Azospirillum brasilense and Zinc Rates Effect on Fungal Root Colonization and Yield of Wheat-Maize in Tropical Savannah Conditions
Abstract
1. Introduction
2. Results
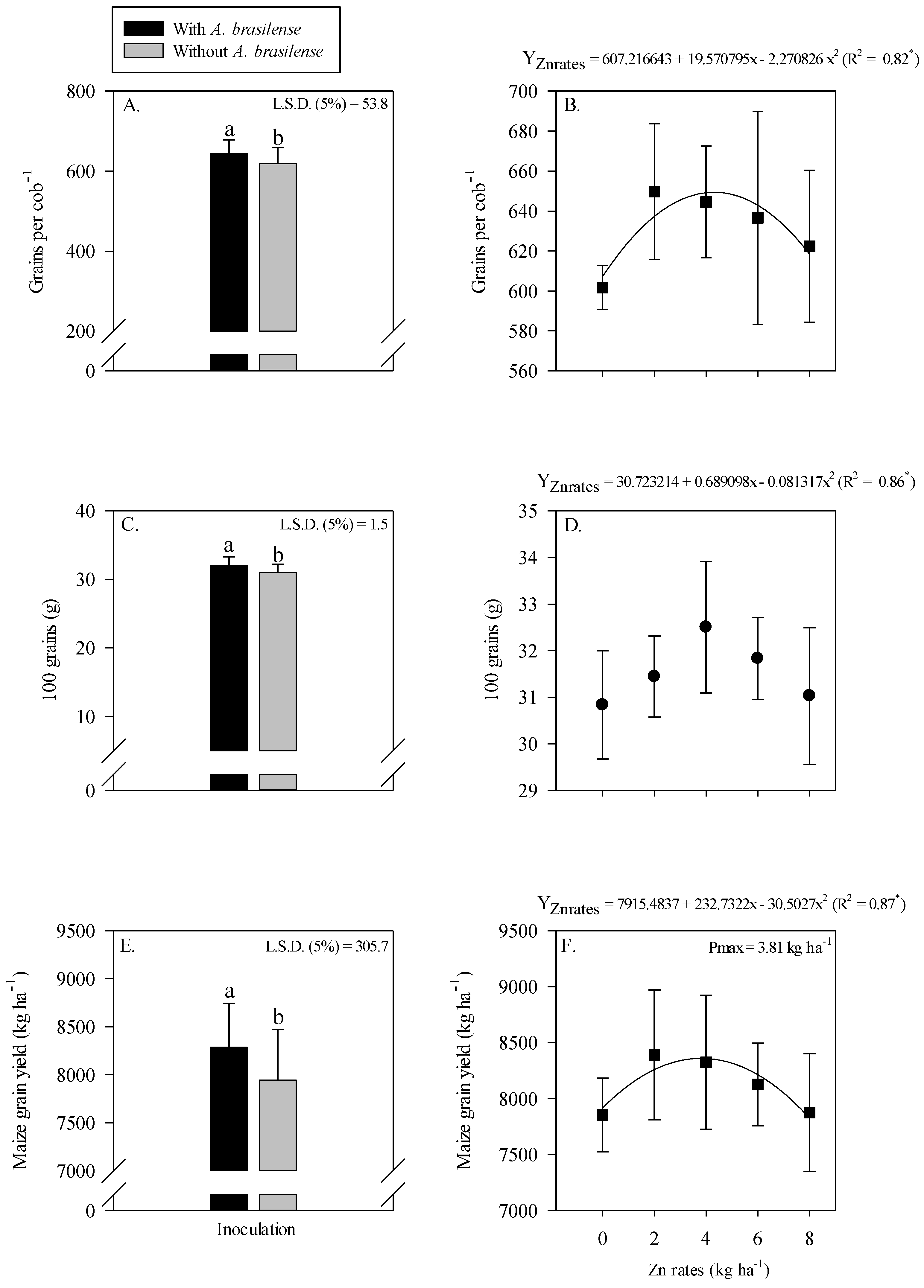
2.1. Treatments Effect on Maize
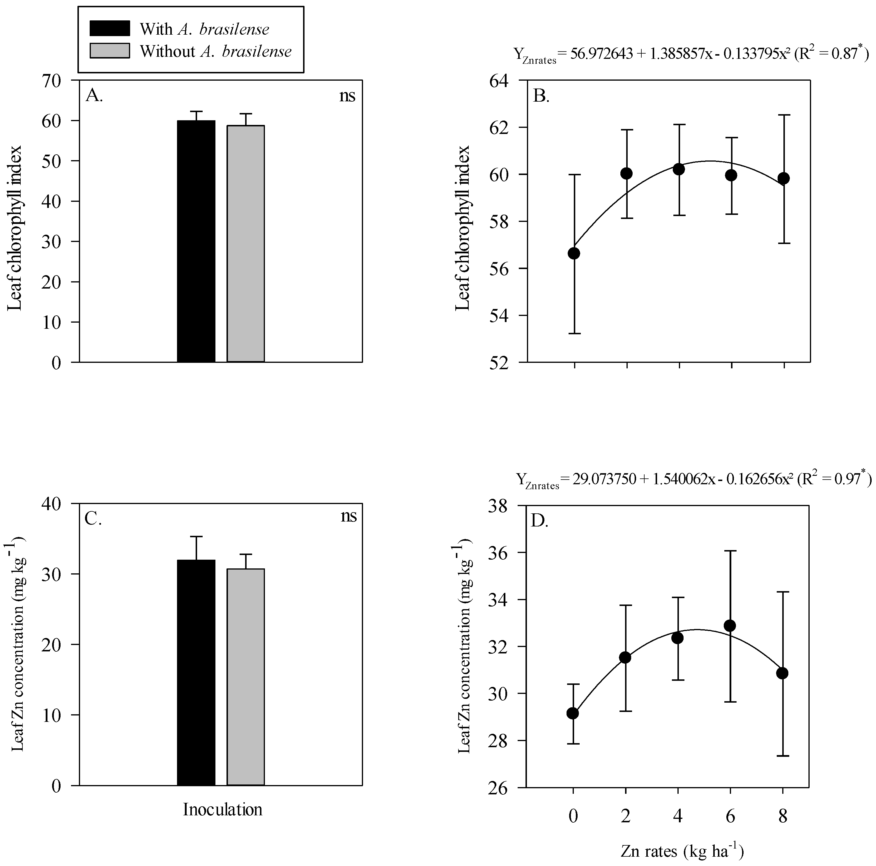
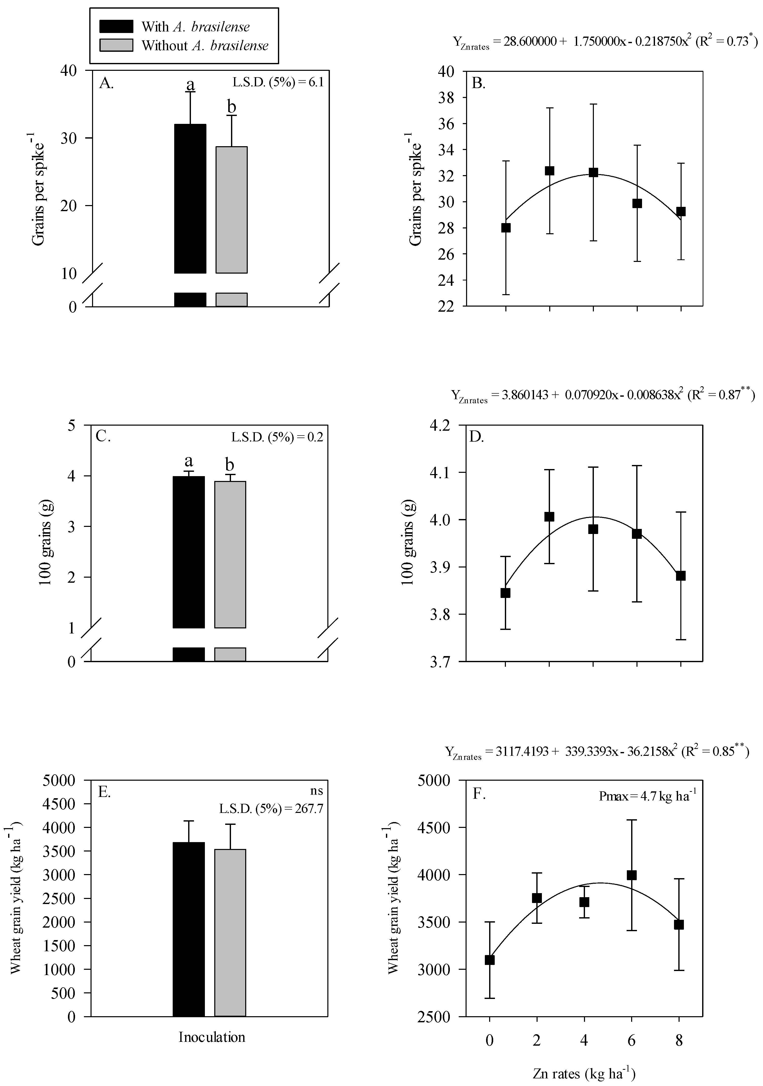
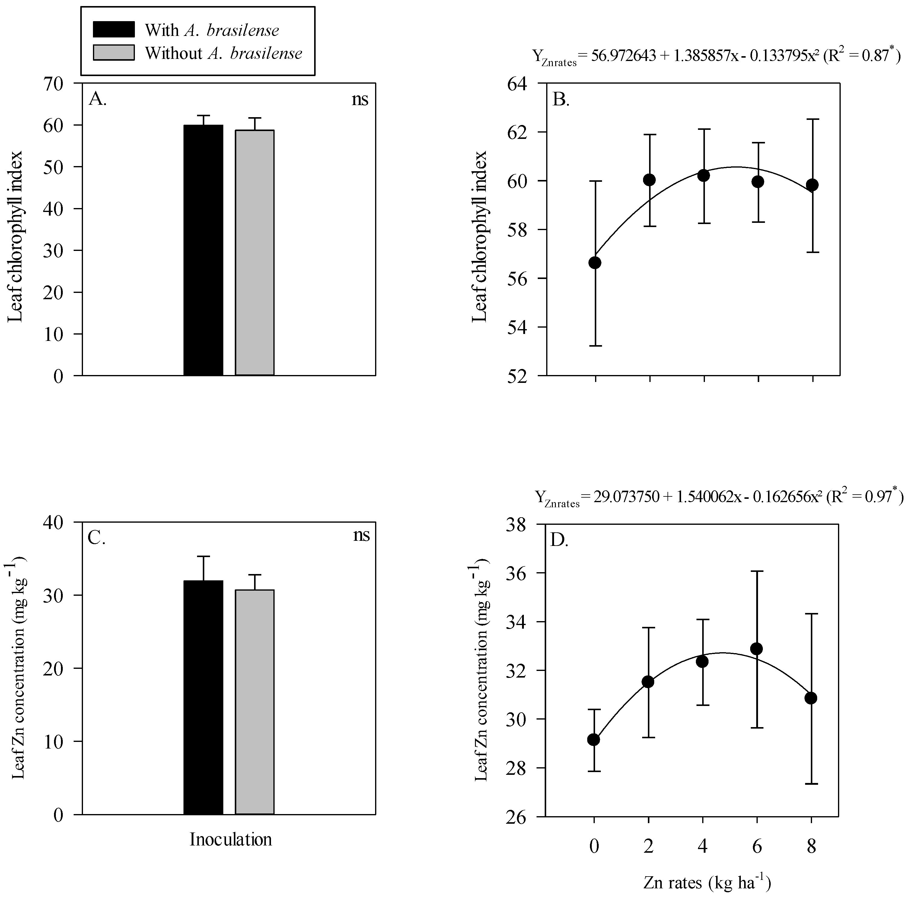
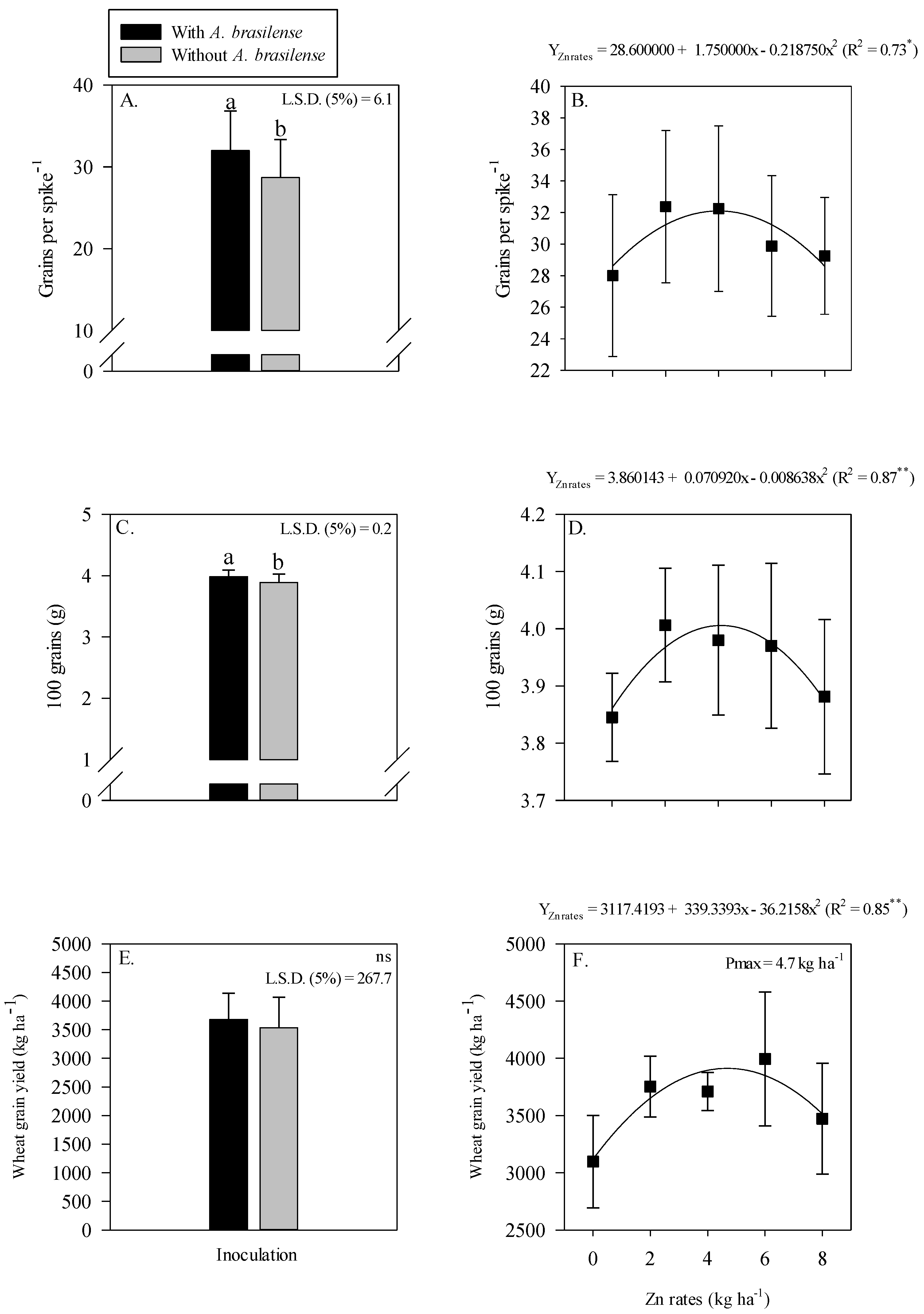
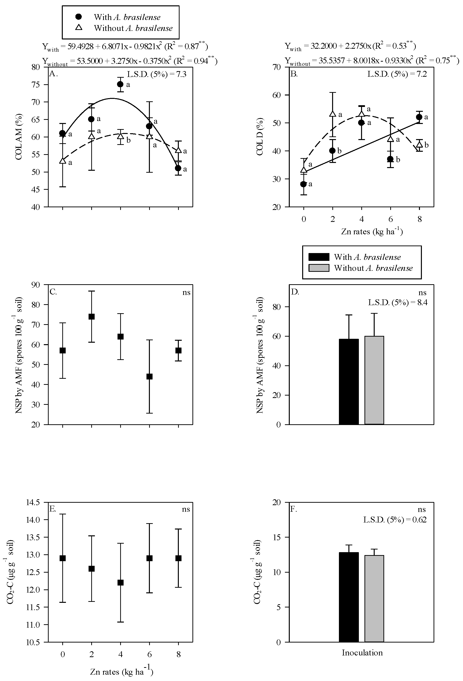
2.2. Treatment Effect on Wheat
3. Discussion
4. Materials and Methods
4.1. Site Description
4.2. Experimental Design and Treatments
4.3. Field Management
4.3.1. Maize
4.3.2. Wheat
4.4. Measurements
4.5. Statistical Analysis
5. Conclusions
Supplementary Materials
Author Contributions
Funding
Data Availability Statement
Conflicts of Interest
References
- FAO. United Nations Food and Agricultural Organization. Wheat Yields Global by Country. 2017. Available online: http://www.fao.org/faostat/en/#data (accessed on 20 September 2022).
- Conab. Companhia Nacional de Abastecimento. Grains Report—October 2020. Brasília: Conab. 2020. Available online: https://www.conab.gov.br/info-agro/safras (accessed on 20 January 2022). (In Portuguese)
- Hatfield, J.L.; Sauer, T.J.; Cruse, R.M. Chapter one—Soil: The forgotten piece of the water, food, energy Nexus. In Advances in Agronomy; Sparks, D.L., Ed.; Academic Press: Cambridge, UK, 2017; pp. 1–46. [Google Scholar]
- Yang, T.; Siddique, K.H.M.; Liu, K. Cropping systems in agriculture and their impact on soil health—A review. Glob. Ecol. Conserv. 2020, 23, e011118. [Google Scholar] [CrossRef]
- Cherubin, M.R.; Oliveira, D.M.S.; Feigl, B.J.; Pimentel, L.G.; Lisboa, I.P.; Gmach, M.R.; Varanda, L.L.; Moraes, M.C.; Satiro, L.S.; Popin, G.V.; et al. Crop residue harvest for bioenergy production and its implications on soil functioning and plant growth: A review. Sci. Agric. 2018, 75, 255–272. [Google Scholar] [CrossRef]
- Galindo, F.S.; Bellotte, J.L.; Santini, J.M.; Buzetti, S.; Rosa, P.A.; Jalal, A.; Teixeira Filho, M.C.M. Zinc use efficiency of maize-wheat cropping after inoculation with Azospirillum brasilense. Nutr. Cycl. Agroecosyst. 2021, 120, 205–221. [Google Scholar] [CrossRef]
- Jalal, A.; Shah, S.; Teixeira Filho, M.C.M.; Khan, A.; Shah, T.; Hussain, Z.; Younis, M.; Ilyas, M. Yield and phenological indices of wheat as affected by exogenous fertilization of Zinc and Iron. Braz. J. Agric. Sci. 2020, 15, e7730. [Google Scholar] [CrossRef]
