Response of Cnidium officinale Makino Plants to Heat Stress and Selection of Superior Clones Using Morphological and Molecular Analysis
Abstract
1. Introduction
2. Results
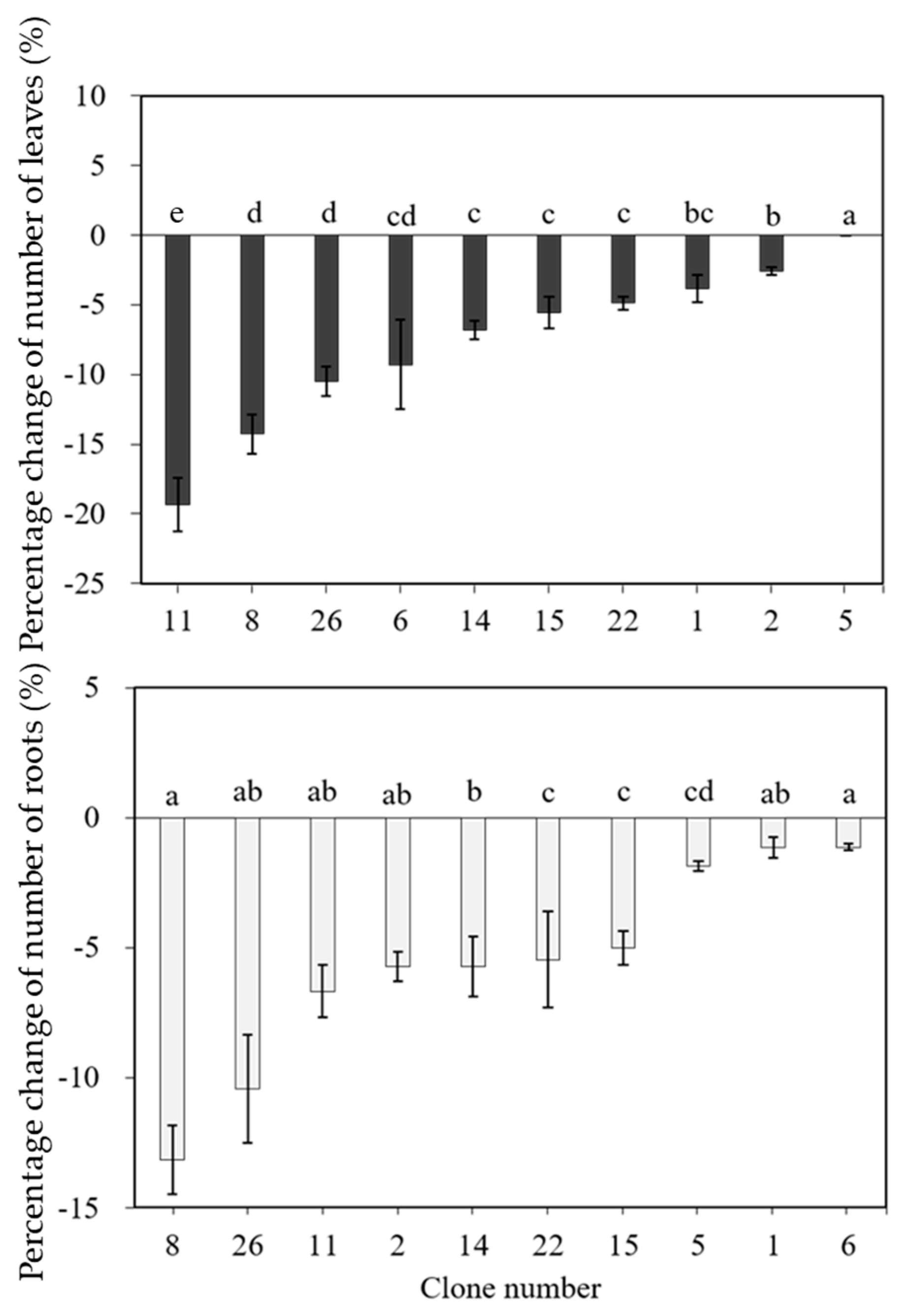
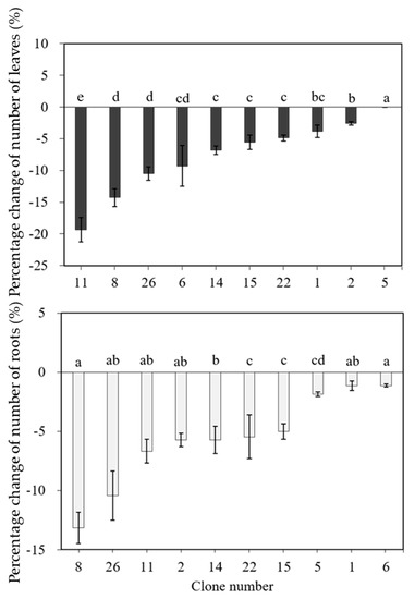
2.1. Morphological Changes Due to Heat Stress
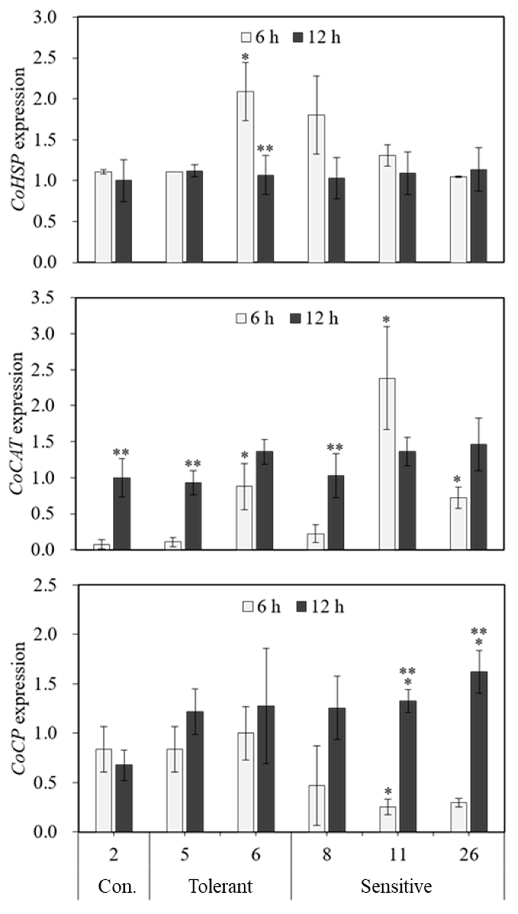
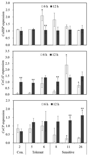
2.2. Expression Levels of Heat Stress-Responsive Genes
3. Discussion
4. Materials and Methods
4.1. Plant Material
4.2. High-Temperature Treatment and Analysis of Growth Parameters
4.3. Gene Expression Analysis
4.3.1. RNA Isolation and cDNA Synthesis
4.3.2. Quantitative Real-Time PCR (qRT-PCR)
4.4. Statistical Analysis
5. Conclusions
Author Contributions
Funding
Institutional Review Board Statement
Informed Consent Statement
Data Availability Statement
Acknowledgments
Conflicts of Interest
References
- Lee, C.Y.; Kim, Y.K.; Kim, Y.S.; Suh, S.Y.; Lee, S.Y.; Park, S.U. Somatic embryogenesis and plant regeneration in Cnidium officinale Makino. J. Med. Plant Res. 2009, 3, 96–100. [Google Scholar]
- Kwak, D.H.; Kim, J.K.; Kim, J.Y.; Jeong, H.Y.; Keum, K.S.; Han, S.H.; Rho, Y.I.; Woo, W.H.; Jung, K.Y.; Choi, B.K.; et al. Anti-angiogenic activities of Cnidium officinale Makino and Tabanus bovinus. J. Ethnopharmacol. 2002, 81, 373–379. [Google Scholar] [CrossRef]
- Lee, K.Y.; Kim, J.H.; Kim, E.Y.; Yeom, M.; Jung, H.S.; Sohn, Y. Water extract of Cnidii Rhizoma suppresses RANKL-induced osteoclastogenesis in RAW 264.7 cell by inhibiting NFATc1/c-Fos signaling and prevents ovariectomized bone loss in SD-rat. BMC Complement. Altern. Med. 2019, 19, 207–219. [Google Scholar] [CrossRef] [PubMed]
- Cruz, J.D.L.; Kim, D.J.; Hwang, S.G. Anti-cancer effects of Cnidium officinale Makino extract mediated through apoptosis and cell cycle arrest in the HT-29 human colorectal cancer cell line. Asian Pac. J. Cancer Prev. 2014, 15, 5117–5121. [Google Scholar] [CrossRef]
- Hong, H.; Cheolan, J.; Curz, J.F.D.L.; Hwang, S.G. Cnidium officinale Makino extract induces apoptosis through activation of caspase-3 and p53 in human liver cancer HepG2 cells. Exp. Ther. Med. 2017, 14, 3191–3197. [Google Scholar] [CrossRef][Green Version]
- Jeong, S.I.; Kwak, D.H.; Lee, S.; Choo, Y.K.; Woo, W.H.; Keum, K.S.; Choi, B.K.; Jung, K.Y. Inhibitory effects of Cnidium officinale Makino and Tabanus fulvas Meigan on the high glucose-induced proliferation of glomerular mesangial cells. Phytomedicine 2005, 12, 648–655. [Google Scholar] [CrossRef]
