Changes in Soil Characteristics, Microbial Metabolic Pathways, TCA Cycle Metabolites and Crop Productivity following Frequent Application of Municipal Solid Waste Compost
Abstract
1. Introduction
2. Results and Discussion
2.1. Location Climate
2.2. Soil Physical Properties
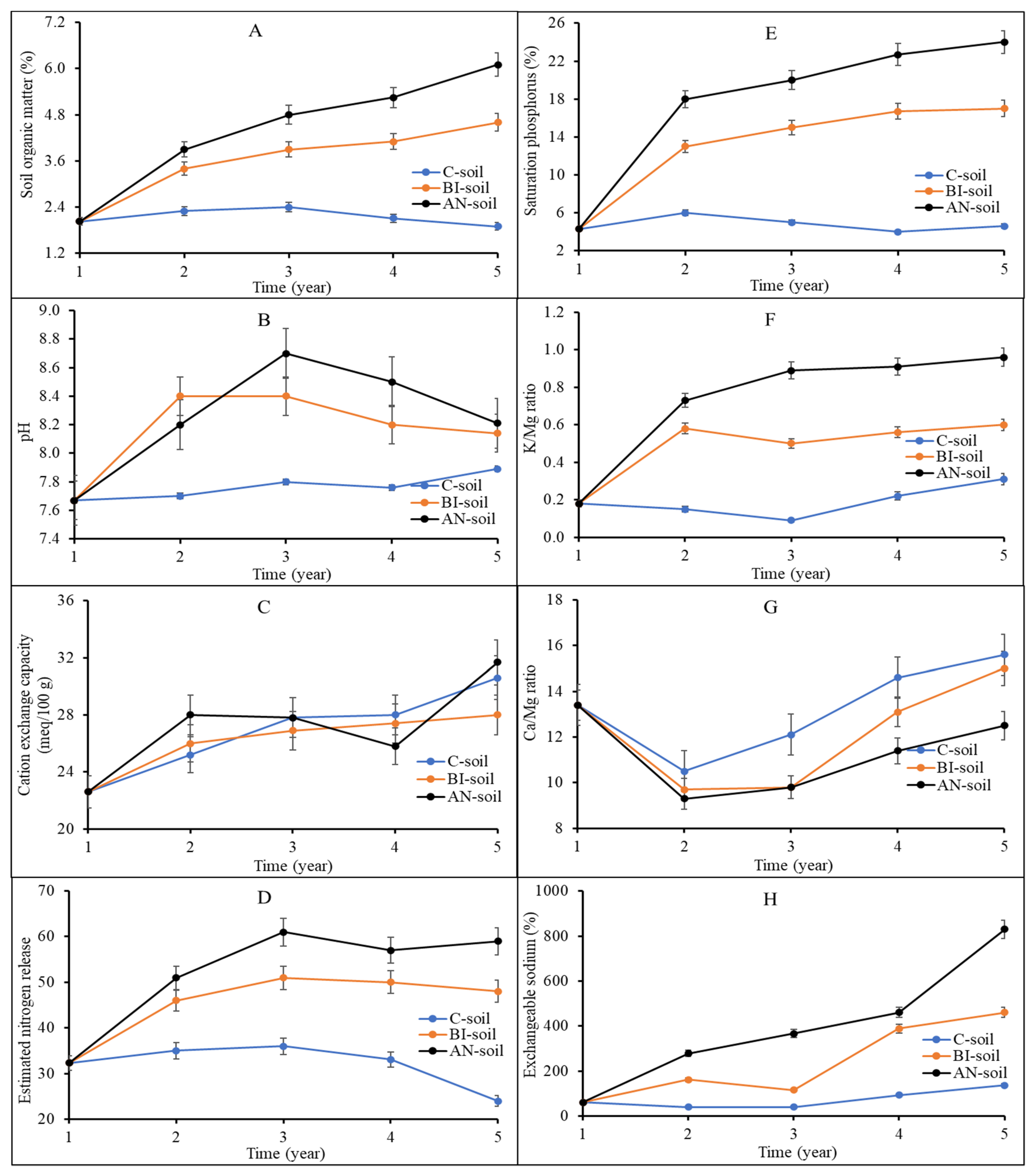
2.3. Soil Chemical Properties
2.4. Soil Microbial Communities
2.5. Soil Microbiome Function
2.6. Crop Morpho-Physiology
2.7. Elemental Accumulation in Harvested Crops
2.8. TCA Cycle Intermediate Metabolites
2.9. Multivariate Assessment
3. Materials and Methods
3.1. Location and Materials
3.2. Field Preparation and Planting
3.3. Soil Analysis
3.3.1. Soil Physical Properties
3.3.2. Soil Chemical Properties
3.3.3. Soil Microbial Properties
DNA Extraction and Sequencing
Amplicon Variant Sequence (AVS) Picking and Statistical Analyses
Microbiome Functional Analysis
Bioinformatic Analysis of Amplicon Sequencing and PICRUSt2 Outputs
3.4. Plant Morpho-Physiology and Yield
3.4.1. Leaf Pigmentation and Plant Photosynthetic Efficiency
3.4.2. Plant Growth and Yield
3.5. Plant Chemical Composition
3.5.1. Plant Elemental Composition
3.5.2. TCA cycle Intermediate Metabolites
3.6. Experimental Design and Data Analysis
Soil Physiochemical Properties and Plant Growth Components
4. Conclusions
Supplementary Materials
Author Contributions
Funding
Data Availability Statement
Acknowledgments
Conflicts of Interest
References
- UN. Economic and Social Affairs. United Nations Department of Economic and Social Affairs and Population Division, World Population to 2300. 2004. Available online: https://www.un.org/development/desa/pd/sites/www.un.org.development.desa.pd/files/files/documents/2020/Jan/un_2002_world_population_to_2300.pdf (accessed on 2 January 2022).
