scholar] [CrossRef]
- Chen, L.F.; He, Z.B.; Zhao, W.Z. Soil structure and nutrient supply drive changes in soil microbial communities during conversion of virgin desert soil to irrigated cropland. Eur. J. Soil. Sci. 2020, 71, 768–781. [Google Scholar] [CrossRef]
- Zhang, X. A plan for efficient use of nitrogen fertilizers. Nature 2017, 543, 322–323. [Google Scholar] [CrossRef]
- Hu, K.L.; Li, Y.; Chen, W.P.; Chen, D.L.; Wei, Y.P.; Edis, R.; Li, B.G.; Huang, Y.F.; Zhang, Y.P. Modeling nitrate leaching and optimizing water and nitrogen management under irrigated maize in desert oases in Northwestern China. J. Environ. Qual. 2010, 39, 667–677. [Google Scholar] [CrossRef]
- Monzon, J.P.; Sadras, V.O.; Andrade, F.H. Fallow soil evaporation and water storage as affected by stubble in sub-humid (Argentina) and semi-arid (Australia) environments. Field Crops Res. 2006, 98, 83–90. [Google Scholar] [CrossRef]
- Cambouris, A.N.; Ziadi, N.; Perron, I.; Alotaibi, K.D.; Luce, M.S.; Tremblay, N. Corn yield components response to nitrogen fertilizer as a function of soil texture. Can. J. Soil. Sci. 2016, 96, 386–399. [Google Scholar] [CrossRef]
- Witt, C.; Ottesen, E.A. Lymphatic filariasis: An infection of childhood. Trop. Med. Int. Health. 2010, 6, 582–606. [Google Scholar] [CrossRef]
- Liu, H.L.; Yang, J.Y.; He, P.; Bai, Y.L.; Jin, J.Y.; Drury, C.F.; Zhu, Y.P.; Yang, X.M.; Li, W.J.; Xie, J.G.; et al. Optimizing Parameters of CSM-CERES-Maize Model to Improve Simulation Performance of Maize Growth and Nitrogen Uptake in Northeast China. J. Integr. Agr. 2012, 11, 1898–1913. [Google Scholar] [CrossRef]
- Yang, J.M.; Yang, J.Y.; Dou, S.; Yang, X.M.; Hoogenboom, G. Simulating the effect of long-term fertilization on maize yield and soil C/N dynamics in northeastern China using DSSAT and CENTURY-based soil model. Nutr. Cycl. Agroecosys. 2013, 95, 287–303. [Google Scholar] [CrossRef]
- Li, Z.; Sun, Z. Optimized single irrigation can achieve high corn yield and water use efficiency in the Corn Belt of Northeast China. Eur. J. Agron. 2016, 75, 12–24. [Google Scholar] [CrossRef]
- Jiang, R.; He, W.; Zhou, W.; Hou, Y.; Yang, J.Y.; He, P. Exploring management strategies to improve maize yield and nitrogen use efficiency in northeast China using the DNDC and DSSAT models. Comput. Electro. Agr. 2019, 166, 104988. [Google Scholar] [CrossRef]
- Peng, Y.X.; Li, Z.Z.; Sun, T.; Zhang, F.; Wu, Q.; Du, M.; Sheng, T. Modeling long-term water use and economic returns to optimize alfalfa-corn rotation in the corn belt of Northeast China. Field Crops Res. 2022, 276, 108379. [Google Scholar] [CrossRef]
- Liang, H.; Hu, K.L.; Batchelor, W.D.; Qi, Z.M.; Li, B.G. An integrated soil-crop system model used for water and nitrogen management in North China. Sci. Rep. 2016, 6, 25755. [Google Scholar] [CrossRef]
- Liang, H.; Hu, K.L.; Qin, W.; Zuo, Q.; Guo, L.; Tao, Y.Y.; Lin, S. Ground cover rice production system reduces water consumption and nitrogen loss and increases water and nitrogen use efficiencies. Field Crops Res. 2019, 233, 70–79. [Google Scholar] [CrossRef]
- Shi, X.R.; Batchelor, W.D.; Liang, H.; Li, S.E.; Li, B.G.; Hu, K.L. Determining optimal water and nitrogen management under different initial soil mineral nitrogen levels in northwest China based on a model approach. Agr. Water. Manage. 2020, 234, 106110. [Google Scholar] [CrossRef]
- Xu, Q.; Hu, K.; Liang, H.; Leghari, S.J. Incorporating the WHCNS model to assess water and nitrogen footprint of alternative cropping systems for grain production in the North China Plain. J. Clean. Prod. 2020, 263, 121548. [Google Scholar] [CrossRef]
- Ma, L.W.; Ahuja, L.R.; Nolan, B.T.; Malone, R.W.; Trout, T.J.; Qi, Z. Root zone water quality model (RZWQM2): Model use, calibration, and validation. Trans. ASABE. 2012, 55, 1425–1446. [Google Scholar] [CrossRef]
- Van Liew, M.W.; Garbrecht, J. Hydrologic simulation of the Little Washita River experimental watershed using SWAT. J. Am. Water. Resour. As. 2003, 39, 413–426. [Google Scholar] [CrossRef]
- Schaap, M.G. Rosetta (1.0). 1999. Available online: http//.www.ussl.ars.usda.gov/MODELS/rosetta/rosetta.html (accessed on 19 December 2020).