- Lee, S.H.; Lee, J.H.; Oh, E.Y.; Kim, G.Y.; Choi, B.T.; Kim, C.; Choi, Y.H. Ethanol extract of Cnidium officinale exhibits anti-inflammatory effects in BV2 microglial cells by suppressing NF-kB nuclear translocation and activation of the PI3K/Kkt singling pathway. Int. J. Mol. Med. 2013, 32, 876–882. [Google Scholar] [CrossRef]
- Tran, H.N.K.; Cao, T.Q.; Kim, J.A.; Youn, U.Y.; Kim, S.; Woo, M.H.; Min, B.S. Anti-inflammatory activity of compounds from the rhizome of Cnidium officinale. Arch. Pharm. Res. 2018, 41, 977–985. [Google Scholar] [CrossRef]
- Tomoda, M.; Ohara, N.; Gonda, R.; Shimizu, N.; Takada, K.; Satoh, Y.; Shirai, S. An acidic polysaccharide having immunological activities from the rhizome of Cnidium officinale. Chem. Pharm. Bull. 1992, 40, 3025–3029. [Google Scholar] [CrossRef][Green Version]
- Lim, E.Y.; Kim, J.G.; Lee, J.; Lee, C.; Shim, J.; Kim, Y.T. Analgesic effect of Cnidium officinale extracts on postoperative, neuropathic, and menopausal pain in rat models. Evid.-Based Complement. Altern. Med. 2019, 2019, 9698727. [Google Scholar] [CrossRef]
- Lee, M.J.; Shim, Y.S.; An, S.Y.; Kang, M.K. Surface characterization, biocompatibility and antifungal efficacy of a denature-lining material containing Cnidium officinale extracts. Molecules 2021, 26, 1440. [Google Scholar] [CrossRef] [PubMed]
- Lee, M.J.; Kang, M.K. Analysis of the antimicrobial, cytotoxic, and antioxidant activities of Cnidium officinale extracts. Plants 2020, 9, 988. [Google Scholar] [CrossRef] [PubMed]
- Yang, H.; Jung, D.H.; Lee, H.W. Therapeutic effect of Cnidium officinale Makino extract on ovariectomized hand-limb ischemic mice. Int. Med. Res. 2019, 8, 107–115. [Google Scholar]
- Kim, Y.J. Inhibition effect of Cnidium officinale Makino extracts on MMP1 expression in human dermal fibroblasts. Asian J. Beauty Cosmetol. 2018, 16, 131–138. [Google Scholar] [CrossRef]
- Cha, H.J. Cnidium officinale Makino extracts inhibit α-MSH-induced melanogenesis in B16F10 mouse melanoma cells. Asian J. Beauty Cosmetol. 2018, 16, 122–130. [Google Scholar] [CrossRef]
- Tomoda, M.; Ohara, N.; Shimizu, N.; Gonda, R. Characterization of a novel glucan, which exhibits reticuloendothelial system potentiating and anti-complementary activities, from the rhizome of Cnidium officinale. Chem. Pharm. Bull. 1994, 42, 630–633. [Google Scholar] [CrossRef][Green Version]