- Wright, J.; Kenner, S.; Lingwall, B. Utilization of compost as a soil amendment to increase soil health and to improve crop yields. Open J. Soil Sci. 2022, 12, 216–224. [Google Scholar] [CrossRef]
- Feodorov, C.; Velcea, A.M.; Ungureanu, F.; Apostol, T.; Robescu, L.D.; Cocarta, D.M. Toward a circular bioeconomy within food waste valorization: A case study of an on-site composting system of restaurant organic waste. Sustainability 2022, 14, 8232. [Google Scholar] [CrossRef]
- Kaza, S.; Yao, L.; Bhada-Tata, P.; Van Woerden, F. What a Waste 2.0: A Global Snapshot of Solid Waste Management to 2050; The World Bank Group: Washington, DC, USA, 2018; p. 295. [Google Scholar] [CrossRef]
- Maalouf, A.; Mavropoulos, A.; El-Fadel, M. Global municipal solid waste infrastructure: Delivery and forecast of uncontrolled disposal. Waste Manag. Res. 2020, 38, 1028–1036. [Google Scholar] [CrossRef] [PubMed]
- Environment Canada. Technical Document on Municipal Solid Waste Organics Processing. 2013. Available online: https://www.ec.gc.ca/gdd-mw/3E8CF6C7-F214-4BA2-A1A3-163978EE9D6E/13-047-ID-458-PDF_accessible_ANG_R2-reduced%20size.pdf (accessed on 30 March 2021).
- Abbey, L.; Ijenyo, M.; Spence, B.; Asunni, A.O.; Ofoe, R.; Amo-Larbi, V. Bioaccumulation of chemical elements in vegetables as influenced by application frequency of municipal solid waste compost. Can. J. Plant Sci. 2021, 101, 967–983. [Google Scholar] [CrossRef]
- Bustamante, M.A.; Nogués, I.; Jones, S.; Allison, G. The effect of anaerobic digestate derived composts on the metabolite composition and thermal behaviour of rosemary. Sci. Rep. 2019, 9, 6489. [Google Scholar] [CrossRef] [PubMed]
- Hargreaves, J.; Adl, M.; Warman, P. A review of the use of composted municipal solid waste in agriculture. Agric. Ecosyst. Environ. 2008, 123, 1–14. [Google Scholar] [CrossRef]
- Giannakis, G.V.; Kourgialas, N.N.; Paranychianakis, N.V.; Nikolaidis, N.P.; Kalogerakis, N. Effects of municipal solid waste compost on soil properties and vegetables growth. Compos. Sci. Util. 2014, 22, 116–131. [Google Scholar] [CrossRef]
- Ney, L.; Franklin, D.; Mahmud, K.; Cabrera, M.; Hancock, D.; Habteselassie, M.; Newcomer, Q.; Fatzinger, B. Rebuilding soil ecosystems for improved productivity in biosolarized soils. Int. J. Agron. 2019, 1245, 5827585. [Google Scholar] [CrossRef]
- Singh, Y.P.; Arora, S.; Mishra, V.K.; Singh, A.K. Synergizing microbial enriched municipal solid waste compost and mineral gypsum for optimizing rice-wheat productivity in sodic soils. Sustainability 2022, 14, 7809. [Google Scholar] [CrossRef]
- Machado, R.M.A.; Alves-Pereira, I.; Robalo, M.; Ferreira, R. Effects of municipal solid waste compost supplemented with inorganic nitrogen on physicochemical soil characteristics, plant growth, nitrate content, and antioxidant activity in spinach. Horticulturae 2021, 7, 53. [Google Scholar] [CrossRef]
- Vaccaro, S.; Muscolo, A.; Pizzeghello, D.; Spaccini, R.; Piccolo, A.; Nardi, S. Effect of a compost and its water-soluble fractions on key enzymes of nitrogen metabolism in maize seedlings. J. Agric. Food Chem. 2009, 57, 11267–11276. [Google Scholar] [CrossRef] [PubMed]
- Beffa, T.; Blanc, M.; Marilley, L.; Fischer, J.L.; Lyon, P.F.; Aragno, M. Taxonomic and metabolic microbial diversity during composting. In The Science of Composting; de Bertoldi, M., Sequi, P., Lemmes, B., Papi, T., Eds.; Springer: Dordrecht, The Netherlands, 1996; pp. 149–161. [Google Scholar] [CrossRef]
- Mehta, C.M.; Palni, U.; Franke-Whittle, I.H.; Sharma, A.K. Compost: Its role, mechanism and impact on reducing soil-borne plant diseases. J. Waste Manag. 2014, 34, 607–622. [Google Scholar] [CrossRef]