- Allen, R.G.; Pereira, L.S.; Raes, D.; Smith, M. Crop evapotranspiration. Guidelines for computing crop water requirements. In FAO Irrigation and Drainage Paper 56; FAO: Rome, Italy, 1998; 300 D05109. [Google Scholar]
- Green, W.H.; Ampt, G.A. Studies on soil physics: Part 1. The flow of air and water through soils. J. Agr. Sci. 1911, 4, 1–24. [Google Scholar]
- Šimůnek, J.; Saito, H.; Sakai, M.; Genuchten, T.M. The HYDRUS-1D Software Package for Simulating the One-dimensional Movement of Water, Heat, and Multiple Solutes in Variably-Saturated Media; Department of Environmental Sciences University of California: Riverside, CA, USA, 2008. [Google Scholar]
- Hansen, S.; Abrahamsen, P.; Petersen, C.T.; Styczen, M.E. Daisy: Model use, calibration and validation. Trans. ASABE. 2012, 55, 1315–1333. [Google Scholar] [CrossRef]
- Driessen, P.M.; Konjin, N.T. Land Use System Analysis; Wageningen Agricultural University: Wageningen, The Netherlands, 1992. [Google Scholar]
- Li, Z.; Hu, K.; Li, B.; He, M.; Zhang, J. Evaluation of water and nitrogen use efficiencies in a double cropping system under different integrated management practices based on a model approach. Agr. Water. Manage. 2015, 159, 19–34. [Google Scholar] [CrossRef]
- Liang, H.; Hu, K.L.; Qin, W.; Zuo, Q.; Zhang, Y.A. Modelling the effect of mulching on soil heat transfer, water movement and crop growth for ground cover rice production system. Field Crop Res. 2017, 201, 97–107. [Google Scholar] [CrossRef]
- Liang, H.; Qi, Z.M.; Hu, K.L.; Prasher, S.O.; Zhang, Y. Can nitrate contaminated groundwater be remediated by optimizing flood irrigation rate with high nitrate water in a desert oasis using the WHCNS model. J. Environ. Manage. 2016, 181, 16–25. [Google Scholar] [CrossRef]
- Yang, J.M.; Yang, J.Y.; Liu, S.; Hoogenboom, G. An evaluation of the statistical methods for testing the performance of crop models with observed data. Agric. Syst. 2014, 127, 81e89. [Google Scholar] [CrossRef]
- Lu, J.; Bai, Z.H.; Velthof, G.L.; Wu, Z.G.; Chadwick, D.; Ma, L. Accumulation and leaching of nitrate in soils in wheat-maize production in China. Agric. Water. Manage. 2019, 212, 407–415. [Google Scholar] [CrossRef]
- Ziadi, N.; Cambouris, A.N.; Nyiraneza, J. Across a landscape, soil texture controls the optimum rate of N fertilizer for maize production. Field Crops Res. 2013, 148, 78–85. [Google Scholar] [CrossRef]
- Feng, G.Z.; Wang, Y.; Yan, L.; Mi, G.H.; Gao, Q. Effect of soil type and nitrogen application rate on yield of monocropping spring maize and nitrogen balance in crop field. Acta Pedol Sin 2017, 54, 444–455, (in Chinese with English abstract). [Google Scholar]
