Chemical Composition and Bioinsecticidal Effects of Thymus zygis L., Salvia officinalis L. and Mentha suaveolens Ehrh. Essential Oils on Medfly Ceratitis capitata and Tomato Leaf Miner Tuta absoluta
Abstract
1. Introduction
2. Results and Discussion
2.1. The Yield of Essential Oils
2.2. Chemical Composition of T. zygis L., S. officinalis L. and M. suaveolens Ehrh. Essential Oils
2.3. Insecticidal Activity
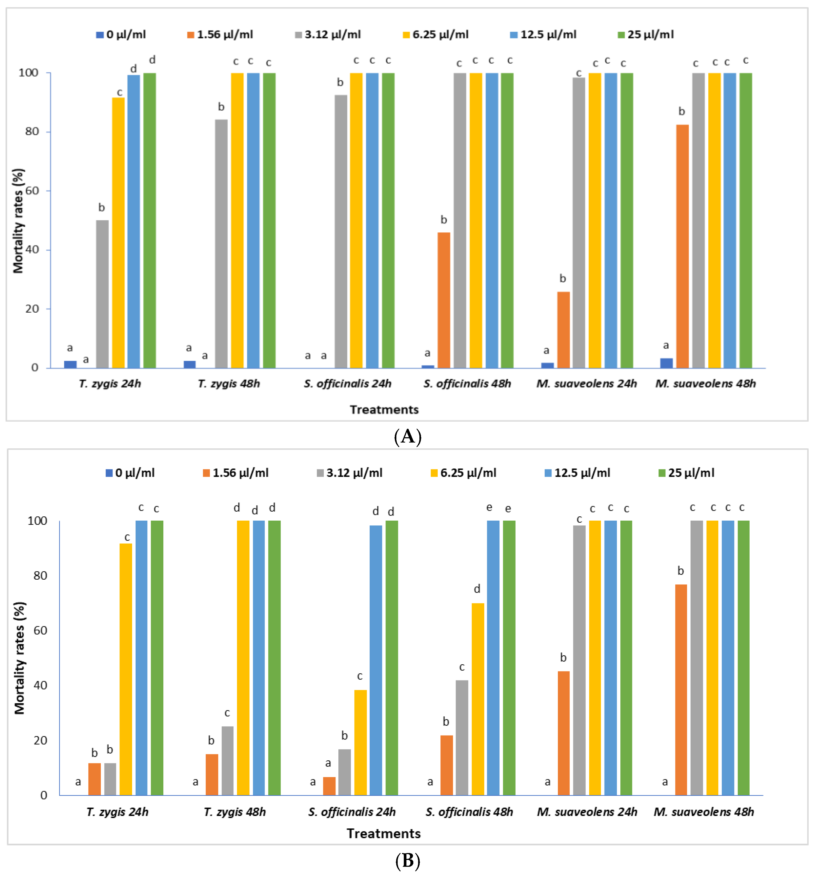
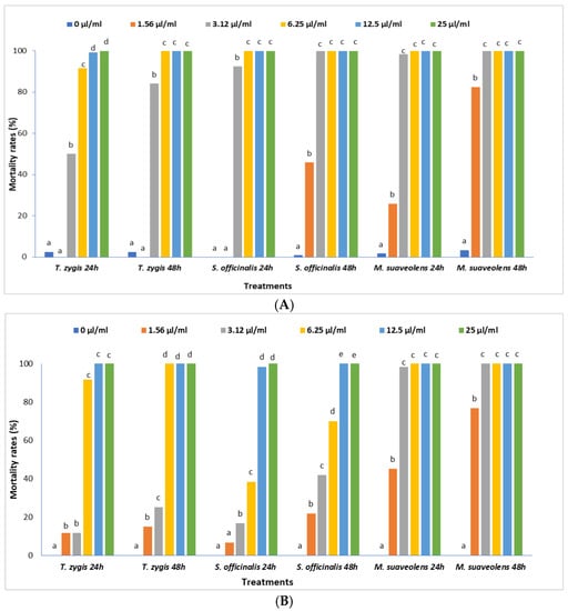
2.3.1. Toxicity of Essential Oils
2.3.2. Determination of LD50 of the Studied Essential Oils
3. Materials and Methods
3.1. Plant Material
3.2. Essential Oil Extraction
3.3. Analysis of the Chemical Composition of the Essential Oils
3.4. Insecticidal Activity
3.4.1. Insects Material
3.4.2. Concentrations Preparation
3.4.3. Biological Trials
- Larvae of T. absoluta
- Adult of C. capitata
3.5. Data Analysis
4. Conclusions
Author Contributions
Funding
Institutional Review Board Statement
Informed Consent Statement
Data Availability Statement
Acknowledgments
Conflicts of Interest
References
- Zaman, W.; Ye, J.; Ahmad, M.; Saqib, S.; Shinwari, Z.K.; Chen, Z. Phylogenetic Exploration of Traditional Chinese Medicinal Plants: A Case Study on Lamiaceae (Angiosperms). PAK. J. BOT. 2022, 54, 1033–1040. [Google Scholar] [CrossRef]
- Zaman, W.; Ahmad, M.; Zafar, M.; Amina, H.; Saqib, S.; Ullah, F.; Ayaz, A.; Bahadur, S.; Seonjoo, P. Diversity of Medicinal Plants Used as Male Contraceptives: An Initiative towards Herbal Contraceptives. IJTK 2022, 21, 616–624. [Google Scholar] [CrossRef]
- El Arch, M.; Satrani, B.; Farah, A.; Bennani, L.; Boriky, D.; Fechtal, M.; Blaghen, M.; Talbi, M. Composition chimique et activités antimicrobienne et insecticide de l’huile essentielle de Mentha rotundifolia du Maroc. Acta Bot. Gall. 2003, 150, 267–274. [Google Scholar] [CrossRef]
- Guedes, R.N.C.; Roditakis, E.; Campos, M.R.; Haddi, K.; Bielza, P.; Siqueira, H.A.A.; Tsagkarakou, A.; Vontas, J.; Nauen, R. Insecticide Resistance in the Tomato Pinworm Tuta Absoluta: Patterns, Spread, Mechanisms, Management and Outlook. J. Pest Sci. 2019, 92, 1329–1342. [Google Scholar] [CrossRef]
- Badalamenti, N.; Ilardi, V.; Bruno, M.; Pavela, R.; Boukouvala, M.C.; Kavallieratos, N.G.; Maggi, F.; Canale, A.; Benelli, G. Chemical Composition and Broad-Spectrum Insecticidal Activity of the Flower Essential Oil from an Ancient Sicilian Food Plant, Ridolfia Segetum. Agriculture 2021, 11, 304. [Google Scholar] [CrossRef]