- Steel, H.; Moens, T.; Vandecasteele, B.; Hendrickx, F.; De Neve, S.; Neher, D.A. Factors influencing the nematode community during composting and nematode-based criteria for compost maturity. Ecol. Indic. 2018, 85, 409–421. [Google Scholar] [CrossRef]
- Kelly, C.; Haddix, M.L.; Byrne, P.F.; Cotrufo, M.F.; Schipanski, M.E.; Kallenbach, C.M.; Wallenstein, M.D.; Fonte, S.J. Long-term compost amendment modulates wheat genotype differences in belowground carbon allocation, microbial rhizosphere recruitment and nitrogen acquisition. Soil Biol. Biochem. 2022, 172, 108768. [Google Scholar] [CrossRef]
- Abbey, L.; Ofoe, R.; Gunupuru, L.R.; Ijenyo, M. Variation in frequency of CQA-tested municipal solid waste compost can alter metabolites in vegetables. Food Res. Int. 2021, 143, 110225. [Google Scholar] [CrossRef] [PubMed]
- van der Merwe, M.J.; Osorio, S.; Araujo, W.L.; Balbo, I.; Nunes-Nesi, A.; Maximova, E.; Carrari, F.; Bunik, V.I.; Persson, S.; Fernie, A.R. Tricarboxylic acid cycle activity regulates tomato root growth via effects on secondary cell wall production. Plant Physiol. 2010, 153, 611–621. [Google Scholar] [CrossRef] [PubMed]
- Neugart, S.; Wiesner-Reinhold, M.; Frede, K.; Jander, E.; Homann, T.; Rawel, H.M.; Schreiner, M.; Baldermann, S. Effect of solid biological waste compost on the metabolite profile of Brassica rapa ssp. chinensis. Front. Plant Sci. 2008, 16, 305. [Google Scholar] [CrossRef]
- Zhou, D.; Huang, X.F.; Chaparro, J.M.; Badri, D.v.; Manter, D.K.; Vivanco, J.M.; Guo, J. Root and bacterial secretions regulate the interaction between plants and PGPR leading to distinct plant growth promotion effects. Plant Soil 2016, 401, 259–272. [Google Scholar] [CrossRef]
- Zhang, Y.; Fernie, R. On the role of the tricarboxylic acid cycle in plant productivity. J. Integr. Plant Biol. 2018, 60, 1199–1216. [Google Scholar] [CrossRef]
- Moffett, J.R.; Puthillathu, N.; Vengilote, R.; Jaworski, D.M.; Namboodiri, A.M. Acetate revisited: A key biomolecule at the nexus of metabolism, epigenetics and oncogenesis Part 1: Acetyl-CoA, Acetogenesis and Acyl-CoA Short-Chain Synthetases. Front. Physiol. 2020, 11, 580167. [Google Scholar] [CrossRef]
- Omena-Garcia, R.P.; Araújo, W.L.; Gibon, Y.; Fernie, A.R.; Nunes-Nesi, A. Measurement of tricarboxylic acid cycle enzyme activities in plants. Methods Mol. Biol. 2017, 1670, 167–182. [Google Scholar] [CrossRef] [PubMed]
- Fataftah, N.; Mohr, C.; Hajirezaei, M.R.; von Wirén, N.; Humbeck, K. Changes in nitrogen availability leads to a reprogramming of pyruvate metabolism. BMC Plant Biol. 2018, 18, 77. [Google Scholar] [CrossRef] [PubMed]
- Wang, L.; Cui, D.; Zhao, X.; He, M. The important role of the TCA cycle in plants. Genom. Appl. Biol. 2017, 8, 25–29. [Google Scholar] [CrossRef]
- Rosa, S.D.; Silva, C.A.; Carletti, P.; Sawaya, A.C.H.F. Maize growth and root organic acid exudation in response to water extract of compost application. J. Soil Sci. Plant Nutr. 2021, 21, 2770–2780. [Google Scholar] [CrossRef]
- Adugna, G. A review on impact of compost on soil properties, water use and crop productivity. Res. J. Agric. Sci. 2016, 4, 93–104. [Google Scholar] [CrossRef]
- Rawls, W.J.; Pachepsky, Y.A.; Ritchie, J.C.; Sobecki, T.M.; Bloodworth, H. Effect of soil organic carbon on soil water retention. Geoderma 2003, 116, 61–76. [Google Scholar] [CrossRef]
- Metting, F.B.; Smith, J.L.; Amthor, J.S. Science needs and new technology for soil carbon sequestration. In Carbon Sequestration in Soils: Science, Monitoring and Beyond; Rosenberg, N.J., Izaurralde, R.C., Malone, E.L., Eds.; Battelle Press: Columbus, OH, USA, 1999; pp. 1–34. [Google Scholar]
