Arbuscular Mycorrhiza Support Plant Sulfur Supply through Organosulfur Mobilizing Bacteria in the Hypho- and Rhizosphere
Abstract
1. Introduction
2. Results
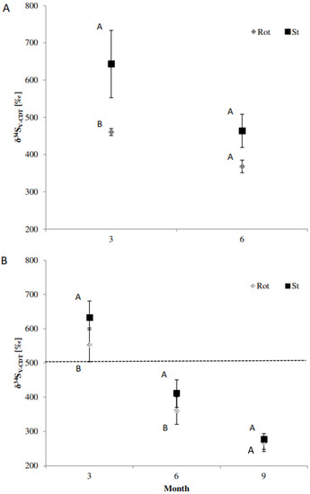
2.1. Plant Uptake of 34S from Organo-34S Enriched Soil Microcosms
2.2. S K-Edge X-ray Absorption near Edge Spectroscopy
2.3. AM Colonisation
2.4. Quantification of Cultivable Bacteria
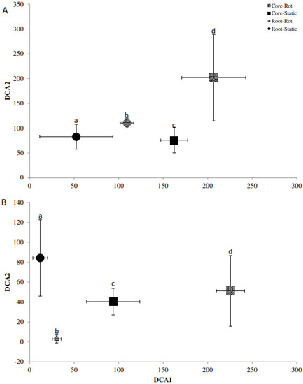
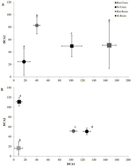
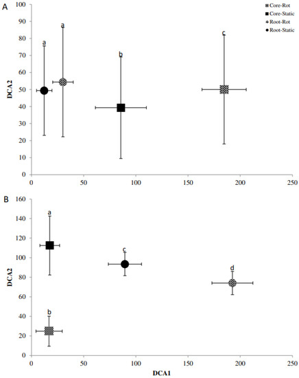
2.5. Fingerprinting Based Community Analysis
2.6. Arylsulfatase Activity
2.7. Diversity of asfA and atsA Gene
2.8. NGS Based Bacterial Community Sequences
3. Discussion
4. Materials and Methods
4.1. Site Description
4.2. Stable Isotope Enriched Soil
4.3. Core Design and Constructing the Soil Microcosms
4.4. Organo-34S Enriched Soil Microcosms for Cultivation of Agrostis stolonifera and Plantago lanceolata
4.5. Determination of 34S Uptake into Shoots of A. stolonifera and P. lanceolata
4.6. S K-Edge X-ray Absorption near Edge Spectroscopy
4.7. Percentage Root Colonisation
4.8. Extraction and Quantification of Bacteria from AM Hyphae
4.9. Community Fingerprinting
4.10. Arylsulfatase Activity
4.11. Diversity of asfA and atsA Gene
4.12. Amplicon Sequencing of 16S sRNA Gene Fragments (NGS)
4.13. Data Analysis
Supplementary Materials
Author Contributions
Funding
Data Availability Statement
Acknowledgments
Conflicts of Interest
References
- Hao, F.; Lehmann, J.; Solomon, D.; Fox, M.; McGrath, S. Sulphur speciation and turnover in soils: Evidence from sulphur K-edge XANES spectroscopy and isotope dilution studies. Soil Biol. Biochem. 2006, 38, 1000–1007. [Google Scholar] [CrossRef]
- Autry, A.R.; Fitzgerald, J.W. Sulfonate S: A major form of forest soil organic sulfur. Biol. Fertil. Soils 1990, 10, 50–56. [Google Scholar] [CrossRef]
- Kertesz, M.A.; Mirleau, P. The role of microbes in plant sulphur supply. J. Exp. Bot. 2004, 55, 1939–1945. [Google Scholar] [CrossRef] [PubMed]
- Kertesz, M.A.; Fellows, E.; Schmalenberger, A. Rhizobacteria and Plant Sulfur Supply. Adv. Appl. Microbiol. 2007, 62, 235–268. [Google Scholar] [CrossRef] [PubMed]
- Klose, S.; Moore, J.M.; Tabatabai, M.A. Arylsulfatase activity of microbial biomass in soils as affected by cropping systems. Biol. Fertil. Soils 1999, 29, 46–54. [Google Scholar] [CrossRef]
- Beil, S.; Kenhril, H.; James, P.; Staudenmann, W.; Cook, A.M.; Leisinger, T.; Kertesz, M.A. Purification and characterization of the arylsulfatase synthesized by Pseudomonas aeruginosa PAO during growth in sulfate-free medium and cloning of the arylsulfatase gene (atsA). Eur. J. Biochem. 1995, 229, 385–394. [Google Scholar] [CrossRef]
- Kahnert, A.; Vermeij, P.; Wietek, C.; James, P.; Leisinger, T.; Kertesz, M.A. The ssu Locus Plays a Key Role in Organosulfur Metabolism in Pseudomonas putida S-313. J. Bacteriol. 2000, 182, 2869–2878. [Google Scholar] [CrossRef]
- Kahnert, A.; Mirleau, P.; Wait, R.; Kertesz, M.A. The LysR type regulator SftR is involved in soil survival and sulphate ester metabolism in Pseudomonas putida. Environ. Microbiol. 2002, 4, 225–237. [Google Scholar] [CrossRef]