- Cissokho, P.; Gueye, M.; Sow, E.; Diarra, K. Substances inertes et plantes à effet insecticide utilisées dans la lutte contre les insectes ravageurs des céréales et légumineuses au Sénégal et en Afrique de l’Ouest. Int. J. Bio. Chem. Sci. 2015, 9, 1644–1653. [Google Scholar] [CrossRef]
- Huang, X.; Huang, Y.; Yang, C.; Liu, T.; Liu, X.; Yuan, H. Isolation and Insecticidal Activity of Essential Oil from Artemisia Lavandulaefolia Dc. against Plutella Xylostella. Toxins 2021, 13, 842. [Google Scholar] [CrossRef]
- Wu, P.; Tang, X.; Jian, R.; Li, J.; Lin, M.; Dai, H.; Wang, K.; Sheng, Z.; Chen, B.; Xu, X.; et al. Chemical Composition, Antimicrobial and Insecticidal Activities of Essential Oils of Discarded Perfume Lemon and Leaves (Citrus limon (L.) Burm. F.) as Possible Sources of Functional Botanical Agents. Front. Chem. 2021, 9, 679116. [Google Scholar] [CrossRef]
- Yaméogo, F.; Wangrawa, D.W.; Sombié, A.; Sanon, A.; Badolo, A. Insecticidal Activity of Essential Oils from Six Aromatic Plants against Aedes Aegypti, Dengue Vector from Two Localities of Ouagadougou, Burkina Faso. Arthropod Plant Interact. 2021, 15, 627–634. [Google Scholar] [CrossRef]
- Zerkani, H.; Amalich, S.; Tagnaout, I.; Bouharroud, R.; Zair, T. Chemical Composition, Pharmaceutical Potential and Toxicity of the Essential Oils Extracted from the Leaves, Fruits and Barks of Pistacia Atlantica. Biocatal. Agric. Biotechnol. 2022, 43, 102431. [Google Scholar] [CrossRef]
- Ramos da Silva, L.R.; Ferreira, O.O.; Cruz, J.N.; de Jesus Pereira Franco, C.; Oliveira dos Anjos, T.; Cascaes, M.M.; Almeida da Costa, W.; Helena de Aguiar Andrade, E.; Santana de Oliveira, M. Lamiaceae Essential Oils, Phytochemical Profile, Antioxidant, and Biological Activities. Evid. Based Complement. Altern. Med. 2021, 2021, 1–18. [Google Scholar] [CrossRef] [PubMed]
- Nerio, L.S.; Olivero-Verbel, J.; Stashenko, E. Repellent Activity of Essential Oils: A Review. Bioresour. Technol. 2010, 101, 372–378. [Google Scholar] [CrossRef]
- Abdoul-Latif, F.M.; Ainane, A.; Mohamed, J.; Attahar, W.; Ouassil, M.; Ainane, T. Essential Oil of Thymus Zygis: Chemical Composition and Biological Valorization Proposals. Agric. Mech. Asia 2021, 51, 11. [Google Scholar]
- Božović, M.; Pirolli, A.; Ragno, R. Mentha Suaveolens Ehrh. (Lamiaceae) Essential Oil and Its Main Constituent Piperitenone Oxide: Biological Activities and Chemistry. Molecules 2015, 20, 8605–8633. [Google Scholar] [CrossRef] [PubMed]
- Belmalha, S.; EL Idrissi, M.; Amechrouq, A.; Echchgadda, G. Chemical Characterization of some Species of Moroccan. Glob. J. Pure Appl. Chem. Res. 2015, 3, 43–52. [Google Scholar]