- Huang, J.; Hartemink, A.E.; Kucharik, C.J. Soil-dependent responses of US crop yields to climate variability and depth to groundwater. Agr. Syst. 2021, 190, 103085. [Google Scholar] [CrossRef]
- Huang, J.; Hartemink, A.E. Soil and environmental issues in sandy soils. Earth-Sci. Rev. 2020, 208, 103295–103316. [Google Scholar] [CrossRef]
- Wang, Y.; Guo, T.; Qi, L.; Zeng, H.; Liang, Y.; Wei, S.; Gao, F.; Wang, L.; Zhang, R.; Jia, Z. Meta-analysis of ridge-furrow cultivation effects on maize production and water use efficiency. Agric. Water. Manage. 2020, 234, 106144. [Google Scholar] [CrossRef]
- Gu, C.; Riley, W.J. Combined effects of short term rainfall patterns and soil texture on soil nitrogen cycling—A modeling analysis. J. Contam. Hydrol. 2010, 112, 141–154. [Google Scholar] [CrossRef]
- Su, Y.Z.; Yang, X.; Yang, R. Effect of soil texture in unsaturated zone on soil nitrate accumulation and groundwater nitrate contamination in a marginal oasis in the middle of Heihe River basin. Environ. Sci. 2014, 35, 3683–3690, (in Chinese with English abstract). [Google Scholar]
- Michalczyk, A.; Kersebaum, K.C.; Dauck, H.P.; Roelcke, M.; Yue, S.C.; Chen, X.-P.; Zhang, F.S. Quantifying nitrogen loss and water use via regionalization and multiple-year scenario simulations in the North China Plain. J. Plant. Nutr. Soil. Sci. 2020, 183, 718–733. [Google Scholar] [CrossRef]
- Milroy, S.P.; Asseng, S.; Poole, M.L. Systems analysis of wheat production on low water-holding soils in a Mediterranean-type environment II. Drainage and nitrate leaching. Field Crops Res. 2008, 107, 211–220. [Google Scholar] [CrossRef]
- Wang, L.S.; He, Z.B.; Zhao, W.Z.; Wang, C.; Ma, D.K. Fine Soil Texture Is Conducive to Crop Productivity and Nitrogen Retention in Irrigated Cropland in a Desert-Oasis Ecotone, Northwest China. Agronomy 2022, 12, 1509. [Google Scholar] [CrossRef]
- Li, J.S.; Yang, F.Y.; Li, Y.F. Water and nitrogen distribution under subsurface drip fertigation as affected by layered-textural soils. Trans. CSAE. 2009, 25, 25–31. [Google Scholar]
- Azad, N.; Behmanesh, J.; Rezaverdinejad, V.; Abbasi, F.; Navabian, M. An analysis of optimal fertigation implications in different soils on reducing environmental impacts of agricultural nitrate leaching. Sci. Rep. 2020, 10, 1–15. [Google Scholar] [CrossRef] [PubMed]
- Zhang, Y.T.; Wang, H.Y.; Liu, S.; Lei, Q.L.; Liu, J.Q.; He, J.Q.; Zhai, L.M.; Ren, T.Z.; Liu, H.B. Identifying critical nitrogen application rate for maize yield and nitrate leaching in a Haplic Luvisol soil using the DNDC model. Sci. Total. Environ. 2015, 514, 388–398. [Google Scholar] [CrossRef] [PubMed]