- Ikoyi, I.; Fowler, A.; Storey, S.; Doyle, E.; Schmalenberger, A. Sulfate fertilization supports growth of ryegrass in soil columns but changes microbial community structures and reduces abundances of nematodes and arbuscular mycorrhiza. Sci. Total Environ. 2020, 704, 135315. [Google Scholar] [CrossRef]
- Kertesz, M.A. Riding the sulfur cycle–metabolism of sulfonates and sulfate esters in Gram-negative bacteria. FEMS Microbiol. Rev. 2000, 24, 135–175. [Google Scholar] [CrossRef]
- Schmalenberger, A.; Kertesz, M.A. Desulfurization of aromatic sulfonates by rhizosphere bacteria: High diversity of the asfA gene. Environ. Microbiol. 2006, 9, 535–545. [Google Scholar] [CrossRef] [PubMed]
- Schmalenberger, A.; Hodge, S.; Bryant, A.; Hawkesford, M.; Singh, B.; Kertesz, M.A. The role of Variovorax and other Comamonadaceae in sulfur transformations by microbial wheat rhizosphere communities exposed to different sulfur fertilization regimes. Environ. Microbiol. 2008, 10, 1486–1500. [Google Scholar] [CrossRef] [PubMed]
- Schmalenberger, A.; Hodge, S.; Hawkesford, M.; Kertesz, M.A. Sulfonate desulfurization in Rhodococcus from wheat rhizosphere communities. FEMS Microbiol. Ecol. 2009, 67, 140–150. [Google Scholar] [CrossRef] [PubMed]
- Fox, A.; Kwapinski, W.; Griffiths, B.S.; Schmalenberger, A. The role of sulfur- and phosphorus-mobilizing bacteria in biochar-induced growth promotion ofLolium perenne. FEMS Microbiol. Ecol. 2014, 90, 78–91. [Google Scholar] [CrossRef]
- Gahan, J.; Schmalenberger, A. Arbuscular mycorrhizal hyphae in grassland select for a diverse and abundant hyphospheric bacterial community involved in sulfonate desulfurization. Appl. Soil Ecol. 2015, 89, 113–121. [Google Scholar] [CrossRef]
- Wang, B.; Qiu, Y.-L. Phylogenetic distribution and evolution of mycorrhizas in land plants. Mycorrhiza 2006, 16, 299–363. [Google Scholar] [CrossRef]
- Smith, S.E.; Read, D.J. Mycorrhizal Symbiosis; Academic Press: Oxford, UK, 1997. [Google Scholar]
- Nagahashi, G.; Douds, D.D. Partial separation of root exudate components and their effects upon the growth of germinated spores of AM fungi. Mycol. Res. 2000, 104, 1453–1464. [Google Scholar] [CrossRef]
- Gray, L.E.; Gerdemann, J.W. Uptake of sulphur-35 by vesicular-arbuscular mycorrhizae. Plant Soil 1973, 39, 687–689. [Google Scholar] [CrossRef]
- Cavagnaro, T.R.; Jackson, L.E.; Six, J.; Ferris, H.; Goyal, S.; Asami, D.; Scow, K.M. Arbuscular Mycorrhizas, Microbial Communities, Nutrient Availability, and Soil Aggregates in Organic Tomato Production. Plant Soil 2006, 282, 209–225. [Google Scholar] [CrossRef]
- Allen, J.W.; Shachar-Hill, Y. Sulfur Transfer through an Arbuscular Mycorrhiza. Plant Physiol. 2008, 149, 549–560. [Google Scholar] [CrossRef]
- Buchner, P.; Takahashi, H.; Hawkesford, M.J. Plant sulphate transporters: Co-ordination of uptake, intracellular and long-distance transport. J. Exp. Bot. 2004, 55, 1765–1773. [Google Scholar] [CrossRef] [PubMed]
- Giovannetti, M.; Tolosano, M.; Volpe, V.; Kopriva, S.; Bonfante, P. Identification and functional characterization of a sulfate transporter induced by both sulfur starvation and mycorrhiza formation in Lotus japonicus. New Phytol. 2014, 204, 609–619. [Google Scholar] [CrossRef] [PubMed]
- Barea, J.-M.; Azcón, R.; Azcón-Aguilar, C. Mycorrhizosphere interactions to improve plant fitness and soil quality. Antonie Van Leeuwenhoek 2002, 81, 343–351. [Google Scholar] [CrossRef]