- Yacoubi, S.; Cherrat, A.; Diouri, M.; El Hilali, F.; Zair, T. Chemical Composition and Antibacterial Activity of Thymus Zygis Subsp. Gracilis (Boiss.) R. Morales Essential Oils from Morocco. Mediterr. J. Chem. 2014, 3, 746–757. [Google Scholar] [CrossRef]
- Gonçalves, M.J.; Cruz, M.T.; Cavaleiro, C.; Lopes, M.C.; Salgueiro, L. Chemical, Antifungal and Cytotoxic Evaluation of the Essential Oil of Thymus Zygis Subsp. Sylvestris. Ind. Crops Prod. 2010, 32, 70–75. [Google Scholar] [CrossRef]
- Aouam, I.; El Atki, Y.; Taleb, M.; Taroq, A.; EL Kamari, F.; Lyoussi, B.; Abdellaoui, A. Antioxidant Capacities and Total Phenolic Contents of Thymus Riatarum. Mater. Today: Proc. 2019, 13, 579–586. [Google Scholar] [CrossRef]
- Fadili, K.; Cherrat, A.; Amalich, S.; Hayani, M.; Mahjoubi, M.; Zair, T. Composition and Antibacterial Activity of Essential Oil of a Moroccan High Atlas Spacy: Thymus Satureioides. Int. J. Curr. Res. 2015, 7, 19476–19481. [Google Scholar]
- Khiya, Z.; Hayani, M.; Gamar, A.; Kharchouf, A.; Zair, T.; El Hilali, F. Valorization of the Salvia Officinalis L of the Morocco Bioactive Extracts: Phytochemistry, Antioxidant and Anticorrosive Activities. J. King Saud Univ. Sci. 2019, 31, 322–335. [Google Scholar] [CrossRef]
- Mattazi, N.; Farah, A.; Fadil, M.; Chraibi, M.; Fikri, K. Essential oils analysis and antibacterial activity of the leaves of Rosmarinus officinalis, Salvia officinalis and Mentha piperita cultivated in Agadir (Morocco). Int. J. Pharm. Pharm. Sci. 2015, 7, 73–79. [Google Scholar]
- Vergine, M.; Nicolì, F.; Negro, C.; Luvisi, A.; Nutricati, E.; Annunziata Accogli, R.; Sabella, E.; Miceli, A. Phytochemical Profiles and Antioxidant Activity of Salvia Species from Southern Italy. Rec. Nat. Prod. 2019, 13, 205–215. [Google Scholar] [CrossRef]
- Vosoughi, N.; Gomarian, M.; Ghasemi Pirbalouti, A.; Khaghani, S.; Malekpoor, F. Essential Oil Composition and Total Phenolic, Flavonoid Contents, and Antioxidant Activity of Sage (Salvia officinalis L.) Extract under Chitosan Application and Irrigation Frequencies. Ind. Crops Prod. 2018, 117, 366–374. [Google Scholar] [CrossRef]
- Zerkani, H.; Tagnaoute, I.; Zerkani, S.; Radi, F.; Amine, S.; Cherrat, A.; Drioiche, A.; Zine, N.-E.; Benhlima, N.; Zair, T. Study of the Chemical Composition, Antimicrobial and Antioxidant Activities of the Essential Oil of Mentha Suaveolens Ehrh from Morocco. J. Essent. Oil Bear. Plants 2021, 24, 243–253. [Google Scholar] [CrossRef]