- Wang, Y.; Li, C.; Li, Y.; Zhu, L.; Liu, S.; Yan, L.; Feng, G.; Gao, Q. Agronomic and environmental benefits of nutrient expert on maize and rice in Northeast China. Environ. Sci. Pollut. R. 2020, 27, 28053–28065. [Google Scholar] [CrossRef] [PubMed]
- Awale, R.; Chatterjee, A. Enhanced Efficiency Nitrogen Products Influence Ammonia Volatilization and Nitrous Oxide Emission from Two Contrasting Soils. Agron. J. 2016, 109, 47–57. [Google Scholar] [CrossRef]
- Cabrera, M.L.; Kissel, D.E.; Rema, J.A.; Newsome, J.F.; Calvert, V.H., II. Ammonia volatilization from urea-based fertilizers applied to tall fescue pastures in Georgia, USA. Soil. Sci. Soc. Am. J. 2008, 72, 1665–1671. [Google Scholar]
- Jamali, H.; Quayle, W.; Scheer, C.; Rowlings, D.; Baldock, J. Effect of soil texture and wheat plants on N2O fluxes: A lysimeter study. Agr. Forest. Meteorol. 2016, 223, 17–29. [Google Scholar] [CrossRef]
- Gaillard, R.; Duval, B.D.; Osterholz, W.R.; Kucharik, C.J. Simulated effects of soil texture on nitrous oxide emission factors from corn and soybean agroecosystems in Wisconsin. J. Environ. Qual. 2016, 45, 1540–1548. [Google Scholar] [CrossRef]
- Pihlatie, M.; Syvasalo, E.; Simojoki, A.; Esala, M.; Regina, K. Contribution of nitrification and denitrification to N20 production in peat, clay and loamy sand soils under different soil moisture conditions. Nutr. Cycl. Agroecosys. 2004, 70, 135–141. [Google Scholar] [CrossRef]
- Abbasi, M.K.; Tahir, M.M.; Sadiq, A.; Iqbal, M.; Zafar, M. Yield and nitrogen use efficiency of rainfed maize response to splitting and nitrogen rates in Kashmir, Pakistan. Agron. J. 2012, 104, 448–457. [Google Scholar] [CrossRef]
- Cui, Z.L.; Wang, G.; Yue, S.; Wu, L.; Zhang, W.; Zhang, F.S.; Chen, X.P. Closing the N-use efficiency gap to achieve food and environmental security. Environ. Sci. Technol. 2014, 48, 5780–5787. [Google Scholar] [CrossRef]
- Cao, Q.; Miao, Y.X.; Feng, G.H.; Gao, X.; Liu, B.; Liu, Y.; Li, F.; Khosla, R.; Mulla, D.J.; Zhang, F. Improving nitrogen use efficiency with minimal environmental risks using an active canopy sensor in a wheat-maize cropping system. Field Crops Res. 2017, 214, 365–372. [Google Scholar] [CrossRef]
- Zheng, W.K.; Zhang, M.; Liu, Z.G.; Zhou, H.; Lu, H.; Zhang, W.; Yang, Y.; Li, C.; Chen, B. Combining controlled-release urea and normal urea to improve the nitrogen use efficiency and yield under wheat-maize double cropping system. Field Crops Res. 2016, 197, 52–62. [Google Scholar] [CrossRef]
- Li, Y.; White, R.; Chen, D.; Zhang, J.; Li, B.; Zhang, Y.; Huang, Y.; Edis, R. A spatially referenced water and nitrogen management model (WNMM) for (irrigated) intensive cropping systems in the North China Plain. Ecol. Model. 2007, 203, 395–423. [Google Scholar] [CrossRef]