- Akpa, S.I.C.; Odeh, I.O.A.; Bishop, T.F.A.; Hartemink, A.E.; Amapu, I.Y. Total soil organic carbon and carbon sequestration potential in Nigeria. Geoderma 2016, 271, 202–215. [Google Scholar] [CrossRef]
- McCauley, A.; Jones, C.; Jacobsen, J. Nutrient Management-Module #8. Soil pH and Organic Matter; Montana State University: Bozeman, MT, USA, 2016; pp. 1–16. [Google Scholar]
- Solly, E.F.; Weber, V.; Zimmermann, S.; Walthert, L.; Hagedorn, F.; Schmidt, M.W.I. A critical evaluation of the relationship between the effective cation exchange capacity and soil organic carbon content in Swiss forest soils. Front. For. Glob. Chang. 2020, 3, 98. [Google Scholar] [CrossRef]
- Rheault, D.G. Relationship between soil phosphorus and runoff phosphorus losses from plot scale rainfall simulations on Manitoba soils. Master’s Thesis, Department of Soil Science, University of Manitoba, Winnipeg, MB, Canada, 2012; p. 197. [Google Scholar]
- Nair, K.P. Soil fertility and nutrient management. In Intelligent Soil Management for Sustainable Agriculture; Springer International Publishing: Cham, Switzerland, 2019; pp. 165–189. [Google Scholar] [CrossRef]
- Esan, E.O.; Abbey, L.; Yurgel, S. Exploring the long-term effect of plastic on compost microbiome. PLoS ONE 2019, 14, e0214376. [Google Scholar] [CrossRef]
- Yurgel, S.N.; Douglas, G.M.; Comeau, A.M.; Mammoliti, M.; Dusault, A.; Percival, D.; Langille, M.G. Variation in bacterial and eukaryotic communities associated with natural and managed wild blueberry habitats. Phytobiomes J. 2017, 1, 102–113. [Google Scholar] [CrossRef]
- Monje, O.A.; Bugbee, B. Inherent limitations of non-destructive chlorophyll meters: A comparison of two types of meters. HortScience 1992, 27, 69–71. [Google Scholar] [CrossRef] [PubMed]
- Nielsen, N.E.; Hansen, E.M. Macronutrient cation uptake by plants. Effects of plant species, nitrogen concentration in the plant, cation concentration and activity ratio in soil solution. Plant Soil 1984, 77, 347–365. [Google Scholar] [CrossRef]
- Seufert, V.; Jonathan, N.; Foley, A. Comparing the yields of organic and conventional agriculture. Nature 2012, 485, 229–232. [Google Scholar] [CrossRef]
- Wu, Y.Y.; Zhao, K. Root-exuded malic acid versus chlorophyll fluorescence parameters in four plant species under different phosphorus level. J. Soil Sci. Plant Nutr. 2013, 13, 604–610. [Google Scholar] [CrossRef]
- Maxwell, K.; Johnson, G.N. Chlorophyll fluorescence—A practical guide. J. Exp. Bot. 2000, 51, 659–668. [Google Scholar] [CrossRef]
- Lõhmus, K.; Truu, M.; Truu, J.; Ostonen, I.; Kaar, E.; Vares, A.; Uri, V.; Alama, S.; Kanal, A. Functional diversity of culturable bacterial communities in the rhizosphere in relation to fine-root and soil parameters in alder stands on forest, abandoned agricultural, and oil-shale mining areas. Plant Soil 2006, 283, 1–10. [Google Scholar] [CrossRef]
- Cornelissen, J.H.C.; Lavorel, S.; Garnier, E.; Diaz, S.; Buchmann, N.; Gurvich, D.E.; Reich, P.B.; ter Steege, H.; Morgan, H.D.; van der Heijden, M.G.A.; et al. A handbook of protocols for standardized and esay measurement of plant functional traits worldwide. Aust. J. Bot. 2003, 51, 335–380. [Google Scholar] [CrossRef]
- World Health Organization (WHO). Diet, Nutrition, and the Prevention of Chronic Diseases: Report of a Joint WHO/FAO Expert Consultation; WHO Technical Report Series 961; Food and Agriculture Organization of the United Nations; World Health Organization: Geneva, Switzerland, 2003; pp. 23–25. [Google Scholar]
- Statistics Canada. Health Fact Sheets. Fruit and Vegetable Consumption. 2017. Available online: https://www150.statcan.gc.ca/n1/pub/82-625-x/2019001/article/00004-eng.htm (accessed on 30 December 2021).