- Tomoda, M.; Ohara, N.; Shimizu, N.; Gonda, R. Characterization of a novel heteroglucan from the rhizome of Cnidium officinale exhibiting high reticuloendothelial system-potentiating and anti-complementary activities. Biol. Pharm. Bull. 1994, 17, 973–976. [Google Scholar] [CrossRef][Green Version]
- Kobayashi, M.; Fujita, M.; Mitsuhashi, H. Components of Cnidium officinale Makino: Occurrence of pregneolone, coniferyl ferulate, and hydoxyphthlides. Chem. Pharm. Bull. 1984, 32, 3770–3773. [Google Scholar] [CrossRef]
- Choi, H.S.; Kim, M.S.L.; Sawamura, M. Constituents of the essential oil of Cnidium officinale Makino, a Korean medicinal plant. Flavour Frag. J. 2001, 17, 49–53. [Google Scholar] [CrossRef]
- Bae, K.E.; Choi, Y.W.; Kim, S.T.; Kim, Y.K. Components of rhizome extract of Cnidium officinale Makino and their in vitro biological effects. Molecules 2011, 16, 8833–8847. [Google Scholar] [CrossRef]
- Mo, E.J.; Jo, Y.H.; Jeong, J.Y.; Kim, S.B.; Liu, Q.; Hwang, B.Y.; Lee, M.K. Pancreatic lipase inhibitory phthalide derivatives from the rhizome of Cnidium officinale. Rec. Nat. Prod. 2016, 10, 148–153. [Google Scholar]
- Tsukamoto, T.; Ishikawa, Y.; Miyazawa, M. Larvicidal and adulticidal activity of alkylphthalide derivatives from rhizome of Cnidium officinale against Drosophila melanogaster. J. Agric. Food Chem. 2005, 53, 5549–5553. [Google Scholar] [CrossRef] [PubMed]
- Lee, W.S.; Shin, J.S.; Jang, D.S.; Lee, K.T. Cnidilide, an alkylphthalide isolated from the roots of Cnidium officinale suppress LPS-induced NO, PGE2, IL-1β, IL-6, and TNF-α production by AP-1 and NF-κB inactivation in RAW 264.7 macrophages. Int. Immunopharmacol. 2016, 40, 146–155. [Google Scholar] [CrossRef] [PubMed]
- Ninomiya, K.; Sakai, C.; Ninomiya, K.; Shiotani, M.; Morikawa, T. Phthalides from rhizomes of Cnidium officinale accelerate metabolism of triglyceride in hepatocytes. Planta Med. 2016, 82, S1–S381. [Google Scholar] [CrossRef]
- Luo, Y.; Li, X.; Liu, T.; Cao, Y.; Zhang, J.; Yaseen, A.; Sun, F.; Zheng, W.; Jiang, Y.; Si, C.L.; et al. Senkyunolide H protects against MPP+-induced apoptosis via the ROS-mediated mitogen-activated protein kinase pathway in PC12 cells. Environ. Toxicol. Pharmacol. 2019, 65, 73–81. [Google Scholar] [CrossRef]
- Hasanuzzaman, M.; Nahar, K.; Alam, M.M.; Roychowdhary, R.; Fujita, M. Physiological, biochemical, and molecular mechanisms of heat stress tolerance in plants. Int. J. Mol. Sci. 2013, 14, 9543–9684. [Google Scholar] [CrossRef]
- Zobayed, S.M.A.; Afreen, F.; Kozai, T. Temperature stress can alter the photosynthetic efficiency and secondary metabolite concentrations in St. John’s Wort. Plant Physiol. Biochem. 2005, 43, 977–984. [Google Scholar] [CrossRef]