- Chen, X.P.; Cui, Z.L.; Vitousek, P.M.; Cassman, K.G.; Matson, P.A.; Bai, J.-S.; Meng, Q.F.; Hou, P.; Yue, S.C.; Römheld, V.; et al. Integrated soil-crop system management for food security. Proc. Natl. Acad. Sci. USA 2011, 108, 6399–6404. [Google Scholar] [CrossRef]
- Chen, Y.L.; Zhang, J.; Li, Q.; He, X.L.; Su, X.P.; Chen, F.J.; Yuan, L.X.; Mi, G.H. Effects of nitrogen application on post-silking root senescence and yield of maize. Agron. J. 2015, 107, 835–842. [Google Scholar] [CrossRef]
- Wu, L.Q.; Wu, L.; Cui, Z.L.; Chen, X.P.; Zhang, F.S. Basic NPK fertilizer recommendation and fertilizer formula for maize production regions in China. Acta. Pedol. Sin. 2015, 52, 802–817, (in Chinese with English abstract). [Google Scholar]







| Soil Texture | Calibration | Yield | Total Dry Matter | Crop N Uptake | ||||||
|---|---|---|---|---|---|---|---|---|---|---|
| Validation | nRMSE | E | d | nRMSE | E | d | nRMSE | E | d | |
| Sandy loam | C | 14.26 | 0.42 | 0.76 | 12.16 | 0.86 | 0.98 | 26.56 | 0.56 | 0.86 |
| V | 16.52 | 0.36 | 0.71 | 19.62 | 0.92 | 0.96 | 29.62 | 0.46 | 0.82 | |
| Loamy clay | C | 12.18 | 0.44 | 0.79 | 6.61 | 0.88 | 0.96 | 22.56 | 0.68 | 0.92 |
| V | 10.56 | 0.38 | 0.73 | 16.56 | 0.96 | 0.98 | 28.64 | 0.58 | 0.86 | |
| Year | Soil Texture | Treatment | P | ET | D | R | Wbal | Yield | WUE |
|---|---|---|---|---|---|---|---|---|---|
| (mm) | (mm) | (mm) | (mm) | (mm) | (kg ha−1) | (kg m−3) | |||
| 2013 | Sandy loam | N168 | 615.1 | 501.2 | 151.4 | 22.5 | −60.0 | 8922 | 1.8 |
| N240 | 615.1 | 503.7 | 163.3 | 22.5 | −74.3 | 9767 | 1.9 | ||
| N312 | 615.1 | 502.5 | 155.1 | 22.5 | −65.0 | 9826 | 2.0 | ||
| Loamy clay | N168 | 615.1 | 400.5 | 142.7 | 64.8 | 7.1 | 9947 | 2.5 | |
| N240 | 615.1 | 391.2 | 138.3 | 64.8 | 20.8 | 11,478 | 2.9 | ||
| N312 | 615.1 | 391.2 | 138.3 | 64.8 | 20.8 | 10,896 | 2.8 | ||
| 2014 | Sandy loam | N168 | 420.1 | 392.2 | 6.3 | 4.9 | 16.7 | 6677 | 1.7 |
| N240 | 420.1 | 392.1 | 6.3 | 4.9 | 16.8 | 7541 | 1.9 | ||
| N312 | 420.1 | 392.2 | 6.3 | 4.9 | 16.7 | 6808 | 1.7 | ||
| Loamy clay | N168 | 420.1 | 415.6 | 0.8 | 4.9 | −1.1 | 11,923 | 2.9 | |
| N240 | 420.1 | 415.7 | 0.8 | 4.9 | −1.2 | 12,576 | 3.0 | ||
| N312 | 420.1 | 415.7 | 0.8 | 4.9 | −1.2 | 11,822 | 2.8 | ||
| Mean | Sandy loam | N168 | 517.6 | 446.7 | 78.9 | 13.7 | −21.7 | 7800 | 1.8 |
| N240 | 517.6 | 447.9 | 84.8 | 13.7 | −28.8 | 8654 | 1.9 | ||
| N312 | 517.6 | 447.4 | 80.7 | 13.7 | −24.2 | 8317 | 1.9 | ||
| Mean | Loamy clay | N168 | 517.6 | 408.1 | 71.8 | 34.9 | 3.0 | 10,935 | 2.7 |
| N240 | 517.6 | 403.5 | 69.6 | 34.9 | 9.8 | 12,027 | 3.0 | ||
| N312 | 517.6 | 403.5 | 69.6 | 34.9 | 9.8 | 11,359 | 2.8 |