- Boer, W.d.; Folman, L.B.; Summerbell, R.C.; Boddy, L. Living in a fungal world: Impact of fungi on soil bacterial niche development. FEMS Microbiol. Rev. 2005, 29, 795–811. [Google Scholar] [CrossRef]
- Gryndler, M.; Hršelová, H.; Stříteská, D. Effect of soil bacteria on hyphal growth of the arbuscular mycorrhizal fungus Glomus claroideum. Folia Microbiol. 2000, 45, 545–551. [Google Scholar] [CrossRef]
- Gianinazzi, S.; Schüepp, H. Impact of Arbuscular Mycorrhizas on Sustainable Agriculture and Natural Ecosystems; Springer: Berlin/Heidelberg, Germany, 1994. [Google Scholar]
- Siciliano, S.D.; Palmer, A.S.; Winsley, T.; Lamb, E.; Bissett, A.; Brown, M.V.; van Dorst, J.; Ji, M.; Ferrari, B.C.; Grogan, P.; et al. Soil fertility is associated with fungal and bacterial richness, whereas pH is associated with community composition in polar soil microbial communities. Soil Biol. Biochem. 2014, 78, 10–20. [Google Scholar] [CrossRef]
- Vilarinõ, A.; Frey, B.; Shüepp, H. MES [2-(N-morpholine)-ethane sulphonic acid] buffer promotes the growth of external hyphae of the arbuscular mycorrhizal fungus Glomus intraradices in an alkaline sand. Biol. Fertil. Soils 1997, 25, 79–81. [Google Scholar] [CrossRef]
- Schmalenberger, A.; Pritzkow, W.; Ojeda, J.J.; Noll, M. Characterization of main sulfur source of wood-degrading basidiomycetes by S K-edge X-ray absorption near edge spectroscopy (XANES). Int. Biodeterior. Biodegrad. 2011, 65, 1215–1223. [Google Scholar] [CrossRef]
- Altschul, S.F.; Gish, W.; Miller, W.; Myers, E.W.; Lipman, D.J. Basic local alignment search tool. J. Mol. Biol. 1990, 215, 403–410. [Google Scholar] [CrossRef]
- Schmalenberger, A.; Telford, A.; Kertesz, M. Sulfate treatment affects desulfonating bacterial community structures in Agrostis rhizospheres as revealed by functional gene analysis based on asfA. Eur. J. Soil Biol. 2010, 46, 248–254. [Google Scholar] [CrossRef]
- Dobritsa, A.P.; Samadpour, M. Transfer of eleven species of the genus Burkholderia to the genus Paraburkholderia and proposal of Caballeronia gen. nov. to accommodate twelve species of the genera Burkholderia and Paraburkholderia. Int. J. Syst. Evol. Microbiol. 2016, 66, 2836–2846. [Google Scholar] [CrossRef] [PubMed]
- Schmalenberger, A.; Drake, H.L.; Küsel, K. High unique diversity of sulfate-reducing prokaryotes characterized in a depth gradient in an acidic fen. Environ. Microbiol. 2007, 9, 1317–1328. [Google Scholar] [CrossRef] [PubMed]
- Chao, A. Nonparametric estimation of the number of classes in a population. Scand. J. Stat. 1984, 11, 265–270. [Google Scholar]
- Weaver, W. Recent contributions to the mathematical theory of communication. ETC Rev. Gen. Semant. 1949, 10, 261–268. [Google Scholar]
- Simpson, E.H. Measurement of diversity. Nature 1949, 163, 688. [Google Scholar] [CrossRef]
- Hodge, A.; Fitter, A.H. Substantial nitrogen acquisition by arbuscular mycorrhizal fungi from organic material has implications for N cycling. Proc. Natl. Acad. Sci. USA 2010, 107, 13754–13759. [Google Scholar] [CrossRef] [PubMed]
- Hodge, A.; Campbell, C.D.; Fitter, A.H. An arbuscular mycorrhizal fungus accelerates decomposition and acquires nitrogen directly from organic material. Nature 2001, 413, 297–299. [Google Scholar] [CrossRef] [PubMed]