- Amzouar, S.; Boughdad, A.; Maatoui, A.; Allam, L. Comparaison de la composition chimique et l’activité insecticide des huiles essentielles de Mentha suaveolens Ehrh. prélevées de deux régions différentes du Maroc contre Bruchus rufimanus (Bohman) (Coleoptera: Chrysomelidae). Int. J. Inov. Appl. Stud. 2016, 18, 11. [Google Scholar]
- Derwich, E.; Benziane, Z.; Taouil, R.; Senhaji, O.; Touzani, M. Comparative Essential Oil Composition of Leaves of Mentha Rotundifolia and Mentha Pulegium a Traditional Herbal Medicine in Morocco. Am. Eurasian, J. Sustain. Agric. 2010, 4, 47–54. [Google Scholar]
- Cherrat, A.; Fadili, K.; Amalich, S.; Regragui, M.; El Amrani, M.; Bourkhouadar, M.; Zair, T. Effect of Thymus Zygis Subsp. Gracilis (Boiss.)’s Essential Oil Composition on Human-Pathogenic Bacteria. Adv. Environ. Biol. 2018, 12, 1–6. [Google Scholar]
- Lemrhari, A.; Zouhair, R.; Elidrissi, M.; Amechrouq, A.; Elhourri, M. Chemical Composition and Differentiation of Essential Oils of Morocco’s Different Varieties of Thyme. J. Essent. Oil Res. 2015, 20, 215–219. [Google Scholar] [CrossRef]
- Jaafari, A.; Mouse, H.A.; Rakib, E.M.; M’Barek, L.A.; Tilaoui, M.; Benbakhta, C.; Boulli, A.; Abbad, A.; Zyad, A. Chemical Composition and Antitumor Activity of Different Wild Varieties of Moroccan Thyme. Braz. J. Pharmacogn. 2007, 17, 477–491. [Google Scholar] [CrossRef]
- Moldão-Martins, M.; Bernardo-Gil, M.G.; Beirão Da Costa, M.L.; Rouzet, M. Seasonal Variation in Yield and Composition of Thymus Zygis L. Subsp. Sylvestris Essential Oil. Flavour Fragr. J. 1999, 14, 177–182. [Google Scholar] [CrossRef]
- Kaloustian, J.; Chevalier, J.; Mikail, C.; Martino, M.; Abou, L.; Vergnes, M.-F. Étude de Six Huiles Essentielles: Composition Chimique et Activité Antibactérienne. Phytothérapie 2008, 6, 160–164. [Google Scholar] [CrossRef]
- Bouajaj, S.; Benyamna, A.; Bouamama, H.; Romane, A.; Falconieri, D.; Piras, A.; Marongiu, B. Antibacterial, Allelopathic and Antioxidant Activities of Essential Oil of Salvia officinalis L. Growing Wild in the Atlas Mountains of Morocco. Nat. Prod. Res. 2013, 27, 1673–1676. [Google Scholar] [CrossRef] [PubMed]
- Hayouni, E.A.; Chraief, I.; Abedrabba, M.; Bouix, M.; Leveau, J.; Mohamed, H.; Hamid, M. Tunisian Salvia officinalis L. and Schinus Molle L. Essential Oils: Their Chemical Compositions and Their Preservative Effects against Salmonella Inoculated in Minced Beef Meat. Int. J. Food Microbiol. 2008, 125, 242–251. [Google Scholar] [CrossRef] [PubMed]