- Rysiak, A.; Dresler, S.; Hanaka, A.; Hawrylak-Nowak, B.; Strzemski, M.; Kovacik, J.; Sowa, I.; Latalski, M.; Wojciak, M. High temperature alters secondary metabolites and photosynthetic efficiency in Haracleum sosnowskyi. Int. J. Mol. Sci. 2021, 22, 4756. [Google Scholar] [CrossRef]
- Gao, C.H.; Ko, S.M.; Koh, S.; Kim, Y.J.; Bae, H.J. Photosynthesis and environments: Photoinhibition and repair mechanism in plants. J. Plant Biol. 2012, 55, 93–101. [Google Scholar]
- Havaux, M.; Niyogi, K.K. The violaxanthin cycle protects plants from photooxidative damage by more than one mechanism. Proc. Natl. Acad. Sci. USA 1999, 96, 8762–8767. [Google Scholar] [CrossRef]
- Nakabayashi, R.; Yonekura-Sakakibara, K.; Urano, K.; Suzuki, M.; Yamada, Y.; Nishizawa, T.; Matsuda, F.; Kojima, M.; Shinozaki, K.; Michael, A.J. Enhancement of oxidative and drought tolerance in Arabidopsis by overaccumulation of antioxidant flavonoids. Plant J. 2014, 77, 367–379. [Google Scholar] [CrossRef] [PubMed]
- Valifard, M.; Mohsenzadeh, S.; Kholdebarin, B. Salinity effects on phenolic content and antioxidant activity of Salvia macrosiphon. Iran. J. Sci. Technol. A Sci. 2017, 41, 295–300. [Google Scholar] [CrossRef]
- Sharkey, T.D.; Yeh, S. Isoprene emission from plants. Annu. Rev. Plant Biol. 2001, 52, 407–436. [Google Scholar] [CrossRef] [PubMed]
- Bita, C.; Gerats, T. Plant tolerance to high temperature in a changing environment. Scientific fundamentals and production of heat stress-tolerant crops. Front. Plant Sci. 2013, 4, 273. [Google Scholar] [CrossRef]
- Miller, G.; Shulaev, V.; Mittler, R. Reactive oxygen signaling and abiotic stress. Physiol. Plant. 2008, 133, 481–489. [Google Scholar] [CrossRef]
- Nam, H.H.; Seo, Y.J.; Jang, W.C. Effect of shading types and duration on alleviation of high-temperature stress in Cnidium officinale Makino. Korean J. Med. Crop Sci. 2020, 28, 111–118. [Google Scholar] [CrossRef]
- Kim, K.S.; Seo, Y.J.; Kim, D.C.; Nam, H.H.; Lee, B.Y.; Kim, J.H. Effect of soil water and shading treatment on chlorophyll fluorescence parameters and photosynthetic capacity in Cnidium officinale Makino. Korean J. Med. Crop Sci. 2020, 28, 413–420. [Google Scholar]
- Seo, Y.J.; Kim, K.S.; Kim, D.C.; Nam, H.H.; Kim, J.H.; Lee, B.Y. Lysimetric analysis for transpiration and carbon assimilation of Cnidium officinale Makino in hot weather conditions. Korean J. Med. Crop Sci. 2020, 28, 463–470. [Google Scholar] [CrossRef]