- Johnson, D.; Leake, J.; Read, D.J. Novel in-growth core system enables functional studies of grassland mycorrhizal mycelial networks. New Phytol. 2001, 152, 555–562. [Google Scholar] [CrossRef]
- Rowe, H.I.; Brown, C.S.; Claassen, V.P. Comparisons of mycorrhizal responsiveness with field soil and commercial inoculum for six native montane species and Bromus tectorum. Restor. Ecol. 2007, 15, 44–52. [Google Scholar] [CrossRef]
- Leustek, T.; Saito, K. Sulfate Transport and Assimilation in Plants1. Plant Physiol. 1999, 120, 637–644. [Google Scholar] [CrossRef]
- Schmalenberger, A.; Noll, M. Bacterial communities in grassland turfs respond to sulphonate addition while fungal communities remain largely unchanged. Eur. J. Soil Biol. 2014, 61, 12–19. [Google Scholar] [CrossRef]
- Freney, J.; Melville, G.; Williams, C. Soil organic matter fractions as sources of plant-available sulphur. Soil Biol. Biochem. 1975, 7, 217–221. [Google Scholar] [CrossRef]
- Freney, J.R. Forms and reactions of organic sulfur compounds in soils. In Sulfur in Agriculture; Tabatabai, M.A., Ed.; American Society of Agronomy: Madison, WI, USA, 1986; pp. 207–232. [Google Scholar]
- Treseder, K.K. The extent of mycorrhizal colonization of roots and its influence on plant growth and phosphorus content. Plant Soil 2013, 371, 1–13. [Google Scholar] [CrossRef]
- Van der Heijden, M.G.A.; Klironomos, J.N.; Ursic, M.; Moutoglis, P.; Streitwolf-Engel, R.; Boller, T.; Wiemken, A.; Sanders, I.R. Mycorrhizal fungal diversity determines plant biodiversity, ecosystem variability and productivity. Nature 1998, 396, 69–72. [Google Scholar] [CrossRef]
- Hart, M.M.; Klironomos, J.N. Colonization of roots by arbuscular mycorrhizal fungi using different sources of inoculum. Mycorrhiza 2002, 12, 181–184. [Google Scholar] [CrossRef]
- Gahan, J.; Schmalenberger, A. Linking plant growth promoting arbuscular mycorrhizal colonization with bacterial plant sulfur supply. bioRxiv 2021. [Google Scholar] [CrossRef]
- Johansson, J.F.; Paul, L.R.; Finlay, R.D. Microbial interactions in the mycorrhizosphere and their significance for sustainable agriculture. FEMS Microbiol. Ecol. 2004, 48, 1–13. [Google Scholar] [CrossRef]
- Andrade, G.; Linderman, R.; Bethlenfalvay, G. Bacterial associations with the mycorrhizosphere and hyphosphere of the arbuscular mycorrhizal fungus Glomus mosseae. Plant Soil 1998, 202, 79–87. [Google Scholar] [CrossRef]
- Andrade, G.; Mihara, K.; Linderman, R.; Bethlenfalvay, G. Bacteria from rhizosphere and hyphosphere soils of different arbuscular-mycorrhizal fungi. Plant Soil 1997, 192, 71–79. [Google Scholar] [CrossRef]
- Scheublin, T.R.; Sanders, I.; Keel, C.; van der Meer, J.R. Characterisation of microbial communities colonising the hyphal surfaces of arbuscular mycorrhizal fungi. ISME J. 2010, 4, 752–763. [Google Scholar] [CrossRef]
- Gahan, J.; O’Sullivan, O.; Cotter, P.; Schmalenberger, A. The role of arbuscular mycorrhiza and organosulfur mobilizing bacteria in plant sulphur supply. bioRxiv 2021. [Google Scholar] [CrossRef]
- Banerjee, M.R.; Chapman, S.J.; Killham, K. Uptake of fertilizer sulfur by maize from soils of low sulfur status as affected by vesicular-arbuscular mycorrhizae. Can. J. Soil Sci. 1999, 79, 557–559. [Google Scholar] [CrossRef]