- Boughdad, A.; Elkasimi, R.; Kharchafi, M. Activite Biologique Des Huiles Essentielles De Mentha Sur Callosobruchus Maculatus (F.) (Coleoptera, Bruchidae). In Proceedings of the Neuvième Conférence Internationale sur les Ravageurs en Agriculture, Montpellier, France, 26–27 October 2011; p. 9. [Google Scholar]
- Zekri, N.; Amalich, S.; Boughdad, A.; Alaoui El Belghiti, M.; Zair, T. Phytochemical Study and Insecticidal Activity of Mentha pulegium L. Oils from Morocco against Sitophilus Oryzae. Mediterr. J. Chem 2013, 2, 607–619. [Google Scholar] [CrossRef]
- Lorenzo, D.; Paz, D.; Dellacassa, E.; Davies, P.; Vila, R.; Cañigueral, S. Essentiel Oils of Mentha Pulegium and Mentha Rotundifolia from Uruguay. Braz. Arch. Biol. Technol. 2002, 45, 519–524. [Google Scholar] [CrossRef]
- Koliopoulos, G.; Pitarokili, D.; Kioulos, E.; Michaelakis, A.; Tzakou, O. Chemical Composition and Larvicidal Evaluation of Mentha, Salvia, and Melissa Essential Oils against the West Nile Virus Mosquito Culex Pipiens. Parasitol Res. 2010, 107, 327–335. [Google Scholar] [CrossRef]
- Aziz, E.E.; Craker, L.E. Essential Oil Constituents of Peppermint, Pennyroyal, and Apple Mint Grown in a Desert Agrosystem. J. Herbs Spices Med. Plants 2010, 15, 361–367. [Google Scholar] [CrossRef]
- Bouayad Alam, S.; Dib, M.E.A.; Djabou, N.; Tabti, B.; Gaouar Benyelles, N.; Costa, J.; Muselli, A. Essential Oils as Biocides for the Control of Fungal Infections and Devastating Pest (Tuta Absoluta) of Tomato (Lycopersicon Esculentum Mill ). Chem. Biodivers. 2017, 14, e1700065. [Google Scholar] [CrossRef]
- Xie, F.; Rizvi, S.A.H.; Zeng, X. Fumigant Toxicity and Biochemical Properties of (α + β) Thujone and 1, 8-Cineole Derived from Seriphidium Brevifolium Volatile Oil against the Red Imported Fire Ant Solenopsis Invicta (Hymenoptera: Formicidae). Rev. Bras. De Farmacogn. 2019, 29, 720–727. [Google Scholar] [CrossRef]
- Mohamed, M.I.E.; Abdelgaleil, S.A.M. Chemical Composition and Insecticidal Potential of Essential Oils from Egyptian Plants against Sitophilus oryzae (L.) (Coleoptera: Curculionidae) and Tribolium Castaneum (Herbst) (Coleoptera: Tenebrionidae). Appl. Entomol. Zool. 2008, 43, 599–607. [Google Scholar] [CrossRef]
- Tripathi, P.; Dubey, N.K. Exploitation of Natural Products as an Alternative Strategy to Control Postharvest Fungal Rotting of Fruit and Vegetables. Postharvest Biol. Technol. 2004, 32, 235–245. [Google Scholar] [CrossRef]
- AFNOR. Huiles Essentielles/AFNOR, 5th ed.; AFNOR: Paris, France, 1996; Volume 2, XXXVIII-440 p, XXXVIII-576 p, ISBN 2-12-177550-1. [Google Scholar]