- Kim, H.E.; Han, J.E.; Lee, H.; Kim, J.H.; Kim, H.H.; Lee, K.Y.; Shin, J.H.; Kim, H.K.; Park, S.Y. Tetraploidization increases the contents of functional metabolites in Cnidium officinale. Agronomy 2021, 11, 1561. [Google Scholar] [CrossRef]
- Chaudhary, S.; Devi, P.; Bhardwaj, A.; Jha, U.C.; Sharma, K.D.; Prasad, P.V.V.; Siddique, K.H.M.; Bindumadhava, H.; Kumar, S.; Nayyar, H. Identification and characterization of contrasting genotypes/cultivars for developing heart tolerance in agricultural crops: Current status and prospects. Front. Plant Sci. 2020, 11, 587264. [Google Scholar] [CrossRef]
- Maleki, M.; Shojaeiyan, A.; Mokhtassi-Bidgoli, A. Genotypic variation in biochemical and physiological responses of fenugreek (Trigonella foenum-graecum L.) landraces to prolonged drought stress and subsequent rewatering. Sci. Hortic. 2021, 287, 110114. [Google Scholar] [CrossRef]
- Misic, D.; Siller, B.; Filipovic, B.; Popovic, Z.; Zivkovic, S.; Cvetic, T.; Mijovic, A. Rapid in vitro selection of salt-tolerant genotypes of the potentially medicinal plant Centaurium maritimum (L.) Fritsch. Arch. Biol. Sci. 2009, 61, 57–69. [Google Scholar] [CrossRef]
- Bayati, P.; Karimmojeni, H.; Razmjoo, J.; Pucci, M.; Abate, G.; Baldwin, T.C.; Mastinu, A. Physiological, biochemical, and agronomic trait responses of Nigella sativa genotypes to water stress. Horticulturae 2022, 8, 193. [Google Scholar] [CrossRef]
- Khodadadi, E.; Fakheri, B.A.; Ahrizad, S.; Emamjomeh, A.; Norouzi, M.; Komatsu, S. Leaf proteomics of drought-sensitive and -tolerant genotypes of fennel. BBA-Proteins Proteom. 2017, 1865, 1433–1444. [Google Scholar] [CrossRef] [PubMed]
- Cornea-Cipcigan, M.; Cordea, M.I.; Margaon, R.; Pamfil, D. Exogenously applied GA3 enhances morphological parameters of tolerant and sensitive Cyclamen persicum genotypes under ambient temperature and heat stress conditions. Plants 2022, 11, 1868. [Google Scholar] [CrossRef]
- Kim, H.E.; Han, J.E.; Lee, H.; Murthy, H.N.; Kwon, H.J.; Lee, G.M.; Park, S.Y. Establishment of an efficient in vitro propagation of Cnidium officinale Makino and selection of superior clones through flow cytometric assessment of DNA content. Genes 2022, 13, 1815. [Google Scholar] [CrossRef]
- Kokknti, R.R.; Hindu, V.; Latha, P.; Vasanti, R.P.; Sudhakar, P.; Usha, R. Assessment of genetic variability and molecular characterization of heat stress tolerant genes in Arachis hypogea L. through qRT-PCR. Biocatal. Agric. Biotechnol. 2019, 20, 101242. [Google Scholar] [CrossRef]