- Knauff, U.; Schulz, M.; Scherer, H.W. Arylsufatase activity in the rhizosphere and roots of different crop species. Eur. J. Agron. 2003, 19, 215–223. [Google Scholar] [CrossRef]
- Wiegand, S.; Jogler, M.; Jogler, C. On the maverick Planctomycetes. FEMS Microbiol. Rev. 2018, 42, 739–760. [Google Scholar] [CrossRef] [PubMed]
- Delgado-Baquerizo, M.; Oliverio, A.M.; Brewer, T.E.; Benavent-González, A.; Eldridge, D.J.; Bardgett, R.D.; Maestre, F.T.; Singh, B.K.; Fierer, N. A global atlas of the dominant bacteria found in soil. Science 2018, 359, 320–325. [Google Scholar] [CrossRef] [PubMed]
- Van Houdt, R.; Monchy, S.; Leys, N.; Mergeay, M. New mobile genetic elements in Cupriavidus metallidurans CH34, their possible roles and occurrence in other bacteria. Antonie Van Leeuwenhoek 2009, 96, 205–226. [Google Scholar] [CrossRef]
- Yu, X.; Liu, X.; Zhu, T.H.; Liu, G.H.; Mao, C. Isolation and characterization of phosphate-solubilizing bacteria from walnut and their effect on growth and phosphorus mobilization. Biol. Fertil. Soils 2011, 47, 437–446. [Google Scholar] [CrossRef]
- Schmalenberger, A.; Noll, M. Shifts in desulfonating bacterial communities along a soil chronosequence in the forefield of a receding glacier. FEMS Microbiol. Ecol. 2009, 71, 208–217. [Google Scholar] [CrossRef]
- Inceoğlu, Ö.; Sablayrollesb, C.; Elsasa, J.D.; Sallesa, J.F. Shifts in soil bacterial communities associated with the potato rhizosphere in response to aromatic sulfonate amendments. Appl. Soil Ecol. 2013, 63, 78–87. [Google Scholar] [CrossRef]
- Tunney, H.; Kirwan, L.; Fu, W.; Culleton, N.; Black, A.D. Long-term phosphorus grassland experiment for beef production—Impacts on soil phosphorus levels and liveweight gains. Soil Use Manag. 2010, 26, 237–244. [Google Scholar] [CrossRef]
- Krouse, H.R.; Mayer, B.; Schoenau, J.J. Applications of stable isotope technique to soil sulfur cycling. In Mass Spectrometry of Soils; Boutton, T.W., Yamasaki, S., Eds.; Marcel Dekker: New York, NY, USA, 1996; pp. 247–284. [Google Scholar]
- Dedourge, O.; Vong, P.-C.; Lasserre-Joulin, F.; Benizri, E.; Guckert, A. Effects of glucose and rhizodeposits (with or without cysteine-S) on immobilized-35S, microbial bio-mass-35S and arylsulphatase activity in a calcareous and an acid brown soil. Eur. J. Soil Sci. 2004, 55, 649–656. [Google Scholar] [CrossRef]
- Hoagland, D.R.; Snyder, W.C. Nutrition of strawberry plants under controlled conditions. Proc. Am. Soc. Hortic. Sci. 1933, 30, 288–294. [Google Scholar]
- McGonigle, T.P.; Miller, M.H.; Evans, D.G.; Fairchild, G.L.; Swan, J.A. A new method which gives an objective measure of colonization of roots by vesicular—Arbuscular mycorrhizal fungi. New Phytol. 1990, 115, 495–501. [Google Scholar] [CrossRef] [PubMed]
- Reasoner, D.J.; Geldreich, E.E. A new medium for the enumeration and subculture of bacteria from potable water. Appl. Environ. Microbiol. 1985, 49, 1–7. [Google Scholar] [CrossRef]
- FDA, BAM Appendix 2: Most Probable Number from Serial Dilutions. 2011. Available online: https://www.fda.gov/food/laboratory-methods-food/bam-appendix-2-most-probable-number-serial-dilutions (accessed on 1 September 2020).