- Adams, R. Identification of Essential Oils Components by Gas Chromatography/Mass Spectroscopy, 4th ed.; Allured Publishing Corporation: Carol Stream, IL, USA, 2007; ISBN 978-1-932()33-11-4. [Google Scholar]
- Galdino, T.V.D.S.; Picanço, M.C.; de Morais, E.G.F.; Nilson Rodrigues, S.; da Silva, G.A.R.; Mayara Cristina, L. Bioassay Method for Toxicity Studies of Insecticide Formulations to Tuta Absoluta (MEYRICK, 1917). Ciênc. Agrotec. Lavras 2011, 35, 869–877. [Google Scholar] [CrossRef]





| Plant | T. zygis L. | S. officinalis L. | M. suaveolens |
|---|---|---|---|
| Yield (%v/w) | 3.87 ± 0.03 | 4.09 ± 0.23 | 4.35 ± 0.11 |
| RT | Constituents | (KI) | Formula | Percentage (%) | ||
|---|---|---|---|---|---|---|
| T. zygis L. | S. officinalis L. | M. suaveolens Ehrh. | ||||
| 5.22 | Salvene <(Z)-> | 856 | C9H16 | - | 0.16 | - |
| 7.19 | tricyclene | 926 | C10H16 | - | 0.17 | - |
| 7.67 | Thujene <α-> | 930 | C10H16 | 0.33 | 0.34 | - |
| 7.83 | Pinene <α-> | 939 | C10H16 | 0.50 | 7.46 | - |
| 8.22 | Camphene | 954 | C10H16 | 0.46 | 4.40 | - |
| 9.16 | Pinene <β-> | 979 | C10H16 | 0.11 | 2.69 | - |
| 9.31 | Octen-3-ol <1-> | 979 | C8H16O | 0.27 | - | 0.24 |
| 9.89 | Myrcene | 990 | C10H16 | 0.90 | 2.14 | - |
| 10.19 | Phellandrene <α-> | 1002 | C10H16 | 0.07 | - | - |
| 10.67 | Terpinene <α-> | 1017 | C10H16 | 1.02 | 0.33 | - |
| 10.81 | Cineole <1.8> | 1031 | C10H18O | - | 11.46 | - |
| 10.83 | Cymene <ο-> | 1026 | C10H14 | 16.90 | 0.27 | - |
| 11.01 | Phellandrene <β-> | 1029 | C10H16 | 0.14 | - | - |
| 11.08 | Limonene | 1029 | C10H16 | 0.27 | 1.20 | 0.77 |
| 12.18 | Terpinene <γ-> | 1059 | C10H16 | 7.23 | 0.81 | - |
| 12.88 | Terpinolene | 1088 | C10H16 | 0.06 | 0.51 | - |
| 13.07 | Thujone (cis) | 1102 | C10H16O | - | 2.76 | - |
| 13.6 | Linalool | 1096 | C10H18O | 3.14 | - | - |
| 13.70 | Thujone (trans) | 1114 | C10H16O | - | 21.80 | - |
| 14.37 | Camphor | 1146 | C10H16O | - | 15.33 | - |
| 15.27 | Isoborneol | 1160 | C10H18O | - | 1.40 | - |
| 15.59 | Borneol | 1169 | C10H18O | 2.18 | - | 9.57 |
| 15.75 | Terpinen-4-ol | 1177 | C10H18O | 1.24 | 1.54 | 0.24 |
| 16.14 | Terpineol <α-> | 1188 | C10H18O | - | 0.52 | - |
| 18.43 | Carvone oxide <cis> | 1263 | C10H14O2 | - | - | 0.47 |
| 18.73 | Carvone | 1243 | C10H14O | - | - | 0.38 |
| 19.45 | Isobornyl acetate | 1285 | C12H20O2 | - | 0.81 | - |
| 19.72 | Carvotanacetone <6-hydroxy-> | 1310 | C10 H16 O2 | - | - | 1.55 |
| 19.93 | Thymol | 1290 | C10H14O | 0.19 | - | - |
| 20.35 | Carvacrol | 1299 | C10H14O | 61.6 | - | 0.75 |
| 22.22 | Piperitenone oxide | 1368 | C10H14O2 | - | - | 74.57 |
| 22.37 | Jasmone <dihydro-> | 1380 | C11H18O | - | - | 0.43 |