- Kabir, A.H.; Akther, M.S.; Skalicky, M.; Das, U.; Gohari, G.; Brestic, M.; Hossain, M. Downregulation of Zn-transporters along with Fe and redox imbalance causes growth and photosynthetic disturbance in Zn-deficient tomato. Sci. Rep. 2021, 11, 6040. [Google Scholar] [CrossRef]
- Castillo-González, J.; Ojeda-Barrios, D.; Hernández-Rodriguéz, A.; González-Franco, A.C.; Robles-Hernández, L.; López-Ochoa, G.R. Zn metalloenzymes em plants. Interciencia 2018, 43, 242–248. [Google Scholar]
- Cakmak, I.; Kutman, U.B. Agronomic biofortification of cereals with zinc: A review. Eur. J. Soil Sci. 2017, 69, 172–180. [Google Scholar] [CrossRef]
- Jalal, A.; Shah, S.; Teixeira Filho, M.C.M.; Khan, A.; Shah, T.; Ilyas, M.; Rosa, P.A.L. Agro-biofortification of zinc and iron in wheat grains. Gesunde Pflanz. 2020, 72, 227–236. [Google Scholar] [CrossRef]
- Jalal, A.; Galindo, F.S.; Boleta, E.H.M.; da Silva Oliveira, C.E.; dos Reis, A.R.; Nogueira, T.A.R.; Moretti Neto, M.J.; Mortinho, E.S.; Fernandes, G.C.; Teixeira Filho, M.C.M. Common Bean Yield and Zinc Use Efficiency in Association with Diazotrophic Bacteria Co-Inoculations. Agronomy 2021, 11, 959. [Google Scholar] [CrossRef]
- Fukami, J.; Cerezini, P.; Hungria, M. Azospirillum: Benefits that go far beyond biological nitrogen fixation. AMB Express 2018, 8, 73. [Google Scholar] [CrossRef]
- Jalal, A.; Oliveira, C.E.d.S.; Fernandes, H.B.; Galindo, F.S.; Silva, E.C.d.; Fernandes, G.C.; Nogueira, T.A.R.; De Carvalho, P.H.G.; Balbino, V.R.; Lima, B.H.d.; et al. Diazotrophic bacteria is an alternative strategy for increasing grain biofortification, yield and zinc use efficiency of maize. Plants 2022, 11, 1125. [Google Scholar] [CrossRef]
- Karimi, N.; Goltapeh, E.M.; Amini, J.; Mehnaz, S.; Zarea, M.J. Effect of Azospirillum zeae and seed priming with zinc, manganese and auxin on growth and yield parameters of wheat, under dryland farming. Agric. Res. 2021, 10, 44–55. [Google Scholar] [CrossRef]
- Housh, A.B.; Benoit, M.; Wilder, S.L.; Scott, S.; Powell, G.; Schueller, M.J.; Ferrieri, R.A. Plant-growth-promoting bacteria can impact zinc uptake in Zea mays: An examination of the mechanisms of action using functional mutants of Azospirillum brasilense. Microorganisms 2021, 9, 1002. [Google Scholar] [CrossRef]
- Frey-Klett, P.; Garbaye, J.; Tarkka, M. The mycorrhiza helper bacteria revisited. New Phytol. 2007, 176, 22–36. [Google Scholar] [CrossRef] [PubMed]