- Paul, M.J.; Pellny, T.K. Carbon metabolite feedback regulation of leaf photosynthesis and development. J. Exp. Bot. 2003, 54, 539–547. [Google Scholar] [CrossRef]
- Fernie, A.R.; Martinoia, E. Malate. Jack of all trades or master of a few? Phytochemistry 2009, 70, 828–832. [Google Scholar] [CrossRef]
- Kromer, S. Respiration during photosynthesis. Annu. Rev. Plant Physiol. Plant Mol. Biol. 1995, 46, 45–70. [Google Scholar] [CrossRef]
- Pot, S.; De Tender, C.; Ommeslag, S.; Delcour, I.; Ceusters, J.; Gorrens, E.; Debode, J.; Vandecasteele, B.; Vancampenhout, K. Understanding the shift in the microbiome of composts that are optimized for a better fit-for-purpose in growing media. Front. Microbiol. 2021, 12, 643679. [Google Scholar] [CrossRef]
- Wang, J.; Yan, D.; Dixon, R.; Wang, Y.P. Deciphering the principles of bacterial nitrogen dietary preferences: A strategy for nutrient containment. Mol. Biol. 2016, 7, e00792-16. [Google Scholar] [CrossRef] [PubMed]
- Chai, J.M.; Adnan, A. Effect of different nitrogen source combinations on microbial cellulose production by Pseudomonas aeruginosa in batch fermentation. In IOP Conference Series: Materials Science and Engineering; IOP Publishing: Bristol, UK, 2018; Volume 440, p. 012044. [Google Scholar] [CrossRef]
- Wang, Q.; Wang, C.; Yu, W.; Turak, A.; Chen, D.; Huang, Y.; Ao, J.; Jiang, Y.; Huang, Z. Effects of nitrogen and phosphorus inputs on soil bacterial abundance, diversity, and community composition in Chinese fir plantations. Front. Microbiol. 2018, 9, 1543. [Google Scholar] [CrossRef]
- Mooshammer, M.; Wanek, W.; Hämmerle, I.; Fuchslueger, L.; Hofhansl, F.; Knoltsch, A.; Schnecker, J.; Takriti, M.; Watzka, M.; Wild, B.; et al. Adjustment of microbial nitrogen use efficiency to carbon: Nitrogen imbalances regulate soil nitrogen cycling. Nat. Commun. 2014, 5, 3694. [Google Scholar] [CrossRef] [PubMed]
- Tiquia, S.M.; Lloyd, J.; Herms, D.A.; Hoitink, H.A.J.; Michel, F.C. Effects of mulching and fertilization on soil nutrients, microbial activity and rhizosphere bacterial community structure determined by analysis of TRFLPs of PCR-amplified 16S rRNA genes. Appl. Soil Ecol. 2002, 21, 31–48. [Google Scholar] [CrossRef]
- Tang, J.; Zhang, L.; Zhang, J.; Ren, L.; Zhou, Y.; Zheng, Y.; Luo, L.; Yang, Y.; Huang, H.; Chen, A. Physicochemical features, metal availability and enzyme activity in heavy metal-polluted soil remediated by biochar and compost. Sci. Total Environ. 2020, 701, 134751. [Google Scholar] [CrossRef] [PubMed]
- Blake, G.R.; Hartge, K.H. Bulk density. In Methods of Soil Analysis: Part 1 Physical and Mineralogical Methods, 5.1, 2nd ed.; Arnold, K., Ed.; SSSA Book Series; John Wiley & Sons, Inc.: Hoboken, NJ, USA, 1986; pp. 363–375. [Google Scholar] [CrossRef]
- Cassel, D.K.; Nielsen, D.R. Field capacity and available water capacity. In Methods of Soil Analysis: Part 1 Physical and Mineralogical Methods, 5.1, 2nd ed.; Arnold, K., Ed.; SSSA Book Series; John Wiley & Sons, Inc.: Hoboken, NJ, USA, 1986; pp. 901–926. [Google Scholar] [CrossRef]
- Danielson, R.E.; Sutherland, P.L. Porosity. In Methods of Soil Analysis: Part 1 Physical and Mineralogical Methods, 5.1, 2nd ed.; Arnold, K., Ed.; SSSA Book Series; John Wiley & Sons, Inc.: Hoboken, NJ, USA, 1986; pp. 443–461. [Google Scholar] [CrossRef]