- Graça, J.; Daly, K.; Bondi, G.; Ikoyi, I.; Crispie, F.; Cabrera-Rubio, R.; Cotter, P.D.; Schmalenberger, A. Drainage class and soil phosphorus availability shape microbial communities in Irish grasslands. Eur. J. Soil Biol. 2021, 104, 103297. [Google Scholar] [CrossRef]
- Tabatabai, M.A.; Bremner, J.M. Factors affecting soil arylsulfatase activity. Soil Sci. Soc. Am. J. 1970, 34, 427–429. [Google Scholar] [CrossRef]
- Ludwig, W.; Strunk, O.; Westram, R.; Richter, L.; Meier, H.; Yadhukumar; Buchner, A.; Lai, T.; Steppi, S.; Jobb, G.; et al. ARB: A software environment for sequence data. Nucleic Acids Res. 2004, 32, 1363–1371. [Google Scholar] [CrossRef]
- Magoč, T.; Salzberg, S.L. FLASH: Fast length adjustment of short reads to improve genome assemblies. Bioinformatics 2011, 27, 2957–2963. [Google Scholar] [CrossRef]
- Caporaso, J.G.; Kuczynski, J.; Stombaugh, J.; Bittinger, K.; Bushman, F.D.; Costello, E.K.; Fierer, N.; Gonzalez Peña, A.; Goodrich, J.K.; Gordon, J.I.; et al. QIIME allows analysis of high-throughput community sequencing data. Nat. Methods 2010, 7, 335–336. [Google Scholar] [CrossRef]
- Edgar, R.C. Search and clustering orders of magnitude faster than BLAST. Bioinformatics 2010, 26, 2460–2461. [Google Scholar] [CrossRef]
- Vázquez-Baeza, Y.; Pirrung, M.; Gonzalez, A.; Knight, R. EMPeror: A tool for visualizing high-throughput microbial community data. GigaScience 2013, 2, 16. [Google Scholar] [CrossRef] [PubMed]
- Solomon, D.; Lehmann, J.; Martínez, C.E. Sulfur K-edge XANES spectroscopy as a tool for understanding sulfur dynamics in soil organic matter. Soil Sci. Soc. Am. J. 2003, 67, 1721–1731. [Google Scholar] [CrossRef]
- Pfennig, N.; Lippert, K.D. Über das Vitamin B12-Bedürfnis phototropher Schwefelbakterien. Arch. Für Mikrobiol. 1966, 55, 245–256. [Google Scholar] [CrossRef]
- Muyzer, G.; De Waal, E.; Uitterlindin, A.G. Profiling of complex microbial populations by denaturing gradient gel electrophoresis analysis of polymerase chain reaction-amplified genes coding for 16S rRNA. Appl. Environ. Microbiol. 1993, 59, 695–700. [Google Scholar] [CrossRef]
- Helgason, T.; Daniell, T.J.; Husband, R.; Fitter, A.H.; Young, J.P.W. Ploughing up the wood-wide web? Nature 1998, 394, 431. [Google Scholar] [CrossRef]
- Simon, L.; Lalonde, M.; Bruns, T.D. Specific amplification of 18S fungal ribosomal genes from vesicular-arbuscular endomycorrhizal fungi colonizing roots. Appl. Environ. Microbiol. 1992, 58, 291–295. [Google Scholar] [CrossRef]
- Kowalchuk, G.A.; De Souza, F.A.; Van Veen, J.A. Community analysis of arbuscular mycorrhizal fungi associated with Ammophila arenaria in Dutch coastal sand dunes. Mol. Ecol. 2002, 11, 571–581. [Google Scholar] [CrossRef]
- Cornejo, P.; Azcón-Aguilar, C.; Miguel Barea, J.; Ferrol, N. Temporal temperature gradient gel electrophoresis (TTGE) as a tool for the characterization of arbuscular mycorrhizal fungi. FEMS Microbiol. Lett. 2004, 241, 265–270. [Google Scholar] [CrossRef]
- Gardes, M.; Bruns, T.D. ITS primers with enhanced specificity for Basidiomycetes: Application to the identification of mycorrhizae and rusts. Mol. Ecol. 1993, 2, 113–118. [Google Scholar] [CrossRef]