- Ragasová, L.; Hakalová, E.; Ferby, V.; Čechová, J.; Klapcová, G.; Pokluda, R. Effect of plant growth promoting microorganisms on pepper plants infected with tomato brown rugose fruit virus. Diversity 2022, 14, 635. [Google Scholar] [CrossRef]
- De Moura, J.B.; Ribeiro, D.A.; Lopes Filho, L.C.; de Souza, R.F.; Furquim, L.C. Arbuscular mycorrhizas in sugarcane under different planting systems and sources of nitrogen. Sci. Agrar. 2017, 18, 20–29. [Google Scholar]
- Horacio, A.; de Weht Celia, B. Evaluation of the Effect of Azospirillum brasilense and Mycorrhizal Fungi of the Soil in Yacón Grown in a Greenhouse. Open J. Agric. Res. 2021, 1, 8–15. [Google Scholar]
- Barea, J.M.; Pozo, M.J.; Azcon, R.; Azcon-Aguilar, C. Microbial co-operation in the rhizosphere. J. Exp. Bot. 2005, 56, 1761–1778. [Google Scholar] [CrossRef]
- Malhi, G.S.; Kaur, M.; Kaushik, P.; Alyemeni, M.N.; Alsahli, A.A.; Ahmad, P. Arbuscular mycorrhiza in combating abiotic stresses in vegetables: An eco-friendly approach. Sci. Hortic. 2021, 28, 1465–1476. [Google Scholar] [CrossRef]
- Saboor, A.; Ali, M.A.; Hussain, S.; El Enshasy, H.A.; Hussain, S.; Ahmed, N.; Gafur, A.; Sayed, R.Z.; Fahad, S.; Danish, S.; et al. Zinc nutrition and arbuscular mycorrhizal symbiosis effects on maize (Zea mays L.) growth and productivity. Saudi J. Biol. Sci. 2021, 2, 6339–6351. [Google Scholar] [CrossRef]
- Kernaghan, G.; Griffin, A.; Gailey, J.; Hussain, A. Tannin tolerance and resistance in dark septate endophytes. Rhizosphere 2022, 23, 100574. [Google Scholar] [CrossRef]
- Han, L.; Zuo, Y.; He, X.; Hou, Y.; Li, M.; Li, B. Plant identity and soil variables shift the colonisation and species composition of dark septate endophytes associated with medicinal plants in a northern farmland in China. Appl. Soil Ecol. 2021, 167, 104042. [Google Scholar] [CrossRef]
- Radic, T.; Likar, M.; Hancevic, K.; Regvar, M.; Carija, M.; Zdunic, G. Root-associated community composition and co-occurrence patterns of fungi in wild grapevine. Fungal Ecol. 2021, 50, 101034. [Google Scholar] [CrossRef]
- Khan, A.; Ding, Z.; Ishaq, M.; Khan, I.; Ahmed, A.A.; Khan, A.Q.; Guo, X. Applications of beneficial plant growth promoting rhizobacteria and mycorrhizae in rhizosphere and plant growth: A review. Int. J. Agric. Biol. Eng. 2020, 13, 199–208. [Google Scholar] [CrossRef]
- Wang, J.; Yang, S. Dose-dependent responses of Arabidopsis thaliana to zinc are mediated by auxin homeostasis and transport. Environ. Exp. Bot. 2021, 189, 104554. [Google Scholar] [CrossRef]