- Cataldo, D.A.; Schrader, L.E.; Youngs, V.L. Analysis by digestion and colorimetric assay of total nitrogen in plant tissues high in nitrate. Crop Sci. 1974, 14, 854–856. [Google Scholar] [CrossRef]
- Comeau, A.M.; Vincent, W.F.; Bernier, L.; Lovejoy, C. Novel chytrid lineages dominate fungal sequences in diverse marine and freshwater habitats. Sci. Rep. 2016, 6, 30120. [Google Scholar] [CrossRef]
- Comeau, A.M.; Douglas, G.M.; Langille, M.G. Microbiome Helper: A Custom and Streamlined Workflow for Microbiome Research. mSystems 2017, 2, e00127-16. [Google Scholar] [CrossRef] [PubMed]
- Bolyen, E.; Rideout, J.R.; Dillon, M.R.; Bokulich, N.A.; Abnet, C.C.; Al-Ghalith, G.A.; Alexander, H.; Alm, E.J.; Arumugam, M.; Asnicar, F.; et al. Reproducible, interactive, scalable and extensible microbiome data science using QIIME 2. Nat. Biotechnol. 2019, 37, 852–857. [Google Scholar] [CrossRef]
- Douglas, G.M.; Maffei, V.J.; Zaneveld, J.R.; Yurgel, S.N.; Brown, J.R.; Taylor, C.M.; Huttenhower, C.; Langille, M.G.I. PICRUSt2 for prediction of metagenome functions. Nat. Biotechnol. 2020, 38, 685–688. [Google Scholar] [CrossRef] [PubMed]
- Kim, B.-R.; Shin, J.; Guevarra, R.B.; Lee, J.H.; Kim, D.W.; Seol, K.-H.; Kim, H.B.; Isaacson, R.E. Deciphering diversity indices for a better understanding of microbial communities. J. Microbiol. Biotechnol. 2017, 27, 2089–2093. [Google Scholar] [CrossRef] [PubMed]
- Fernandes, A.D.; Reid, J.N.; Macklaim, J.M.; McMurrough, T.A.; Edgell, D.R.; Gloor, G.R. Unifying the analysis of high-throughput sequencing datasets: Characterizing RNA-seq, 16S rRNA gene sequencing and selective growth experiments by compositional data analysis. Microbiome 2014, 2, 15. [Google Scholar] [CrossRef] [PubMed]
- Oksanen, J.; Blanchet, F.G.; Friendly, M.; Kindt, R.; Legendre, P.; McGlinn, D.; Minchin, P.R.; O’Hara, R.B.; Simpson, G.L.; Solymos, P.; et al. Vegan. Community Ecology Package. R Package Version 2.5-6. 2019. Available online: https://CRAN.R-project.org/package=vegan (accessed on 3 April 2021).
- Wickham, H. ggplot2: Elegant Graphics for Data Analysis; Springer: Berlin/Heidelberg, Germany, 2016. [Google Scholar]





| Soil Properties | Compost Application | ||
|---|---|---|---|
| Annual | Biennial | Control | |
| Saturation capacity (%) | 49.33 ± 1.23 a | 46.39 ± 1.91 a | 39.65 ± 0.98 b |
| Field capacity (%) | 41.24 ± 0.98 a | 35.37 ± 1.00 ab | 30.49 ± 1.12 b |
| Wilting capacity (%) | 6.40 ± 1.09 a | 4.69 ± 0.09 ab | 4.16 ± 1.11 b |
| Water-holding capacity (%) | 34.80 ± 2.42 a | 30.68 ± 1.49 b | 25.33 ± 2.01 c |
| Bulk density (g/cm3) | 0.99 ± 0.00 c | 1.06 ± 0.01 b | 1.22 ± 0.04 a |
| Particle density (g/cm3) | 1.22 ± 0.10 c | 1.33 ± 0.09 b | 1.41 ± 0.12 a |
| Turbidity (NTU) | 584.33 ± 8.14 a | 516.22 ± 7.80 ab | 453.56 ± 6.77 c |
| Organic matter content (%) | 6.11 ± 1.00 a | 4.61 ± 1.23 b | 1.93 ± 0.21 c |
| Total Dissolved Solids (mg/L) | 1535.2 ± 10.1 a | 498.1 ± 9.91 b | 272.4 ± 8.71 b |
| Electric conductivity (µS/cm) | 2175.0 ± 10.8 a | 715.2 ± 12.1 b | 377.5 ± 10.00 b |
| Salinity (mg/L) | 1040.6 ± 9.90 a | 334.8 ± 7.61 b | 180.8 ± 6.97 b |
| Compost Application | Soil Chemical Elements (mg/kg) | |||||||
|---|---|---|---|---|---|---|---|---|