- White, T.J.; Bruns, T.; Lee, S.; Taylor, J. Amplification and Direct Sequencing of Fungal Ribosomal RNA Genes for Phylogenetics. PCR Protocols: A Guide to Methods and Applications; Academic Press Inc.: San Diego, CA, USA, 1990; pp. 315–322. [Google Scholar]
- Bougoure, D.S.; Cairney, J.W.G. Cairney, Fungi associated with hair roots of Rhododendron lochiae (Ericaceae) in an Australian tropical cloud forest revealed by culturing and culture independent molecular methods. Environ. Microbiol. 2005, 7, 1743–1754. [Google Scholar] [CrossRef]
- Lane, D.J. 16S/23S rRNA Sequencing, in Nucleic Acid Techniques in Bacterial Systematics; Stackebrandt, E., Goodfellow, M., Eds.; Wiley: New York, NY, USA, 1991; pp. 115–147. [Google Scholar]





| Agrostis stolonifera | Plantago lanceolata | |||||||
|---|---|---|---|---|---|---|---|---|
| Cores | Rhizosphere | Cores | Rhizosphere | |||||
| Rotating | Static | Rotating | Static | Rotating | Static | Rotating | Static | |
| Mycorrhization [%] | ||||||||
| Arbuscular Colonisation | 43.9 a | 73.3 b | 48.1 a | 82.1 b | ||||
| Vesicular Colonisation | 24.2 a | 40.3 b | 29.5 a | 47.7 b | ||||
| Hyphal Colonisation | 38.9 a | 66.4 b | 44.7 a | 75.4 b | ||||
| Bacterial Abundance | ||||||||
| Heterotrophs 1 [MPN/g 107] | 2.0 a | 11.6 b | 1.8 a | 11.5 b | 2.6 a | 16.9 b | 1.2 a | 15.8 b |
| Arylsulfonate utilizers 2 [MPN/g 104] | 152.0 a | 1930.0 b | 2.9 c | 14.1 d | 107.0 a | 1630.0 b | 3.9 c | 1200.0 b |
| Alcylsulfonate utilizers 3 [MPN/g 103] | 6.13 a | 124 b | 5.7 a | 136 b | 97.4 a | 159.0 a | 14.1 b | 149.0 a |
| OTU ID | Affiliation | Abundance per Treatment | Similarity [%] DNA/Protein | |||
|---|---|---|---|---|---|---|
| CS | CR | RS | RR | |||
| RR2 | α-Proteobacteria | 8 | 70/84 | |||
| RR8 | α-Proteobacteria | 4 | 71/68 | |||
| RS34 | α-Proteobacteria | 3 | 70/68 | |||
| CS37 | Rhizobiales | 5 | 11 | 2 | 6 | 72/66 |
| CR11 | Rhizobiales | 6 | 72/66 | |||
| CS16 | Rhizobiales | 29 | 10 | 5 | 2 | 72/66 |
| RR6 | Rhizobiales | 7 | 71/74 | |||
| RS6 | Comamonadaceae | 13 | 72/76 | |||
| RR34 | Comamonadaceae | 3 | 71/71 | |||
| RS4 | Comamonadaceae | 4 | 78/92 | |||
| RS40 | Comamonadaceae | 6 | 82/94 | |||
| CR38 | Stenotrophomonas | 8 | 65/88 | |||
| CS12 | Paraburkholderia | 3 | 99/98 | |||
| RR29 | Variovorax | 5 | 81/95 | |||
| CR8 | Variovorax | 4 | 88/99 | |||
| CR13 | Variovorax | 4 | 83/92 | |||
| RR22 | Variovorax | 4 | 82/86 | |||
| RS20 | Variovorax | 82/86 | ||||
| OTU ID | Affiliation | Abundance per Treatment | Overall Abundance [%] | Similarity [%] Protein | |||
|---|---|---|---|---|---|---|---|
| CS | CR | RS | RR | ||||
| 1 | Bacteroidetes | 2 | 6 | 12 | 12.5 | 64 | |
| 7 | Acidobacteria | 1 | 3 | 7 | 7.5 | 68 | |
| 16 | Acidobacteria | 3 | 2 | 72 | |||
| 19 | Acidobacteria | 1 | 5 | 6 | 8 | 77 | |
| 20 | Acidobacteria | 6 | 4 | 97 | |||
| 36 | Acidobacteria | 3 | 2 | 79 | |||
| 33 | Acidobacteria | 6 | 4 | 57 | |||
| 2 | Chthoniobacter | 2 | 1 | 2 | 3 | 73 | |
| 14 | Verrucomicrobia | 4 | 3 | 68 | |||
| 3 | Verrucomicrobia | 3 | 2 | 2 | 1 | 5.5 | 65 |
| 10 | Verrucomicrobia | 2 | 2 | 3 | 68 | ||
| 23 | Verrucomicrobia | 3 | 1 | 2.5 | 57 | ||
| 18 | Planctomycetes | 6 | 4 | 59 | |||
| 4 | Rhodospirillales (order) | 6 | 4 | 51 | |||
| 5 | Rhodospirillales (order) | 7 | 2 | 1 | 6 | 54 | |
| 30 | Eukaryotes, Rotifera | 6 | 4 | 73 | |||
| Phyum | Family | CR | CS | RR | RS |
|---|---|---|---|---|---|