- Liu, C.Y.; Wang, P.; Zhang, D.J.; Zou, Y.N.; Kuca, K. Mycorrhiza-induced change in root hair growth is associated with IAA accumulation and expression of EXPs in trifoliate orange under two P levels. Sci. Hortic. 2018, 234, 227–235. [Google Scholar] [CrossRef]
- Bidondo, L.F.; Silvani, V.; Colombo, R.; Peérgola, M.; Bompadre, J.; Godeas, A. Pre-symbiotic and symbiotic interactions between Glomus intraradices and two Paenibacillus species isolated from AM propagules. in vitro and in vivo assays with soybean (AG043RG) as plant host. Soil Biol. Biochem. 2011, 43, 1866–1872. [Google Scholar] [CrossRef]
- Jangra, E.; Yadav, K.; Aggarwal, A. Arbuscular mycorrhizal fungal-associated bacteria affect mycorrhizal colonization, essential oil and plant growth of Murraya koenigii L. Acta Sci. Pol. Hortorum Cultus 2019, 18, 39–48. [Google Scholar] [CrossRef]
- Turrini, A.; Avio, L.; Giovannetti, M.; Agnolucci, M. Funcional complementarity of arbuscular mycorrhizal fungi and associated microbiota: The challenge of translational research. Front. Plant Sci. 2018, 9, 1407. [Google Scholar] [CrossRef]
- Berta, G.; Copetta, A.; Gamalero, E.; Bona, E.; Cesaro, P.; Scarafoni, A.; D’Agostino, G. Maize development and grain quality are differentially affected by mycorrhizal fungi and a growth-promoting pseudomonas in the field. Mycorrhiza 2014, 24, 161–170. [Google Scholar] [CrossRef]
- Zhu, L.; Li, T.; Wang, C.; Zhang, X.; Xu, L.; Xu, R.; Zhao, Z. The effects of dark septate endophyte (DSE) inoculation on tomato seedlings under Zn and Cd stress. Environ. Sci. Pollut. Res. 2018, 25, 35232–35241. [Google Scholar] [CrossRef] [PubMed]
- Ranelli, L.B.; Hendricks, W.Q.; Lynn, J.S.; Kivlin, S.N.; Rudgers, J.A. Biotic and abiotic predictors of fungal colonization in grasses of the Colorado Rockies. Divers. Distrib. 2015, 21, 1–15. [Google Scholar] [CrossRef]
- Liu, D.; Zhu, L.; Li, T.; Zhao, Z. Mutualism between Dark Septate Endophytes (DSEs) and their host plants under metal stress: A case study. All Life 2021, 14, 667–677. [Google Scholar] [CrossRef]
- Newsham, K.K. A meta-analysis of plant responses to dark septate root endophytes. New Phytol. 2011, 190, 783–793. [Google Scholar] [CrossRef]
- Santos, S.G.D.; Silva, P.; Garcia, A.C.; Zilli, J.E.; Berbara, R.L.L. Dark septate endophyte decreases stress on rice plants. Braz. J. Microbiol. 2017, 48, 333–341. [Google Scholar] [CrossRef]