- Srikanthababu, V.; Ganeshlumar; Krishnaprasad, B.T.; Gopalakrishna, R.; Savitha, M.; Udayakumar, M. Identification of pea genotypes with enhanced thermo-tolerance using temperature induction response (TIIR) technique. J. Plant Physiol. 2002, 59, 535–545. [Google Scholar] [CrossRef]
- Vijayalakshmi, D.; Sirvidhya, S.; Vivitha, P.; Raveendran, M. Temperature induction response (TIR) as a rapid screening protocol to dissect the genetic variability in acquired thermotolerance in rice and to identify novel donors for high-temperature stress tolerance. Indian J. Plant Physiol. 2015, 20, 368–374. [Google Scholar] [CrossRef]
- Rekah Rani, K.; Chanundeswari, K.; Usha, R. Screening of thermotolerant groundnut genotypes using temperature induction response—A novel approach to assess genetic variability. Int. J. Pharm. Biol. Sci. 2018, 8, 360–364. [Google Scholar]
- Papdorf, K.; Richter, K. Protein folding, misfolding, and quality control: The role of molecular chaperones. Essays Biochem. 2014, 56, 53–68. [Google Scholar]
- Waters, E.R.; Lee, E.J.; Vierling, E. Evolution, structure and function of the small heat shock proteins in plants. J. Exp. Bot. 1996, 47, 325–338. [Google Scholar] [CrossRef]
- Scandalios, J.G.; Guan, L.; Polidoros, A.N. Catalases in plants: Gene structure, properties, regulation, and expression. Cold Spring Harb. Protoc. 1997, 34, 343–406. [Google Scholar]
- Kindric, M.; Kos, J.; Sabotic, J. Proteases, and their endogenous inhibitors in the plant response to abiotic stress. Bot. Serbica 2014, 38, 139–158. [Google Scholar]
- Aldubai, A.A.; Alsadon, A.A.; Migdadi, H.H.; Alghamdi, S.S.; Al-Faifi, S.A.; Afzal, M. Response of tomato (Solanum lycopersicum L.) genotypes to heat stress using morphological and expression study. Plants 2022, 11, 615. [Google Scholar] [CrossRef]
- Jha, S.; Singh, J.; Chouhan, C.; Singh, O.; Srivastava, R.K. Evaluation of multiple salinity tolerance indices for screening and comparative biochemical and molecular analysis of pearl millet [Pinnisetum glaucum (L.) R. Br.] genotypes. J. Plant Growth Regul. 2022, 41, 1820–1834. [Google Scholar] [CrossRef]
- Zhang, Y.; Rouf Mian, M.S.; Chekhovskiy, K.; So, S.; Kupfer, D.; Lai, H.; Roe, B.A. Differential gene expression in Festuca under heat stress conditions. J. Exp. Bot. 2005, 56, 897–907. [Google Scholar] [CrossRef]
- Murashige, T.; Skoog, F. A revised medium for rapid growth and bioassays with tobacco tissue cultures. Physiol. Plant. 1962, 15, 473–497. [Google Scholar] [CrossRef]