| Total N | Phosphorus | Potassium | Magnesium | Calcium | Sulphur | Boron | Iron | |
| Annual | 50.0 ± 3.2 a | 274.0 ± 4.1 a | 3610.2 ± 6.1 a | 5920.1 ± 23.1 a | 22,000.8 ± 21.1 a | 29.7 ± 4.5 a | 13.3 ± 1.2 a | 9330.4 ± 9.9 a |
| Biennial | 20.1 ± 2.1 b | 195.7 ± 2.8 b | 1950.0 ± 6.5 b | 4380.1 ± 22.9 b | 17,401.3 ± 19.0 bc | 28.0 ± 3.9 a | 10.0 ± 1.8 ab | 8740.6 ± 11.2 b |
| Control | 10.2 ± 1.0 c | 95.3 ± 2.3 c | 940.4 ± 4.3 c | 3220.0 ± 16.1 c | 16,100.2 ± 19.0 c | 12.7 ± 1.7 b | 6.7 ± 1.1 b | 7670.0 ± 8.7 c |
| Compost application | Soil chemical elements (mg/kg) | |||||||
| Manganese | Molybdenum | Cobalt | Sodium | Chromium | Copper | Nickel | Zinc | |
| Annual | 605.3 ± 8.7 a | 0.8 ± 0.0 a | 3.4 ± 0.0 a | 119.3 ± 2.4 a | 9.3 ± 0.0 a | 13.3 ± 1.5 a | 9.2 ± 0.0 a | 59.1 ± 3.1 a |
| Biennial | 511.1 ± 8.7 ab | 0.51 ± 0.0 ab | 3.1 ± 0.0 a | 95.0 ± 1.1 a | 8.1 ± 0.4 a | 9.7 ± 1.3 a | 9.1 ± 0.0 a | 40.0 ± 2.3 b |
| Control | 400.4 ± 7.9 b | 0.24 ± 0.1 b | 2.9 ± 0.2 a | 22.3 ± 1.6 b | 6.3 ± 0.09 a | 4.0 ± 0.2 b | 8.2 ± 0.3 a | 28.2 ± 1.7 c |
| Treatment/Indexes | Observed Features | Evenness | Shannon Diversity |
|---|---|---|---|
| 16S | |||
| Control | 1026 ± 6.1 b | 0.892 ± 0.1 a | 8.825 ± 1.2 b |
| Biennial compost application | 1127 ± 5.1 a | 0.902 ± 0.1 a | 9.139 ± 1.1 a |
| Annual compost application | 1138 ± 5.0 a | 0.889 ± 0.1 a | 9.023 ± 1.2 ab |
| ITS | |||
| Control | 43 ± 1.3 b | 0.793 ± 0.2 a | 4.280 ± 0.1 a |
| Biennial compost application | 76 ± 2.2 a | 0.734 ± 0.1 a | 4.574 ± 0.2 a |
| Annual compost application | 67 ± 1.8 a | 0.753 ± 0.1 a | 4.521 ± 0.2 a |
| Grouping (Subset) | KO | Pathways |
|---|---|---|
| Treatments | 0.383 ± 0.00 *** | 0.400 ± 0.01 *** |
| Control vs. Biennial and Annual compost applications | 0.226 ± 0.00 *** | 0.264 ± 0.01 *** |
| Control vs. Biennial compost application | 0.151 ± 0.00 *** | 0.182 ± 0.00 *** |
| Control vs. Annual compost application | 0.434 ± 0.01 *** | 0.460 ± 0.02 *** |
| Annual vs. Biennial compost application | 0.283 ± 0.00 *** | 0.266 ± 0.00 *** |
| Crop | Compost Application | SPAD 1 Value | ACI 2 | Chlorophyll Fluorescence Index | ||||
|---|---|---|---|---|---|---|---|---|
| Fo 3 | Fv 4 | Fm 5 | Fv/Fm 6 | Fv/Fo 7 | ||||
| Beans | Annual | 42.9 ± 1.2 ab | 7.34 ± 0.0 a | 151.73 ± 3.2 b | 407.37 ± 2.9 ab | 559.33 ± 3.2 a | 0.72 ± 0.0 a | 2.82 ± 0.0 a |
| Biennial | 46.4 ± 1.0 a | 7.97 ± 0.2 a | 188.47 ± 3.1 b | 491.10 ± 1.9 a | 682.23 ± 2.8 a | 0.72 ± 0.1 a | 2.93 ± 0.2 a | |
| Control | 36.3 ± 0.8 c | 6.12 ± 0.0 a | 225.13 ± 4.4 a | 349.20 ± 3.2 b | 570.33 ± 2.2 a | 0.59 ± 0.0 b | 1.72 ± 0.2 b | |
| Lettuce | Annual | 42.9 ± 1.2 a | 6.32 ± 0.2 a | 159.00 ± 3.6 b | 574.93 ± 2.1 a | 733.93 ± 2.1 a | 0.78 ± 0.4 a | 3.73 ± 0.1 ab |
| Biennial | 36.7 ± 0.9 b | 5.44 ± 0.3 a | 142.70 ± 2.3 b | 558.23 ± 2.2 a | 706.60 ± 2.3 a | 0.79 ± 0.1 ab | 3.96 ± 0.0 a | |
| Control | 27.8 ± 1.0 c | 3.53 ± 0.3 b | 171.67 ± 1.9 a | 528.30 ± 2.0 a | 700.97 ± 3.1 a | 0.75 ± 0.7 b | 3.13 ± 0.3 b | |
| Beet | Annual | 50.2 ± 1.8 a | 7.95 ± 0.0 b | 139.30 ± 0.1 b | 435.10 ± 2.0 a | 573.73 ± 1.0 a | 0.75 ± 0.7 a | 3.16 ± 0.1 a |
| Biennial | 38.5 ± 1.0 b | 9.45 ± 0.2 b | 134.43 ± 1.9 b | 444.47 ± 2.3 a | 578.70 ± 1.7 a | 0.75 ± 0.7 a | 3.42 ± 0.1 a | |