- Ruotsalainen, A.L.; Kauppinen, M.; Wali, P.R.; Saikkonen, K.; Helander, M.; Tuomi, J. Dark septate endophytes: Mutualism from by-products? Trends Plant Sci. 2022, 27, 247–254. [Google Scholar] [CrossRef]
- Li, S.; Yang, W.; Guo, J.; Li, X.; Lin, J.; Zhu, X. Changes in photosynthesis and respiratory metabolism of maize seedlings growing under low temperature stress may be regulated by arbuscular mycorrhizal fungi. Plant Physiol. Biochem. 2020, 154, 1–10. [Google Scholar] [CrossRef]
- Redkar, A.; Sabale, M.; Zuccaro, A.; Pietro, A. Determinants of endophytic and pathogenic lifestyle in root colonizing fungi. Curr. Opin. Plant Biol. 2022, 67, 102226. [Google Scholar] [CrossRef]
- Saurich, A.; Tiemeyer, B.; Don, A.; Fiedler, S.; Bechtold, M.; Amelung, W.; Freibauer, A. Drained organic soils under agriculture—The more degraded the soil the higher the specific basal respiration. Geoderma 2019, 335, 12. [Google Scholar] [CrossRef]
- Bera, T.; Sharma, S.; Thind, H.S.; Singh, Y.; Sidhu, H.S.; Jat, M.L. Changes in soil biochemical indicators at different wheat growth stages under conservation-based sustainable intensification of rice-wheat system. J. Integr. Agric. 2018, 17, 1871–1880. [Google Scholar] [CrossRef]
- Anderson, T.H.; Domsch, K.H. The metabolic quotient of CO2 (qCO2) as a specific activity parameter to assess the effects of environmental conditions, such pH, on the microbial biomass of forest soils. Soil Biol. Biochem. 1993, 25, 393–395. [Google Scholar] [CrossRef]
- Li, P.; Shi, K.; Wang, Y.; Kong, D.; Liu, T.; Jiao, J.; Liu, M.; Li, H.; Hu, F. Soil quality assessment of wheat-maize cropping system with different productivities in China: Establishing a minimum data set. Soil Till. Res. 2019, 190, 31–40. [Google Scholar] [CrossRef]
- Cassán, F.; Coniglio, A.; López, G.; Molina, R.; Nievas, S.; de Carlan, C.L.N.; Donadio, F.; Torres, D.; Rosas, S.; Pedrosa, F.O.; et al. Everything you must know about Azospirillum and its impact on agriculture and beyond. Biol. Fertil. Soils 2020, 56, 461–479. [Google Scholar] [CrossRef]
- Jalal, A.; Oliveira, C.; Freitas, L.; Galindo, F.; Lima, B.; Boleta, E.; Silva, E.C.; Nascimento, V.; Nogueira, T.A.R.; Buzetti, S.; et al. Agronomic biofortification and productivity of wheat with soil zinc and diazotrophic bacteria under tropical savannah. Crop Pasture Sci. 2022, 73, 817–830. [Google Scholar]