| Clone Number | Place of Collection |
|---|---|
| Clone 1 | Daegwallyeong, Republic of Korea |
| Clone 2 | Daegwallyeong, Republic of Korea |
| Clone 5 | Daegwallyeong, Republic of Korea |
| Clone 6 | Daegwallyeong, Republic of Korea |
| Clone 8 | Daegwallyeong, Republic of Korea |
| Clone 11 | Bonghwa, Republic of Korea |
| Clone 14 | Bonghwa, Republic of Korea |
| Clone 15 | Bonghwa, Republic of Korea |
| Clone 22 | Yengyang, Republic of Korea |
| Clone 26 | Yengyang, Republic of Korea |
| Genes | Primer Sequence (5′ → 3′) | |
|---|---|---|
| CoHSP (Heat shock protein) | Forward | CGGAGAAGCAACGTGTTCGA |
| Reverse | ACGCTGCAGTCTCTTTTCCG | |
| CoCP (Cysteine protease) | Forward | CAGGTAGTTGCTGGGCATTT |
| Reverse | TCAACGAGCTCTTGCTCAGA | |
| CoCAT (Catalase) | Forward | TGTCTTCTTTGTGCGTGACG |
| Reverse | CATAATGTGCCTTCCCAGCC | |
| CoActin (Actin) | Forward | GGAAGCAGCAGGAATACACG |
| Reverse | CGCTGTGATTTCCTTGCTCA | |
Publisher’s Note: MDPI stays neutral with regard to jurisdictional claims in published maps and institutional affiliations. |
© 2022 by the authors. Licensee MDPI, Basel, Switzerland. This article is an open access article distributed under the terms and conditions of the Creative Commons Attribution (CC BY) license (https://creativecommons.org/licenses/by/4.0/).
Share and Cite
Kim, H.-E.; Han, J.-E.; Murthy, H.N.; Kwon, H.-J.; Lee, G.-M.; Park, S.-Y. Response of Cnidium officinale Makino Plants to Heat Stress and Selection of Superior Clones Using Morphological and Molecular Analysis. Plants 2022, 11, 3119. https://doi.org/10.3390/plants11223119
Kim H-E, Han J-E, Murthy HN, Kwon H-J, Lee G-M, Park S-Y. Response of Cnidium officinale Makino Plants to Heat Stress and Selection of Superior Clones Using Morphological and Molecular Analysis. Plants. 2022; 11(22):3119. https://doi.org/10.3390/plants11223119
Chicago/Turabian StyleKim, Hyung-Eun, Jong-Eun Han, Hosakatte Niranjana Murthy, Hyuk-Joon Kwon, Gun-Myung Lee, and So-Young Park. 2022. "Response of Cnidium officinale Makino Plants to Heat Stress and Selection of Superior Clones Using Morphological and Molecular Analysis" Plants 11, no. 22: 3119. https://doi.org/10.3390/plants11223119
APA StyleKim, H.-E., Han, J.-E., Murthy, H. N., Kwon, H.-J., Lee, G.-M., & Park, S.-Y. (2022). Response of Cnidium officinale Makino Plants to Heat Stress and Selection of Superior Clones Using Morphological and Molecular Analysis. Plants, 11(22), 3119. https://doi.org/10.3390/plants11223119