| Soil | Treat | Nfer | Nnet | Nvol | Nden | Nup | Nlea | Balance | WUE | NUE | AF | EF | VCR | II |
|---|---|---|---|---|---|---|---|---|---|---|---|---|---|---|
| (kg ha−1) | (kg ha−1) | (kg ha−1) | (kg ha−1) | (kg ha−1) | (kg ha−1) | (kg ha−1) | (kg m−3) | (kg kg−1) | ||||||
| 2013SL | N168 | 168 | 83.7 | 28.3 | 4.3 | 140.2 | 9.9 | 68.9 | 1.8 | 48.8 | 0.9 | 0.9 | 23.6 | 1.0 |
| N240 | 240 | 84.2 | 42.8 | 4.5 | 182.4 | 19.1 | 75.4 | 1.9 | 39.3 | 1.0 | 1.2 | 18.1 | 0.9 | |
| N312 | 312 | 83.9 | 56.49 | 4.6 | 180.5 | 25.9 | 128.4 | 1.4 | 36.7 | 0.9 | 1.5 | 14.0 | 0.7 | |
| 2013LC | N168 | 168 | 109.6 | 14.5 | 12.4 | 174.5 | 3.6 | 72.6 | 2.5 | 48.5 | 0.9 | 0.9 | 26.3 | 1.0 |
| N240 | 240 | 108.3 | 21.9 | 11.9 | 201.7 | 7.0 | 105.8 | 2.7 | 47.3 | 1.0 | 1.2 | 21.3 | 0.9 | |
| N312 | 312 | 108.3 | 29.2 | 11.9 | 204.7 | 9.7 | 164.7 | 2.8 | 42.6 | 1.0 | 1.5 | 15.5 | 0.8 | |
| 2014SL | N168 | 168 | 16.2 | 21.8 | 1.7 | 121.2 | 0.2 | 39.4 | 1.7 | 46.1 | 0.9 | 0.6 | 17.7 | 1.1 |
| N240 | 240 | 16.2 | 35.3 | 2.7 | 146.4 | 0.2 | 71.6 | 1.9 | 40.9 | 1.0 | 0.9 | 14.0 | 1.0 | |
| N312 | 312 | 16.2 | 49.2 | 4.1 | 171.5 | 0.5 | 103.0 | 2.5 | 30.2 | 0.9 | 1.5 | 9.7 | 0.7 | |
| 2014LC | N168 | 168 | 11.5 | 22.4 | 1.5 | 213.3 | 0.1 | −57.7 | 2.6 | 50.3 | 1.0 | 0.9 | 28.9 | 1.1 |
| N240 | 240 | 11.5 | 29.4 | 1.5 | 228.8 | 0.1 | −8.4 | 3.0 | 48.4 | 1.0 | 1.2 | 20.7 | 0.9 | |
| N312 | 312 | 11.9 | 42.2 | 1.5 | 249.4 | 0.2 | 30.6 | 2.8 | 40.3 | 0.9 | 1.5 | 15.4 | 0.7 | |
| Mean SL | N168 | 168 | 50.0 | 25.1 | 3.0 | 130.7 | 5.1 | 54.2 | 1.8 | 47.5 | 0.9 | 0.8 | 20.7 | 1.1 |
| N240 | 240 | 50.2 | 39.1 | 3.6 | 164.4 | 9.7 | 73.5 | 1.9 | 40.1 | 1.0 | 1.1 | 16.1 | 1.0 | |
| N312 | 312 | 50.1 | 52.8 | 4.4 | 176.0 | 13.2 | 115.7 | 2.0 | 33.5 | 0.9 | 1.5 | 11.9 | 0.7 | |
| Mean LC | N168 | 168 | 60.6 | 18.5 | 7.0 | 193.9 | 1.9 | 7.5 | 2.6 | 49.4 | 1.0 | 0.9 | 27.6 | 1.1 |
| N240 | 240 | 59.9 | 25.7 | 6.7 | 215.3 | 3.6 | 48.7 | 2.9 | 47.9 | 1.0 | 1.2 | 21.0 | 0.9 | |
| N312 | 312 | 60.1 | 35.7 | 6.7 | 227.1 | 5.0 | 97.7 | 2.8 | 41.5 | 1.0 | 1.5 | 15.5 | 0.8 |
| Soil | Nfert (kg ha−1) | Nvol (kg ha−1) | Nden (kg ha−1) | Nlea (kg ha−1) | Yield (kg ha−1) | WUE (kg m−3) | NUE (kg kg−1) | VCR | II |
|---|---|---|---|---|---|---|---|---|---|
| Sandy loam | 20 | 2.5 | 1.4 | 0.1 | 520 | 0.3 | 10.3 | 11.6 | 0.3 |
| 160 | 20.6 | 1.5 | 0.1 | 6680 | 1.8 | 31.2 | 18.3 | 1.0 | |
| 180 | 24.5 | 1.7 | 0.2 | 7180 | 1.8 | 32.0 | 17.3 | 1.1 | |
| 200 | 28.1 | 1.9 | 0.2 | 7180 | 1.8 | 30.0 | 16.0 | 1.0 | |
| 400 | 66.9 | 2.8 | 1.0 | 7180 | 1.8 | 24.7 | 8.4 | 0.7 | |
| Loamy clay | 20 | 1.7 | 1.8 | 0.0 | 391 | 0.1 | 8.6 | 8.7 | 0.2 |
| 180 | 19.3 | 1.5 | 0.0 | 9366 | 2.3 | 38.1 | 23.1 | 1.0 | |