- Boleta, E.H.M.; Shintate, G.F.; Jalal, A.; Santini, J.M.K.; Rodrigues, W.L.; Lima, B.H.D.; Arf, O.; Silva, M.R.D.; Buzetti, S.; Teixeira Filho, M.C.M. Inoculation with growth-promoting bacteria Azospirillum brasilense and its effects on productivity and nutritional accumulation of wheat cultivars. Front. Sustain. Food Syst. 2020, 4, 607262. [Google Scholar] [CrossRef]
- Jalal, A.; Galindo, F.S.; Freitas, L.A.; da Silva, O.C.E.; de Lima, B.H.; Pereira, Í.T.; Ferraz, G.F.; de Souza, J.S.; da Costa, K.N.; Nogueira, T.A.R.; et al. zinc efficiencies and biofortification of wheat with zinc sulfate application in soil and foliar nanozinc fertilisation. Crop Pasture Sci. 2022, 73, 749–759. [Google Scholar] [CrossRef]
- Galindo, F.S.; Teixeira Filho, M.C.M.; Buzetti, S.; Pagliari, P.H.; Santini, J.M.K.; Alves, C.J.; Megda, M.M.; Nogueira, T.A.R.; Andreotti, M.; Arf, O. Maize yield response to nitrogen rates and sources associated with Azospirillum brasilense. Agron. J. 2019, 111, 1985–1997. [Google Scholar] [CrossRef]
- Alvarez, R.D.C.; Benetão, J.; Barzotto, G.R.; Andrade, M.G.D.O.; Lima, S.F.D. Application methods of Azospirillum brasilense in first-and second-crop corn. Rev. Bras. Eng. Agric. Ambient. 2019, 23, 840–846. [Google Scholar] [CrossRef]
- Gómez-Godínez, L.J.; Fernandez-Valverde, S.L.; Romero, J.C.M.; Martínez-Romero, E. Metatranscriptomics and nitrogen fixation from the rhizoplane of maize plantlets inoculated with a group of PGPRs. Syst. Appl. Microbiol. 2019, 42, 517–525. [Google Scholar] [CrossRef]
- Kazi, N.; Deaker, R.; Wilson, N.; Muhammad, K.; Trethowan, R. The response of wheat genotypes to inoculation with Azospirillum brasilense in the field. Field Crops Res. 2016, 196, 368–378. [Google Scholar] [CrossRef]
- Soil Survey Staff. Keys to Soil Taxonomy, 12th ed.; USDA, Natural Resources Conservation Service: Washington, DC, USA, 2014.
- Raij, B.; Andrade, J.C.; Cantarella, H.; Quaggio, J.A. Chemical Analysis for Fertility Evaluation of Tropical Soils; IAC: Campinas, Brazil, 2001; 285p. (In Portuguese) [Google Scholar]
- Teixeira, P.C.; Donagemma, G.K.; Fontana, A.; Teixeira, W.G. Manual of Soil Analysis Methods; National Center for Soil Research, Embrapa: Rio de Janeiro, Brazil, 2017. (In Portuguese) [Google Scholar]
- Döbereiner, J.; Baldani, V.L.D.; Baldani, J.I. How to Isolate and Identify Diazotrophic Bacteria from Non-Leguminous Plants; Embrapa-SPI e Seropédica, Embrapa-CNPAB: Brasília, Brazil, 1995; p. 60. (In Portuguese) [Google Scholar]