| Control | 30.1 ± 0.4 c | 18.97 ± 0.4 a | 177.13 ± 2.2 a | 483.37 ± 2.1 a | 660.53 ± 0.9 a | 0.72 ± 0.6 a | 2.85 ± 0.0 a | |
| Plant Growth Component | Compost Application | ||||
|---|---|---|---|---|---|
| Annual | Biennial | Control | |||
| Shoot | Plant height (cm) | Green beans | 79.84 ± 3.2 a | 67.33 ± 2.3 b | 55.6 ± 1.5 c |
| Lettuce | 30.10 ± 1.6 a | 32.00 ± 1.7 a | 24.16 ± 1.3 b | ||
| Beets | 40.80 ± 1.4 a | 34.98 ± 1.6 b | 28.05 ± 1.4 c | ||
| Leaf | Area (mm2) | Green beans | 8525 ± 13.9 a | 5398 ± 12.2 b | 2782 ± 9.9 c |
| Lettuce | 23,484 ± 10.7 a | 20,442 ± 9.9 b | 14,389 ± 8.3 c | ||
| Beets | 20,521 ± 20.0 a | 14,219 ± 19.0 b | 6481 ± 10.8 c | ||
| LDMC (mg/g) | Green beans | 121.98 ± 2.2 b | 155.70 ± 2.6 b | 223.24 ± 2.9 a | |
| Lettuce | 61.06 ± 2.1 a | 71.62 ± 2.4 a | 75.17 ± 1.9 a | ||
| Beets | 137.92 ± 2.9 a | 122.08 ± 1.6 a | 140.52 ± 1.7 a | ||
| Stem | SSD (mg/mm3) | Green beans | 0.12 ± 0.0 a | 0.30 ± 0.1 a | 0.08 ± 0.0 b |
| Lettuce | 0.07 ± 0.3 b | 0.07 ± 0.2 b | 0.11 ± 0.0 a | ||
| Beets | 0.12 ± 0.0 b | 0.13 ± 0.0 b | 0.19 ± 0.0 a | ||
| Root | SRL (mg/g) | Green beans | 0.12 ± 0.2 b | 0.12 ± 0.0 b | 0.27 ± 0.1 a |
| Lettuce | 0.15 ± 0.0 a | 0.14 ± 0.0 a | 0.08 ± 0.0 b | ||
| Beets | 0.36 ± 0.1 b | 0.76 ± 0.1 a | 0.77 ± 0.2 a | ||
| Edible portion | Yield (kg/m2) | Green beans | 434.16 ± 4.3 a | 411.42 ± 4.2 ab | 321.31 ± 8.1 c |
| Lettuce | 85.00 ± 2.7 a | 72.09 ± 1.4 a | 10.40 ± 1.3 c | ||
| Beets | 311.60 ± 3.0 a | 260.00 ± 3.8 b | 64.08 ± 3.3 c | ||
Publisher’s Note: MDPI stays neutral with regard to jurisdictional claims in published maps and institutional affiliations. |
© 2022 by the authors. Licensee MDPI, Basel, Switzerland. This article is an open access article distributed under the terms and conditions of the Creative Commons Attribution (CC BY) license (https://creativecommons.org/licenses/by/4.0/).
Share and Cite
Abbey, L.; Yurgel, S.N.; Asunni, O.A.; Ofoe, R.; Ampofo, J.; Gunupuru, L.R.; Ajeethan, N. Changes in Soil Characteristics, Microbial Metabolic Pathways, TCA Cycle Metabolites and Crop Productivity following Frequent Application of Municipal Solid Waste Compost. Plants 2022, 11, 3153. https://doi.org/10.3390/plants11223153
Abbey L, Yurgel SN, Asunni OA, Ofoe R, Ampofo J, Gunupuru LR, Ajeethan N. Changes in Soil Characteristics, Microbial Metabolic Pathways, TCA Cycle Metabolites and Crop Productivity following Frequent Application of Municipal Solid Waste Compost. Plants. 2022; 11(22):3153. https://doi.org/10.3390/plants11223153
Chicago/Turabian StyleAbbey, Lord, Svetlana N. Yurgel, Ojo Alex Asunni, Raphael Ofoe, Josephine Ampofo, Lokanadha Rao Gunupuru, and Nivethika Ajeethan. 2022. "Changes in Soil Characteristics, Microbial Metabolic Pathways, TCA Cycle Metabolites and Crop Productivity following Frequent Application of Municipal Solid Waste Compost" Plants 11, no. 22: 3153. https://doi.org/10.3390/plants11223153
APA StyleAbbey, L., Yurgel, S. N., Asunni, O. A., Ofoe, R., Ampofo, J., Gunupuru, L. R., & Ajeethan, N. (2022). Changes in Soil Characteristics, Microbial Metabolic Pathways, TCA Cycle Metabolites and Crop Productivity following Frequent Application of Municipal Solid Waste Compost. Plants, 11(22), 3153. https://doi.org/10.3390/plants11223153