| 22.55 | 2,4-Dimethyl-1,3-cyclopentanedione | 1390 | C7H10O2 | - | - | 0.16 |
| 23.04 | Jasmone <(Z)-> | 1392 | C11 H16 O | - | - | 0.20 |
| 24.05 | Caryophyllene <(E)-> | 1419 | C15H24 | 2.42 | 6.76 | - |
| 23.19 | Nepetalactone <4aα,7α,7aβ-> | 1387 | C10H14O2 | - | - | 3.10 |
| 24.35 | Caryophyllene <(Z)-> | 1408 | C15H24 | - | - | 0.84 |
| 24.58 | Aromadendrene | 1441 | C15H24 | - | 0.39 | - |
| 25.02 | Humulene <α-> | 1454 | C15H24 | 0.08 | 4.93 | - |
| 25.66 | Farnesene <(E)-β-> | 1456 | C15H24 | - | - | 0.44 |
| 25.69 | Muurolene (ɣ) | 1479 | C15H24 | - | 0.24 | - |
| 26.14 | Germacrene D | 1481 | C15H24 | - | - | 0.94 |
| 27.06 | Cadinene <δ-> | 1523 | C15H24 | 0.15 | 0.24 | 1.51 |
| 27.2 | Calamenene <trans-> | 1522 | C15H22 | - | - | 0.26 |
| 28.28 | Spathulenol | 1578 | C15H24O | - | - | 0.43 |
| 28.40 | Caryophyllene oxide | 1583 | C15H24O | 0.40 | 1.16 | 0.70 |
| 28.73 | Globulol | 1590 | C15H26O | - | - | 0.63 |
| 28.86 | Viridiflorol | 1592 | C15H26O | - | 6.20 | - |
| 29.12 | Humulene epoxide II | 1608 | C15H24O | - | 0.79 | - |
| 29.44 | Cubenol <1,10-di-epi-> | 1619 | C15H26O | - | - | 0.76 |
| 30.51 | Cadinol <α-> | 1654 | C15H26O | - | - | 0.30 |
| 31.27 | Germacra-4(15),5,10(14)-trien-1-α-ol | 1686 | C15H24O | 0.11 | 0.31 | 0.23 |
| 33.99 | Costol (β) | 1767 | C15H24O | - | 0.25 | - |
| 36.13 | Isovalencenol (E) | 1793 | C15H24O | - | 0.29 | - |
| 36.26 | Eremophilone <8-hydroxy-> | 1847 | C15 H22 O2 | - | - | 0.32 |
| 37.37 | Farnecyl acetone -<5E, 9Z> | 1887 | C8H30O | 0.15 | - | - |
| 40.41 | Manool (13-epi) | 2060 | C20H34O | - | 2,0 | - |
| 41.09 | Himachalene <α-> | 1451 | C15 H24 | 0.32 | ||
| Total (%) | 99.92 | 99.89 | 99.79 | |||
| Hydrogenated monoterpenes | 27.99 | 20.48 | 0.77 | |||
| Oxygenated monoterpenes | 68.62 | 55.62 | 91.66 | |||
| Hydrogenated sesquiterpenes | 2.65 | 12.79 | 3.99 | |||
| Oxygenated sesquiterpenes | 0.66 | 9 | 3.37 | |||
| Diterpenes | 2 | |||||
| Pests | Duration after Treatment (h) | DL50 (µL/mL) | Confidence Limits | Slope | Standard Error | Heterogeneity | g Value | Log (L) |
|---|---|---|---|---|---|---|---|---|
| T. zygis | ||||||||
| C. capitata | 24 | 11.78 | 11.78–14.00 | 5.75 | 0.48 | 0.61 | 0.03 | −144.60 |
| 48 | 7.00 | 7.00–11.00 | 6.36 | 0.76 | 0.55 | 0.05 | −226.80 | |
| T. absoluta | 24 | 6.18 | 3.00–6.18 | 3.50 | 0.34 | 1.83 | 0.07 | −83.72 |
| 48 | 3.76 | 2.00–3.76 | 3.42 | 0.34 | 1.15 | 0.05 | −82.30 | |
| M. suaveolens | ||||||||
| C. capitata | 24 | 2.30 | - | 11.15 | 0.01 | 0.05 | >0.5 | −89.00 |