- Munareto, J.D.; Martin, T.N.; Muller, T.M.; Nunes, U.R.; Rosa, G.B.; Grando, L.F.T. Compatibility of Azospirillum brasilense with fungicide and insecticide and its effects on the physiological quality of wheat seeds. Semina Ciênc. Agrár. 2018, 39, 855–864. [Google Scholar] [CrossRef]
- Silva, K.; Silva, E.E.; Farias, E.N.C.; Chaves, J.S.; Albuquerque, C.N.B.; Cardoso, C. Agronomic efficiency of Bradyrhizobium preinoculation in association with chemical treatment of soybean seeds. Afr. J. Agr. Res. 2018, 13, 726–732. [Google Scholar]
- Cardillo, B.E.S.; Oliveira, D.P.; Soares, B.L.; Martins, F.A.D.; Rufini, M.; Silva, J.S.; Ferreira Neto, G.G.; de Andrade, M.J.B.; Moreira, F.M.D.S. Nodulation and yields of common bean are not affected either by fungicides or by the method of inoculation. Agron. J. 2019, 111, 694–701. [Google Scholar] [CrossRef]
- Fukami, J.; Ollero, F.J.; Megías, M.; Hungria, M. Phytohormones and induction of plant-stress tolerance and defense genes by seed and foliar inoculation with Azospirillum brasilense cells and metabolites promote maize growth. AMB Express 2017, 7, 153–163. [Google Scholar] [CrossRef]
- Fukami, J.; De La, O.C.; Ollero, F.J.; Megías, M.; Hungria, M. Coinoculation of maize with Azospirillum brasilense and Rhizobium tropici as a strategy to mitigate salinity stress. Funct. Plant Biol. 2018, 45, 328–339. [Google Scholar] [CrossRef]
- Zadoks, J.C.; Chang, T.T.; Konzak, C.F. A decimal code for the growth stages of cereals. Weed Res. 1974, 14, 415–421. [Google Scholar] [CrossRef]
- Phillips, J.M.; Hayman, D.S. Improved procedures for clearing roots for rapid assessment of infection. Trans. Br. Mycol. Soc. 1970, 55, 158–161. [Google Scholar] [CrossRef]
- Gerdemann, J.W.; Nicolson, T.H. Spores of micorrhizal endogone species extracted from soil by wet sieving and decanting. Trans Brit. Mycol. Soc. 1963, 46, 234–244. [Google Scholar] [CrossRef]
- Jenkins, W.R. A rapid centrifugal-flotation technique for separating nematodes from soil. Plant Soil 1964, 73, 288–300. [Google Scholar]
- Malavolta, E.; Vitti, G.C.; Oliveira, S.A. Evaluation of the Nutritional Status of Plants: Principles and Applications, 2nd ed.; Potafos: Piracicaba, Brazil, 1997; p. 319. (In Portuguese) [Google Scholar]
- Shapiro, S.S.; Wilk, M.B. An analysis of variance test for normality (complete samples). Biometrika 1965, 52, 591–611. [Google Scholar] [CrossRef]
- R Development Core Team. R: A Language and Environment for Statistical Computing; R Foundation for Statistical Computing: Vienna, Austria, 2015; Available online: https://www.R-project.org/ (accessed on 12 March 2022).