| 200 | 22.4 | 1.5 | 0.0 | 11164 | 2.6 | 39.9 | 24.2 | 1.1 | |
| 220 | 25.9 | 1.5 | 11164 | 2.7 | 35.8 | 22.6 | 1.0 | ||
| 400 | 57.8 | 1.5 | 0.1 | 11164 | 2.7 | 27.3 | 12.4 | 0.7 |
| Site | Soil Layer (cm) | Particle Fraction (%) | Texture (USDA) | BD (g cm−3) | θfc (cm3 cm−3) | θwp (cm3 cm−3) | θs (cm3 cm−3) | ks (cm d−1) | ||
|---|---|---|---|---|---|---|---|---|---|---|
| Sand | Silt | Clay | ||||||||
| Fujiajie | 0–20 | 70.6 | 15.6 | 11.8 | Sandy loam | 1.50 | 0.22 | 0.07 | 0.270 | 60.6 |
| 20–40 | 82.2 | 9.7 | 8.5 | Loamy sand | 1.46 | 0.22 | 0.06 | 0.263 | 70.4 | |
| 40–60 | 87.7 | 5.5 | 6.8 | Loamy sand | 1.49 | 0.23 | 0.07 | 0.275 | 70.6 | |
| 60–80 | 83.9 | 11.7 | 6.4 | Loamy sand | 1.46 | 0.22 | 0.05 | 0.269 | 80.0 | |
| 80–100 | 80.0 | 12.5 | 7.5 | Loamy sand | 1.46 | 0.26 | 0.04 | 0.307 | 80.0 | |
| Sankeshu | 0–20 | 32.8 | 24.1 | 43.1 | Loamy clay | 1.58 | 0.42 | 0.16 | 0.463 | 2.24 |
| 20–40 | 31.5 | 37.2 | 30.3 | Loamy clay | 1.58 | 0.42 | 0.18 | 0.471 | 4.91 | |
| 40–60 | 33.0 | 30.9 | 36.1 | Loamy clay | 1.52 | 0.40 | 0.19 | 0.457 | 4.52 | |
| 60–80 | 21.7 | 51.1 | 27.2 | Clay loam | 1.54 | 0.38 | 0.18 | 0.406 | 22.7 | |
| 80–100 | 22.0 | 51.5 | 26.5 | Clay loam | 1.60 | 0.39 | 0.19 | 0.426 | 20.9 | |
Publisher’s Note: MDPI stays neutral with regard to jurisdictional claims in published maps and institutional affiliations. |
© 2022 by the authors. Licensee MDPI, Basel, Switzerland. This article is an open access article distributed under the terms and conditions of the Creative Commons Attribution (CC BY) license (https://creativecommons.org/licenses/by/4.0/).
Share and Cite
Meng, F.; Hu, K.; Feng, P.; Feng, G.; Gao, Q. Simulating the Effects of Different Textural Soils and N Management on Maize Yield, N Fates, and Water and N Use Efficiencies in Northeast China. Plants 2022, 11, 3338. https://doi.org/10.3390/plants11233338
Meng F, Hu K, Feng P, Feng G, Gao Q. Simulating the Effects of Different Textural Soils and N Management on Maize Yield, N Fates, and Water and N Use Efficiencies in Northeast China. Plants. 2022; 11(23):3338. https://doi.org/10.3390/plants11233338
Chicago/Turabian StyleMeng, Fanchao, Kelin Hu, Puyu Feng, Guozhong Feng, and Qiang Gao. 2022. "Simulating the Effects of Different Textural Soils and N Management on Maize Yield, N Fates, and Water and N Use Efficiencies in Northeast China" Plants 11, no. 23: 3338. https://doi.org/10.3390/plants11233338
APA StyleMeng, F., Hu, K., Feng, P., Feng, G., & Gao, Q. (2022). Simulating the Effects of Different Textural Soils and N Management on Maize Yield, N Fates, and Water and N Use Efficiencies in Northeast China. Plants, 11(23), 3338. https://doi.org/10.3390/plants11233338