| 48 | 0.90 | - | 9.14 | 0.00 | 0.16 | >0.5 | −79.05 | |
| T. absoluta | 24 | 1.13 | - | 16.94 | 0.00 | 0.03 | >0.5 | −41.29 |
| 48 | 0.80 | - | 15.33 | 0.03 | 0.12 | >0.5 | −32.60 | |
| S. officinalis | ||||||||
| C. capitata | 24 | 6.56 | 6.56–7.00 | 4.02 | 0.40 | 0.88 | 0.04 | −230.20 |
| 48 | 3.44 | 3.44–4.00 | 2.98 | 0.25 | 0.70 | 0.03 | −211.90 | |
| T. absoluta | 24 | 11.04 | 10.00–13.00 | 3.67 | 0.34 | 0.79 | 0.03 | −96.91 |
| 48 | 8.38 | 6.00–8.40 | 2.72 | 0.24 | 0.80 | 0.03 | −123.80 | |
Publisher’s Note: MDPI stays neutral with regard to jurisdictional claims in published maps and institutional affiliations. |
© 2022 by the authors. Licensee MDPI, Basel, Switzerland. This article is an open access article distributed under the terms and conditions of the Creative Commons Attribution (CC BY) license (https://creativecommons.org/licenses/by/4.0/).
Share and Cite
Zerkani, H.; Kharchoufa, L.; Tagnaout, I.; Fakchich, J.; Bouhrim, M.; Amalich, S.; Addi, M.; Hano, C.; Cruz-Martins, N.; Bouharroud, R.; et al. Chemical Composition and Bioinsecticidal Effects of Thymus zygis L., Salvia officinalis L. and Mentha suaveolens Ehrh. Essential Oils on Medfly Ceratitis capitata and Tomato Leaf Miner Tuta absoluta. Plants 2022, 11, 3084. https://doi.org/10.3390/plants11223084
Zerkani H, Kharchoufa L, Tagnaout I, Fakchich J, Bouhrim M, Amalich S, Addi M, Hano C, Cruz-Martins N, Bouharroud R, et al. Chemical Composition and Bioinsecticidal Effects of Thymus zygis L., Salvia officinalis L. and Mentha suaveolens Ehrh. Essential Oils on Medfly Ceratitis capitata and Tomato Leaf Miner Tuta absoluta. Plants. 2022; 11(22):3084. https://doi.org/10.3390/plants11223084
Chicago/Turabian StyleZerkani, Hannou, Loubna Kharchoufa, Imane Tagnaout, Jamila Fakchich, Mohamed Bouhrim, Smail Amalich, Mohamed Addi, Christophe Hano, Natália Cruz-Martins, Rachid Bouharroud, and et al. 2022. "Chemical Composition and Bioinsecticidal Effects of Thymus zygis L., Salvia officinalis L. and Mentha suaveolens Ehrh. Essential Oils on Medfly Ceratitis capitata and Tomato Leaf Miner Tuta absoluta" Plants 11, no. 22: 3084. https://doi.org/10.3390/plants11223084
APA StyleZerkani, H., Kharchoufa, L., Tagnaout, I., Fakchich, J., Bouhrim, M., Amalich, S., Addi, M., Hano, C., Cruz-Martins, N., Bouharroud, R., & Zair, T. (2022). Chemical Composition and Bioinsecticidal Effects of Thymus zygis L., Salvia officinalis L. and Mentha suaveolens Ehrh. Essential Oils on Medfly Ceratitis capitata and Tomato Leaf Miner Tuta absoluta. Plants, 11(22), 3084. https://doi.org/10.3390/plants11223084