| Soil Chemical Attributes | 0–0.20-m Layer |
|---|---|
| P (resin) | 13.0 mg dm−3 |
| S (SO4) | 6.0 mg dm−3 |
| Organic matter | 23.0 g dm−3 |
| pH (CaCl2) | 4.8 |
| K | 2.6 mmolc dm−3 |
| Ca | 13.0 mmolc dm−3 |
| Mg | 8.0 mmolc dm−3 |
| H + Al | 42.0 mmolc dm−3 |
| Al | 2.0 mmolc dm−3 |
| B (hot water) | 0.24 mg dm−3 |
| Cu (DTPA) | 5.9 mg dm−3 |
| Fe (DTPA) | 30.0 mg dm−3 |
| Mn (DTPA) | 93.5 mg dm−3 |
| Zn (DTPA) | 0.5 mg dm−3 |
| Cation exchange capacity (pH 7.0) | 65.6 mmolc dm−3 |
| Base saturation (%) | 36 |
| Sand | 438 g kg−1 |
| Silt | 90 g kg−1 |
| Clay | 472 g kg−1 |
| Azospirillum sp. most probably number | 1.65 × 104 CFU g−1 soil |
Publisher’s Note: MDPI stays neutral with regard to jurisdictional claims in published maps and institutional affiliations. |
© 2022 by the authors. Licensee MDPI, Basel, Switzerland. This article is an open access article distributed under the terms and conditions of the Creative Commons Attribution (CC BY) license (https://creativecommons.org/licenses/by/4.0/).
Share and Cite
Silva, P.S.T.; Cassiolato, A.M.R.; Galindo, F.S.; Jalal, A.; Nogueira, T.A.R.; Oliveira, C.E.d.S.; Filho, M.C.M.T. Azospirillum brasilense and Zinc Rates Effect on Fungal Root Colonization and Yield of Wheat-Maize in Tropical Savannah Conditions. Plants 2022, 11, 3154. https://doi.org/10.3390/plants11223154
Silva PST, Cassiolato AMR, Galindo FS, Jalal A, Nogueira TAR, Oliveira CEdS, Filho MCMT. Azospirillum brasilense and Zinc Rates Effect on Fungal Root Colonization and Yield of Wheat-Maize in Tropical Savannah Conditions. Plants. 2022; 11(22):3154. https://doi.org/10.3390/plants11223154
Chicago/Turabian StyleSilva, Philippe Solano Toledo, Ana Maria Rodrigues Cassiolato, Fernando Shintate Galindo, Arshad Jalal, Thiago Assis Rodrigues Nogueira, Carlos Eduardo da Silva Oliveira, and Marcelo Carvalho Minhoto Teixeira Filho. 2022. "Azospirillum brasilense and Zinc Rates Effect on Fungal Root Colonization and Yield of Wheat-Maize in Tropical Savannah Conditions" Plants 11, no. 22: 3154. https://doi.org/10.3390/plants11223154
APA StyleSilva, P. S. T., Cassiolato, A. M. R., Galindo, F. S., Jalal, A., Nogueira, T. A. R., Oliveira, C. E. d. S., & Filho, M. C. M. T. (2022). Azospirillum brasilense and Zinc Rates Effect on Fungal Root Colonization and Yield of Wheat-Maize in Tropical Savannah Conditions. Plants, 11(22), 3154. https://doi.org/10.3390/plants11223154