| Acidobacteria | Acidobactertiaceae | 0.24 | 0.18 | 4.34 | 4.38 |
| Holophagaceae | 7.48 | 2.59 | 0.06 | 0.02 | |
| Bryobacter | 0.40 | 0.22 | 1.10 | 0.84 | |
| Actinobacteria | TM214 | 0.06 | 0.08 | 0.79 | 0.89 |
| Mycobacteriaceae | 0.00 | 0.00 | 0.89 | 0.94 | |
| Acidothermaceae | 0.00 | 0.00 | 1.31 | 1.90 | |
| Micromonosporaceae | 9.25 | 1.21 | 0.19 | 0.20 | |
| Bacteroidetes | Porphyromonadaceae | 1.60 | 0.09 | 0.01 | 0.00 |
| Cytophagaceae | 1.05 | 0.22 | 0.40 | 0.37 | |
| Chitinophagaceae | 0.31 | 0.66 | 0.67 | 1.16 | |
| Firmicutes | Bacillaceae | 1.90 | 1.92 | 0.49 | 0.69 |
| Gemmatimonadetes | Gemmatimonadaceae | 0.68 A | 1.55 B | 2.32 | 2.19 |
| Planctomycetes | Planctomycetaceae | 4.13 | 2.95 | 2.00 | 1.98 |
| Proteobacteria | Caulobacteraceae | 0.37 | 0.35 | 0.19 | 0.26 |
| Bradyrhizobiaceae | 0.62 | 0.49 | 2.45 | 2.97 | |
| Hyphomicrobiaceae | 0.37 | 0.34 | 0.91 | 1.14 | |
| Xanthobacteraceae | 0.25 | 0.26 | 3.27 | 3.61 | |
| Acetobacteraceae | 0.35 | 0.06 | 0.38 | 0.42 | |
| DA111 | 0.04 A | 0.01 B | 0.47 | 0.53 | |
| Rhodospirillaceae | 1.02 | 0.38 | 0.36 | 0.37 | |
| Sphingomonadaceae | 0.12 A | 0.46 B | 0.40 | 0.62 | |
| Alcaligenaceae | 0.05 | 0.07 | 0.76 | 1.15 | |
| Burkholderiaceae | 1.26 | 1.10 | 0.09 | 0.04 | |
| Comamonadaceae | 1.60 | 3.03 | 1.21 | 1.03 | |
| Oxalobacteraceae | 0.56 | 0.27 | 0.10 | 0.10 | |
| Nitrosomonadaceae | 0.27 | 0.12 | 1.64 | 1.51 | |
| Rhodocyclaceae | 2.04 | 0.95 | 0.29 | 0.35 | |
| Cystobacterineae | 0.34 | 0.07 | 0.50 | 0.47 | |
| Nannocystineae | 0.43 | 0.24 | 1.79 | 1.62 | |
| Sorangiineae | 0.21 A | 0.03 B | 0.84 | 0.66 | |
| Sinobacteraceae | 0.07 | 0.05 | 1.10 | 1.02 | |
| Xanthomonadaceae | 9.57 | 16.05 | 0.96 | 0.86 | |
| Verrucomicrobia | Chthoniobacteraceae | 0.18 | 0.31 | 0.21 | 0.28 |
| DA101 | 0.02 | 0.01 | 6.01 | 6.02 | |
| Xiphinematobacteraceae | 0.01 | 0.01 | 0.65 | 0.87 |
Publisher’s Note: MDPI stays neutral with regard to jurisdictional claims in published maps and institutional affiliations. |
© 2022 by the authors. Licensee MDPI, Basel, Switzerland. This article is an open access article distributed under the terms and conditions of the Creative Commons Attribution (CC BY) license (https://creativecommons.org/licenses/by/4.0/).
Share and Cite
Gahan, J.; O’Sullivan, O.; Cotter, P.D.; Schmalenberger, A. Arbuscular Mycorrhiza Support Plant Sulfur Supply through Organosulfur Mobilizing Bacteria in the Hypho- and Rhizosphere. Plants 2022, 11, 3050. https://doi.org/10.3390/plants11223050
Gahan J, O’Sullivan O, Cotter PD, Schmalenberger A. Arbuscular Mycorrhiza Support Plant Sulfur Supply through Organosulfur Mobilizing Bacteria in the Hypho- and Rhizosphere. Plants. 2022; 11(22):3050. https://doi.org/10.3390/plants11223050
Chicago/Turabian StyleGahan, Jacinta, Orla O’Sullivan, Paul D. Cotter, and Achim Schmalenberger. 2022. "Arbuscular Mycorrhiza Support Plant Sulfur Supply through Organosulfur Mobilizing Bacteria in the Hypho- and Rhizosphere" Plants 11, no. 22: 3050. https://doi.org/10.3390/plants11223050
APA StyleGahan, J., O’Sullivan, O., Cotter, P. D., & Schmalenberger, A. (2022). Arbuscular Mycorrhiza Support Plant Sulfur Supply through Organosulfur Mobilizing Bacteria in the Hypho- and Rhizosphere. Plants, 11(22), 3050. https://doi.org/10.3390/plants11223050

